Chitinase-1 Activity in Serum of Cats with FIP
Abstract
:1. Introduction
2. Materials and Methods
2.1. Caseload
- -
- Clinically healthy cats (n = 17): cats which did not present any clinical or laboratory alteration during routine wellness or check-up visits.
- -
- Cats with FIP (n = 19) diagnosed based on anamnesis, clinical presentation and typical clinicopathological and/or pathological alterations on serum, effusions and/or tissues.
- -
- Cats with diseases other than FIP (n = 20). These diseases were diagnosed by an integrated approach, variable depending on the clinical presentation.
2.2. Chitinase Assay
2.3. Statistical Analysis
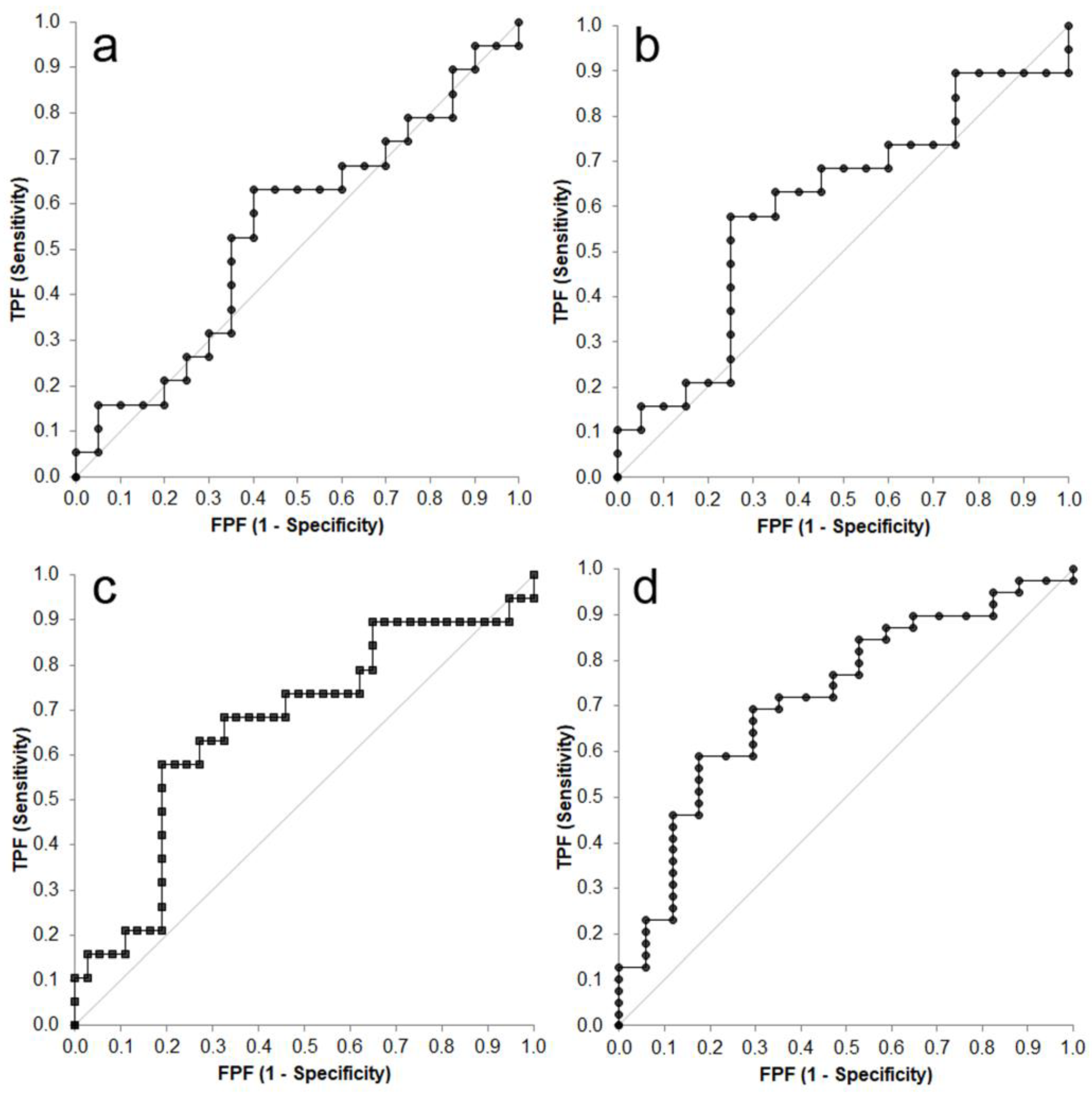
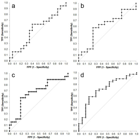
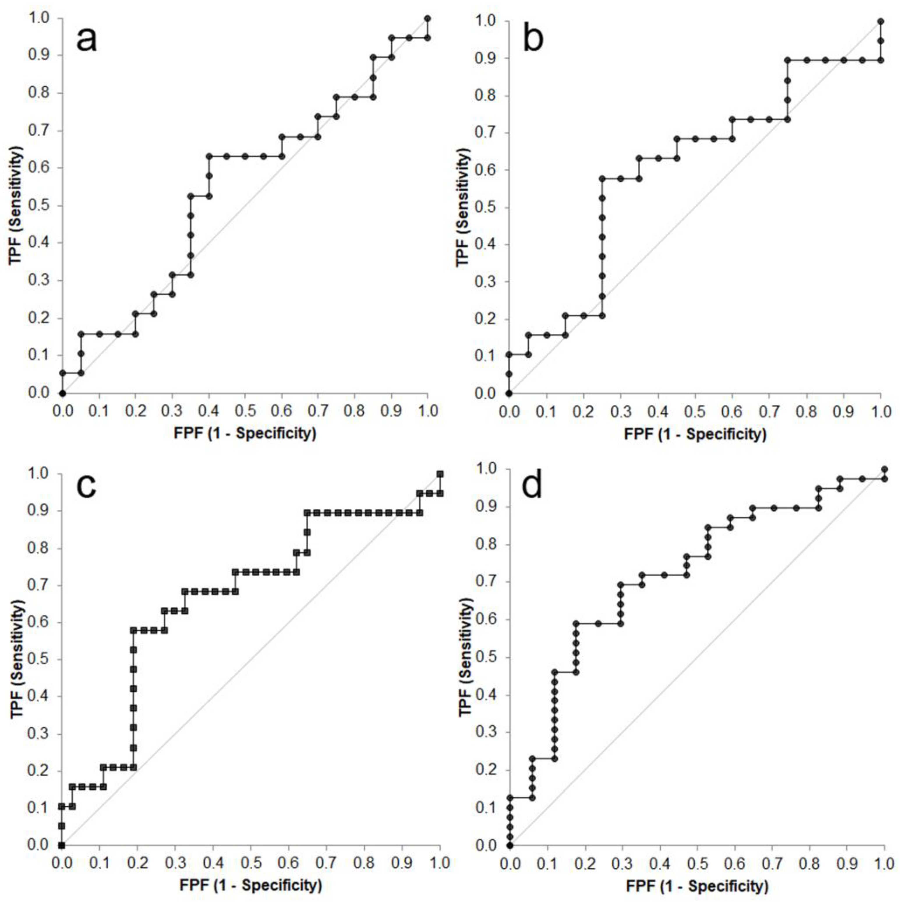
3. Results
3.1. Analytical Performances of the Method
3.2. Group Comparison
4. Discussion
5. Conclusions
Author Contributions
Funding
Institutional Review Board Statement
Informed Consent Statement
Data Availability Statement
Conflicts of Interest
References
- Di Rosa, M.; Distefano, G.; Zorena, K.; Malaguarnera, L. Chitinases and immunity: Ancestral molecules with new functions. Immunobiology 2016, 221, 399–411. [Google Scholar] [CrossRef] [PubMed]
- Kumar, A.; Zhang, K.Y.J. Human Chitinases: Structure, Function, and Inhibitor Discovery. In Targeting Chitin-Containing Organisms. Advances in Experimental Medicine and Biology; Yang, Q., Fukamizo, T., Eds.; Springer: Singapore, 2019; Volume 1142, pp. 221–251. [Google Scholar] [CrossRef]
- Mazur, M.; Zielinska, A.; Grzybowski, M.M.; Olczak, J.; Fichna, J. Chitinases and Chitinase-Like Proteins as Therapeutic Targets in Inflammatory Diseases, with a Special Focus on Inflammatory Bowel Diseases. Int. J. Mol. Sci. 2021, 22, 6966. [Google Scholar] [CrossRef] [PubMed]
- Stern, R. Go fly a chitin: The mystery of chitin and chitinases in vertebrate tissues. Front. Biosci. 2017, 22, 580–595. [Google Scholar] [CrossRef] [PubMed]
- van Eijk, M.; Scheij, S.S.; van Rooment, C.P.; Speijer, D.; Boot, R.G.; Aerts, J.M. TLR-and NOD2-dependent regulation of human phagocyte-specific chitotriosidase. FEBS Lett. 2007, 581, 5389–5395. [Google Scholar] [CrossRef] [PubMed]
- Di Rosa, M.; De Gregorio, C.; Malaguarnera, G.; Tuttobene, M.; Biazzo, F.; Malaguarnera, L. Evaluation of AMCase and CHIT-1 expression in monocyte macrophages lineage. Mol. Cell. Biochem. 2013, 374, 73–80. [Google Scholar] [CrossRef]
- Pinteac, R.; Montalban, X.; Comabella, M. Chitinases and chitinase-like proteins as biomarkers in neurologic disorders. Neurol. Neuroimmunol. Neuroinflamm. 2021, 8, e921. [Google Scholar] [CrossRef]
- Tekes, G.; Thiel, H.J. Feline coronaviruses: Pathogenesis of feline infectious peritonitis. Adv. Virus Res. 2016, 96, 193–218. [Google Scholar] [CrossRef]
- Pedersen, N.C. A review of feline infectious peritonitis virus infection: 1963–2008. J. Feline Med. Surg. 2009, 11, 225–258. [Google Scholar] [CrossRef]
- Kipar, A.; May, H.; Menger, S.; Weber, M.; Leukert, W.; Reinacher, M. Morphologic features and development of granulomatous vasculitis in feline infectious peritonitis. Vet. Pathol. 2005, 4, 321–330. [Google Scholar] [CrossRef]
- Giordano, A.; Stranieri, A.; Rossi, G.; Paltrinieri, S. High diagnostic accuracy of the Sysmex XT-2000iV delta total nucleated cells on effusions for feline infectious peritonitis. Vet. Clin. Pathol. 2015, 44, 295–302. [Google Scholar] [CrossRef]
- Stranieri, A.; Giordano, A.; Paltrinieri, S.; Giudice, C.; Cannito, V.; Lauzi, S. Comparison of the performance of laboratory tests in the diagnosis of feline infectious peritonitis. J. Vet. Diagn. Investig. 2018, 30, 459–463. [Google Scholar] [CrossRef] [PubMed]
- Song, Z.; Chen, E.; Qian, J.; Xu, J.; Cao, G.; Zhou, W.; Wang, F.; Chen, M.; Xu, D.; Wang, X.; et al. Serum chitinase activity prognosticates metastasis of colorectal cancer. BMC Cancer 2019, 19, 629. [Google Scholar] [CrossRef]
- Kjelgaard-Hansen, M.; Jensen, A.L. Subjectivity in defining quality specifications for quality control and test validation. Vet. Clin. Pathol. 2010, 39, 133–135. [Google Scholar] [CrossRef]
- Christenson, R.H. Evidence-based laboratory medicine-a guide for critical evaluation of in vitro laboratory testing. Ann. Clin. Biochem. 2007, 44, 111–130. [Google Scholar] [CrossRef] [PubMed]
- Ricós, C.; Alvarez, V.; Cava, F.; Garcia-Lario, J.V.; Hernandez, A.; Jimenez, C.V.; Perich, C.; Simon, M. Current databases on biological variation: Pros, cons and progress. Scand. J. Clin. Lab. 1999, 59, 491–500. [Google Scholar] [CrossRef]
- Westgard, J.O. (Ed.) Method validation. In Basic Method Validation, 2nd ed.; Westgard QC: Madison, WI, USA, 2003; pp. 156–157. [Google Scholar]
- Friedrichs, K.R.; Harr, K.E.; Freeman, K.P.; Szladovits, B.; Walton, R.M.; Barnhart, K.F.; Blanco-Chavez, J. ASVCP reference interval guidelines: Determination of de novo reference intervals in veterinary species and other related topics. Vet. Clin. Pathol. 2012, 41, 441–453. [Google Scholar] [CrossRef]
- Arnold, J.E.; Camus, M.S.; Freeman, K.P.; Giori, L.; Hooijberg, E.H.; Jeffery, U.; Korchia, J.; Meindel, M.J.; Moore, A.R.; Sisson, S.C.; et al. ASVCP guidelines: Principles of quality assurance and standards for veterinary clinical pathology (version 3.0): Developed by the American Society for Veterinary Clinical Pathology’s (ASVCP) Quality Assurance and Laboratory Standards (QALS) Committee. Vet. Clin. Pathol. 2019, 48, 542–618. [Google Scholar] [CrossRef]
- Johansen, J.S.; Hvolris, J.; Hansen, M.; Backer, V.; Lorenzen, I.; Price, P.A. Serum YKL-40 levels in healthy children and adults. Comparison with serum and synovial fluid levels of YKL-40 in patients with osteoarthritis or trauma of the knee joint. Br. J. Rheumatol. 1996, 35, 553–559. [Google Scholar] [CrossRef]
- Kanneganti, M.; Kamba, A.; Mizoguchi, E. Role of chitotriosidase (chitinase 1) under normal and disease conditions. J. Epithel. Biol. Pharmacol. 2012, 5, 1–9. [Google Scholar] [CrossRef]
- Sanfilippo, C.; Malaguarnera, L.; Di Rosa, M. Chitinase expression in Alzheimer’s disease and non-demented brains regions. J. Neurol. Sci. 2016, 369, 242–249. [Google Scholar] [CrossRef]
- Kamle, S.; Ma, B.; He, C.H.; Akosman, B.; Zhou, Y.; Lee, C.M.; El-Deiry, W.S.; Huntington, K.; Liang, O.; Machan, J.T.; et al. Chitinase 3-like-1 is a therapeutic target that mediates the effects of aging in COVID-19. JCI Insight 2021, 6, e148749. [Google Scholar] [CrossRef] [PubMed]
- Malaguarnera, L.; Di Rosa, M.; Zambito, A.M.; Dell’Ombra, N.; Nicoletti, F.; Malaguarnera, M. Chitotriosidase gene expression in Kupffer cells from patients with non-alcoholic fatty liver disease. Gut 2006, 55, 1313–1320. [Google Scholar] [CrossRef] [PubMed]
- Lee, C.G.; Da Silva, C.A.; Dela Cruz, C.S.; Ahangari, F.; Ma, B.; Kang, M.J.; He, C.H.; Takyar, S.; Elias, J.A. Role of chitin and chitinase/chitinase-like proteins in inflammation, tissue remodeling, and injury. Annu. Rev. Physiol. 2011, 73, 479–501. [Google Scholar] [CrossRef]
- Kipar, A.; Meli, M.L. Feline infectious peritonitis: Still an enigma? Vet. Pathol. 2014, 51, 505–526. [Google Scholar] [CrossRef] [PubMed]
- Pedersen, N.C. An update on feline infectious peritonitis: Virology and immunopathogenesis. Vet. J. 2014, 201, 123–132. [Google Scholar] [CrossRef] [PubMed]
- Paltrinieri, S.; Giordano, A.; Tranquillo, V.; Guazzetti, S. Critical assessment of the diagnostic value of feline alpha1-acid glycoprotein for feline infectious peritonitis using the likelihood ratios approach. J. Vet. Diagn. Investig. 2007, 9, 266–272. [Google Scholar] [CrossRef]
- Pedersen, N.C.; Perron, M.; Bannasch, M.; Montgomery, E.; Murakami, E.; Liepnieks, M.; Liu, H. Efficacy and safety of the nucleoside analog GS-441524 for treatment of cats with naturally occurring feline infectious peritonitis. J. Feline Med. Surg. 2019, 21, 271–281. [Google Scholar] [CrossRef]


| Group | Clinically Healthy (n = 17) | FIP (n = 19) | Non FIP (n = 20) |
|---|---|---|---|
| Breed | DSH (n = 13); British Shorthair, Maine Coon, Persian, Ragdoll (n = 1 each) | DSH (n = 18); Ragdoll (n = 1) | DSH (n = 19), Maine Coon (n = 1) |
| Sex | 7 F, 2 sF, 5 M, 3 cM | 3 F, 3 sF, 10 m, 3 cM | 2 F, 8 sF, 2 M, 8 cM |
| Age range (median) | 5 m–10 y (16 m) | 4 m–5 y (14 m) | 5 m–16 y (6.4 y) |
| Symptoms | None | Effusions, possibly associated with icterus, fever, ocular or neurological signs (n = 14); fever, neurological signs or abdominal masses (n = 5) | Symptoms potentially consistent with FIP (effusions, possibly associated with fever and/or jaundice) (n = 13), symptoms not consistent with FIP (e.g., cutaneous lesions, gastrointestinal signs, polytrauma (n = 7) |
| Diagnostic method | Clinical examination, hematology and clinical chemistry | Necropsy (n = 4); necropsy and immunohistochemistry (n = 6); positive PCR on CSF (n = 2); positive PCR on the effusion (n = 2); clinico-pathological changes on serum and effusions (n = 5) * | Diagnostic imaging, hematology and clinical chemistry, analysis of the effusions, when present, response to treatments, and/or histological analysis of samples collected post mortem or in vivo |
| Final diagnosis | None | Wet FIP (n = 14); dry FIP (n = 5) | Septic effusion (n = 4); cholangiohepatitis (n = 4); hyperproteinemia due to multiple myeloma (n = 2); trauma (n = 2); cardiopathy (n = 1); gastrointestinal eosinophilic sclerosing fibroplasia (n = 1); lymphoma (n = 1); cutaneous abscess (n = 1); follicular cyst (n = 1); lymphoplasmocytic enteritis and FIV (n = 1); gastroenteritis (n = 1); systemic allergic reaction (n = 1) |
| Blood neutrophils (×10³/µL) ** | 6.02 ± 2.63 (5.66) | 9.60 ± 6.98 (8.57) | 15.07 ± 14.7 † (11.03) |
| Blood monocytes (×10³/µL) ** | 0.27 ± 0.18 (0.23) | 0.34 ± 0.47 (0.16) | 0.73 ± 0.95 (0.45) |
| Test Session | FIP | Non-FIP | Healthy | p |
|---|---|---|---|---|
| 1 | 39.4 ± 60.4 (20.8) † 7.2–35.7 | 29.6 ± 37.7 (13.6) 6.8–42.9 | 14.5 ± 24.3 (6.4) 4.9–12.2 | 0.018 |
| 2 | 49.1 ± 101.7 (14.2) †† 5.7–19.3 | 21.8 ± 32.7 (8.1) 5.1–26.6 | 9.8 ± 13.3 (4.9) 4.2–8.2 | 0.024 |
| Test Session | Dry FIP | Wet FIP | p |
|---|---|---|---|
| 1 | 20.6 ± 14.9 (25.0) 5.2–33.2 | 46.1 ± 69.3 (18.7) 8.7–55.0 | >0.005 |
| 2 | 16.8 ± 2.0 (16.6) 15.5–18.2 | 60.6 ± 1.17 (10.4) 4.9–45.0 | >0.005 |
| Groups | Test Session | AUC (95% CI) | Max Youden Index | Highest LR+ | 100% Spec |
|---|---|---|---|---|---|
| Sick vs. Healthy | 1 | 0.73 (0.59–0.88) | 0.431 (8.31 µg/mL) Sens 72.5; Spec 70.6 | 5.10 (31.46 µg/mL) | 105.29 µg/mL |
| 2 | 0.64 (0.48–0.80) | 0.342 (15.16 µg/mL) Sens 63.2; Spec 71.1 | 3.83 (23.86 µg/mL) | 162.39 µg/mL | |
| FIP vs. non-FIP | 1 | 0.72 (0.57–0.87) | 0.406 (6.43 µg/mL) Sens 70.0; Spec 70.6 | 4.00 (105.23 µg/mL) | 57.87 µg/mL |
| 2 | 0.67 (0.51–0.83) | 0.368 (8.39 µg/mL) Sens 68.4; Spec 68.4 | 6.00 (61.00 µg/mL) | 141.61 µg/mL |
Disclaimer/Publisher’s Note: The statements, opinions and data contained in all publications are solely those of the individual author(s) and contributor(s) and not of MDPI and/or the editor(s). MDPI and/or the editor(s) disclaim responsibility for any injury to people or property resulting from any ideas, methods, instructions or products referred to in the content. |
© 2023 by the authors. Licensee MDPI, Basel, Switzerland. This article is an open access article distributed under the terms and conditions of the Creative Commons Attribution (CC BY) license (https://creativecommons.org/licenses/by/4.0/).
Share and Cite
Stranieri, A.; Ávila Morales, G.; Brusasco, L.; Paltrinieri, S. Chitinase-1 Activity in Serum of Cats with FIP. Viruses 2023, 15, 1815. https://doi.org/10.3390/v15091815
Stranieri A, Ávila Morales G, Brusasco L, Paltrinieri S. Chitinase-1 Activity in Serum of Cats with FIP. Viruses. 2023; 15(9):1815. https://doi.org/10.3390/v15091815
Chicago/Turabian StyleStranieri, Angelica, Gabriela Ávila Morales, Laura Brusasco, and Saverio Paltrinieri. 2023. "Chitinase-1 Activity in Serum of Cats with FIP" Viruses 15, no. 9: 1815. https://doi.org/10.3390/v15091815
APA StyleStranieri, A., Ávila Morales, G., Brusasco, L., & Paltrinieri, S. (2023). Chitinase-1 Activity in Serum of Cats with FIP. Viruses, 15(9), 1815. https://doi.org/10.3390/v15091815

