Sign in to use this feature.

Years

Between: -

Subjects

remove_circle_outline
remove_circle_outline
remove_circle_outline
remove_circle_outline
remove_circle_outline
remove_circle_outline
remove_circle_outline
remove_circle_outline
remove_circle_outline

Journals

remove_circle_outline
remove_circle_outline
remove_circle_outline
remove_circle_outline
remove_circle_outline
remove_circle_outline
remove_circle_outline
remove_circle_outline
remove_circle_outline
remove_circle_outline
remove_circle_outline
remove_circle_outline
remove_circle_outline
remove_circle_outline
remove_circle_outline
remove_circle_outline
remove_circle_outline

Article Types

Countries / Regions

remove_circle_outline
remove_circle_outline
remove_circle_outline
remove_circle_outline
remove_circle_outline
remove_circle_outline
remove_circle_outline
remove_circle_outline

Search Results (2,904)

Search Parameters:
Keywords = clonality

Order results
Result details
Results per page
Select all
Export citation of selected articles as:
15 pages, 609 KB  
Review
The Exosome Landscape in Acute Myeloid Leukemia: From Molecular Mechanisms to Translational Frontiers
by Vargas-Castellanos Elizabeth, Barbosa-Lopéz Dayana and Figueroa-Emiliani Jair
Genes 2026, 17(3), 290; https://doi.org/10.3390/genes17030290 - 27 Feb 2026
Abstract
Acute myeloid leukemia (AML) is a biologically heterogeneous hematologic malignancy arising from the oncogenic transformation of hematopoietic stem and progenitor cells, resulting in clonal expansion and progressive subclonal diversification. Although considerable advances have deepened our understanding of AML pathogenesis, major challenges persist, particularly [...] Read more.
Acute myeloid leukemia (AML) is a biologically heterogeneous hematologic malignancy arising from the oncogenic transformation of hematopoietic stem and progenitor cells, resulting in clonal expansion and progressive subclonal diversification. Although considerable advances have deepened our understanding of AML pathogenesis, major challenges persist, particularly regarding relapses and therapeutic resistance. In recent years, exosomes—extracellular vesicles of 30–150 nm in diameter of endosomal origin—have emerged as critical mediators of intercellular communication within the AML tumor microenvironment. These vesicles transport a diverse cargo of proteins, metabolites, and nucleic acids, including mRNA, non-coding RNA species, and DNA, which is selectively packaged during their biogenesis. Circulating exosomes have garnered attention as promising liquid biomarkers for diagnosis, prognosis, and monitoring minimal residual disease, while also representing potential therapeutic targets or delivery platforms. Nonetheless, significant knowledge gaps remain regarding the mechanisms governing exosome biogenesis, cargo selection, and the functional impact on leukemia progression and immune modulation. This review focuses on the role of exosomes in acute myeloid leukemia, with an emphasis on the molecular mechanisms underlying their involvement in pathogenesis, tumor communication, and resistance to therapies, as well as their potential as diagnostic biomarkers. Full article
(This article belongs to the Special Issue DNA Repair, Genomic Instability and Cancer)
14 pages, 982 KB  
Article
Diagnostic Significance of Selected Plasma MicroRNAs in Myelodysplastic Syndromes
by Svilena Atanasova, Trifon Chervenkov, Maria Teneva, Stela Dimitrova and Ilina Micheva
Int. J. Mol. Sci. 2026, 27(5), 2250; https://doi.org/10.3390/ijms27052250 - 27 Feb 2026
Abstract
Myelodysplastic syndromes (MDSs) are clonal hematopoietic disorders characterized by ineffective hematopoiesis and their diagnosis remains challenging, requiring integration of clinical, morphological, and genetic data. MicroRNAs (miRNAs) have emerged as potential biomarkers in MDS, offering insights into disease mechanisms and patient stratification. This study [...] Read more.
Myelodysplastic syndromes (MDSs) are clonal hematopoietic disorders characterized by ineffective hematopoiesis and their diagnosis remains challenging, requiring integration of clinical, morphological, and genetic data. MicroRNAs (miRNAs) have emerged as potential biomarkers in MDS, offering insights into disease mechanisms and patient stratification. This study aimed to evaluate the diagnostic and prognostic significance of five plasma microRNAs (miR-22-3p, miR-144-3p, miR-16-5p, let-7a-5p, and miR-451a) in 40 patients with MDS, diagnosed according to WHO 2016 criteria and stratified by R-IPSS, and ten healthy controls. Plasma miRNA levels were measured by RT-qPCR. Expression profiles were compared between patients and controls, and further assessed in relation to disease subtypes, risk categories, and clinicopathological features. Expression analysis showed that miR-144-3p, miR-16-5p, let-7a-5p, and miR-451a were significantly lower in MDS patients compared to controls. MiR-451a demonstrated the highest diagnostic predictive value (p = 0.0022), followed by miR-16-5p (p = 0.0055), miR-144-3p (p = 0.0074), and let-7a-5p (p = 0.0092). Let-7a-5p was higher in MDS with excess blasts and both let-7a-5p and miR-451a were lower in the low-risk R-IPSS group. Strong correlations between miR-16-5p, miR-144-3p, and miR-451a were observed, probably reflecting their function in erythropoiesis. None of the investigated microRNAs showed independent prognostic significance for overall survival. In conclusion, circulating microRNAs, particularly miR-451a and let-7a-5p, show promise as supportive biomarkers that may complement existing diagnostic and risk assessment tools in MDS. Further studies are needed to validate their clinical applicability. Full article
(This article belongs to the Special Issue MicroRNAs in Physiology and Pathophysiology)
26 pages, 3957 KB  
Article
Geographic, Temporal and Genetic Factors Shaping the Structure and Function of Walnut Rhizosphere Microbiome
by Silvia García-García, Sergio Diez-Hermano, Julio J. Diez and Jerson Garita-Cambronero
Agronomy 2026, 16(5), 513; https://doi.org/10.3390/agronomy16050513 - 27 Feb 2026
Abstract
Walnut (Juglans regia L.) performance and sustainability are closely linked to soil–plant–microbe interactions; nowadays, the combined influence of edaphic context, plantation development and rootstock genotype on walnut-associated microbiomes remains insufficiently resolved. Here, we integrated soil physicochemical characterization, community-level physiological profiling and 16S [...] Read more.
Walnut (Juglans regia L.) performance and sustainability are closely linked to soil–plant–microbe interactions; nowadays, the combined influence of edaphic context, plantation development and rootstock genotype on walnut-associated microbiomes remains insufficiently resolved. Here, we integrated soil physicochemical characterization, community-level physiological profiling and 16S rRNA gene amplicon sequencing across walnut plantations in four Spanish regions. The design included 14-year clonal stands (Galicia, Gerona, Toledo), an age gradient in Galicia (4, 9 and 14 years), and four rootstocks (MJ209, Vlach, own-rooted ‘Chandler’ and J. regia seedling) in the Córdoba plantation. At the community-level, rhizospheres exhibited higher overall metabolic activity, displaying substrate-specific functional fingerprints across regions. Regarding stand ages, a functional peak was observed at middle age, with a decline in richness and diversity with age. Moreover, rootstock genotype further modulated rhizosphere metabolic function. Sequencing supported compositional differences among regions, ages and rootstocks, identifying a bacterial core of Juglans spp. rhizosphere and detecting 36 putative Plant Growth-Promoting Rhizobacteria (PGPR) genera, suggesting a potential reservoir and possible uses in plant biotechnology. Overall, walnut-associated microbiomes are jointly structured by soil gradients, plantation development and rootstock genotype, supporting site and genotype-tailored microbiome management. Full article
(This article belongs to the Section Agricultural Biosystem and Biological Engineering)
Show Figures

Figure 1

13 pages, 2217 KB  
Case Report
Plasmablastic Transformation of CLL/SLL: The Role of Early NGS Diagnosis and Targeted Multimodal Therapy
by Jelena Filipović, Sara Milošević, Tatjana Terzić, Thorsten Braun, Ramy Rahmé, Grégory Lazarian, Thami Benboubker, Michael Soussan and Antoine Martin
Diagnostics 2026, 16(5), 702; https://doi.org/10.3390/diagnostics16050702 - 27 Feb 2026
Abstract
Background and Clinical Significance: Plasmablastic lymphoma (PBL) is a rare and highly aggressive B-cell neoplasm most often associated with immunodeficiency. Transformation of chronic lymphocytic leukemia/small lymphocytic lymphoma (CLL/SLL) into PBL is exceptionally uncommon, particularly in immunocompetent individuals. This paper describes a rare synchronous [...] Read more.
Background and Clinical Significance: Plasmablastic lymphoma (PBL) is a rare and highly aggressive B-cell neoplasm most often associated with immunodeficiency. Transformation of chronic lymphocytic leukemia/small lymphocytic lymphoma (CLL/SLL) into PBL is exceptionally uncommon, particularly in immunocompetent individuals. This paper describes a rare synchronous SLL-to-PBL transformation and summarizes current knowledge on synchronous and metachronous cases reported in the literature. Case Presentation A midle-aged immunocompetent patent presented with generalized lymphadenopathy and lumbar pain. Concurrent biopsies of an axillary lymph node and a retroperitoneal mass were obtained. Diagnostic evaluation included immunohistochemistry; fluorescent in situ hybridization (FISH); PCR-based assessment of IGH, IGK, and IGL loci; and next-generation sequencing (NGS) of IGHV to assess clonal relatedness. The patient was treated with six cycles of Dara-CHOP, followed by autologous stem cell transplantation and maintenance therapy with daratumumab and ibrutinib. The axillary node showed SLL (CD20+, CD5+, CD23+), while the retroperitoneal mass demonstrated classic features of PBL (CD138+, MUM1+, MYC+, Ki-67 ~100%, CD20−). FISH detected MYC rearrangement in the PBL component. PCR and NGS confirmed identical IGHV1-69 rearrangements, establishing clonal relatedness and Richter transformation. A review of published cases shows that both synchronous and metachronous CLL/SLL-to-PBL transformations are exceedingly rare. The patient achieved partial metabolic remission after treatment and remains in sustained metabolic response 24 months after diagnosis. Conclusions: This case highlights a rare example of synchronous CLL/SLL-to-PBL transformation in an immunocompetent patient. Integration of detailed molecular diagnostics enabled early recognition and guided a personalized treatment approach incorporating CD38-targeted therapy and BTK inhibition, resulting in an excellent long-term clinical outcome. Full article
(This article belongs to the Special Issue Diagnosis and Management of Hematologic Malignancies)
Show Figures

Figure 1

34 pages, 1319 KB  
Review
Emerging Mechanisms and Therapeutic Strategies in Dilated Cardiomyopathy
by Linlin Wang, Chen Chen and Dao Wen Wang
Biomedicines 2026, 14(3), 523; https://doi.org/10.3390/biomedicines14030523 - 26 Feb 2026
Abstract
Dilated cardiomyopathy (DCM) is a leading cause of heart failure and heart transplantation and is characterized by marked clinical and etiological heterogeneity. Recent studies have expanded the understanding of DCM from a predominantly monogenic disorder to a multifactorial disease shaped by genetic susceptibility [...] Read more.
Dilated cardiomyopathy (DCM) is a leading cause of heart failure and heart transplantation and is characterized by marked clinical and etiological heterogeneity. Recent studies have expanded the understanding of DCM from a predominantly monogenic disorder to a multifactorial disease shaped by genetic susceptibility and acquired or environmental “second hits”. Beyond rare pathogenic variants, emerging evidence highlights the contribution of clonal hematopoiesis of indeterminate potential to inflammation-driven adverse cardiac remodeling and disease progression. These secondary modifiers interact with pre-existing genetic backgrounds to amplify shared downstream pathways. In parallel, advances in mechanism-informed therapies are increasingly translating these insights into clinical practice. Beyond guideline-directed medical and device therapy, emerging approaches targeting specific molecular pathways, including sarcomeric modulators, inflammatory signaling, and gene- or cell-based interventions, illustrate a shift toward more personalized and stage-specific management of DCM and heart failure. This review aims to provide an updated overview of recent advances in the molecular mechanisms and diagnosis underlying DCM and discuss their implications for current and emerging therapeutic strategies. Full article
(This article belongs to the Section Molecular and Translational Medicine)
20 pages, 4888 KB  
Article
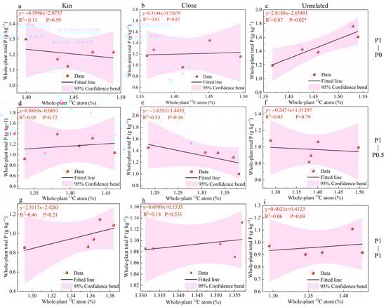
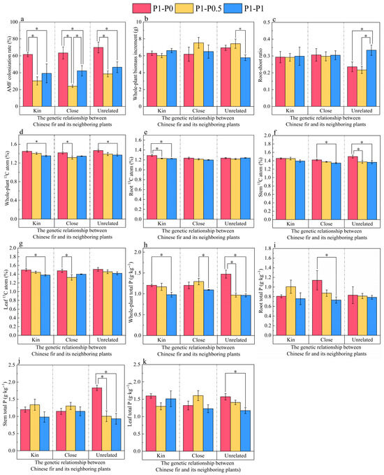
Kinship Modulates Carbon Allocation and Phosphorus Acquisition in Chinese Fir–AMF Networks Under Neighbor P Limitation
by Zihao Zhao, Hongjian Wei, Hui Hu, Yuxin Yao, Jing Liang and Pengfei Wu
Plants 2026, 15(5), 703; https://doi.org/10.3390/plants15050703 - 26 Feb 2026
Abstract
Phosphorus (P) deficiency in forest soils is a key constraint on the sustainable management and productivity of Chinese fir (Cunninghamia lanceolata) plantations. This study investigated how P limitation alters the reciprocal exchange of “photosynthetic carbon and mineral phosphorus” between Chinese fir [...] Read more.
Phosphorus (P) deficiency in forest soils is a key constraint on the sustainable management and productivity of Chinese fir (Cunninghamia lanceolata) plantations. This study investigated how P limitation alters the reciprocal exchange of “photosynthetic carbon and mineral phosphorus” between Chinese fir and arbuscular mycorrhizal fungi (AMF) when the focal plant grows adjacent to neighbors with different degrees of relatedness. An indoor pot experiment simulating heterogeneous P supply was conducted using clonal seedlings of Chinese fir No. 36 as the focal plant, with Chinese fir No. 36, Chinese fir No. 41, and Schima superba as neighboring plants to establish three two-plant combinations: a kin pair (No. 36 + No. 36), a close-kin pair (No. 36 + No. 41), and an unrelated-kin pair (No. 36 + S. superba). Funneliformis mosseae was inoculated into the shared root-zone room connecting the two plants, and the neighbor was subjected to a gradient of P limitation (sufficient P, low P, and zero P). Meanwhile, the focal No. 36 plant received 13CO2 pulse labeling to form a “Chinese fir–AMF–P-limited neighbor” symbiotic network in which No. 36 served as the 13C donor. AMF colonization, seedling growth, and changes in 13C enrichment and P concentration in plant tissues of the focal plant were quantified. Neighbor P limitation significantly increased AMF colonization in roots and whole-plant P concentration of the focal Chinese fir. Following 13CO2 pulse labeling, whole-plant 13C enrichment of the focal plant increased significantly under the neighbor zero P treatment, suggesting enhanced carbon allocation under severe neighbor P limitation. Moreover, under the neighbor zero P treatment, focal plants grown with an unrelated-kin neighbor showed significant increases in stem P concentration (1.86 g·kg−1) and stem atom% 13C (1.50%), whereas focal plants grown with a kin neighbor exhibited a significant increase in root Atom% 13C (1.29%). These patterns indicate that neighbor relatedness may modulate carbon allocation and P acquisition within the mycorrhizal network: in the kin context, the focal plant tended to allocate more photosynthetic carbon belowground and may partially subsidize the AMF carbon demand (i.e., a higher C reward), coinciding with a relatively weaker P accumulation in its own tissues; in contrast, in the unrelated kin context, carbon allocation shifted toward stems and was associated with strengthened P accumulation in stem tissues. Overall, the results highlight the dynamic nature of AMF-mediated carbon–nutrient reciprocity across hosts of contrasting relatedness and provide new insights into how mycorrhizal networks may facilitate plant adaptation to nutrient limitation. Full article
Show Figures

Figure 1

25 pages, 1571 KB  
Article
Environmental Persistence and Genotypic and Phenotypic Characterization of Salmonella Minnesota in Poultry Slaughterhouses
by Larissa Justino, Ana Angelita Sampaio Baptista, Rafael Humberto de Carvalho, Tiago Casella, Evelin Lurie Sano, João Vitor da Silva Costa, Arthur Roberto da Costa, Maísa Fabiana Menck-Costa, Maria Fernanda Marques Pilli, Ana Carolina Bergamo Benteo, Marielen de Souza, Alceu Kazuo Hirata, Carlos Adelino Dalle Mole, Rafael Mesalla Costalonga Andrade, Raphael Lucio Andreatti Filho and Alexandre Oba
Pathogens 2026, 15(3), 247; https://doi.org/10.3390/pathogens15030247 - 26 Feb 2026
Abstract
Salmonella Minnesota (SM) is considered an emerging serovar, adapted to the poultry production chain, frequently associated with antimicrobial resistance, biofilm formation, and environmental persistence. This study aimed to characterize SM isolates from a poultry slaughterhouse regarding phenotypic and genotypic profiles of antimicrobial resistance, [...] Read more.
Salmonella Minnesota (SM) is considered an emerging serovar, adapted to the poultry production chain, frequently associated with antimicrobial resistance, biofilm formation, and environmental persistence. This study aimed to characterize SM isolates from a poultry slaughterhouse regarding phenotypic and genotypic profiles of antimicrobial resistance, biofilm-forming capacity, thermal tolerance, genotypic virulence profile, and clonal relatedness. Strains obtained from carcasses (n = 26), cecal contents (n = 25), and chiller water (n = 11) from the slaughterhouse were evaluated. A high frequency of resistance to β-lactams, multidrug-resistant phenotypes, and extended-spectrum β-lactamase-producing isolates were observed. All isolates harbored genes associated with virulence and biofilm formation (invA, csgD, and adrA). Biofilm formation was influenced by temperature, with greater intensity at refrigeration temperatures, especially on stainless steel surfaces. In thermal tolerance assays, a negative correlation between temperature and bacterial viability was observed. Genetically related lineages circulating among cecum, carcass, and slaughterhouse chiller water over time were observed. These findings indicate that the persistence of SM in poultry slaughterhouses is sustained by the interaction between antimicrobial resistance, adaptive capacity associated with biofilm formation, and the circulation of genetically related lineages, representing a relevant challenge for food safety and public health. Full article
(This article belongs to the Special Issue Salmonella: A Global Health Threat and Food Safety Challenge)
Show Figures

Figure 1

12 pages, 1148 KB  
Article
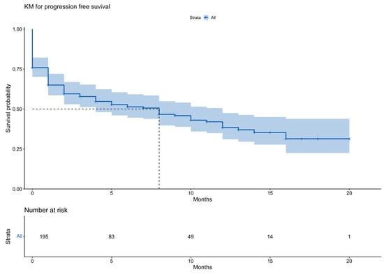
A Real-World Analysis of the Safety and Efficacy of Teclistamab for Patients with Relapsed/Refractory Multiple Myeloma and Baseline Renal Impairment—USMIRC Group
by Maha Hameed, Alma Habib, Abdullah Mohammad Khan, Mehak Masood Laharwal, Prerna Mewawalla, Marshall McKenna, Yun Kyuong Ryu Tiger, Mansi Shah, Hira Shaikh, Christopher Strouse, Kimberly Green, Jordan Snyder, Zahra Mahmoudjafari, Muhammad Umair Mushtaq, Nausheen Ahmed, Al-Ola Abdallah, Shebli Atrash, Barry Paul and Reed Friend
Cancers 2026, 18(5), 740; https://doi.org/10.3390/cancers18050740 - 25 Feb 2026
Abstract
Background: Multiple myeloma (MM) is a hematologic malignancy characterized by the clonal proliferation of plasma cells and a rapidly evolving treatment landscape. Bispecific antibodies targeting B-cell maturation antigens (BCMA) have emerged as promising therapeutic options for relapsed and/or refractory multiple myeloma (RRMM). Methods: [...] Read more.
Background: Multiple myeloma (MM) is a hematologic malignancy characterized by the clonal proliferation of plasma cells and a rapidly evolving treatment landscape. Bispecific antibodies targeting B-cell maturation antigens (BCMA) have emerged as promising therapeutic options for relapsed and/or refractory multiple myeloma (RRMM). Methods: This retrospective study evaluated the efficacy and safety of teclistamab, a BCMA-directed bispecific antibody, in patients with RRMM with renal impairment (RI) at baseline compared to those without. Conducted across seven academic centers, the study included 195 patients with RRMM, of whom 34 had baseline RI. Results: Performance status, previous lines of treatment, and prior BCMA exposure were identified as significant predictors of progression-free survival. Notably, patients with RI demonstrated overall response rates and toxicity profiles comparable to those without RI, although they required more packed red blood cell transfusions. No statistically significant differences were observed in adverse events, including cytokine release syndrome and infections. Conclusions: Overall, the findings support the efficacy and safety of teclistamab in patients with RRMM and RI, highlighting the need for prospective clinical trials to optimize the treatment strategies for this population. Full article
(This article belongs to the Collection Advances in Multiple Myeloma Research and Treatment)
Show Figures

Figure 1

13 pages, 382 KB  
Article
Molecular Epidemiology of Toxigenic Clostridioides difficile Isolated from Bulgarian Patients and the Prevalence of Hypervirulent ST1 Clone
by Rumyana Markovska, Georgi Dimitrov, Denis Niyazi, Temenuga Stoeva, Kalina Mihova and Lyudmila Boyanova
Microorganisms 2026, 14(3), 532; https://doi.org/10.3390/microorganisms14030532 - 25 Feb 2026
Viewed by 82
Abstract
The aim of the study was to investigate the MLST types and genes encoding Clostridioides difficile toxins from fecal clinical samples of patients from two large Bulgarian cities. Overall, 100 toxigenic isolates were obtained during a 10-year period from five hospitals in Sofia [...] Read more.
The aim of the study was to investigate the MLST types and genes encoding Clostridioides difficile toxins from fecal clinical samples of patients from two large Bulgarian cities. Overall, 100 toxigenic isolates were obtained during a 10-year period from five hospitals in Sofia and Varna, Bulgaria. Toxin gene patterns of the isolates were determined with conventional polymerase chain reaction, and multilocus sequence typing (MLST) types were determined according to Griffith’s scheme. The evolutionary relatedness of ST types was analyzed through PHYLOViZ. Binary toxin-positive isolates accounted for 35% (35/100), and the most prevalent sequence type (ST) type was ST1 (clade2) with 34%. One binary toxin-positive isolate belonged to ST11 (clade5). The cdt-negative isolates were of two clades: clade 4 (ST37), with 1 tcdA-tcdB+ isolate, and clade 1, with 64 isolates. All the cdt-positive isolates showed 18 bp deletions of tcdC, except a ST11 isolate exhibiting a 39 bp deletion. Importantly, there was more than a 6-fold increase in ST1 isolates in the 2020–2023 period versus 2014–2019. The main cdt-negative isolates were ST3 (14%), ST2 (6%), ST42 (5%), and ST92 (5%). They were tcdA+tcdB+. Four main clonal complexes (with one allele difference) were found. The first one encompassed 19 isolates and included ST3 and ST42; the second included ST8, ST16, ST52, ST92 and ST36 (11 isolates); the third consisted of 13 isolates (ST2, ST49, ST13 and ST110 clones); and the fourth included ST10 and ST44 (5 isolates). The significance of our work is the detection of a high frequency of hypervirulent isolates during the COVID-19 pandemic period, which we attribute to the national consumption of systemic antibiotics, which increased during the second period, unlike the trend in other European countries. The results highlight the need for enhanced infection control measures and strict compliance with antibiotic stewardship programs. Full article
Show Figures

Figure 1

14 pages, 804 KB  
Article
Diagnostic Performance of Leukocyte Abnormality Detection in a Large Cohort of Healthy Blood Donors Using Sysmex XN Series Analyzers Integrated with Peripheral Blood Morphology and Flow Cytometry
by Francesca Romano, Valentina Becherucci, Sara Ciullini Mannurita, Edda Russo, Alessandra Mongia, Anna Maria Grazia Gelli, Alessandra Fanelli and Francesca Brugnolo
Diagnostics 2026, 16(5), 661; https://doi.org/10.3390/diagnostics16050661 - 25 Feb 2026
Viewed by 65
Abstract
Background: The Sysmex XN series (XN-1000 and XN-9100, Sysmex Corporation, Kobe, Japan) represents a latest-generation automated hematology platform integrating fluorescence-based technologies and multi-channel analysis (WDF and WPC) to improve leukocyte characterization. This study aimed to evaluate the performance of the Sysmex XN series [...] Read more.
Background: The Sysmex XN series (XN-1000 and XN-9100, Sysmex Corporation, Kobe, Japan) represents a latest-generation automated hematology platform integrating fluorescence-based technologies and multi-channel analysis (WDF and WPC) to improve leukocyte characterization. This study aimed to evaluate the performance of the Sysmex XN series in detecting leukocyte abnormalities flagged during routine complete blood count analysis in a large cohort of healthy donors, using morphological assessment and flow cytometry as confirmatory methods. Methods: Approximately 8000 healthy blood donors from the AOU Meyer Transfusion Centre were evaluated between 2021 and 2024. All samples underwent CBC analysis using the XN-1000 and XN-9100 analyzers with the WDF channel. Samples showing WBC-related flags were subjected to reflex testing with the WPC channel, followed by digital blood smear review using the DI-60 system (CellaVision, Lund, Sweden) and flow cytometric immunophenotyping. Results: WDF flags for “blasts/abnormal lymphocytes” were identified in 23 samples. Two samples were negative on WPC analysis as well as on morphological and flow cytometric evaluation. Among the remaining cases, WPC analysis identified flags for abnormal lymphocytes, atypical lymphocytes, or blasts, which were variably associated with reactive changes, transient immune activation, or clonal lymphoproliferative conditions. In one donor, monoclonal B-cell lymphocytosis was diagnosed by flow cytometry. Overall, reactive morphological features confirmed by flow cytometry were observed in approximately 50% of flagged cases. Conclusions: WPC analysis provides relevant additional diagnostic information and demonstrates higher specificity compared with the WDF channel alone; however, it does not fully resolve all instrument-generated flags, confirming the essential role of morphological assessment. Interestingly, the frequent occurrence of inflammatory profiles in recently vaccinated donors suggests that transient immune activation may influence leukocyte flagging. Larger studies are warranted to further investigate this association and to optimize the diagnostic performance of the WPC channel in donor screening. Full article
(This article belongs to the Special Issue Hematology: Diagnostic Techniques and Assays, 2nd Edition)
Show Figures

Figure 1

16 pages, 1049 KB  
Review
The Management of Menopause in Women with Philadelphia-Negative Myeloproliferative Neoplasms: Clinical Challenges and Therapeutic Considerations
by Claire Woodley and Priya Sriskandarajah
Cancers 2026, 18(5), 728; https://doi.org/10.3390/cancers18050728 - 24 Feb 2026
Viewed by 134
Abstract
Philadelphia-Negative Myeloproliferative neoplasms (MPNs) are chronic clonal hematopoietic malignancies characterized by dysregulated myeloid proliferation, chronic inflammation, and an increased risk of thrombotic and hemorrhagic complications. In addition to disease-related morbidity, MPNs are associated with a substantial symptom burden that significantly impacts quality of [...] Read more.
Philadelphia-Negative Myeloproliferative neoplasms (MPNs) are chronic clonal hematopoietic malignancies characterized by dysregulated myeloid proliferation, chronic inflammation, and an increased risk of thrombotic and hemorrhagic complications. In addition to disease-related morbidity, MPNs are associated with a substantial symptom burden that significantly impacts quality of life. Menopause is accompanied by hormonal changes that can produce symptoms overlapping with those of MPNs, complicating clinical assessment and management in affected women. This challenge is further compounded by the lack of disease-specific guidance on menopause management in women with MPNs and ongoing concerns regarding the thrombotic risk associated with hormone replacement therapy (HRT). This narrative review summarizes the current evidence on menopause in women with Philadelphia chromosome–negative MPNs, with particular focus on the safety and role of HRT, non-hormonal therapeutic alternatives, and supportive care strategies. We also propose a pragmatic clinical algorithm to support individualized menopause management in this high-risk population. Full article
(This article belongs to the Section Cancer Therapy)
Show Figures

Figure 1

15 pages, 956 KB  
Article
Genomic Insights into Carbapenem-Resistant Pseudomonas aeruginosa (CRPA): Resistome and Virulome Analysis Beyond Carbapenemases
by Marta Pantanella, Grazia Pavia, Nadia Marascio, Chiara Mazzei, Simona Gigliotti, Francesca Serapide, Alessandro Russo, Giovanni Matera and Angela Quirino
J. Clin. Med. 2026, 15(5), 1683; https://doi.org/10.3390/jcm15051683 - 24 Feb 2026
Viewed by 99
Abstract
Background: Carbapenem-resistant Pseudomonas aeruginosa (CRPA) has been added to the World Health Organization’s list as a high-priority pathogen for which new antibiotics are urgently needed. Herein, we investigated the association between resistance/virulence genes and high-risk CRPA clinical isolates by whole genome sequencing (WGS). [...] Read more.
Background: Carbapenem-resistant Pseudomonas aeruginosa (CRPA) has been added to the World Health Organization’s list as a high-priority pathogen for which new antibiotics are urgently needed. Herein, we investigated the association between resistance/virulence genes and high-risk CRPA clinical isolates by whole genome sequencing (WGS). Methods: Between 2019 and 2025, twenty-six CRPA strains from patients hospitalized in the “Renato Dulbecco” University Hospital were characterized. WGS analysis was performed using the next generation sequencing (NGS) technique. Multi-locus sequence typing (MLST) prediction was performed. Antibiotic resistance genes were detected using Antibiotic Resistance Gene-ANNOTation, Comprehensive Antibiotic Resistance Database, and ResFinder. Virulence genes were identified by the Virulence Factor Database. Results: The MLST analysis detected 14 different sequence types (ST). The 26 strains exhibited the same resistome profile: aac(3)-Ic, aphA15, catB7, catB10, cmlA, blaCARB, blaVIM-1, and tetG genes. The genes encoding enzymes involved in resistance to chloramphenicol and beta-lactams were found in all isolates using the three databases. Biofilm formation genes, metalloproteinase, chemotaxis, fimbriae, and pyoverdine were identified in all strains. Genes of the type III secretion system exoS, exoT, exoU, and exoY were found in 46.15%, 84.61%, 53.84%, and 84.61% of the strains, respectively. Conclusions: The analysis of the 26 clinical isolates showed high clonal heterogeneity, with a predominance of ST235, a high-risk clone associated with multiple resistances. Interestingly, cefiderocol resistance was carried by 4/8 isolates belonging to the ST235 strain. The surveillance based on resistome and virulome analysis could monitor the dynamic evolution of high priorityhigh-priority pathogens to guide clinical treatment and to adapt healthcare control measures, limiting their spread in the near future. Full article
(This article belongs to the Section Infectious Diseases)
Show Figures

Figure 1

18 pages, 475 KB  
Review
The Evolving Landscape of Anti-Clonal Therapy in Newly Diagnosed Systemic Light-Chain (AL) Amyloidosis: Evidence- and Time-Based Comparison with Multiple Myeloma
by Rafael Ríos-Tamayo
Life 2026, 16(2), 363; https://doi.org/10.3390/life16020363 - 22 Feb 2026
Viewed by 257
Abstract
Light-chain (AL) amyloidosis is a rare and incurable disease, classified under the category of plasma cell neoplasms and other diseases with paraproteins in the 5th Edition of the World Health Organization classification of lymphoid tumors. This entity shares some similarities with multiple myeloma [...] Read more.
Light-chain (AL) amyloidosis is a rare and incurable disease, classified under the category of plasma cell neoplasms and other diseases with paraproteins in the 5th Edition of the World Health Organization classification of lymphoid tumors. This entity shares some similarities with multiple myeloma (MM), remarkably a bone marrow infiltration of clonal plasma cells. Moreover, one out of five newly diagnosed cases of AL amyloidosis (NDAL) also fulfills the current diagnostic criteria for MM. A multidisciplinary therapy approach should be established, in which hematological therapy plays a crucial role. Anti-clonal therapy is the basis of hematological therapy, in addition to supportive therapy and emerging anti-fibrils therapy. In recent years, advances in the anti-clonal therapy for MM have progressively transferred to carefully selected patients with systemic AL amyloidosis, significantly improving outcomes in this rapidly changing field. This review aims to critically analyze the comparative evolution and evidence-based approach of anti-clonal therapy in NDAL vs. MM since the introduction of bortezomib. Participation in clinical trials remains the first option to consider in daily clinical practice. Full article
(This article belongs to the Section Medical Research)
Show Figures

Figure 1

13 pages, 1435 KB  
Article
Long-Term Survival with Daratumumab, Lenalidomide and Dexamethasone in Transplant-Ineligible Newly Diagnosed Multiple Myeloma Patients—A Survey from Two Italian Centers
by Vittorio Del Fabro, Lara Gullo, Giuliana Giunta, Giuseppina Uccello, Claudia Bellofiore, Cristina Lo Faro, Dario Leotta, Federica Elia, Veronica Vecchio, Chiara Sorbello, Ugo Consoli, Alessandra Romano, Francesco Di Raimondo, Manlio Fazio, Fabio Stagno and Concetta Conticello
Diseases 2026, 14(2), 81; https://doi.org/10.3390/diseases14020081 - 21 Feb 2026
Viewed by 150
Abstract
Background: Multiple myeloma (MM) is a clonal plasma cell neoplasm representing the second most common hematological malignancy. The combination of daratumumab, lenalidomide and dexamethasone (D-Rd) was first approved by the EMA (European Medicines Agency) for the treatment of relapsed/refractory multiple myeloma (RRMM) patients, [...] Read more.
Background: Multiple myeloma (MM) is a clonal plasma cell neoplasm representing the second most common hematological malignancy. The combination of daratumumab, lenalidomide and dexamethasone (D-Rd) was first approved by the EMA (European Medicines Agency) for the treatment of relapsed/refractory multiple myeloma (RRMM) patients, and was subsequently approved for first-line therapy, based on the results of POLLUX and MAIA trials, respectively. Methods: In this survey, we retrospectively collected data from 96 consecutive transplant-ineligible newly diagnosed multiple myeloma (TIE-NDMM) patients treated with the D-Rd combination. Results: The median age was 73 years; the median progression free survival (mPFS) and median overall survival (mOS) were not reached (NR); the overall response rate (ORR), defined as patients who obtained at least a partial response (PR), was 90%; 59% of patients achieved a very good partial response (VGPR) or better. A strong negative correlation was observed between treatment response and elevated beta-2-microglobulin levels. Conclusions: This study confirms the efficacy of the D-Rd combination as first-line therapy for TIE-NDMM patients, suggesting that achieving at least a PR—and particularly a VGPR—may represent a strong predictor of long-term remission and survival, even in the era of new combinations based on the use of quadruplets. Full article
Show Figures

Figure 1

23 pages, 4647 KB  
Article
An AOP-Based Integrated In Vitro and In Vivo Assessment of the Non-Genotoxic Carcinogenic Potential of Multi-Walled Carbon Nanotubes
by Minju Kim, Heesung Hwang, Sulhwa Song, Keun-Soo Kim, JuHee Lee and Seung Min Oh
Nanomaterials 2026, 16(4), 273; https://doi.org/10.3390/nano16040273 - 20 Feb 2026
Viewed by 184
Abstract
Multi-walled carbon nanotubes (MWCNTs) are increasingly incorporated into industrial and consumer products, raising concerns about potential carcinogenicity because their physicochemical properties vary widely among materials. Although Mitsui-7 has been classified as possibly carcinogenic to humans (IARC, Group 2B), the carcinogenic potential of domestically [...] Read more.
Multi-walled carbon nanotubes (MWCNTs) are increasingly incorporated into industrial and consumer products, raising concerns about potential carcinogenicity because their physicochemical properties vary widely among materials. Although Mitsui-7 has been classified as possibly carcinogenic to humans (IARC, Group 2B), the carcinogenic potential of domestically manufactured MWCNTs and the determinants underlying material-specific differences remain insufficiently characterized. Here, we applied an adverse outcome pathway (AOP)-oriented integrated testing strategy (ITS) to compare four domestically manufactured MWCNTs with Mitsui-7 using human bronchial epithelial BEAS-2B cells. Acute responses were assessed by measuring cytotoxicity and intracellular reactive oxygen species (ROS). Exposure concentrations for long-term studies were selected using range-finding assays, and cells were then exposed for four weeks at non-cytotoxic concentrations. Following chronic exposure, transformation-related phenotypes were evaluated using anchorage-independent growth, anchorage-dependent clonogenicity, wound healing migration, and Transwell–Matrigel invasion assays, and tumorigenic potential was examined in xenograft models using colony-derived cells. Highly aggregated MWCNTs elicited stronger oxidative stress and were associated with increased proliferation/clonal expansion, enhanced anchorage-independent colony formation, and increased tumor formation in vivo, whereas other materials showed more limited or endpoint-specific responses. Overall, the results indicate that MWCNT-associated carcinogenic potential is material-dependent rather than a uniform class effect and support the utility of an AOP-aligned ITS for nanosafety assessment and hazard differentiation of carbon-based nanomaterials. Full article
(This article belongs to the Special Issue State of the Art in Nanotoxicology)
Show Figures

Graphical abstract

Back to TopTop