A Real-World Analysis of the Safety and Efficacy of Teclistamab for Patients with Relapsed/Refractory Multiple Myeloma and Baseline Renal Impairment—USMIRC Group
Simple Summary
Abstract
1. Introduction
2. Methods
3. Results
3.1. Baseline Characteristics
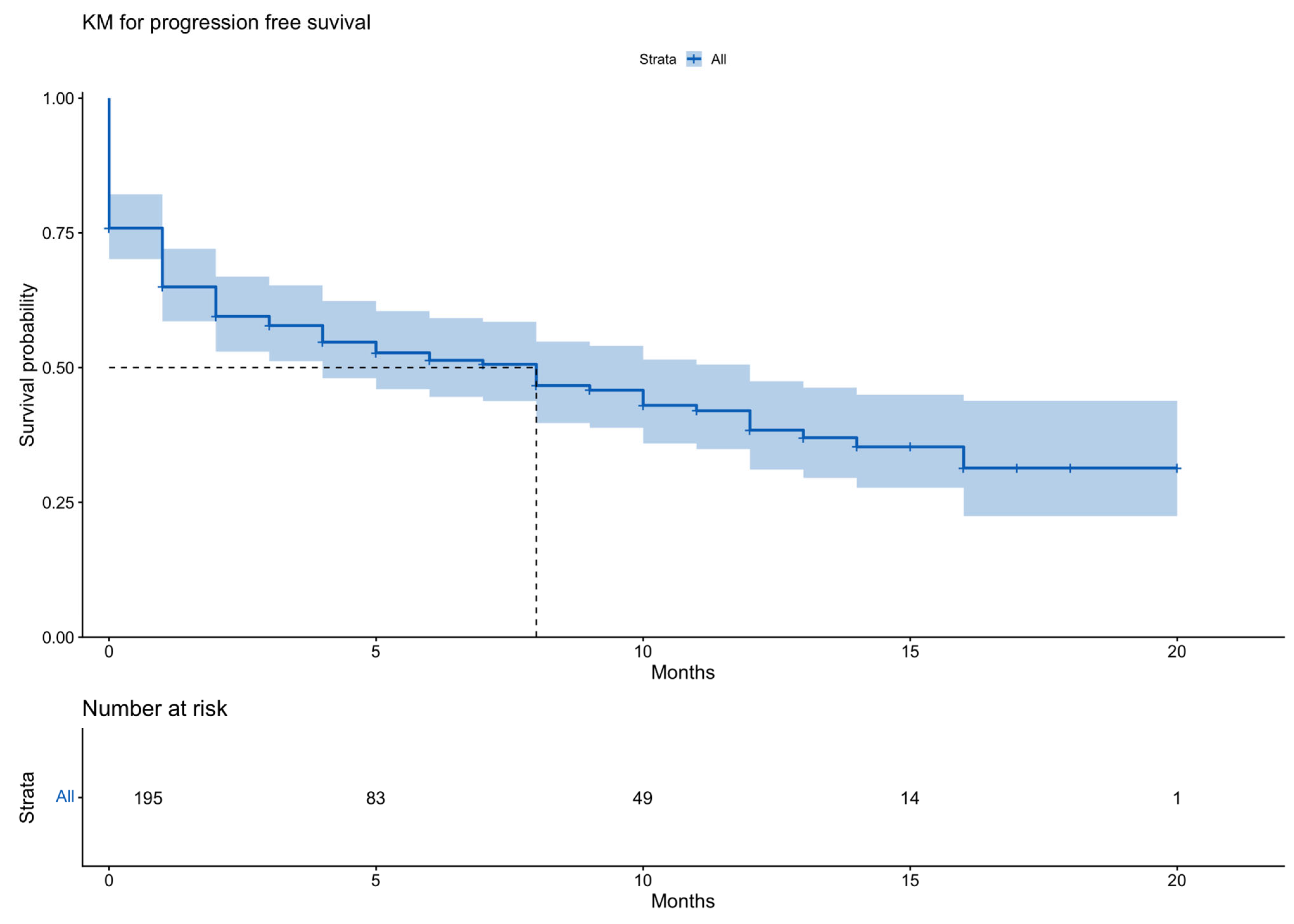
3.2. Efficacy Outcomes
3.3. Toxicity Outcomes
4. Discussion
5. Conclusions
Supplementary Materials
Author Contributions
Funding
Institutional Review Board Statement
Informed Consent Statement
Data Availability Statement
Acknowledgments
Conflicts of Interest
References
- Rajkumar, S.V. Multiple myeloma: 2022 update on diagnosis, risk stratification, and management. Am. J. Hematol. 2022, 97, 1086–1107. [Google Scholar] [CrossRef] [PubMed]
- Sezer, E.; Lee, S.; Chung, J. BCMA biology and therapeutic targeting in multiple myeloma: From ligand signaling to antigen escape. In Seminars in Hematology; WB Saunders: Philadelphia, PA, USA, 2025. [Google Scholar]
- Shah, N.; Chari, A.; Scott, E.; Mezzi, K.; Usmani, S.Z. B-cell maturation antigen (BCMA) in multiple myeloma: Rationale for targeting and current therapeutic approaches. Leukemia 2020, 34, 985–1005. [Google Scholar] [CrossRef] [PubMed]
- Guo, Y.; Cardé, N.A.Q.; Kang, L.; Verona, R.; Banerjee, A.; Kobos, R.; Chastain, K.; Uhlar, C.; Pillarisetti, K.; Doyle, M.; et al. Teclistamab: Mechanism of action, clinical, and translational science. Clin. Transl. Sci. 2024, 17, e13717. [Google Scholar] [CrossRef]
- Moreau, P.; Garfall, A.L.; van de Donk, N.W.; Nahi, H.; San-Miguel, J.F.; Oriol, A.; Nooka, A.K.; Martin, T.; Rosinol, L.; Chari, A.; et al. Teclistamab in relapsed or refractory multiple myeloma. New Engl. J. Med. 2022, 387, 495–505. [Google Scholar] [CrossRef]
- A Dimopoulos, M.; Merlini, G.; Bridoux, F.; Leung, N.; Mikhael, J.; Harrison, S.J.; Kastritis, E.; Garderet, L.; Gozzetti, A.; van de Donk, N.W.C.J.; et al. Management of multiple myeloma-related renal impairment: Recommendations from the International Myeloma Working Group. Lancet Oncol. 2023, 24, e293–e311. [Google Scholar] [CrossRef]
- Cortes-Selva, D.; Casneuf, T.; Vishwamitra, D.; Stein, S.; Perova, T.; Skerget, S.; Ramos, E.; van Steenbergen, L.; De Maeyer, D.; Boominathan, R.; et al. Teclistamab, a B-cell maturation antigen (BCMA) x CD3 bispecific antibody, in patients with relapsed/refractory multiple myeloma (RRMM): Correlative analyses from MajesTEC-1. Blood 2022, 140, 241–243. [Google Scholar] [CrossRef]
- Searle, E.; Quach, H.; Wong, S.W.; Costa, L.J.; Hulin, C.; Janowski, W.; Berdeja, J.; Anguille, S.; Matous, J.V.; Touzeau, C.; et al. Teclistamab in combination with subcutaneous daratumumab and lenalidomide in patients with multiple myeloma: Results from one cohort of MajesTEC-2, a phase1b, multicohort study. Blood 2022, 140, 394–396. [Google Scholar] [CrossRef]
- Zamagni, E.; Boccadoro, M.; Spencer, A.; Delforge, M.; Reece, D.E.; Szabo, A.G.; Einsele, H.; Terpos, E.; Schjesvold, F.; Bila, J.; et al. MajesTEC-4 (EMN30): A phase 3 trial of teclistamab+ lenalidomide versus lenalidomide alone as maintenance therapy following autologous stem cell transplantation in patients with newly diagnosed multiple myeloma. Blood 2022, 140, 7289–7291. [Google Scholar] [CrossRef]
- Krishnan, A.Y.; Manier, S.; Terpos, E.; Usmani, S.; Khan, J.; Pearson, R.; Girgis, S.; Guo, Y.; McAleer, D.; Olyslager, Y.; et al. MajesTEC-7: A phase 3, randomized study of teclistamab+ daratumumab+ lenalidomide (Tec-DR) versus daratumumab+ lenalidomide+ dexamethasone (DRd) in patients with newly diagnosed multiple myeloma who are either ineligible or not intended for autologous stem cell transplant. Blood 2022, 140, 10148–10149. [Google Scholar]
- Touzeau, C.; Hungria, V.T.; Bhutani, D.; Landgren, O.; Vieyra, D.; Guo, Y.; Verona, R.; Miao, X.; Qi, M.; Watkins, L.; et al. MajesTEC-9: A randomized phase 3 study of teclistamab versus pomalidomide, bortezomib, and dexamethasone or carfilzomib and dexamethasone in patients with relapsed/refractory multiple myeloma. J. Clin. Oncol. 2023, 41, TPS8067. [Google Scholar] [CrossRef]
- D′SOuza, A.; Costa, L.J.; San-Miguel, J.F.; Berdeja, J.G.; Giles, D.M.; Touzeau, C.; McKay, J.T.; Dholaria, B.; Martin, T.G.; Perrot, A.; et al. Teclistamab, Daratumumab, and Pomalidomide in patients with Relapsed/Refractory multiple myeloma: Results from the Majestec-2 Cohort a and Trimm-2 Studies. Blood 2024, 144, 495. [Google Scholar] [CrossRef]
- Cohen, Y.C.; Magen, H.; Gatt, M.; Sebag, M.; Kim, K.; Min, C.-K.; Ocio, E.M.; Yoon, S.-S.; Chu, M.P.; Rodríguez-Otero, P.; et al. Talquetamab plus teclistamab in relapsed or refractory multiple myeloma. New Engl. J. Med. 2025, 392, 138–149. [Google Scholar] [CrossRef]
- Jiang, H.; Ahlawat, Y.; Steinberg, A. Using bispecific antibodies in a patient with peritoneal dialysis for relapsed multiple myeloma. J. Oncol. Pharm. Pract. 2025, 31, 1179–1182. [Google Scholar] [CrossRef]
- Hoffmann, M.; Jeker, B.; Huynh-Do, U.; Banz, Y.; Godau, J.; Weber, E.; Bacher, U.; Pabst, T. Elranatamab for relapsed/refractory multiple myeloma with severe renal impairment requiring hemodialysis. Hematol. Oncol. 2025, 43, e70120. [Google Scholar] [CrossRef] [PubMed]
- Delgado, C.; Baweja, M.; Crews, D.C.; Eneanya, N.D.; Gadegbeku, C.A.; Inker, L.A.; Mendu, M.L.; Miller, W.G.; Moxey-Mims, M.M.; Roberts, G.V.; et al. A Unifying Approach for GFR Estimation: 573 Recommendations of the NKF-ASN Task Force on Reassessing the Inclusion of Race in 574 Diagnosing Kidney Disease. Am. J. Kidney Dis. 2022, 79, 268–288. [Google Scholar] [CrossRef]
- International Myeloma Working Group. International Myeloma Working Group (IMWG) Uniform Response Criteria for Multiple Myeloma; International Myeloma Working Group: Studio City, CA, USA, 2021. [Google Scholar]
- R Core Team. R: A Language and Environment for Statistical Computing. R Foundation for Statistical Computing. 2024. Available online: https://www.R-project.org/ (accessed on 23 February 2026).
- National Institutes of Health; National Cancer Institute. Common Terminology Criteria for Adverse Events (CTCAE) v 4.03. 2010. Available online: https://evs.nci.nih.gov/ftp1/CTCAE/CTCAE_4.03/CTCAE_4.03_2010-06-14_QuickReference_8.5x11.pdf2010; (accessed on 23 February 2026).
- Lee, D.W.; Santomasso, B.D.; Locke, F.L.; Ghobadi, A.; Turtle, C.J.; Brudno, J.N.; Maus, M.V.; Park, J.H.; Mead, E.; Pavletic, S.; et al. ASTCT consensus grading for cytokine release syndrome and neurologic toxicity associated with immune effector cells. Biol. Blood Marrow Transplant. 2019, 25, 625–638. [Google Scholar] [CrossRef] [PubMed]
- European Medicines Agency. ICH E6 (R2) Good Clinical Practice—Scientific Guideline; European Medicines Agency: Amsterdam, The Netherlands, 2016.
- Khouderchah, C.J.; Ochs, M.; Pianko, M.; Mahmoudjafari, Z.; Snyder, J.; Ahmed, I.; Campagnaro, E.; Nachar, V.R. Administration of teclistamab in four patients with multiple myeloma requiring hemodialysis. J. Oncol. Pharm. Pract. 2024, 30, 1089–1095. [Google Scholar] [CrossRef]
- Joiner, L.; Bal, S.; Godby, K.N.; Costa, L.J. Teclistamab in patients with multiple myeloma and impaired renal function. Am. J. Hematol. 2023, 98, E322–E324. [Google Scholar] [CrossRef] [PubMed]
- Qureshi, Z.; Jamil, A.; Altaf, F.; Siddique, R.; Ahmed, F. Efficacy and safety of teclistamab in relapsed or refractory multiple myeloma: A systematic review and meta-analysis. Ann. Hematol. 2024, 103, 4901–4912. [Google Scholar] [CrossRef]
- Li, W.; Zhao, D.; Jiao, Y.; Dong, W.; Wang, Z.; Yan, X. Effectiveness and safety of teclistamab for relapsed or refractory multiple myeloma: A systematic review and meta-analysis. Front. Immunol. 2025, 16, 1565407. [Google Scholar] [CrossRef]
- Perrot, A.; Hulin, C.; Boumendil, A.; Manjra, H.; Leveque, A.; Croizier, C.; Dony, A.; Mohty, M.; Roussel, M.; Manier, S.; et al. Teclistamab in relapsed refractory multiple myeloma: A multi-institutional real-world study from the French early access program. Haematologica 2024, 110, 990–994. [Google Scholar] [CrossRef]
- Pasvolsky, O.; Dima, D.; Feng, L.; Dong, W.; Richards, T.; Davis, J.A.; Afrough, A.; Vazquez-Martinez, M.; Sannareddy, A.; Goel, U.; et al. Outcomes of elderly patients with relapsed refractory multiple myeloma (RRMM) treated with teclistamab: A multicenter study from the US Multiple Myeloma Immunotherapy Consortium. Blood Cancer J. 2025, 15, 1–6. [Google Scholar] [CrossRef] [PubMed]
- Dima, D.; Afrough, A.; Goel, U.; Grajales-Cruz, A.F.; Khouri, J.; Julian, K.; Pasvolsky, O.; Banerjee, R.; Razzo, B.; Ferreri, C.J.; et al. Teclistamab for Patients with Heavily Pretreated Relapsed/Refractory Multiple Myeloma and Renal Impairment. Blood Adv. 2025, 9, 3408–3417. [Google Scholar] [CrossRef] [PubMed]
- Tan, C.R.; Asoori, S.; Huang, C.-Y.; Brunaldi, L.; Popat, R.; Kastritis, E.; Martinez-Lopez, J.; Bansal, R.; Corraes, A.D.M.S.; Chhabra, S.; et al. Real-world evaluation of teclistamab for the treatment of relapsed/refractory multiple myeloma (RRMM): An International Myeloma Working Group Study. Blood Cancer J. 2025, 15, 53. [Google Scholar] [CrossRef]
- A Dimopoulos, M.; Cohen, Y.C.; Perrot, A.; Pianko, M.J.; A Faber, E.; Leung, N.; Mateos, M.-V.; Nooka, A.K. Current experiences with teclistamab in patients with multiple myeloma and renal impairment. Expert Rev. Hematol. 2025, 18, 1035–1042. [Google Scholar] [CrossRef]
- Snyder, J.; Atrash, S.; Paul, B.; Khan, A.M.; Habib, A.; Shaikh, H.; Strouse, C.; Alkharabsheh, O.; Mazloom, A.; Ahmed, N.; et al. Teclistamab Dosing Strategies in Relapsed/Refractory Myeloma: A Real-World Comparison of Weekly and Biweekly Versus Fixed Intervals. Cancers 2025, 17, 3569. [Google Scholar] [CrossRef]
- Atallah, R.; Shatnawi, Y.; Ayoobkhan, F.S.; Saif, S.I.; Naeem, M.; Logan, E.; Mushtaq, M.U.; Rana, S.; Mammadzadeh, A.; Hashmi, S.K.; et al. Global Access to Multiple Myeloma Therapies. JCO Glob. Oncol. 2025, 11, e2400441. [Google Scholar] [CrossRef] [PubMed]




Disclaimer/Publisher’s Note: The statements, opinions and data contained in all publications are solely those of the individual author(s) and contributor(s) and not of MDPI and/or the editor(s). MDPI and/or the editor(s) disclaim responsibility for any injury to people or property resulting from any ideas, methods, instructions or products referred to in the content. |
© 2026 by the authors. Licensee MDPI, Basel, Switzerland. This article is an open access article distributed under the terms and conditions of the Creative Commons Attribution (CC BY) license.
Share and Cite
Hameed, M.; Habib, A.; Khan, A.M.; Laharwal, M.M.; Mewawalla, P.; McKenna, M.; Tiger, Y.K.R.; Shah, M.; Shaikh, H.; Strouse, C.; et al. A Real-World Analysis of the Safety and Efficacy of Teclistamab for Patients with Relapsed/Refractory Multiple Myeloma and Baseline Renal Impairment—USMIRC Group. Cancers 2026, 18, 740. https://doi.org/10.3390/cancers18050740
Hameed M, Habib A, Khan AM, Laharwal MM, Mewawalla P, McKenna M, Tiger YKR, Shah M, Shaikh H, Strouse C, et al. A Real-World Analysis of the Safety and Efficacy of Teclistamab for Patients with Relapsed/Refractory Multiple Myeloma and Baseline Renal Impairment—USMIRC Group. Cancers. 2026; 18(5):740. https://doi.org/10.3390/cancers18050740
Chicago/Turabian StyleHameed, Maha, Alma Habib, Abdullah Mohammad Khan, Mehak Masood Laharwal, Prerna Mewawalla, Marshall McKenna, Yun Kyuong Ryu Tiger, Mansi Shah, Hira Shaikh, Christopher Strouse, and et al. 2026. "A Real-World Analysis of the Safety and Efficacy of Teclistamab for Patients with Relapsed/Refractory Multiple Myeloma and Baseline Renal Impairment—USMIRC Group" Cancers 18, no. 5: 740. https://doi.org/10.3390/cancers18050740
APA StyleHameed, M., Habib, A., Khan, A. M., Laharwal, M. M., Mewawalla, P., McKenna, M., Tiger, Y. K. R., Shah, M., Shaikh, H., Strouse, C., Green, K., Snyder, J., Mahmoudjafari, Z., Mushtaq, M. U., Ahmed, N., Abdallah, A.-O., Atrash, S., Paul, B., & Friend, R. (2026). A Real-World Analysis of the Safety and Efficacy of Teclistamab for Patients with Relapsed/Refractory Multiple Myeloma and Baseline Renal Impairment—USMIRC Group. Cancers, 18(5), 740. https://doi.org/10.3390/cancers18050740

