Sign in to use this feature.

Years

Between: -

Subjects

remove_circle_outline
remove_circle_outline
remove_circle_outline
remove_circle_outline
remove_circle_outline
remove_circle_outline
remove_circle_outline
remove_circle_outline
remove_circle_outline

Journals

Article Types

Countries / Regions

Search Results (74)

Search Parameters:
Keywords = coagulation aiding

Order results
Result details
Results per page
Select all
Export citation of selected articles as:
11 pages, 719 KB  
Article
Cervical Artery Dissection in Autosomal Dominant Polycystic Kidney Disease
by Anna Liu, Helena Xeros, Waseem Wahood, Zafer Keser and Muhib Khan
Medicina 2026, 62(1), 19; https://doi.org/10.3390/medicina62010019 - 22 Dec 2025
Viewed by 133
Abstract
Background and Objectives: Autosomal dominant polycystic kidney disease (ADPKD) is characterized by multisystem involvement, including renal cysts, hepatic cysts, intracranial aneurysms, and aortic root dilatation and dissection. Though exceedingly rare, cervical artery dissections (CeAD) have been reported in association with ADPKD. The [...] Read more.
Background and Objectives: Autosomal dominant polycystic kidney disease (ADPKD) is characterized by multisystem involvement, including renal cysts, hepatic cysts, intracranial aneurysms, and aortic root dilatation and dissection. Though exceedingly rare, cervical artery dissections (CeAD) have been reported in association with ADPKD. The aim of this retrospective observational study is to investigate clinical features in patients with ADPKD that increase the probability of an associated CeAD diagnosis. Materials and Methods: The National Inpatient Sample from 2016 to 2020 was utilized to compare clinical features for patients with an ICD-10 code diagnosis of ADPKD, CeAD, and both ADPKD and CeAD. The Cochran–Armitage test and Chi-square test were utilized to assess clinical features or trends in ADPKD patients associated with a concurrent CeAD diagnosis. Results: Between 2016 and 2020, there were 224,065 people with ADPKD, 86,135 with CeAD and 155 with both (0.05%). The total cohort had a mean age of 56.74 years, with 47.26% female participants (p = 0.70), and was predominantly white (66.15%, p < 0.001). In patients with ADPKD, comorbid acute ischemic stroke (p < 0.001), transient ischemic attack (p < 0.001), aortic dissection (p < 0.001), coronary artery dissection (p < 0.001), subarachnoid hemorrhage (p < 0.001), coagulation defects (p = 0.002), and hypertension (p < 0.001) are risk factors associated with an increased probability of concomitant CeAD. Conclusions: CeAD in ADPKD patients is rare. In ADPKD patients, acute ischemic stroke, transient ischemic attack, aortic dissection, coronary artery dissection, subarachnoid hemorrhage, coagulation defects, and hypertension are risk factors of concomitant CeAD. Recognizing these factors can aid in the decision to screen for concomitant CeAD in patients with ADPKD. Full article
(This article belongs to the Section Neurology)
Show Figures

Figure 1

15 pages, 2464 KB  
Article
A Novel Approach for Tissue Analysis in Joint Infections Using the Scattered Light Integrating Collector (SLIC)
by Elio Assaf, Cosmea F. Amerschläger, Vincent B. Nessler, Kani Ali, Robert Ossendorff, Max Jaenisch, Andreas C. Strauss, Christof Burger, Gunnar T. Hischebeth, Phillip J. Walmsley, Dieter C. Wirtz, Robert J. H. Hammond, Damien Bertheloot and Frank A. Schildberg
Biosensors 2025, 15(12), 795; https://doi.org/10.3390/bios15120795 - 4 Dec 2025
Viewed by 346
Abstract
Total joint arthroplasty is among the most common surgical procedures performed worldwide, with frequency increasing due to demographic changes. Accelerating the diagnostic process using new techniques is crucial for effective therapy. This pilot study aims to test such innovative technology in the context [...] Read more.
Total joint arthroplasty is among the most common surgical procedures performed worldwide, with frequency increasing due to demographic changes. Accelerating the diagnostic process using new techniques is crucial for effective therapy. This pilot study aims to test such innovative technology in the context of periprosthetic joint infection (PJI) using Scattered Light Integrating Collector (SLIC) technology. While we wish to evaluate whether SLIC can be used to reliably detect the status of infection within human tissue samples in the future, our current research focused on building its foundation by evaluating steps of sample preparation that allow for heightened growth depiction. It is, to our knowledge, the first study concerning the usage of solid human tissue samples using the SLIC device. Adult patients presenting with native or periprosthetic joint infections were included in this prospective study. Biopsies were obtained using sequential sampling, and bacterial density was optimized through titration series. Cryopreservation and agents influencing coagulation were investigated. Our study demonstrates that simple pretreatment could aid in detecting pathogen growth in infected tissue samples. Findings showed a clear advantage for no addition of agents affecting coagulation. Additionally, our protocols proved reliable after prolonged cryopreservation at −20 °C for up to 8 weeks, showing no significant difference compared to primary testing. AUC comparison showed comparable results for sample storage at −80 °C for up to 8 weeks. Similar outcomes were seen for samples ranging from 25 µL to 300 µL, with biological replicates displaying higher thresholds for larger volumes without significant differences. This study introduces a simple and quick diagnostic tool for detecting bacterial growth using tissue biopsies and develops an SOP for further research with this innovative technique. The suggested SOP enables SLIC to hint at an underlying bacterial infection within 5 h using joint tissue, offering a possible novel approach in diagnosing periprosthetic joint infections and septic arthritis. While not yet designed to compare sensitivity to other culture methods, it provides a solid basis for further clinical research. Full article
(This article belongs to the Special Issue Sensors for Detection of Bacteria and Their Toxins)
Show Figures

Figure 1

24 pages, 5310 KB  
Article
Evaluation of Hematological, Biochemical, and Coagulation Tests in Patients with Hepatitis C
by Ieva Janulaityte, Gintare Petkute, Asta Maciuliene, Jurgita Borodiciene, Jokubas Kareiva and Astra Vitkauskiene
Medicina 2025, 61(11), 2049; https://doi.org/10.3390/medicina61112049 - 17 Nov 2025
Viewed by 499
Abstract
Background and Objectives: Hepatitis C virus (HCV) remains a significant cause of chronic liver disease worldwide. While direct-acting antivirals achieve high cure rates, the interplay between viral load, gender, and routine laboratory parameters remains unclear. This study aimed to investigate hematological, biochemical, [...] Read more.
Background and Objectives: Hepatitis C virus (HCV) remains a significant cause of chronic liver disease worldwide. While direct-acting antivirals achieve high cure rates, the interplay between viral load, gender, and routine laboratory parameters remains unclear. This study aimed to investigate hematological, biochemical, and coagulation profiles, as well as derived non-invasive indices, in HCV-infected patients, stratified by gender and viremia levels. Materials and Methods: This retrospective study included 367 patients with HCV infection (223 males and 144 females). Patients were divided into four groups: high viremia males (hiVM), high viremia females (hiVF), low viremia males (loVM), and low viremia females (loVF), using 800,000 IU/mL as the threshold. Routine hematological, biochemical, and coagulation tests were conducted, and derived indices (FIB-4, APRI, AST/ALT ratio, PLR, NLR, SII, AISI, PNI, HALP, PAR, NAR) were calculated. Results: Significant gender- and viremia-specific differences were observed. hiVM showed higher erythrocyte indices and altered coagulation parameters, whereas hiVF had increased lymphocyte counts and AST/ALT ratio elevation. loVM displayed reduced hemoglobin and hematocrit, along with worse coagulation results. Biochemical analysis revealed gender differences in GGT, bilirubin, and albumin levels. Among derived indices, FIB-4 and APRI were higher in loVM, while SII and PLR were elevated in loVF. At the second visit after 17±4 weeks, when patients had no detectable HCV DNA in the peripheral blood, most indices improved significantly across groups. Conclusions: HCV infection affects laboratory profiles depending on gender and viremia levels. Non-invasive indices from routine tests offer valuable insights into inflammatory and nutritional status. Using these indices alongside traditional markers may aid hypothesis generation or clinical assessment and help prioritize further assessment for HCV patients. Full article
(This article belongs to the Topic Human Anatomy and Pathophysiology, 3rd Edition)
Show Figures

Figure 1

14 pages, 1350 KB  
Article
Investigating the Potential of Coagulants to Improve Microplastics Removal in Wastewater and Tap Water
by Claudio Casella, Daniel Sol, Adriana Laca and Mario Díaz
Microplastics 2025, 4(4), 89; https://doi.org/10.3390/microplastics4040089 - 12 Nov 2025
Viewed by 1884
Abstract
This study investigates the impact of using coagulants on the removal of microplastics (MPs) from wastewater and tap water. Before the settling step, coagulants commonly used in water treatment (FeCl3 or Al2(SO4)3) were added at different [...] Read more.
This study investigates the impact of using coagulants on the removal of microplastics (MPs) from wastewater and tap water. Before the settling step, coagulants commonly used in water treatment (FeCl3 or Al2(SO4)3) were added at different concentrations to samples taken from an activated sludge reactor and tap water. MPs initially contained in the water samples were chemically and physically characterized, resulting in most of them being fibres smaller than 500 μm, in both media. The use of coagulants improved MPs removal, and the best results were obtained with the aluminum salt, which allowed removal efficiencies of 43% and 62% for tap water and wastewater, respectively. These results demonstrated the potential of coagulants to improve the removal of MPs in treated waters and wastewaters. However, the necessary concentration of the assayed coagulants was quite high, highlighting the interest in investigating their combination with coagulant aids, such as organic polyelectrolytes, which might allow for reduced doses. Full article
Show Figures

Graphical abstract

17 pages, 1532 KB  
Article
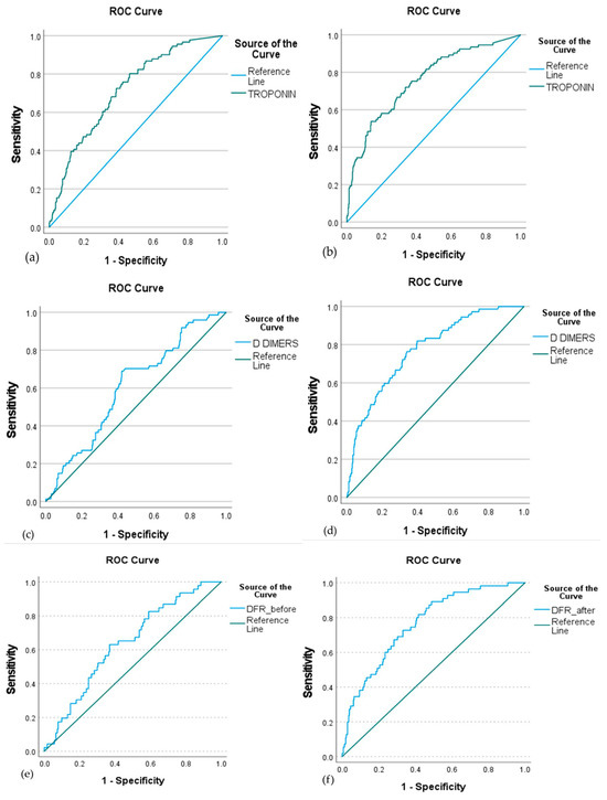
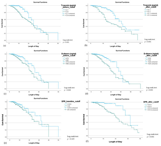
Elevated Troponin, D-Dimers and D-Dimers/Fibrinogen Ratio Increase Mortality Risk in Remdesivir-Treated COVID-19 Patients
by Georgia Ragia, Gavriela Voulgaridou, Vasileios Tsirozis, Triada Exiara and Vangelis G. Manolopoulos
J. Pers. Med. 2025, 15(11), 519; https://doi.org/10.3390/jpm15110519 - 31 Oct 2025
Viewed by 446
Abstract
Background/Objectives: Identification, monitoring, and modulation of biochemical markers that increase risk of severe illness and death from COVID-19 are crucial for effective disease treatment. This study aims to investigate the prognostic value of baseline troponin, D-dimers, fibrinogen, and D-dimers/fibrinogen ratio (DFR) as [...] Read more.
Background/Objectives: Identification, monitoring, and modulation of biochemical markers that increase risk of severe illness and death from COVID-19 are crucial for effective disease treatment. This study aims to investigate the prognostic value of baseline troponin, D-dimers, fibrinogen, and D-dimers/fibrinogen ratio (DFR) as biomarkers for mortality in remdesivir-treated patients, and additionally, to investigate the impact of remdesivir treatment on troponin, D-dimers, fibrinogen, and DFR levels during disease course. Methods: We retrospectively analyzed the demographic, biochemical, and clinical characteristics of 549 (47.5% male, mean age 69.6 ± 14.7) hospitalized COVID-19 patients, all treated with remdesivir. Results: A total of 106 patients (19.3%) died during hospitalization. Elevated baseline troponin levels and D-dimers increased risk of death (HR 2.374, 95% CI 1.343–4.197; p = 0.003, adjusted for comorbidities and HR 1.862, 95% CI 1.127–3.076, p = 0.015, unadjusted, respectively). After remdesivir treatment, death risk was increased by elevated troponin (HR 2.010, 95% CI 1.219–3.316, p = 0.006), D-dimers (HR 2.207, 95% CI 1.254–3.882, p = 0.006) and DFR (HR, 3.816, 95% CI 1.567–9.291, p = 0.003) levels, in models adjusted for age, sex, and comorbidities. Remdesivir treatment decreased fibrinogen levels both in survivors (p < 0.001) and non-survivors (p < 0.001). In survivors, remdesivir treatment significantly decreased troponin levels (p < 0.001) and D-dimers (p < 0.001), whereas in non-survivors, it increased DFR (p < 0.001) and D-dimers (p < 0.001). Conclusions: In addition to its antiviral action, remdesivir treatment was associated with changes in coagulation biomarkers, potentially preventing patients from the COVID-19-provoked hypercoagulable state. Troponin, D-dimers, and DFR hold a critical role in predicting mortality risk among COVID-19 patients treated with remdesivir and can aid in identifying individuals at increased risk of death. Full article
(This article belongs to the Section Disease Biomarkers)
Show Figures

Graphical abstract

9 pages, 627 KB  
Review
Role of Interferon-Gamma (IFN-γ) in Pathophysiology and Management of Deep Vein Thrombosis
by Kawaljit Kaur
Immuno 2025, 5(4), 46; https://doi.org/10.3390/immuno5040046 - 4 Oct 2025
Viewed by 2391
Abstract
Immune cells like neutrophils, monocytes/macrophages, and lymphocytes play key roles in the development, progression, and resolution of deep vein thrombosis (DVT) by contributing to inflammation, coagulation, and fibrinolysis. IFN-γ, a cytokine mainly secreted by natural killer (NK) and T cells, is a critical [...] Read more.
Immune cells like neutrophils, monocytes/macrophages, and lymphocytes play key roles in the development, progression, and resolution of deep vein thrombosis (DVT) by contributing to inflammation, coagulation, and fibrinolysis. IFN-γ, a cytokine mainly secreted by natural killer (NK) and T cells, is a critical factor in DVT pathogenesis. It links immune responses to coagulation activation by promoting endothelial activation, leukocyte recruitment, cytokine release, and coagulation imbalance. Its strong pro-inflammatory and prothrombotic effects make IFN-γ a promising target for DVT treatment beyond standard anticoagulants. Exploring ways to block IFN-γ signaling or its downstream effects could open doors to novel therapies for DVT, aiding in resolution and preventing post-thrombotic complications. This review delves into DVT pathophysiology, diagnostics, and management, emphasizing the importance of targeting immune cells and IFN-γ to advance treatment options. Full article
Show Figures

Figure 1

20 pages, 8412 KB  
Article
Wastewater Treatment Using a Combination of Pumpkin seed Waste After Extraction of Essential Oils (Bio-Coagulant) and Ferric Chloride (Chemical Coagulant): Optimization and Modeling Using a Box–Behnken Design
by Abderrezzaq Benalia, Ouiem Baatache, Katr Enada Zerguine, Amel Khediri, Kerroum Derbal, Nawal Ferroudj, Amel Khalfaoui and Antonio Pizzi
Appl. Sci. 2025, 15(10), 5439; https://doi.org/10.3390/app15105439 - 13 May 2025
Cited by 2 | Viewed by 1372
Abstract
The wastewater treatment involves various techniques at different technological levels. Treatment takes place in several stages, of which coagulation and flocculation are the most important. Most suspended solids are indeed eliminated during this stage by the addition of a coagulant. In this research, [...] Read more.
The wastewater treatment involves various techniques at different technological levels. Treatment takes place in several stages, of which coagulation and flocculation are the most important. Most suspended solids are indeed eliminated during this stage by the addition of a coagulant. In this research, bio-coagulant was extracted from pumpkin seed (PS) waste after extraction of the essential oils, and used with ferric chloride to treat wastewater from the plant of Chalghoum El Aid-Oued El Athmania Mila. In this study, the Box–Behnken design (BBD) with three factors was used to investigate the effect of pH, organic coagulant dosage Pumpkin seed extract (PSE), and chemical coagulant dosage (FeCl3) on coagulation–flocculation performance in relation to turbidity, chemical oxygen demand (COD), aromatic organic matter (UV 254), and phosphate. The main characteristics of the raw water were turbidity (250 NTU), COD (640 mg/L), UV 254 (0.893 cm−1), and phosphate (0.115 mg/L). The results obtained were very significant. All the statistical estimators (R2 ≥ 97% and p ≤ 0.05) reveal that the models developed are statistically validated for simulating the coagulation–flocculation process. It should be noted that the residual values of turbidity, COD, UV 254, and phosphate after treatment by this process were 0.754 NTU; 190.88 mg/L; 0.0028 cm−1; and 0.0149 mg/L, respectively. In this case, the pH, bio-coagulant dosage, and chemical coagulant dosage values were 4; 17.81 mL/L; and 10 mL/L, respectively. In this study, Fourier-transform infrared spectrometer (FTIR) and scanning electron microscope (SEM) characterization of the bio-coagulant proved the presence of the active functional groups responsible for coagulation, namely carboxyl group. Full article
(This article belongs to the Special Issue Promising Sustainable Technologies in Wastewater Treatment)
Show Figures

Figure 1

51 pages, 12197 KB  
Review
Recent Trends in the Application of Cellulose-Based Hemostatic and Wound Healing Dressings
by Clemence Futila Bukatuka, Bricard Mbituyimana, Lin Xiao, Abeer Ahmed Qaed Ahmed, Fuyu Qi, Manjilla Adhikari, Zhijun Shi and Guang Yang
J. Funct. Biomater. 2025, 16(5), 151; https://doi.org/10.3390/jfb16050151 - 23 Apr 2025
Cited by 4 | Viewed by 6886
Abstract
Rapid hemostasis and wound healing are crucial severe trauma treatment. Natural mechanisms often prove insufficient, spurring research for innovative biomaterials. This review focuses on cellulose-based materials, which are promising due to their absorbency, biocompatibility, and processability. The novelty lies in exploring how these [...] Read more.
Rapid hemostasis and wound healing are crucial severe trauma treatment. Natural mechanisms often prove insufficient, spurring research for innovative biomaterials. This review focuses on cellulose-based materials, which are promising due to their absorbency, biocompatibility, and processability. The novelty lies in exploring how these materials promote clotting and tissue regeneration. They operate via extrinsic and intrinsic mechanisms. Extrinsically, they create a matrix at the wound to activate coagulation; intrinsically, they maintain clotting factors. Additionally, they aid healing through physical, chemical, and biological means, such as maintaining moisture, incorporating antimicrobial agents, and stimulating cell activity. The innovative fabrication strategies include material selection and chemical modification. Techniques like oxidation enhance performance. Structural engineering methods like freeze-drying and 3D printing optimize porosity and alignment. Cellulose-based dressings are versatile and effective in various forms. They address different wound needs and show benefits like rapid coagulation and tissue repair. This review also covers challenges and future trends, emphasizing the need to enhance mechanical properties and biodegradability. Further, new technologies offer potential improvements to the nanocomposites. Overall, continued research on cellulose-based dressing is vital, and unlocking their potential could revolutionize wound care, providing suitable solutions for trauma management. Full article
(This article belongs to the Special Issue Recent Studies on Biomaterials for Tissue Repair and Regeneration)
Show Figures

Figure 1

11 pages, 547 KB  
Article
Total Thyroidectomy with Harmonic Scalpel Combined with Gelatin Thrombin Hemostatic: A Focus on the Elderly Population—A Multicentric Study
by Simona Parisi, Claudio Gambardella, Roberto Ruggiero, Giovanni Docimo, Vincenzo Marotta, Adelmo Gubitosi, Federico Maria Mongardini, Valerio D’Orazi, Francesca Fisone, Luigi Brusciano, Salvatore Tolone, Ludovico Docimo and Francesco Saverio Lucido
Medicina 2025, 61(3), 496; https://doi.org/10.3390/medicina61030496 - 13 Mar 2025
Viewed by 1428
Abstract
Background and Objectives: With the increasing life expectancy, the frequency of total thyroidectomies in elderly patients has risen, raising concerns regarding hemorrhage and recurrent laryngeal nerve palsy compared to the general population. Therefore, considering the frequent alteration of the coagulation status in [...] Read more.
Background and Objectives: With the increasing life expectancy, the frequency of total thyroidectomies in elderly patients has risen, raising concerns regarding hemorrhage and recurrent laryngeal nerve palsy compared to the general population. Therefore, considering the frequent alteration of the coagulation status in such patients, innovative methods able to reach an accurate hemostasis appear highly desirable. This retrospective multicentric study aimed to compare the postoperative outcomes of patients treated with conventional hemostasis with patients treated with the Harmonic Scalpel (HS) and gelatin–thrombin matrix (Floseal). Materials and Methods: Patients undergoing total thyroidectomy were retrospectively enrolled and categorized into two groups: Group A patients underwent surgery with the Harmonic Scalpel and Floseal, while Group B underwent traditional hemostasis surgery with ligations and monopolar electrocautery. The primary endpoint was the drain output after 24 and 48 h and the presence of significant blood loss. Secondary endpoints included the presence of seroma, wound infection, hematoma, laryngeal nerve palsy, surgery duration, and onset of post-surgical hypocalcemia. Results: From January 2014 to January 2024, 870 individuals participated in the study. Group A (gelatin–thrombin and HS) comprised 502 patients, while Group B (Standard Hemostasis—control group) comprised 368 patients. The 24 h drain output was 52 ± 25 mL in Group A vs. 113 ± 27 mL in Group B, p = 0.003, while the 48 h drain output was 95 ± 29 mL in Group A and 113 ± 27 mL in Group B (p = 0.002). Significant blood loss occurred in eight patients (2.2%) of Group B vs. three cases (0.6%) in Group A (p = 0.039). Also, neck hematoma (p = 0.012), seroma (p = 0.005), and reoperation (p = 0.052) values were significantly lower in Group A. Conclusions: Surgery aided with HS, and gelatin–thrombin was associated with lower major and minor complications compared to the conventional approach, guarantying reduced operative time, ensuring hemostasis, and preserving parathyroid glands, even in elderly patients. Full article
(This article belongs to the Section Surgery)
Show Figures

Figure 1

14 pages, 293 KB  
Review
Cardiovascular Disease in HIV Patients: A Comprehensive Review of Current Knowledge and Clinical Implications
by Sorina Șoldea, Maria Iovănescu, Mihaela Berceanu, Oana Mirea, Victor Raicea, Maria Cristina Beznă, Alexandru Rocșoreanu and Ionuț Donoiu
Int. J. Mol. Sci. 2025, 26(5), 1837; https://doi.org/10.3390/ijms26051837 - 21 Feb 2025
Cited by 6 | Viewed by 4983
Abstract
Cardiovascular involvement in patients with human immune deficiency (HIV) has gained significant attention as the improved life expectancy of individuals with HIV has changed the paradigm regarding the long-term impact of the virus on cardiovascular health. We reviewed current literature on the prevalence, [...] Read more.
Cardiovascular involvement in patients with human immune deficiency (HIV) has gained significant attention as the improved life expectancy of individuals with HIV has changed the paradigm regarding the long-term impact of the virus on cardiovascular health. We reviewed current literature on the prevalence, diagnosis, and unique characteristics of cardiovascular disease (CVD) in HIV patients, including those treated with protease inhibitors (PIs) and complementary therapies. The incidence of infectious, immunosuppressive, and nutritionally related pathologies in HIV patients has declined, largely due to advancements in highly active antiretroviral therapies (HAART) and supportive care. However, issues related to autoimmunity and chronic inflammation persist. Elevated levels of high-sensitivity C-reactive protein, along with activated cytokines and other pro-inflammatory molecules, are common in HIV patients and contribute significantly to the increased risk for endothelial dysfunction, coagulation disorders, and accelerated atherogenesis. The advent of HAART has significantly improved the prognosis for HIV patients, leading to prolonged life expectancy and a reduction in AIDS-related complications. However, this success has also resulted in a shift in the clinical presentation, with HIV patients showing more chronic and insidious cardiovascular manifestations. Full article
(This article belongs to the Special Issue Advanced Research on HIV Virus and Infection)
10 pages, 252 KB  
Article
Correlation Between Blood Coagulation Profile and Viscosity: Clinical Laboratory Observational Study
by Ezekiel U. Nwose and Phillip T. Bwititi
Med. Sci. 2025, 13(1), 20; https://doi.org/10.3390/medsci13010020 - 16 Feb 2025
Cited by 1 | Viewed by 1772
Abstract
Whole blood viscosity is a test for blood stasis and is an ideal evidence-based pathology parameter that is largely undervalued and retrogressing in clinical utilization. Coagulation profiles as indices of haemostasis are available but limited to central or referral laboratories and often involve [...] Read more.
Whole blood viscosity is a test for blood stasis and is an ideal evidence-based pathology parameter that is largely undervalued and retrogressing in clinical utilization. Coagulation profiles as indices of haemostasis are available but limited to central or referral laboratories and often involve long turn-around time. It is therefore important to study the correlation between the index of stasis and indices of haemostasis. Objective: To investigate the correlation of index of stasis with indices of haemostasis. Method: The clinical laboratory observational research method, using archived pathology data. Indices of haemostasis including activated partial thromboplastin time (APTT) and prothrombin time (PT), the international normalization ratio (INR), and plasma D-dimer were evaluated. On the other hand, the index of blood stasis used was the estimated whole blood viscosity (eWBV) and derived haematocrit and serum protein levels. All (N = 193) tests were collected within a calendar year from the same pathology service, and further, for the correlation, each set of variables from the same blood sample collection was used. Results: The haemostasis data are skewed (skewness > 2.0), while eWBV and platelet count are normal (skewness < 2.0). Haemostasis indices have an inverse association with eWBV (p < 0.001). The concordance and correlation of eWBV with platelet count is positive, weak, and significant (p < 0.001), but negative and negligible with PT and APTT. Conclusion: There are limitations to the possible correlation between eWBV and haemostasis indices. However, haemostasis indices have inverse associations with eWBV, and the latter can aid in the evaluation of haemostasis hence could be utilized as an alternative or complementary test to haemostasis tests. Research may normalize skewed data to obtain better correlation; therefore, further study is required to advance discourse, giving cognizance to clinical practice. Full article
(This article belongs to the Section Cardiovascular Disease)
16 pages, 1036 KB  
Review
Antiphospholipid Syndrome: A Comprehensive Clinical Review
by Vasileios Patriarcheas, Georgios Tsamos, Dimitra Vasdeki, Elias Kotteas, Anastasios Kollias, Dimitris Nikas, Georgia Kaiafa and Evangelos Dimakakos
J. Clin. Med. 2025, 14(3), 733; https://doi.org/10.3390/jcm14030733 - 23 Jan 2025
Cited by 8 | Viewed by 27701
Abstract
Background: Antiphospholipid syndrome (APS) is a rare systemic autoimmune disease characterized by persistent antiphospholipid antibodies (aPL) in combination with recurrent thrombosis in the veins and/or arteries, obstetric morbidity, and various non-thrombotic associated complications. APS can be primary, as an isolated condition, or [...] Read more.
Background: Antiphospholipid syndrome (APS) is a rare systemic autoimmune disease characterized by persistent antiphospholipid antibodies (aPL) in combination with recurrent thrombosis in the veins and/or arteries, obstetric morbidity, and various non-thrombotic associated complications. APS can be primary, as an isolated condition, or secondary in the context of another autoimmune disease, especially systemic lupus erythematosus. This comprehensive clinical review aims to summarize the current understanding of APS pathogenesis, diagnostic approaches, and treatment strategies for this unique clinical entity. Methods: A comprehensive review of the existing literature on APS was conducted, focusing on pathophysiological mechanisms, current diagnostic criteria, and therapeutic approaches. Results: APS pathogenesis involves complex interactions between aPL, phospholipid-binding proteins, and the coagulation cascade. Apart from the cardinal features of thrombosis and APS-related obstetric morbidity, APS is associated with a wide spectrum of clinical manifestations. Diagnosis remains challenging due to overlapping symptoms with other conditions, and clinicians should maintain a high index of suspicion in order to set the diagnosis. The recently published 2023 ACR/EULAR criteria although not definitive for clinical decision-making, these criteria offer clinicians a valuable tool to aid in determining whether further investigation for APS is warranted. Continued refinement of these criteria through ongoing feedback and updates is anticipated. Treatment strategies center on anticoagulation, but individualized approaches are necessary. Conclusions: Early diagnosis and multidisciplinary management of APS are critical to reducing morbidity and improving outcomes. Moreover, familiarization with the 2023 ACR/EULAR criteria is encouraged, recognizing that ongoing feedback and updates will contribute to their ongoing refinement and improvement. While VKAs remain the mainstay of treatment for most APS patients further research is needed to optimize treatment strategies and deepen our understanding of APS’s underlying disease mechanisms. Full article
Show Figures

Figure 1

23 pages, 3354 KB  
Article
Labneh: A Retail Market Analysis and Selected Product Characterization
by Raman K. Bhaskaracharya, Fatima Saeed Rashed Alnuaimi, Shaikha Rashed Juma Aldarmaki, Abeena Abdulazeez and Mutamed Ayyash
Foods 2024, 13(21), 3461; https://doi.org/10.3390/foods13213461 - 29 Oct 2024
Cited by 4 | Viewed by 3040
Abstract
Labneh is a popular fermented dairy product, which contemporarily has diversified into a varied range of styles, formulated with the inclusion of multiple additives, and is sourced across the globe. This has driven labneh’s emergence as a complex product with varying textural and [...] Read more.
Labneh is a popular fermented dairy product, which contemporarily has diversified into a varied range of styles, formulated with the inclusion of multiple additives, and is sourced across the globe. This has driven labneh’s emergence as a complex product with varying textural and rheological characteristics. The lack of scientific literature about labneh products available in the United Arab Emirates (UAE) market and their characterization has prompted this study. A detailed UAE market analysis of labneh for label, formulation, nutrition, and price variability was conducted. Surveyed labneh products were categorized as unpackaged, multinational company (MNC), small and medium enterprise (SME), and specialty products. They differed in manufacturing, such as acid ± enzyme coagulation with/without post-fermentation heat treatment, and contained various stabilizers, emulsifiers, preservatives, and processing aids. Interestingly, almost equal proportions, 64.7% and 67%, of MNC and SME labneh contained additives, respectively. All MNC labneh were post-heat-treated, in contrast to only 7% of SME labneh. Organic labneh and non-bovine milk-based labneh are not yet widely available. The second part of the study involved the physicochemical characterization of a select number of packaged labneh that were categorized in accordance with fat content as high-fat (17–18%), full-fat (7.1–8%), and lite-fat (3.5–4.5%). High-fat labneh showed a significantly higher complex viscosity, complex modulus, hardness, adhesiveness, stringiness, and fracturability, followed by lite-fat labneh compared to full-fat labneh, especially when it contained pectin. Full-fat labneh with added gums (and starch) and high-fat labneh with gums showed a significantly lower complex modulus compared to their respective control labneh. This study highlights the variety of commercial labneh products available and differences in their formulation, manufacturing, and composition, and provides specific dependencies of materials with their physicochemical characteristics. Full article
(This article belongs to the Section Dairy)
Show Figures

Graphical abstract

13 pages, 2150 KB  
Article
Goat Milk Protein-Derived ACE Inhibitory Peptide SLPQ Exerts Hypertension Alleviation Effects Partially by Regulating the Inflammatory Stress of Endothelial Cells
by Shenghao Xing, Xiaotong Zhang, Tong Mu, Jianxin Cao, Ke Zhao, Bing Han and Xinyan Peng
Foods 2024, 13(21), 3392; https://doi.org/10.3390/foods13213392 - 25 Oct 2024
Cited by 3 | Viewed by 23267
Abstract
Hypertension has always posed a severe threat to people’s health. Food-derived angiotensin-converting enzyme (ACE)-inhibitory peptides have the potential to both prevent and treat hypertension. In the current investigation, two ACE-inhibitory peptides (SLPQ and PYVRYL) from goat milk were studied for their endothelial effects [...] Read more.
Hypertension has always posed a severe threat to people’s health. Food-derived angiotensin-converting enzyme (ACE)-inhibitory peptides have the potential to both prevent and treat hypertension. In the current investigation, two ACE-inhibitory peptides (SLPQ and PYVRYL) from goat milk were studied for their endothelial effects using EA.hy926 cells. PYVRYL outperformed SLPQ, yet neither impacted cell survival below 200 μg/mL. Investigation of SLPQ’s impact on EA.hy926 cell expression revealed 114 differentially expressed genes, with 65 downregulated and 49 upregulated. The genes were enriched in cytokine interactions, coagulation cascades, Hippo signaling, and ECM–receptor interaction. Decreased c-x-c motif chemokine ligand 2 (CXCL2), integrin subunit beta 2 (ITGB2), and fbj murine osteosarcoma viral oncogene homologue (FOS) expression and increased secreted phosphoprotein 1 (SPP1) expression may protect endothelial cells from inflammation. Our findings suggest that beyond ACE inhibition, SLPQ aids blood pressure control by influencing endothelial function, paving the way for its use as an antihypertensive food ingredient. Full article
(This article belongs to the Special Issue Research and Application of Bioactive Peptides in Food)
Show Figures

Figure 1

16 pages, 4015 KB  
Article
Enhanced Removal of Refractory Organic Compounds from Coking Wastewater Using Polyaluminum Chloride with Coagulant Aids
by Huifang Sun, Yifan Zhou, Mengfan Du and Zhiping Du
Water 2024, 16(18), 2662; https://doi.org/10.3390/w16182662 - 19 Sep 2024
Cited by 1 | Viewed by 2319
Abstract
This study explores the enhanced removal of refractory organic compounds from coking wastewater using polyaluminum chloride (PACl) with two different basicity levels (0.5 and 2.5), in combination with coagulant aids such as cationic polyacrylamide (CPAM) and iron ions. The results demonstrated that both [...] Read more.
This study explores the enhanced removal of refractory organic compounds from coking wastewater using polyaluminum chloride (PACl) with two different basicity levels (0.5 and 2.5), in combination with coagulant aids such as cationic polyacrylamide (CPAM) and iron ions. The results demonstrated that both PACl formulations significantly outperformed commercial PACl in terms of COD and color removal, with PACl at the basicity of 2.5 achieving slightly higher efficiency than PACl at the basicity of 0.5. The improved performance was attributed to the higher content of polymeric aluminum species, enhancing charge neutralization and bridging adsorption. The addition of coagulant aids further improved the performance, with PACl at the basicity of 2.5 combined with iron ions achieving the highest COD (48.41%) and color removal (80.77%), due to sweep coagulation and complexation. Organic composition analysis using gas chromatography–mass spectrometry (GC-MS), three-dimensional excitation–emission matrix (3D-EEM) fluorescence spectroscopy, and ultraviolet (UV) spectroscopy indicated that PACl combined with iron ions was the most effective in removing polycyclic aromatic hydrocarbons (PAHs) and nitrogen-, oxygen-, and sulfur-containing heterocyclic compounds. Additionally, a floc analysis showed that the flocs formed with iron ions were more compact and had better settleability compared to those formed with CPAM, further contributing to the improved coagulation efficiency. These results highlight the importance of optimizing the PACl basicity and coagulant aid selection for the enhanced removal of refractory organic compounds from coking wastewater, offering a promising strategy for advanced wastewater treatment. Full article
Show Figures

Figure 1

Back to TopTop