Sign in to use this feature.

Years

Between: -

Subjects

remove_circle_outline
remove_circle_outline
remove_circle_outline
remove_circle_outline
remove_circle_outline
remove_circle_outline
remove_circle_outline
remove_circle_outline
remove_circle_outline

Journals

remove_circle_outline
remove_circle_outline
remove_circle_outline
remove_circle_outline
remove_circle_outline
remove_circle_outline
remove_circle_outline
remove_circle_outline
remove_circle_outline

Article Types

Countries / Regions

remove_circle_outline
remove_circle_outline
remove_circle_outline

Search Results (243)

Search Parameters:
Keywords = co-solubilization

Order results
Result details
Results per page
Select all
Export citation of selected articles as:
14 pages, 498 KB  
Article
Integrated Use of Plant Growth-Promoting Rhizobacteria and Chemical Fertilizers Improves the Growth and Yield of the Tomato Plant
by Baby Lyn T. De Guzman, Maria Luisa T. Mason, Pariyanuj Chulaka and Pechrada Pinjai
Appl. Microbiol. 2026, 6(3), 43; https://doi.org/10.3390/applmicrobiol6030043 - 9 Mar 2026
Viewed by 211
Abstract
Microbial biofertilizers offer a sustainable alternative to reduce inorganic fertilizer inputs in intensive vegetable production. While rhizobia are traditionally associated with legumes, their co-inoculation with native rhizobacteria for non-leguminous crops like tomatoes remains under-explored. This study aimed to isolate native rhizobacteria compatible with [...] Read more.
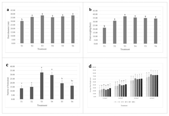
Microbial biofertilizers offer a sustainable alternative to reduce inorganic fertilizer inputs in intensive vegetable production. While rhizobia are traditionally associated with legumes, their co-inoculation with native rhizobacteria for non-leguminous crops like tomatoes remains under-explored. This study aimed to isolate native rhizobacteria compatible with Bradyrhizobium diazoefficiens NE1-65 and evaluate their combined effect on the tomato plant (var. max F1) under reduced inorganic fertilizer rates. From the initial eighteen isolates screened on nitrogen-free media, and solubilization assays of phosphorus and potassium, three isolates (RM-8, RM-17, RM-18) were found compatible with B. diazoefficiens NE1-65. Isolate RM-17 (tentatively identified as Aureimonas sp. based on 16S rRNA gene sequence) was selected for its high K-solubilizing capacity (KSI = 8.60). Then, a 90-day growth trial compared various fertilizer application rates (0, 25, 50, 75, and 100%) with and without the bacterial consortia. The 75% fertilizer rate plus the consortia significantly outperformed the 100% fertilizer rate alone. Specifically, it increased plant height (11.57%), fruit diameter (9.23%), fruit number (53.90%), and fruit weight (16.15%). These findings demonstrate that the RM-17 and B. diazoefficiens NE1-65 consortia can partially substitute inorganic fertilizers while significantly enhancing tomato growth and yield, highlighting its potential application for sustainable tomato production systems. Full article
Show Figures

Figure 1

16 pages, 2554 KB  
Article
A Dual-Function Air Plasma Process for Enhanced PFOA Defluorination and Waste-Activated Sludge Solubilization via Reactive Nitrogen and Oxygen Species
by Zheng Tang, Naixing Kang, Dajun Ren and Yongyuan Yang
Environments 2026, 13(2), 91; https://doi.org/10.3390/environments13020091 - 5 Feb 2026
Viewed by 552
Abstract
Perfluoroalkyl and polyfluoroalkyl substances (PFASs) have been identified as forever chemicals and pose a serious threat to the environment due to their stable C–F bond. The current methods are ineffective or costly for PFAS remediation. In response, this study develops a dielectric barrier [...] Read more.
Perfluoroalkyl and polyfluoroalkyl substances (PFASs) have been identified as forever chemicals and pose a serious threat to the environment due to their stable C–F bond. The current methods are ineffective or costly for PFAS remediation. In response, this study develops a dielectric barrier discharge (DBD) air plasma system capable of simultaneously treating perfluorooctanoic acid (PFOA)-contaminated wastewater and enhancing waste-activated sludge (WAS) solubilization through the subsequent use of plasma-activated water (PAW). Air plasma achieved 94% PFOA degradation and 32% defluorination within 40 min—substantially outperforming Ar and N2 plasma—due to the co-generation of hydrated electrons (eaq), OH, and reactive nitrogen species (RNS). Scavenging experiments confirmed that eaq is the primary initiator of C–F bond cleavage, while H2O2 and NO2 synergistically form peroxynitrous acid (ONOOH), further promoting chain-shortening reactions. UPLC-MS identified PFHpA, PFHxA, PFPeA, and PFBA as key intermediates. The air plasma effluent contained high concentrations of NO2-N and H2O2 under acidic conditions, enabling PAW to induce strong oxidative stress on WAS, resulting in significant extracellular polymeric substance (EPS) release (DOC up to 134 mg/L), improved sludge filterability (capillary suction time (CST) reduced by ~85%), and shifts in microbial community. This study presents a dual-functional air plasma approach that enables both PFAS degradation and sludge treatment, improving the overall competitiveness and applicability of plasma technology for advanced wastewater treatment. Full article
Show Figures

Graphical abstract

20 pages, 2365 KB  
Article
Priestia megaterium Inoculation Enhances the Stability of the Soil Bacterial Network and Promotes Cucumber Growth in a Newly Established Greenhouse
by Yingnan Zhao, Minshuo Zhang, Wei Yang, Xiaomin Wang, Yang Yang, Hong Jie Di, Li Ma, Wenju Liu and Bowen Li
Agriculture 2026, 16(3), 361; https://doi.org/10.3390/agriculture16030361 - 3 Feb 2026
Viewed by 386
Abstract
The rapid expansion of greenhouse agriculture demands sustainable strategies to maintain soil health and productivity from the outset. Priestia megaterium, a plant growth-promoting rhizobacterium (PGPR), has shown promise in improving plant growth and soil nutrient availability, but its efficacy in newly established [...] Read more.
The rapid expansion of greenhouse agriculture demands sustainable strategies to maintain soil health and productivity from the outset. Priestia megaterium, a plant growth-promoting rhizobacterium (PGPR), has shown promise in improving plant growth and soil nutrient availability, but its efficacy in newly established greenhouse systems, where the soil microbiome is still developing, remains underexplored. This study evaluated the impact of P. megaterium inoculation on cucumber growth, soil nutrient bioavailability, and soil microbial communities in a greenhouse with only two years of operation. A two-year experiment was conducted with conventional fertilization as the control and P. megaterium inoculation (7.0 × 108 cfu mL−1) at different rates (37.5, 75, 150, and 300 L ha−1) and timings. Soil and plant nutrient content were measured, and microbial communities were analyzed through 16S rRNA sequencing and co-occurrence network analysis. Results showed that applying P. megaterium at 75 L ha−1 during seedling transplantation significantly increased soil available phosphorus (AP) by 11.64–26.48% and available potassium (AK) by 11.27–47.31% compared to the control, while enhancing cucumber yield by 6.71–9.28%. The inoculant also increased soil bacterial diversity, enriched beneficial genera such as Lysobacter, Pseudomonas, and Flavobacterium, and reduced the abundance of Xanthomonas. Furthermore, P. megaterium application promoted a more complex and stable bacterial network, with higher connectivity and modularity. These findings suggest that P. megaterium is a viable strategy for enhancing soil health and productivity in newly established greenhouse systems, offering an environmentally sustainable alternative to traditional fertilization methods. Full article
(This article belongs to the Section Agricultural Soils)
Show Figures

Figure 1

20 pages, 696 KB  
Article
Functional Profiling of Kiwifruit Phyllosphere Bacteria: Copper Resistance and Biocontrol Potential as a Foundation for Microbiome-Informed Strategies
by Vinicius Casais, Joana Pereira, Eva Garcia, Catarina Coelho, Daniela Figueira, Aitana Ares, Igor Tiago and Joana Costa
Microorganisms 2026, 14(2), 321; https://doi.org/10.3390/microorganisms14020321 - 29 Jan 2026
Viewed by 449
Abstract
Bacterial canker, caused by Pseudomonas syringae pv. actinidiae (Psa) is a major threat to global kiwifruit production. Copper-based bactericides remain widely used, but increasing resistance highlights the urgency of developing sustainable alternatives. Understanding the functional capabilities of phyllosphere bacteria under copper pressure is [...] Read more.
Bacterial canker, caused by Pseudomonas syringae pv. actinidiae (Psa) is a major threat to global kiwifruit production. Copper-based bactericides remain widely used, but increasing resistance highlights the urgency of developing sustainable alternatives. Understanding the functional capabilities of phyllosphere bacteria under copper pressure is critical for designing microbiome-informed management strategies. This study provides a culture-based functional inventory of bacteria associated with Actinidia chinensis var. deliciosa leaves from Portuguese orchards under long-term copper management, aiming to identify native taxa with traits relevant to plant health and resilience. A total of 1058 isolates were recovered and grouped into 261 Random Amplification of Polymorphic DNA (RAPD) clusters, representing 58 species across 29 genera. Representative strains were screened for Plant Growth-Promoting (PGP) traits (Indole-3-acetic acid (IAA), siderophore production, phosphate solubilization, ammonia production), copper tolerance, and in vitro antagonism against Psa. Copper resistance was widespread (53.3% of isolates with MIC ≥ 0.8 mM), including the first evidence of a highly copper-resistant PSA strain in Portuguese kiwifruit orchards and an exceptionally resistant non-pathogenic strain closely related to Erwinia iniecta (MIC 2.8 mM). A subset of 25 isolates combined all four PGP traits, and several also exhibited antagonism against Psa in vitro, among them Bacillus pumilus consistently supressed pathogen growth. Notably, antagonistic and multifunctional traits co-occurred in some isolates, highlighting promising candidates for integrated biocontrol strategies. Overall, the findings reveal a functionally diverse and copper-resilient collection of cultured bacteria, offering both challenges and opportunities for microbiome-based disease management. This work establishes a robust functional basis for subsequent in planta validation and the development of sustainable, microbiome-informed approaches for Psa control. Full article
Show Figures

Figure 1

20 pages, 4476 KB  
Article
Impact of a Combined Remediation Strategy Using Complex Microbial Agents and Corn Straw on Saline–Alkali Soil
by Yan Wang, Wanying Liu, Hangzhe Fan, Ying Zhou, Zhanyu Chen, Fengjie Sun and Xiyan Cui
Agronomy 2026, 16(3), 318; https://doi.org/10.3390/agronomy16030318 - 27 Jan 2026
Viewed by 575
Abstract
Identifying plant-growth-promoting rhizobacteria tolerant to saline–alkali conditions is critical for developing effective microbial agents and multi-strategy approaches to remediate saline–alkali soil. Two salt–alkali-tolerant bacterial strains—phosphorus-solubilizing Bacillus pumilus JL-C and cellulose-decomposing B. halotolerans XW-3—were isolated from saline–alkali soil, with both exhibiting multiple plant-growth-promoting properties, [...] Read more.
Identifying plant-growth-promoting rhizobacteria tolerant to saline–alkali conditions is critical for developing effective microbial agents and multi-strategy approaches to remediate saline–alkali soil. Two salt–alkali-tolerant bacterial strains—phosphorus-solubilizing Bacillus pumilus JL-C and cellulose-decomposing B. halotolerans XW-3—were isolated from saline–alkali soil, with both exhibiting multiple plant-growth-promoting properties, including nitrogen fixation and the generation of indole-3-acetic acid, siderophores, and 1-aminocyclopropane-1-carboxylate deaminase. Alfalfa pot experiments were conducted under four treatments: a control, the strain JL-C treatment, the strain XW-3 treatment, and a co-inoculation treatment (JL-C/XW-3), all mixed with corn straw and applied to the saline–alkali soil. The results demonstrated that the co-inoculation treatment yielded the most significant growth-promoting effects on alfalfa, showing enhanced antioxidant enzyme activities; increased contents of proline, soluble sugar, and protein; reduced malondialdehyde content; lowered pH and electrical conductivity; elevated activities of key enzymes; and increased levels of available nitrogen, phosphorus, potassium, and organic matter content in the soil. The pot experiments were confirmed by field experiments. The results of 16S rRNA high-throughput sequencing revealed changes in the bacterial community composition in the alfalfa rhizosphere, showing shifts in the relative abundance of several bacterial taxa often reported as plant-associated or potentially beneficial. This study establishes a combined remediation strategy for saline–alkali soil utilizing complex microbial agents and corn straw. Full article
(This article belongs to the Special Issue Plant Stress Tolerance: From Genetic Mechanism to Cultivation Methods)
Show Figures

Figure 1

19 pages, 2991 KB  
Article
Effects of Co-Application of Diammonium Phosphate Fertilizer with Microbial Inoculant on Soil Nitrogen Levels and Alfalfa Growth Performance in Saline-Alkali Soil
by Shuai Wang, Changning Li, Xiaohu Wang, Chen Zhang, Yi Feng, Yang Lei and Jiahao Xu
Agronomy 2026, 16(3), 305; https://doi.org/10.3390/agronomy16030305 - 25 Jan 2026
Viewed by 504
Abstract
Soil salinization leads to soil nutrient loss and decreased crop yield. This research aims to determine the optimal reduction rate of diammonium phosphate (DAP) and suitable microbial inoculant for alfalfa cultivation and nitrogen-level improvement in saline-alkali land. The experiment consisted of a factorial [...] Read more.
Soil salinization leads to soil nutrient loss and decreased crop yield. This research aims to determine the optimal reduction rate of diammonium phosphate (DAP) and suitable microbial inoculant for alfalfa cultivation and nitrogen-level improvement in saline-alkali land. The experiment consisted of a factorial arrangement of three DAP fertilizer levels (X1, 60%; X2, 70%; and X3, 80%) and four microbial inoculants (Y1, rhizobial inoculant; Y2, phosphate-solubilizing microbial inoculant; Y3, composite microbial inoculant; and Y4, control) in a split-plot design. The results indicated that DAP fertilizer, microbial inoculant, and their interaction significantly affected (p < 0.05) forage yield, crude protein, available nitrogen (N), and enzyme activities. Under 80% DAP fertilizer combined with the composite microbial inoculant, forage yield, plant height, soil urease (S-UE), and ammonium nitrogen (NH4+-N) reached maximum values of 17.1 t ha−1, 65.7 cm, 292.3 μg d−1 g−1, and 3.1 mg kg−1, respectively. However, the soil total nitrogen (TN) significantly increased at the 60% DAP fertilizer application rate (p < 0.05). Overall, this study demonstrates that co-application of DAP fertilizer with compound microbial inoculant delivers a green, science-based fertilization approach for improving nitrogen levels and alfalfa cultivation in saline-alkali soils. Full article
Show Figures

Graphical abstract

22 pages, 2752 KB  
Review
Capric Acid-Based Therapeutic Deep Eutectic Systems: A Focused Review Within the Framework of Deep Eutectic Solvents
by Faisal Al-Akayleh, Ahmed S. A. Ali Agha, Ali R. Olaimat and Giuseppe Biagini
Pharmaceuticals 2026, 19(1), 159; https://doi.org/10.3390/ph19010159 - 15 Jan 2026
Viewed by 584
Abstract
Background/Objectives: Capric acid (CA)–therapeutic deep eutectic systems (THEDES) are emerging as a distinct class of biofunctional matrices capable of reshaping drug solubilization, permeability, and bioactivity. Methods: Relevant studies on CA–THEDES were identified through targeted database searches and screened for evidence on [...] Read more.
Background/Objectives: Capric acid (CA)–therapeutic deep eutectic systems (THEDES) are emerging as a distinct class of biofunctional matrices capable of reshaping drug solubilization, permeability, and bioactivity. Methods: Relevant studies on CA–THEDES were identified through targeted database searches and screened for evidence on their design, mechanisms, and pharmaceutical performance. Results: This review synthesizes current evidence on their structural design, mechanistic behavior, and pharmaceutical performance, revealing several unifying principles. Across multiple drug classes, CA consistently drives strong, directional hydrogen bonding and drug amorphization, resulting in marked solubility enhancement and stabilization of non-crystalline or supersaturated states relative to crystalline drugs or conventional solvent systems. Its amphiphilic C10 chain further contributes to membrane fluidization, which explains the improved transdermal and transmucosal permeation repeatedly observed in CA-THEDES. Additionally, synergistic antimicrobial and anticancer effects reported in several systems confirm that CA acts not only as a solvent component but as a bioactive co-therapeutic. Collectively, the reviewed data show that CA serves as a structurally determinant element whose dual hydrogen-bonding and membrane-interacting roles underpin the high pharmaceutical performance of these systems. However, gaps remain in long-term stability, toxicological profiling, and regulatory classification. Emerging Artificial Intelligence (AI) and Machine Learning (ML)-guided predictive approaches offer promising solutions by enabling rational selection of eutectic partners, optimal ratios, and property optimization through computational screening. Conclusions: Overall, CA-THEDES represent a rationally designable platform for next-generation drug delivery, where solvent functionality and therapeutic activity converge within a single, green formulation system. Full article
(This article belongs to the Section Pharmaceutical Technology)
Show Figures

Figure 1

18 pages, 2064 KB  
Article
Non-Invasive Acidic Pretreatment Technology of Anaerobic Digestion of Waste-Activated Sludge (WAS) on Biogas Production: Unveiling the Role of Extracellular Polymeric Substances (EPSs) and Pharmaceutical Degradation
by Dragana S. Žmukić, Ljiljana Milovanović, Nataša Slijepčević, Nataša Duduković, Đurđa Kerkez, Lila Boudahmane, Emilie Caupos, Julien Le Roux, Régis Moilleron and Anita S. Leovac Maćerak
Molecules 2026, 31(2), 269; https://doi.org/10.3390/molecules31020269 - 13 Jan 2026
Viewed by 368
Abstract
Non-invasive acidic pretreatments using acetic acid (1–5 mM) and citric acid (0.02–0.1 g g−1 TS) were investigated to enhance anaerobic digestion (AD) of waste-activated sludge (WAS). Both pretreatments improved short-term process stability, with pH (6.5–7.1) and alkalinity (1000–5000 mg CaCO3 L [...] Read more.
Non-invasive acidic pretreatments using acetic acid (1–5 mM) and citric acid (0.02–0.1 g g−1 TS) were investigated to enhance anaerobic digestion (AD) of waste-activated sludge (WAS). Both pretreatments improved short-term process stability, with pH (6.5–7.1) and alkalinity (1000–5000 mg CaCO3 L−1) remaining within optimal ranges during 10-day digestion. Acetic acid markedly enhanced solubilization and acidification, increasing volatile fatty acids to ~2500 mg L−1 (+67% vs. control), whereas citric acid achieved ~2000 mg L−1 (+37%). EPS analysis revealed pronounced redistribution of polysaccharides and proteins, with acetic acid inducing stronger disruption of the EPS matrix (SB-EPS polysaccharides up to 34.1 mg eq Glc mL−1). Specific methane yield increased from 28.5 mL CH4 g−1 VS (control) to 101.7 mL CH4 g−1 VS with acetic acid (3.6-fold) and to 73.8 mL CH4 g−1 VS with citric acid (2.5-fold). Gompertz modeling confirmed higher maximum methane potential, ~68% higher maximum methane production rates, and reduced lag phases for both pretreatments. In contrast, pharmaceutical concentrations (31 compounds) were largely unaffected by acid pretreatment, with significant reductions observed only for selected biodegradable molecules. Full article
(This article belongs to the Section Green Chemistry)
Show Figures

Graphical abstract

21 pages, 5061 KB  
Article
Unveiling Acinetobacter endophylla sp. nov.: A Specialist Endophyte from Peganum harmala with Distinct Genomic and Metabolic Traits
by Salma Mouhib, Khadija Ait Si Mhand, Nabil Radouane, Khaoula Errafii, Issam Meftah Kadmiri, Derly Andrade-Molina, Juan Carlos Fernández-Cadena and Mohamed Hijri
Microorganisms 2025, 13(12), 2843; https://doi.org/10.3390/microorganisms13122843 - 15 Dec 2025
Viewed by 950
Abstract
Peganum harmala (L.) Schrad., a perennial medicinal plant thriving in arid Moroccan soils, represents a natural reservoir of unexplored bacterial diversity. To uncover its hidden foliar endosphere microbiota, we isolated and characterized two Acinetobacter strains: a novel endophytic bacterium, AGC35, and another strain, [...] Read more.
Peganum harmala (L.) Schrad., a perennial medicinal plant thriving in arid Moroccan soils, represents a natural reservoir of unexplored bacterial diversity. To uncover its hidden foliar endosphere microbiota, we isolated and characterized two Acinetobacter strains: a novel endophytic bacterium, AGC35, and another strain, AGC59, newly reported from this host. Both are non-halophilic, aerobic, Gram-negative bacteria exhibiting optimal growth at 30–35 °C, pH5, and with 1% NaCl. An integrative genomic, phylogenetic, functional, and phenotypic characterization classified both strains within the genus Acinetobacter (class Gamma-pseudomonadota). However, Average Nucleotide Identity (<96%) and digital DNA-DNA Hybridization (<70%) values distinguished the AGC35 strain as a novel species, for which the name Acinetobacter endophylla sp. nov. is proposed. A comparative genomic and phenotypic analysis with the co-isolated Acinetobacter pittii strain AGC59 revealed extensive genome rearrangements, reflecting distinct evolutionary lineage and ecological strategies. While both genomes share core metabolic pathways, A. endophylla harbors specialized genes for the degradation of plant-derived aromatic compounds (e.g., catechol) but shows reduced capacities in carbohydrate metabolism and osmotic stress tolerance, traits indicative of a metabolic specialist with plant-growth-promotion potential, including phosphorus, potassium, and silicon solubilization and indole-3-acetic acid production. In contrast, A. pittii exhibits a more generalist genome enriched in stress functions. Analysis using the Antibiotics and Secondary Metabolite Analysis Shell revealed multiple biosynthetic gene clusters in both strains, showing ≤26% similarity to known references, suggesting the potential for novel antimicrobial secondary metabolite biosynthesis, including antifungal lipopeptides and thiopeptide antibiotics. Altogether, functional specialization and ecological coherence of these findings support the recognition of A. endophylla sp. nov. as a genomically and functionally distinct species, highlighting niche partitioning and adaptive metabolism within the P. harmala holobiont. These results underscore the plant’s value as a reservoir of untapped microbial diversity with significant ecological and biotechnological relevance. Finally, future work will focus on elucidating the novel metabolites encoded by the biosynthetic gene clusters in both isolates and exploring their applications in crop-improvement strategies and natural-product discovery. Full article
Show Figures

Figure 1

5 pages, 522 KB  
Proceeding Paper
Transforming Anionic Reverse Micelles: The Potential of Hydrophobic Natural Deep Eutectic Solvents—How the Mixture Between Camphor and Menthol Can Be an Excellent Choice for Reverse Micelle Preparation
by Alejandra González Herrera, Néstor Mariano Correa, Fernando Moyano and Ruben Dario Falcone
Chem. Proc. 2025, 18(1), 131; https://doi.org/10.3390/ecsoc-29-26920 - 13 Nov 2025
Viewed by 226
Abstract
Reverse micelles (RMs) are versatile nanostructures traditionally formed in low-polarity organic solvents, but the need for greener alternatives has limited their broader applicability. Here, we demonstrate for the first time that a hydrophobic Natural Deep Eutectic Solvent (NADES), prepared from a simple 1:1 [...] Read more.
Reverse micelles (RMs) are versatile nanostructures traditionally formed in low-polarity organic solvents, but the need for greener alternatives has limited their broader applicability. Here, we demonstrate for the first time that a hydrophobic Natural Deep Eutectic Solvent (NADES), prepared from a simple 1:1 mixture of camphor and menthol (CM), can act as the continuous external phase for RM formation. Remarkably, CM dissolves the benchmark surfactant sodium dioctyl sulfosuccinate (AOT) at concentrations up to 0.5 M without co-surfactants and supports water solubilization up to W0 = [H2O]/[AOT] = 5, yielding thermodynamically stable systems. 1H and DOSY NMR analyses reveal clear structural rearrangements of the micellar interface, confirm the encapsulation of water in the polar core, and provide quantitative evidence of size modulation as a function of W0. The resulting CM/AOT/water assemblies represent the first example of NADES-based reverse micelles, offering an easily prepared, sustainable, and biocompatible platform. This breakthrough opens new perspectives for the development of green self-assembled systems with promising applications in areas such as food technology, pharmaceuticals, and nanomedicine. Full article
Show Figures

Figure 1

18 pages, 1845 KB  
Article
Comprehensive Analytical Studies on the Solubility and Dissolution Rate Enhancement of Tadalafil with Type IV Lipid Formulations
by Günay Husuzade, Burcu Demiralp, Hakan Nazlı, Tuğçe Boran and Sevgi Güngör
Pharmaceutics 2025, 17(11), 1436; https://doi.org/10.3390/pharmaceutics17111436 - 7 Nov 2025
Viewed by 1570
Abstract
Background: This work aimed to enhance the solubility of Tadalafil (TDL), a BCS Class II drug, by preparing Type IV lipid-based formulations. Methods: Type IV formulations were prepared using surfactants and/or hydrophilic co-surfactants, resulting in oil-free systems. Results: Based on [...] Read more.
Background: This work aimed to enhance the solubility of Tadalafil (TDL), a BCS Class II drug, by preparing Type IV lipid-based formulations. Methods: Type IV formulations were prepared using surfactants and/or hydrophilic co-surfactants, resulting in oil-free systems. Results: Based on the solubility test, Transcutol® HP exhibited the highest solubility for TDL (48.33 ± 0.004 mg/mL) and was selected as the co-surfactant. Among surfactants, Kolliphor® PS80 (42.74 ± 2.29 mg/mL), Kolliphor® EL (41.87 ± 2.50 mg/mL), Kollisolv® PEG 400 (40.70 ± 0.30 mg/mL), and Kolliphor® HS15 (31.40 ± 3.63 mg/mL) demonstrated high solubilization capacity. These were used to prepare formulations without the addition of an oil phase. The developed formulations resulted in a system with a nano-droplet size (<50 nm) and PDI values < 0.3, which was clear, transparent, and resistant to pH dilutions. The optimum Type IV lipid formulations were further characterized and demonstrated good thermodynamic stability under temperature and pH changes. The optimized formulation was adsorbed onto different carriers and transformed into solid TDL-loaded formulations. The in vitro dissolution rate of the drug from the solidified lipid formulations was studied in various dissolution media. It was observed that the solid formulations prepared with Neusilin US2® (2:1) exhibited a significantly higher dissolution of over 95% within 5 min compared to the marketed product. The in vitro lipolysis studies demonstrated that F2 formulation maintained TDL in a supersaturated state throughout digestion, with limited enzymatic degradation of the excipients. Cytotoxicity evaluation using the MTT assay in Caco-2 cells confirmed the biocompatibility of both drug-free and TDL-loaded formulations, with IC50 values of 19.55 µg/mL and 17.55 µg/mL, respectively. Conclusions: The overall results suggested that the developed solid Type IV lipid formulations can improve the dissolution rate of TDL, which would potentially lead to an improvement in its oral bioavailability and, consequently, a reduction in the treatment dose as a safe delivery system. Full article
Show Figures

Graphical abstract

22 pages, 50770 KB  
Article
Metagenomics and In Vitro Growth-Promoting Experiments Revealed the Potential Roles of Mycorrhizal Fungus Humicolopsis cephalosporioides and Helper Bacteria in Cheilotheca humilis Growth
by Yawei Liu, Yuhao Shang, Xin Wang, Xiao Li, Zhiming Yu, Zhanghui Zeng, Zhehao Chen, Lilin Wang, Taihe Xiang and Xiaoping Huang
Microorganisms 2025, 13(10), 2387; https://doi.org/10.3390/microorganisms13102387 - 17 Oct 2025
Cited by 1 | Viewed by 959
Abstract
In mycorrhizal symbiotic relationships, non-photosynthetic myco-heterotrophic plants are unable to supply photosynthates to their associated fungi. On the contrary, they rely on fungal carbon to sustain their own growth. Mycorrhizal fungi can mediate plant interactions with the rhizosphere microbiome, which contributes to the [...] Read more.
In mycorrhizal symbiotic relationships, non-photosynthetic myco-heterotrophic plants are unable to supply photosynthates to their associated fungi. On the contrary, they rely on fungal carbon to sustain their own growth. Mycorrhizal fungi can mediate plant interactions with the rhizosphere microbiome, which contributes to the promotion of plant growth and nutrient uptake. However, the microbial community and key microbial species that function during the growth of the myco-heterotrophic plant Cheilotheca humilis remain unclear. In this study, we evaluated the microbial community associated with Cheilotheca humilis, which was confirmed via morphological characteristics typical of this plant species. Metagenomic analysis showed that the Afipia carboxidovorans was dominant at species level. Based on the LDA score, Bradyrhizobium ottawaense exhibited the higher abundance in the CH-B group (related to bud) while Afipia carboxidovorans was identified from the CH-F group (related to flower). Microbial co-occurrence networks showed that the Rhizobium genus, Herbaspirillum genus, and Cyanobacteriota were defined as core functional microbial species. To explore the potential microorganisms, metagenome-assembled genomes (MAGs) of the rhizosphere microbiome identified 14 medium- and high-quality MAGs, mainly involved in carbon fixation, nitrogen transformation, and phosphorus metabolism, possibly providing nutrients for the plant. Furthermore, a total of 67 rhizospheric and 66 endophytic microorganisms were isolated and obtained. In vitro experiments showed that the mycorrhizal helper bacteria (MHBs) Rhizobium genus and Pseudomonas genus possessed the ability of nitrogen fixation, phosphate solubilization, and siderophores production. Most importantly, the mycorrhizal fungus Humicolopsis cephalosporioides was obtained, which could potentially produce cellulase to supply carbohydrates for host. The findings suggest the mycorrhizal fungus Humicolopsis cephalosporioides and helper bacteria have great potential in the growth of the myco-heterotrophic plant Cheilotheca humilis. Full article
Show Figures

Figure 1

22 pages, 4102 KB  
Article
Modular Virus-like Particles for Antigen Presentation: Comparing Genetic Fusion and Click-Chemistry for Purification
by Karsten Balbierer, Volker Jenzelewski, Fabian C. Herrmann, Michael Piontek and Joachim Jose
Int. J. Mol. Sci. 2025, 26(20), 10036; https://doi.org/10.3390/ijms262010036 - 15 Oct 2025
Viewed by 1208
Abstract
The recent SARS-CoV-2 pandemic has highlighted the need for quickly adaptable technologies in vaccine manufacturing. This can be achieved through virus-like particles (VLPs) as presentation platforms for target antigens. In this study, we investigated the purification of VLPs of the Hepatitis B Core [...] Read more.
The recent SARS-CoV-2 pandemic has highlighted the need for quickly adaptable technologies in vaccine manufacturing. This can be achieved through virus-like particles (VLPs) as presentation platforms for target antigens. In this study, we investigated the purification of VLPs of the Hepatitis B Core antigen (HBc) and the SplitCore (SplCo) technology. The outer surface protein C (OspC) of Borrelia burgdorferi was genetically fused to HBc and its N-terminal SplCo protein. Product solubility in E. coli increased from 40% for HBc-OspC to 90% for SplCo-OspC. This could not be reproduced with similar SARS-CoV-2 receptor-binding domain fusions due to inclusion body formation. Hydrophobicity was found to be significantly lowered for the OspC fusions, in particular for the SplCo variant. Pre-purified samples were generated by precipitating soluble cell lysate. Subsequently, solubilized precipitates were subjected to anion exchange chromatography (AEX), and the elution fractions obtained contained VLPs, albeit with low purity. The VLPs were also disassembled prior to AEX for dissociative purification, but a subsequent reassembly could not be achieved for both fusion variants. A novel HBc variant was constructed for post-translational modification via click-chemistry. The solubility and hydrophobicity of this HBc variant remained high, but native AEX resulted in complete product loss. By contrast, a yield of 84% VLPs was obtained for the modified HBc after dissociative AEX. The surface-exposed azide group on the particles, introduced for click-chemistry, enabled coupling to fluorophores without compromising VLP stability. Conjugation efficiencies of up to 59% were obtained. These results suggest the potential of combining HBc and click-chemistry for future applications, e.g., the presentation of immunogenic epitopes or antigens. This underlines that for every antigen, both the optimal scaffold-decoration strategy and the subsequent manufacturing process should be carefully selected. Full article
(This article belongs to the Section Molecular Genetics and Genomics)
Show Figures

Figure 1

13 pages, 5211 KB  
Article
Reductant-Free Cobalt Recovery from Similar Copper–Cobalt Oxide Ores via Synergistic Reductive-Acid Leaching
by Xianzhao Yao, Chenxiao Fu, Songjiang Li, Rongwei Huang, Jian He, Chaozhen Zheng, Sanping Liu and Jiugang Hu
Minerals 2025, 15(10), 1022; https://doi.org/10.3390/min15101022 - 26 Sep 2025
Viewed by 816
Abstract
Enhancing cobalt recovery from complex low-grade copper–cobalt oxide ores represents a pressing industrial challenge in the Democratic Republic of the Congo (DRC). This study comparatively examined the sulfuric acid leaching behaviors of two copper–cobalt oxide ores with similar mineralogical characteristics and developed a [...] Read more.
Enhancing cobalt recovery from complex low-grade copper–cobalt oxide ores represents a pressing industrial challenge in the Democratic Republic of the Congo (DRC). This study comparatively examined the sulfuric acid leaching behaviors of two copper–cobalt oxide ores with similar mineralogical characteristics and developed a synergistic blending strategy to enhance cobalt recovery. At an endpoint pH of 1.5, both ores achieved high copper extraction (>90%). However, the reductive Re-ore attained >75% Co leaching efficiency, contrasting sharply with the oxidative Ox-ore’s limited 22% recovery. This disparity was attributed to refractory high-valent cobalt phases in Ox-ore requiring a reductive environment. Blending Re-ore with Ox-ore generated a pronounced synergistic effect, progressively lowering the slurry potential with increasing Re-ore mass ratio. At 50% Re-ore incorporation, the leaching efficiency of cobalt from Ox-ore surged from 22.5% to 76% owing to the decrease in slurry potential to 557 mV, substantially exceeding proportional predictions. Residue characterizations confirmed that cobalt phases in Ox-ore were solubilized in the reductive environment facilitated by the residual sulfide phase in Re-ore. Enhanced dissolution of Fe2+ and Mn2+ further correlated with potential-dependent cobalt recovery. This ore-blending strategy provides a cost-efficient alternative to chemical reductants by leveraging intrinsic ore properties to optimize cobalt extraction from challenging oxidized ores. Full article
(This article belongs to the Section Mineral Processing and Extractive Metallurgy)
Show Figures

Figure 1

14 pages, 2768 KB  
Article
Biosynthesis of the Siderophore Desferrioxamine E in Rouxiella badensis SER3 and Its Antagonistic Activity Against Fusarium brachygibbosum
by Luzmaria R. Morales-Cedeño, Sergio de los Santos Villalobos, Pedro D. Loeza-Lara, Debasis Mitra, Ajay Kumar, Ma. del Carmen Orozco-Mosqueda and Gustavo Santoyo
Appl. Microbiol. 2025, 5(3), 91; https://doi.org/10.3390/applmicrobiol5030091 - 26 Aug 2025
Viewed by 2156
Abstract
Iron is a limiting factor for plant and microbial growth because, in soil environments, it is predominantly present as oxyhydroxide minerals, rendering it unavailable to plants and microorganisms. Siderophores are chelating agents secreted to solubilize iron and facilitate its uptake. To understand the [...] Read more.
Iron is a limiting factor for plant and microbial growth because, in soil environments, it is predominantly present as oxyhydroxide minerals, rendering it unavailable to plants and microorganisms. Siderophores are chelating agents secreted to solubilize iron and facilitate its uptake. To understand the evolutionary and ecological dynamics of microbial communities, as well as the evolution of pathogens within hosts, it is essential to study the genes shared between microorganisms for environmental adaptation and survival. In this study, we conducted microbiological assays to evaluate the effect of the siderophore produced by Rouxiella badensis strain SER3 on the mycelial growth of fungal pathogens such as Fusarium brachygibbosum 4BF. Using spectrophotometric techniques and bioinformatics tools, we identified desferrioxamine E (nocardamine) in the culture supernatant, and the corresponding biosynthetic gene cluster in the SER3 genome was confirmed through antiSMASH analysis and synteny comparisons. Gene expression analysis by RT-PCR showed differential expression of biosynthetic precursors when strain SER3 was grown alone or in interaction with fungal pathogen. Finally, scanning electron microscopy revealed structural damage to F. brachygibbosum hyphae during co-culture with strain SER3. These results suggest that the production of desferrioxamine E may act as a biocontrol mechanism employed by R. badensis SER3 against F. brachygibbosum. Full article
(This article belongs to the Topic New Challenges on Plant–Microbe Interactions)
Show Figures

Figure 1

Back to TopTop