Sign in to use this feature.

Years

Between: -

Subjects

remove_circle_outline
remove_circle_outline
remove_circle_outline
remove_circle_outline

Journals

Article Types

Countries / Regions

Search Results (17)

Search Parameters:
Keywords = chitotriosidase (CHIT1)

Order results
Result details
Results per page
Select all
Export citation of selected articles as:
13 pages, 3129 KB  
Article
A Simplified Method for Evaluating Chitin-Binding Activity Applied to YKL-40 (HC-gp39, CHI3L1) and Chitotriosidase
by Keita Suzuki, Hidetoshi Suzuki, Ami Tanaka, Miwa Tanaka, Kairi Takase, Hiromu Takei, Tomoki Kanaizumi, Kazuaki Okawa, Peter O. Bauer and Fumitaka Oyama
Molecules 2025, 30(1), 19; https://doi.org/10.3390/molecules30010019 - 25 Dec 2024
Cited by 1 | Viewed by 2310
Abstract
YKL-40 is structurally similar to chitotriosidase (CHIT1), an active chitinase, but it lacks chitin-degrading activity while retaining chitin-binding capability. Elevated YKL-40 levels are associated with inflammatory diseases and cancers, making it a valuable biomarker. We previously reported that the W69T substitution in YKL-40 [...] Read more.
YKL-40 is structurally similar to chitotriosidase (CHIT1), an active chitinase, but it lacks chitin-degrading activity while retaining chitin-binding capability. Elevated YKL-40 levels are associated with inflammatory diseases and cancers, making it a valuable biomarker. We previously reported that the W69T substitution in YKL-40 significantly reduces its chitin-binding affinity, identifying W69 as a crucial binding site. In this study, we establish a novel chitin-binding affinity evaluation method using a three-step buffer system to assess the binding strength and specificity of chitin-binding proteins and apply it to characterize YKL-40’s binding mechanism. Our findings confirm that YKL-40, through its key residue W69, exhibits highly specific and robust affinity to chitin. Unlike CHIT1, which has both a catalytic domain (CatD) and a chitin-binding domain (CBD) that allow for diverse binding and degradation activities, YKL-40 lacks a CBD and is specialized for specific chitin recognition without degrading it. Comparative analysis with YKL-39, which does not contain a corresponding W69 residue, highlights the unique role of this residue in YKL-40’s chitin-binding activity that is potentially linked to immune and inflammatory responses. Our evaluation method clarifies YKL-40’s binding properties and provides a versatile approach applicable to other chitin-binding proteins. Full article
(This article belongs to the Section Bioorganic Chemistry)
Show Figures

Graphical abstract

18 pages, 806 KB  
Review
The Exploitation of the Glycosylation Pattern in Asthma: How We Alter Ancestral Pathways to Develop New Treatments
by Angelika Muchowicz, Agnieszka Bartoszewicz and Zbigniew Zaslona
Biomolecules 2024, 14(5), 513; https://doi.org/10.3390/biom14050513 - 24 Apr 2024
Cited by 6 | Viewed by 3085
Abstract
Asthma has reached epidemic levels, yet progress in developing specific therapies is slow. One of the main reasons for this is the fact that asthma is an umbrella term for various distinct subsets. Due to its high heterogeneity, it is difficult to establish [...] Read more.
Asthma has reached epidemic levels, yet progress in developing specific therapies is slow. One of the main reasons for this is the fact that asthma is an umbrella term for various distinct subsets. Due to its high heterogeneity, it is difficult to establish biomarkers for each subset of asthma and to propose endotype-specific treatments. This review focuses on protein glycosylation as a process activated in asthma and ways to utilize it to develop novel biomarkers and treatments. We discuss known and relevant glycoproteins whose functions control disease development. The key role of glycoproteins in processes integral to asthma, such as inflammation, tissue remodeling, and repair, justifies our interest and research in the field of glycobiology. Altering the glycosylation states of proteins contributing to asthma can change the pathological processes that we previously failed to inhibit. Special emphasis is placed on chitotriosidase 1 (CHIT1), an enzyme capable of modifying LacNAc- and LacdiNAc-containing glycans. The expression and activity of CHIT1 are induced in human diseased lungs, and its pathological role has been demonstrated by both genetic and pharmacological approaches. We propose that studying the glycosylation pattern and enzymes involved in glycosylation in asthma can help in patient stratification and in developing personalized treatment. Full article
Show Figures

Figure 1

9 pages, 467 KB  
Communication
Lack of Association between Serum Chitotriosidase Activity and Arterial Stiffness in Type 2 Diabetes without Cardiovascular Complications
by Luca D’Onofrio, Rocco Amendolara, Carmen Mignogna, Gaetano Leto, Lida Tartaglione, Sandro Mazzaferro, Ernesto Maddaloni and Raffaella Buzzetti
Int. J. Mol. Sci. 2023, 24(21), 15809; https://doi.org/10.3390/ijms242115809 - 31 Oct 2023
Cited by 2 | Viewed by 1633
Abstract
Chitotriosidase (CHIT), a mammalian chitinase secreted by neutrophils and activated macrophages, is increased in both cardiovascular disease (CVD) and type 2 diabetes (T2D). Arterial stiffness rises early in T2D and increases the risk of CVD. The aim of this study is to evaluate [...] Read more.
Chitotriosidase (CHIT), a mammalian chitinase secreted by neutrophils and activated macrophages, is increased in both cardiovascular disease (CVD) and type 2 diabetes (T2D). Arterial stiffness rises early in T2D and increases the risk of CVD. The aim of this study is to evaluate CHIT activity as an early biomarker of arterial stiffness in people with T2D free from overt vascular complications. In this cross-sectional study, arterial stiffness as measured using standard pulse wave velocity (PWV) was evaluated in 174 people with T2D without overt vascular disease. Then, we measured CHIT serum activity with an electrochemiluminescence assay in two subgroups of participants: 35 with the highest (high-PWV) and 40 with the lowest (low-PWV) PWV values. CHIT activity was no different between the low-PVW and high-PWV groups (12.7 [9.6–17.9] vs. 11.4 [8.8–15.0] nmol/mL/h, respectively). Compared with the low-PWV group, the high-PWV participants were older (p < 0.001); had a longer duration of diabetes (p = 0.03); higher ankle–brachial index ABI (p = 0.04), systolic blood pressure (p = 0.002), diastolic blood pressure (p = 0.005), fasting blood glucose (p = 0.008), and HbA1c (p = 0.005); and lower eGFR (p = 0.03) and body mass index (BMI) (p = 0.01). No association was present with sex, duration of diabetes, age, BMI, peripheral blood pressure, laboratory parameters, and glucose-lowering medications or ongoing antihypertensive therapy. Although no association was found, this study provides novel data about the association of CHIT activity with CVD, focusing on a specific outcome (arterial stiffness) in a well-defined population of subjects with T2D without established CVD. Full article
(This article belongs to the Special Issue Cardiovascular Diseases: Molecular Mechanisms and Potential Therapy)
Show Figures

Figure 1

11 pages, 936 KB  
Article
Chitinase-1 Activity in Serum of Cats with FIP
by Angelica Stranieri, Gabriela Ávila Morales, Laura Brusasco and Saverio Paltrinieri
Viruses 2023, 15(9), 1815; https://doi.org/10.3390/v15091815 - 25 Aug 2023
Viewed by 1535
Abstract
Background: Chitotriosidase (chitinase 1 or CHIT1) is secreted by activated macrophages. Macrophages are involved in the pathogenesis of feline infectious peritonitis (FIP). No reports on CHIT1 activity in cats with FIP are available. Objective: To preliminarily investigate the possible changes in serum CHIT1 [...] Read more.
Background: Chitotriosidase (chitinase 1 or CHIT1) is secreted by activated macrophages. Macrophages are involved in the pathogenesis of feline infectious peritonitis (FIP). No reports on CHIT1 activity in cats with FIP are available. Objective: To preliminarily investigate the possible changes in serum CHIT1 activity in cats with FIP. Methods: CHIT1 activity was measured in serum samples from clinically healthy cats (n = 17), cats with FIP (n = 19) and cats with diseases potentially characterized by macrophage activation (n = 20), after a preliminary assessment of the imprecision and linearity of the method. Results: The highest CHIT1 activity was found in cats with FIP, followed by sick cats and clinically healthy cats. The magnitude of the differences between groups was higher than the intra- and inter-assay imprecision of the method (<5% and >57%, respectively). Based on receiver operating characteristic (ROC) curves, CHIT1 may differentiate sick from clinically healthy cats and, to a lesser extent, cats with FIP from cats without FIP. Conclusions: CHIT1 activity may identify sick cats and, within the appropriate clinical context, cats with FIP, although larger and more standardized studies, coupled with additional information on analytical performances of the method, are required to fully explore the diagnostic or prognostic potential of this test for FIP. Full article
(This article belongs to the Special Issue Animal Coronaviruses: Infection, Prevention, and Antivirals)
Show Figures

Figure 1

18 pages, 1593 KB  
Review
Chitinase Signature in the Plasticity of Neurodegenerative Diseases
by Cristina Russo, Maria Stella Valle, Antonino Casabona and Lucia Malaguarnera
Int. J. Mol. Sci. 2023, 24(7), 6301; https://doi.org/10.3390/ijms24076301 - 27 Mar 2023
Cited by 18 | Viewed by 4221
Abstract
Several reports have pointed out that Chitinases are expressed and secreted by various cell types of central nervous system (CNS), including activated microglia and astrocytes. These cells play a key role in neuroinflammation and in the pathogenesis of many neurodegenerative disorders. Increased levels [...] Read more.
Several reports have pointed out that Chitinases are expressed and secreted by various cell types of central nervous system (CNS), including activated microglia and astrocytes. These cells play a key role in neuroinflammation and in the pathogenesis of many neurodegenerative disorders. Increased levels of Chitinases, in particular Chitotriosidase (CHIT-1) and chitinase-3-like protein 1 (CHI3L1), have been found increased in several neurodegenerative disorders. Although having important biological roles in inflammation, to date, the molecular mechanisms of Chitinase involvement in the pathogenesis of neurodegenerative disorders is not well-elucidated. Several studies showed that some Chitinases could be assumed as markers for diagnosis, prognosis, activity, and severity of a disease and therefore can be helpful in the choice of treatment. However, some studies showed controversial results. This review will discuss the potential of Chitinases in the pathogenesis of some neurodegenerative disorders, such as Alzheimer’s disease, Parkinson’s disease, amyotrophic lateral sclerosis, and multiple sclerosis, to understand their role as distinctive biomarkers of neuronal cell activity during neuroinflammatory processes. Knowledge of the role of Chitinases in neuronal cell activation could allow for the development of new methodologies for downregulating neuroinflammation and consequently for diminishing negative neurological disease outcomes. Full article
(This article belongs to the Special Issue Plasticity in Neurodegenerative Diseases)
Show Figures

Figure 1

16 pages, 3626 KB  
Article
Inhibition of Macrophage-Specific CHIT1 as an Approach to Treat Airway Remodeling in Severe Asthma
by Piotr Sklepkiewicz, Barbara Dymek, Michal Mlacki, Agnieszka Zagozdzon, Magdalena Salamon, Anna Maria Siwińska, Marcin Piotr Mazurkiewicz, Natalia de Souza Xavier Costa, Marzena Mazur, Thais Mauad, Adam Gołębiowski, Karolina Dzwonek, Jakub Gołąb and Zbigniew Zasłona
Int. J. Mol. Sci. 2023, 24(5), 4719; https://doi.org/10.3390/ijms24054719 - 1 Mar 2023
Cited by 11 | Viewed by 4350
Abstract
Chitotriosidase (CHIT1) is an enzyme produced by macrophages that regulates their differentiation and polarization. Lung macrophages have been implicated in asthma development; therefore, we asked whether pharmacological inhibition of macrophage-specific CHIT1 would have beneficial effects in asthma, as it has been shown previously [...] Read more.
Chitotriosidase (CHIT1) is an enzyme produced by macrophages that regulates their differentiation and polarization. Lung macrophages have been implicated in asthma development; therefore, we asked whether pharmacological inhibition of macrophage-specific CHIT1 would have beneficial effects in asthma, as it has been shown previously in other lung disorders. CHIT1 expression was evaluated in the lung tissues of deceased individuals with severe, uncontrolled, steroid-naïve asthma. OATD-01, a chitinase inhibitor, was tested in a 7-week-long house dust mite (HDM) murine model of chronic asthma characterized by accumulation of CHIT1-expressing macrophages. CHIT1 is a dominant chitinase activated in fibrotic areas of the lungs of individuals with fatal asthma. OATD-01 given in a therapeutic treatment regimen inhibited both inflammatory and airway remodeling features of asthma in the HDM model. These changes were accompanied by a significant and dose-dependent decrease in chitinolytic activity in BAL fluid and plasma, confirming in vivo target engagement. Both IL-13 expression and TGFβ1 levels in BAL fluid were decreased and a significant reduction in subepithelial airway fibrosis and airway wall thickness was observed. These results suggest that pharmacological chitinase inhibition offers protection against the development of fibrotic airway remodeling in severe asthma. Full article
(This article belongs to the Special Issue Macrophages in Respiratory Diseases)
Show Figures

Figure 1

13 pages, 974 KB  
Article
Exploratory Longitudinal Analysis of the Circulating CHIT1 Activity in Pediatric Patients with Obesity
by Ioana Țaranu, Nicoleta Răcătăianu, Cristina Drugan, Cristina-Sorina Cătană, Andreea-Manuela Mirea, Diana Miclea and Sorana D. Bolboacă
Children 2023, 10(1), 124; https://doi.org/10.3390/children10010124 - 6 Jan 2023
Cited by 1 | Viewed by 2509
Abstract
Macrophage activation and cytokine release play a pivotal role in inflammation-mediated metabolic disturbances in obesity. The proinflammatory macrophage secretes human chitotriosidase (CHIT1). The expression of the CHIT1 in visceral adipose tissue is associated with cytokine production. Our study aimed to assess whether the [...] Read more.
Macrophage activation and cytokine release play a pivotal role in inflammation-mediated metabolic disturbances in obesity. The proinflammatory macrophage secretes human chitotriosidase (CHIT1). The expression of the CHIT1 in visceral adipose tissue is associated with cytokine production. Our study aimed to assess whether the CHIT1 circulating activity, as a macrophage activation indicator, reflects the change of the adiposity level and the insulin resistance (IR) in children with obesity. We longitudinally (median follow-up period of 7 months; IQR [5 to 8.5] and {2 to 13} months) evaluated the CHIT1 circulating activity, the adiposity level (waist circumference (WC), waist-to-hip ratio (WHR), waist-to-height ratio (WtHR), and body mass index (BMI)-for-age z score), and two surrogate markers of IR (Homeostatic Model Assessment for Insulin Resistance, HOMA-IR and the triglycerides-to-high density lipoprotein cholesterol ratio, TG/HDLc) in 29 pediatric patients (16 girls and 13 boys) with obesity. We found a significant reduction in CHIT1 circulating activity (Wilcoxon test, p = 0.015) and a decrease in TG/HDLc at the follow-up evaluation (Wilcoxon test, p < 0.001). Indicators of adiposity were positively correlated with HOMA-IR at baseline, among which WC was the sole indicator associated with HOMA-IR (Spearman’s rank correlation coefficients, p < 0.05) at follow-up. Human chitotriosidase has the potential to be a valuable measure of the progression of subclinical inflammation in children with obesity. Subclinical inflammation, as expressed by the circulating CHIT1 activity, progresses independently of the abdominal adiposity, as measured by the clinical indicators, and is associated with a change in insulin resistance. Full article
(This article belongs to the Section Pediatric Endocrinology & Diabetes)
Show Figures

Figure 1

15 pages, 1375 KB  
Case Report
Glucosylsphingosine (Lyso-Gb1): An Informative Biomarker in the Clinical Monitoring of Patients with Gaucher Disease
by Matthew M. Gayed, Seung-Hye Jung, Erin Huggins, Eleanor Rodriguez-Rassi, Stephanie DeArmey, Priya Sunil Kishnani and Ashlee R. Stiles
Int. J. Mol. Sci. 2022, 23(23), 14938; https://doi.org/10.3390/ijms232314938 - 29 Nov 2022
Cited by 4 | Viewed by 3038
Abstract
Historically, disease burden and treatment responses in patients with Gaucher disease (GD) was assessed by monitoring clinical data, laboratory, imaging, chitotriosidase (CHITO), and other biomarkers; however, these biomarkers lack specificity and CHITO is uninformative in patients heterozygous or homozygous for the CHIT1 c.1049_1072dup24 [...] Read more.
Historically, disease burden and treatment responses in patients with Gaucher disease (GD) was assessed by monitoring clinical data, laboratory, imaging, chitotriosidase (CHITO), and other biomarkers; however, these biomarkers lack specificity and CHITO is uninformative in patients heterozygous or homozygous for the CHIT1 c.1049_1072dup24 variant. Recently, glucosylsphingosine (lyso-Gb1), a sensitive and specific GD biomarker, has been recommended for patient monitoring. Furthermore, studies measuring lyso-Gb1 and CHITO in patients on long-term treatment with enzyme replacement therapy (ERT) and/or substrate reduction therapy (SRT) reported as group data show a reduction in both analytes, yet individualized patient data are generally unavailable. We describe seven patients on long-term treatment with longitudinal clinical data with monitoring based on current treatment guidelines. We present four patients who exhibit stable disease with normalized CHITO despite elevated lyso-Gb1. We present one patient who transitioned from ERT to SRT due to lack of a clinical response with life-threatening thrombocytopenia who responded with marked improvement in platelets, and normalized levels of both CHITO and lyso-Gb1. Finally, we present two ERT to SRT switch patients with stable disease on ERT who exhibited non-compliance on SRT, one with mirrored marked elevations of CHITO and lyso-Gb1; and another with normal CHITO and platelets, but increasing lyso-Gb1 levels and enlarged spleen. These clinical vignettes highlight the role of lyso-Gb1 as a sensitive biomarker in management of patients with GD, and its further value when CHITO is normal and thus uninformative. We highlight the personalized medicine approach needed to optimize treatment outcomes and recommendations for these patients. Full article
Show Figures

Figure 1

15 pages, 592 KB  
Article
Evaluation of Circulating Chitotriosidase Activity in Children with Obesity
by Ioana Țaranu, Mihaela Iancu, Cecilia Lazea, Camelia Alkhzouz, Nicoleta Răcătăianu, Cristina-Sorina Cătană, Andreea-Manuela Mirea, Diana Miclea, Sorana D. Bolboacă and Cristina Drugan
J. Clin. Med. 2022, 11(13), 3634; https://doi.org/10.3390/jcm11133634 - 23 Jun 2022
Cited by 3 | Viewed by 2942
Abstract
Childhood obesity progresses to metabolic disturbances via low-grade inflammation. Identifying novel molecules that reflect the activity of the immune responses is critical in understanding its underlying pathogenesis. Our exploratory study aimed to evaluate the change of chitotriosidase (CHIT1) plasma activity according to Body [...] Read more.
Childhood obesity progresses to metabolic disturbances via low-grade inflammation. Identifying novel molecules that reflect the activity of the immune responses is critical in understanding its underlying pathogenesis. Our exploratory study aimed to evaluate the change of chitotriosidase (CHIT1) plasma activity according to Body Mass Index (BMI)-for-age z score in pediatric patients. The study evaluated 68 children consisting of 47.1% girls with a mean age of 12.47 ± 3.71 years and 52.9% boys with a mean age of 11.93 ± 3.18 years. The effect of the most frequent CHIT1 gene variants, the 24 base pair duplication (dup24) and G102S polymorphism, upon the association between circulating CHIT1 activity and the obesity level, was also investigated. A significantly higher logCHIT1 plasma activity was found in children with extreme obesity than in children with overweight (p = 0.048 for the uncorrected CHIT1 and 0.026 for the corrected CHIT1). The BMI-for-age z score significantly (p = 0.031) predicts increased CHIT1 activity in children with overweight, obesity, and extreme obesity after controlling for the two gene variants, age, gender, and time since weight gain. Dup24 and G102S polymorphism were significant independent predictors (p-values < 0.002) for the change of CHIT1 plasma activity. Circulating CHIT1 might be an accurate indicator of inflammation in children with obesity. Its role and the effect of the dup24 and G102S variants on the CHIT1 activity should be validated in a larger cohort. Full article
(This article belongs to the Collection Obesity: From Diagnosis to Treatment)
Show Figures

Figure 1

23 pages, 6786 KB  
Article
Trehalose Activates Hepatic and Myocardial Autophagy and Has Anti-Inflammatory Effects in db/db Diabetic Mice
by Tatiana A. Korolenko, Marina V. Ovsyukova, Nataliya P. Bgatova, Igor D. Ivanov, Svetlana I. Makarova, Valentin A. Vavilin, Alexey V. Popov, Ekaterina I. Yuzhik, Elena V. Koldysheva, Erik C. Korolenko, Evgeny L. Zavjalov and Tamara G. Amstislavskaya
Life 2022, 12(3), 442; https://doi.org/10.3390/life12030442 - 17 Mar 2022
Cited by 12 | Viewed by 5388
Abstract
Db/db mice (carrying a mutation in the gene encoding leptin receptor) show autophagy suppression. Our aim was to evaluate the effect of autophagy inducer trehalose on liver and heart autophagy in db/db mice and to study inflammation dysregulation and the suitability of chitinases’ [...] Read more.
Db/db mice (carrying a mutation in the gene encoding leptin receptor) show autophagy suppression. Our aim was to evaluate the effect of autophagy inducer trehalose on liver and heart autophagy in db/db mice and to study inflammation dysregulation and the suitability of chitinases’ expression levels as diabetes markers. Thirty-eight male db/db mice and C57/BL mice (control) were used. The db/db model manifested inflammation symptoms: overexpression of TNF in the spleen and underexpression of IL-10 in the liver and spleen (cytokine imbalance). Simultaneously, we revealed decreased expression of chitotriosidase (CHIT1) and acid mammalian chitinase (CHIA) in the liver of db/db mice. CHIA expression in db/db mice is significantly lower only in the spleen. Trehalose treatment significantly reduced blood glucose concentration and glycated hemoglobin. Treatment of db/db mice by trehalose was followed by increased autophagy induction in the heart and liver (increased autolysosomes volume density studied by morphometric electron-microscopic method). Trehalose exerted beneficial cardiac effects possibly via increased lipophagy (uptake of lipid droplets). The autophagy activation by trehalose had several positive effects on the heart and liver of db/db mice; therefore, lipophagy activation seems to be a promising therapy for diabetes. Full article
(This article belongs to the Special Issue Diabetes Metabolism: Molecular and Integrative Approaches)
Show Figures

Figure 1

19 pages, 11959 KB  
Article
Discovery of Octahydroisoindolone as a Scaffold for the Selective Inhibition of Chitinase B1 from Aspergillus fumigatus: In Silico Drug Design Studies
by Alberto Marbán-González, Armando Hernández-Mendoza, Mario Ordóñez, Rodrigo Said Razo-Hernández and José Luis Viveros-Ceballos
Molecules 2021, 26(24), 7606; https://doi.org/10.3390/molecules26247606 - 15 Dec 2021
Cited by 3 | Viewed by 3407
Abstract
Chitinases represent an alternative therapeutic target for opportunistic invasive mycosis since they are necessary for fungal cell wall remodeling. This study presents the design of new chitinase inhibitors from a known hydrolysis intermediate. Firstly, a bioinformatic analysis of Aspergillus fumigatus chitinase B1 (AfChiB1) [...] Read more.
Chitinases represent an alternative therapeutic target for opportunistic invasive mycosis since they are necessary for fungal cell wall remodeling. This study presents the design of new chitinase inhibitors from a known hydrolysis intermediate. Firstly, a bioinformatic analysis of Aspergillus fumigatus chitinase B1 (AfChiB1) and chitotriosidase (CHIT1) by length and conservation was done to obtain consensus sequences, and molecular homology models of fungi and human chitinases were built to determine their structural differences. We explored the octahydroisoindolone scaffold as a potential new antifungal series by means of its structural and electronic features. Therefore, we evaluated several synthesis-safe octahydroisoindolone derivatives by molecular docking and evaluated their AfChiB1 interaction profile. Additionally, compounds with the best interaction profile (15) were docked within the CHIT1 catalytic site to evaluate their selectivity over AfChiB1. Furthermore, we considered the interaction energy (MolDock score) and a lipophilic parameter (aLogP) for the selection of the best candidates. Based on these descriptors, we constructed a mathematical model for the IC50 prediction of our candidates (60–200 μM), using experimental known inhibitors of AfChiB1. As a final step, ADME characteristics were obtained for all the candidates, showing that 5 is our best designed hit, which possesses the best pharmacodynamic and pharmacokinetic character. Full article
(This article belongs to the Section Computational and Theoretical Chemistry)
Show Figures

Figure 1

14 pages, 957 KB  
Article
The Use of Chitotriosidase as a Marker of Active Sarcoidosis and in the Diagnosis of Fever of Unknown Origin (FUO)
by Angela Maria Di Francesco, Elena Verrecchia, Ludovico Luca Sicignano, Maria Grazia Massaro, Daniela Antuzzi, Marcello Covino, Giuliana Pasciuto, Luca Richeldi and Raffaele Manna
J. Clin. Med. 2021, 10(22), 5283; https://doi.org/10.3390/jcm10225283 - 13 Nov 2021
Cited by 10 | Viewed by 2854
Abstract
Sarcoidosis is a multi-organ inflammatory granulomatosis with a lung-predominant involvement. The aim of this study was to investigate the use of serum chitotriosidase (CHIT1) in patients with fever of unknown origin (FUO); the patients with confirmed diagnosis of active sarcoidosis were compared with [...] Read more.
Sarcoidosis is a multi-organ inflammatory granulomatosis with a lung-predominant involvement. The aim of this study was to investigate the use of serum chitotriosidase (CHIT1) in patients with fever of unknown origin (FUO); the patients with confirmed diagnosis of active sarcoidosis were compared with ones affected by inactive or treated sarcoidosis. CHIT1 activity was evaluated in 110 patients initially admitted at the hospital as FUOs. The overall performance of CHIT1 for active sarcoidosis diagnosis was assessed by performing an area under the receiver operating characteristic curve analysis (AUROC). The sarcoidosis patients were significantly older than the FUO patients not affected by sarcoidosis (p < 0.01). CHIT1 showed a good accuracy as a biomarker for active sarcoidosis in patients explored for FUO (AUROC 0.955; CI 95% 0.895–0.986; p < 0.001). A CHIT1 value >90.86 showed 96.8% sensitivity (84.2–99.9) and 85.5% specificity (75–92.8) in discriminating active sarcoidosis from other causes of FUO. CHIT1 significantly discriminated active versus inactive/under treatment sarcoidosis patients (with lower enzyme activity) (ROC analysis, sensitivity: 96.9%, specificity: 94.7%, value >83.01 nmol/mL/h, AUROC: 0.958, 0.862–0.994, p < 0.001) compared to ACE (ROC analysis, sensitivity: 25.8%, specificity: 93.7%, value >65 UI/L). In conclusion, CHIT1 is a reliable/sensitive biomarker of active sarcoidosis, with values significantly decreasing in remitted/treated patients. It significantly discriminates active sarcoidosis from FUO patients, providing a useful tool in the diagnosis-assessing process. Full article
Show Figures

Figure 1

13 pages, 1402 KB  
Article
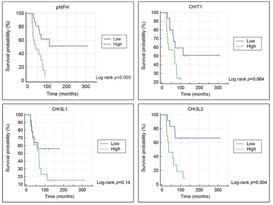
Cerebrospinal Fluid Chitinases as Biomarkers for Amyotrophic Lateral Sclerosis
by Júlia Costa, Marta Gromicho, Ana Pronto-Laborinho, Conceição Almeida, Ricardo A. Gomes, Ana C. L. Guerreiro, Abel Oliva, Susana Pinto and Mamede de Carvalho
Diagnostics 2021, 11(7), 1210; https://doi.org/10.3390/diagnostics11071210 - 5 Jul 2021
Cited by 20 | Viewed by 3793
Abstract
Amyotrophic lateral sclerosis (ALS) is a neurodegenerative neuromuscular disease that affects motor neurons controlling voluntary muscles. Survival is usually 2–5 years after onset, and death occurs due to respiratory failure. The identification of biomarkers would be very useful to help in disease diagnosis [...] Read more.
Amyotrophic lateral sclerosis (ALS) is a neurodegenerative neuromuscular disease that affects motor neurons controlling voluntary muscles. Survival is usually 2–5 years after onset, and death occurs due to respiratory failure. The identification of biomarkers would be very useful to help in disease diagnosis and for patient stratification based on, e.g., progression rate, with implications in therapeutic trials. Neurofilaments constitute already-promising markers for ALS and, recently, chitinases have emerged as novel marker targets for the disease. Here, we investigated cerebrospinal fluid (CSF) chitinases as potential markers for ALS. Chitotriosidase (CHIT1), chitinase-3-like protein 1 (CHI3L1), chitinase-3-like protein 2 (CHI3L2) and the benchmark marker phosphoneurofilament heavy chain (pNFH) were quantified by an enzyme-linked immunosorbent assay (ELISA) from the CSF of 34 ALS patients and 24 control patients with other neurological diseases. CSF was also analyzed by UHPLC-mass spectrometry. All three chitinases, as well as pNFH, were found to correlate with disease progression rate. Furthermore, CHIT1 was elevated in ALS patients with high diagnostic performance, as was pNFH. On the other hand, CHIT1 correlated with forced vital capacity (FVC). The three chitinases correlated with pNFH, indicating a relation between degeneration and neuroinflammation. In conclusion, our results supported the value of CHIT1 as a diagnostic and progression rate biomarker, and its potential as respiratory function marker. The results opened novel perspectives to explore chitinases as biomarkers and their functional relevance in ALS. Full article
(This article belongs to the Section Pathology and Molecular Diagnostics)
Show Figures

Figure 1

17 pages, 789 KB  
Review
Chitinases and Chitinase-Like Proteins as Therapeutic Targets in Inflammatory Diseases, with a Special Focus on Inflammatory Bowel Diseases
by Marzena Mazur, Anna Zielińska, Marcin M. Grzybowski, Jacek Olczak and Jakub Fichna
Int. J. Mol. Sci. 2021, 22(13), 6966; https://doi.org/10.3390/ijms22136966 - 28 Jun 2021
Cited by 46 | Viewed by 8486
Abstract
Chitinases belong to the evolutionarily conserved glycosyl hydrolase family 18 (GH18). They catalyze degradation of chitin to N-acetylglucosamine by hydrolysis of the β-(1-4)-glycosidic bonds. Although mammals do not synthesize chitin, they possess two enzymatically active chitinases, i.e., chitotriosidase (CHIT1) and acidic mammalian [...] Read more.
Chitinases belong to the evolutionarily conserved glycosyl hydrolase family 18 (GH18). They catalyze degradation of chitin to N-acetylglucosamine by hydrolysis of the β-(1-4)-glycosidic bonds. Although mammals do not synthesize chitin, they possess two enzymatically active chitinases, i.e., chitotriosidase (CHIT1) and acidic mammalian chitinase (AMCase), as well as several chitinase-like proteins (YKL-40, YKL-39, oviductin, and stabilin-interacting protein). The latter lack enzymatic activity but still display oligosaccharides-binding ability. The physiologic functions of chitinases are still unclear, but they have been shown to be involved in the pathogenesis of various human fibrotic and inflammatory disorders, particularly those of the lung (idiopathic pulmonary fibrosis, chronic obstructive pulmonary disease, sarcoidosis, and asthma) and the gastrointestinal tract (inflammatory bowel diseases (IBDs) and colon cancer). In this review, we summarize the current knowledge about chitinases, particularly in IBDs, and demonstrate that chitinases can serve as prognostic biomarkers of disease progression. Moreover, we suggest that the inhibition of chitinase activity may be considered as a novel therapeutic strategy for the treatment of IBDs. Full article
(This article belongs to the Section Biochemistry)
Show Figures

Figure 1

23 pages, 600 KB  
Review
Amyotrophic Lateral Sclerosis: Molecular Mechanisms, Biomarkers, and Therapeutic Strategies
by Xiaoming Yang, Yanan Ji, Wei Wang, Lilei Zhang, Zehao Chen, Miaomei Yu, Yuntian Shen, Fei Ding, Xiaosong Gu and Hualin Sun
Antioxidants 2021, 10(7), 1012; https://doi.org/10.3390/antiox10071012 - 24 Jun 2021
Cited by 61 | Viewed by 10015
Abstract
Amyotrophic lateral sclerosis (ALS) is a neurodegenerative disease with the progressive loss of motor neurons, leading to a fatal paralysis. According to whether there is a family history of ALS, ALS can be roughly divided into two types: familial and sporadic. Despite decades [...] Read more.
Amyotrophic lateral sclerosis (ALS) is a neurodegenerative disease with the progressive loss of motor neurons, leading to a fatal paralysis. According to whether there is a family history of ALS, ALS can be roughly divided into two types: familial and sporadic. Despite decades of research, the pathogenesis of ALS is still unelucidated. To this end, we review the recent progress of ALS pathogenesis, biomarkers, and treatment strategies, mainly discuss the roles of immune disorders, redox imbalance, autophagy dysfunction, and disordered iron homeostasis in the pathogenesis of ALS, and introduce the effects of RNA binding proteins, ALS-related genes, and non-coding RNA as biomarkers on ALS. In addition, we also mention other ALS biomarkers such as serum uric acid (UA), cardiolipin (CL), chitotriosidase (CHIT1), and neurofilament light chain (NFL). Finally, we discuss the drug therapy, gene therapy, immunotherapy, and stem cell-exosomal therapy for ALS, attempting to find new therapeutic targets and strategies. A challenge is to study the various mechanisms of ALS as a syndrome. Biomarkers that have been widely explored are indispensable for the diagnosis, treatment, and prevention of ALS. Moreover, the development of new genes and targets is an urgent task in this field. Full article
Show Figures

Figure 1

Back to TopTop