Discovery of Octahydroisoindolone as a Scaffold for the Selective Inhibition of Chitinase B1 from Aspergillus fumigatus: In Silico Drug Design Studies
Abstract
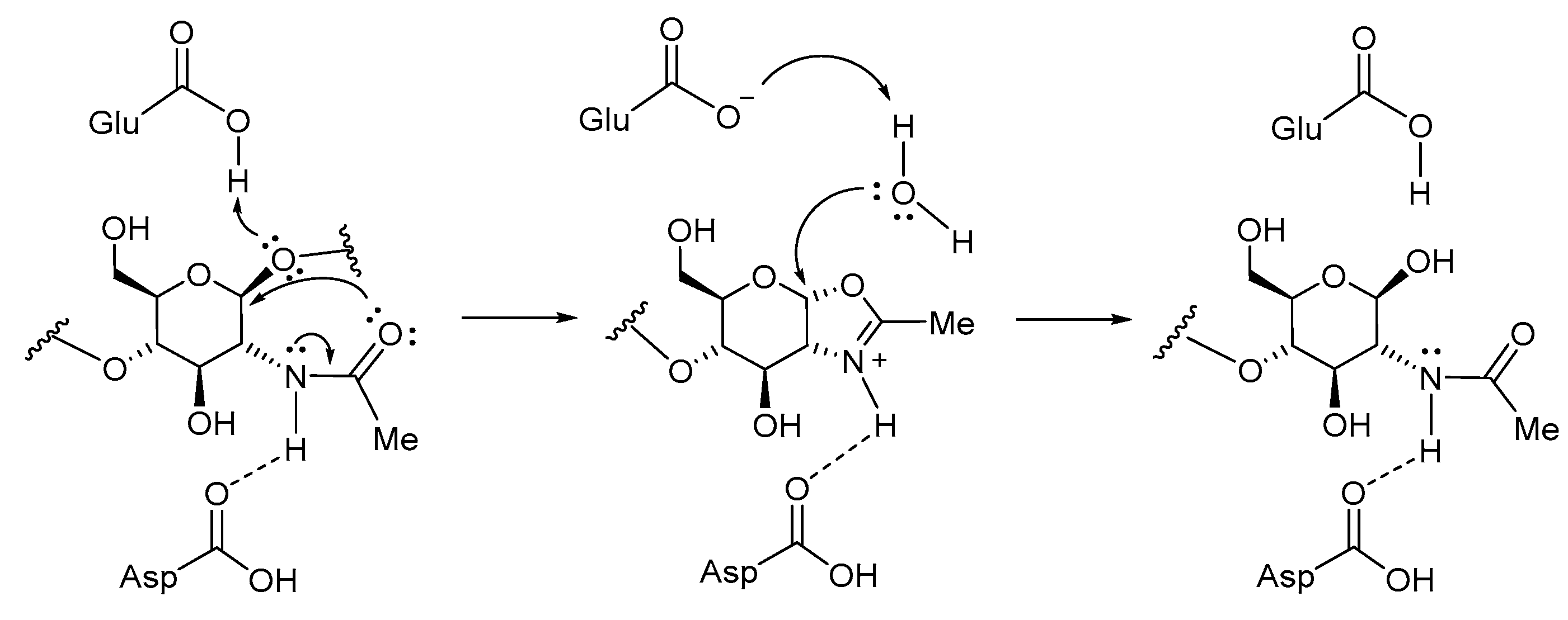
1. Introduction
2. Computational Details
2.1. Bioinformatic Analysis
2.2. Homology Structure Modeling
2.3. Scaffold Proposal
2.4. Molecular Docking Calculations
2.5. Construction of Ligands Derivatives
2.6. Re-Docking and Selectivity Analysis over CHIT1
2.7. Mathematical Model for IC50 Prediction
3. Results and Discussion
3.1. 3D Structure Protein Analysis
3.2. Scaffold Design
3.3. Structure-Based Drug Design
3.4. Selectivity Analysis over AfChiB1 and CHIT1
3.5. Mathematical Model for the IC50 Prediction over AfChiB1
4. Conclusions
Supplementary Materials
Author Contributions
Funding
Institutional Review Board Statement
Informed Consent Statement
Data Availability Statement
Acknowledgments
Conflicts of Interest
References
- Marr, K.A.; Platt, A.; Tornheim, J.A.; Zhang, S.X.; Datta, K.; Cardozo, C.; Garcia-vidal, C. Aspergillosis complicating severe coronavirus disease. Emerg. Infect. Dis. 2021, 27, 18–25. [Google Scholar] [CrossRef]
- Brown, G.D.; Denning, D.W.; Gow, N.A.R.; Levitz, S.M.; Netea, M.G.; White, T.C. Hidden killers: Human fungal infections. Sci. Transl. Med. 2012, 4, 165rv13. [Google Scholar] [CrossRef]
- Firacative, C. Invasive fungal disease in humans: Are we aware of the real impact? Memórias Inst. Oswaldo Cruz 2020, 115, 1–9. [Google Scholar] [CrossRef] [PubMed]
- Karthaus, M. Leitliniengerechte Therapie der invasiven Aspergillose. Mycoses 2010, 53, 36–43. [Google Scholar] [CrossRef]
- François, I.E.J.A.; Cammue, B.P.A.; Borgers, M.; Ausma, J.; Dispersyn, G.D.; Thevissen, K. Azoles: Mode of antifungal action and resistance development effect of miconazole on endogenous reactive oxygen species production in Candida albicans. AntiInfect. Agents Med. Chem. 2006, 5, 3–13. [Google Scholar] [CrossRef]
- Groll, A.H.; Townsend, R.; Desai, A.; Azie, N.; Jones, M.; Engelhardt, M.; Schmitt-Hoffman, A.H.; Brüggemann, R.J.M. Drug-drug interactions between triazole antifungal agents used to treat invasive aspergillosis and immunosuppressants metabolized by cytochrome P450 3A4. Transpl. Infect. Dis. 2017, 19, e12751. [Google Scholar] [CrossRef] [PubMed]
- Mohamed, A.; Rogers, T.R.; Talento, A.F. COVID-19 associated invasive pulmonary aspergillosis: Diagnostic and therapeutic challenges. J. Fungi 2020, 6, 115. [Google Scholar] [CrossRef]
- Resendiz-sharpe, A.; Mercier, T.; Lestrade, P.P.A.; Beek, M.T.; Borne, P.A.; Cornelissen, J.J.; Kort, E.; Rijnders, B.J.A.; Schauwvlieghe, A.F.A.D.; Verweij, P.E.; et al. Prevalence of voriconazole-resistant invasive aspergillosis and its impact on mortality in haematology patients. J. Antimicrob. Chemother. 2019, 74, 2759–2766. [Google Scholar] [CrossRef]
- Hartl, L.; Zach, S.; Seidl-Seiboth, V. Fungal chitinases: Diversity, mechanistic properties and biotechnological potential. Appl. Microbiol. Biotechnol. 2012, 93, 533–543. [Google Scholar] [CrossRef] [PubMed]
- Sakuda, S.; Inoue, H.; Nagasawa, H. Novel biological activities of allosamidins. Molecules 2013, 18, 6952–6968. [Google Scholar] [CrossRef]
- Suzuki, S.; Nakanishi, E.; Ohira, T.; Kawachi, R.; Nagasawa, H.; Sakuda, S. Chitinase inhibitor allosamidin is a signal molecule for chitinase production in its producing Streptomyces. I. Analysis of the chitinase whose production is promoted by allosamidin and growth accelerating activity of allosamidin. J. Antibiot. 2006, 59, 402–409. [Google Scholar] [CrossRef]
- Gooday, G.W.; Zhu, W.Y.; O’Donnell, R.W. What are the roles of chitinases in the growing fungus? FEMS Microbiol. Lett. 1992, 100, 387–391. [Google Scholar] [CrossRef]
- Sakuda, S.; Nishimoto, Y.; Ohi, M.; Watanabe, M.; Takayama, S.; Isogai, A.; Yamada, Y. Effects of demethylallosamidin, a potent yeast chitinase inhibitor, on the cell division of yeast. Agric. Biol. Chem. 1990, 54, 1333–1335. [Google Scholar]
- Huang, G.; Huang, H. Synthesis, antiasthmatic, and insecticidal/antifungal activities of allosamidins. J. Enzym. Inhib. Med. Chem. 2019, 34, 1226–1232. [Google Scholar] [CrossRef]
- Tsirilakis, K.; Kim, C.; Vicencio, A.G.; Andrade, C.; Casadevall, A.; Goldman, D.L. Methylxanthine inhibit fungal chitinases and exhibit antifungal activity. Mycopathologia 2012, 173, 83–91. [Google Scholar] [CrossRef] [PubMed]
- Rao, F.V.; Andersen, O.A.; Vora, K.A.; DeMartino, J.A.; Van Aalten, D.M.F. Brief communication are chitinase inhibitors: Investigation of inhibition and binding modes. Chem. Biol. 2005, 12, 973–980. [Google Scholar]
- Schüttelkopf, A.W.; Andersen, O.A.; Rao, F.V.; Allwood, M.; Lloyd, C.; Eggleston, I.M.; Van Aalten, D.M.F. Screening-based discovery and structural dissection of a novel family 18 chitinase inhibitor. J. Biol. Chem. 2006, 281, 27278–27285. [Google Scholar] [CrossRef] [PubMed]
- Schüttelkopf, A.W.; Andersen, F.O.A.; Rao, V.; Allwood, M.; Rush, C.L.; Eggleston, I.M.; Van Aalten, D.M.F. Bisdionin C-A rationally designed, submicromolar inhibitor of family 18 chitinases. ACS Med. Chem. Lett. 2011, 2, 428–432. [Google Scholar] [CrossRef] [PubMed]
- Schüttelkopf, A.W.; Gros, L.; Blair, D.E.; Frearson, J.A.; Van Aalten, D.M.F.; Gilbert, I.H. Acetazolamide-based fungal chitinase inhibitors. Bioorg. Med. Chem. 2010, 18, 8334–8340. [Google Scholar] [CrossRef]
- Lockhart, D.E.A.; Schuettelkopf, A.; Blair, D.E.; Van Aalten, D.M.F. Screening-based discovery of Aspergillus fumigatus plant-type chitinase inhibitors. FEBS Lett. 2014, 588, 3282–3290. [Google Scholar] [CrossRef][Green Version]
- Dickinson, K.; Keer, V.; Hitchcock, C.A.; Adams, D.J. Chtinase activity from Candida albicans and its inhibition by allosamidin. J. Gen. Microbiol. 1989, 135, 1417–1421. [Google Scholar]
- Nishimoto, Y.; Sakuda, S.; Takayama, S.; Yasuhiro, Y. Isolation and characterization of new allosamidins. J. Antibiot. 1991, 44, 716–722. [Google Scholar] [CrossRef] [PubMed]
- Batran, R.Z.; Khedr, M.A.; Abdel Latif, N.A.; Abd El Aty, A.A.; Shehata, A.N. Synthesis, homology modeling, molecular docking, dynamics, and antifungal screening of new 4-hydroxycoumarin derivatives as potential chitinase inhibitors. J. Mol. Struct. 2019, 1180, 260–271. [Google Scholar] [CrossRef]
- Jiang, X.; Kumar, A.; Liu, T.; Zhang, K.Y.J.; Yang, Q. A novel scaffold for developing specific or broad-spectrum chitinase inhibitors. J. Chem. Inf. Model. 2016, 56, 2413–2420. [Google Scholar] [CrossRef]
- Omura, S.; Arai, N.; Yamaguchi, Y.; Masuma, R.; Iwai, Y.; Namikoshi, M.; Turberg, A.; Kölbl, H.; Shiomi, K. Argifin, a new chitinase inhibitor, produced by Gliocladium sp. FTD-0668. J. Antibiot. 2000, 53, 603–608. [Google Scholar] [CrossRef] [PubMed]
- Andersen, O.A.; Nathubhai, A.; Dixon, M.J.; Eggleston, I.M.; Van Aalten, D.M.F. Structure-based sissection of the natural product cyclopentapeptide chitinase inhibitor Argifin. Chem. Biol. 2008, 15, 295–301. [Google Scholar] [CrossRef]
- Waterhouse, A.M.; Procter, J.B.; Matin, D.M.A.; Clamp, M.; Barton, G.J. Jalview Version 2—A multiple sequence alignment editor and analysis workbench. Bioinformatics 2009, 25, 1189–1191. [Google Scholar] [CrossRef] [PubMed]
- Yang, J.; Yan, R.; Roy, A.; Xu, D.; Poisson, J.; Zhang, Y. The I-TASSER Suite: Protein structure and function prediction. Nat. Methods 2015, 12, 7–8. [Google Scholar] [CrossRef]
- Zhang, Y. I-TASSER server for protein 3D structure prediction. BMC Bioinform. 2000, 9, 40. [Google Scholar] [CrossRef]
- Stewart, J.J.P. Optimization of parameters for semiempirical methods V: Modification of NDDO approximations and application to 70 elements. J. Mol. Model. 2007, 13, 1173–1213. [Google Scholar] [CrossRef] [PubMed]
- Becke, A.D. Density-functional thermochemistry. III. The role of exact exchange. J. Chem. Phys. 1993, 98, 5648–5652. [Google Scholar] [CrossRef]
- MacKie, I.D.; Dilabio, G.A. Accurate dispersion interactions from standard density-functional theory methods with small basis sets. Phys. Chem. Chem. Phys. 2010, 12, 6092–6098. [Google Scholar] [CrossRef] [PubMed]
- Wavefunction Inc. I.A. Spartan. 2018. Available online: www.wavefun.com (accessed on 14 December 2020).
- Thomsen, R.; Christensen, M.H. MolDock: A new technique for high-accuracy molecular docking. J. Med. Chem. 2008, 49, 3315–3321. [Google Scholar] [CrossRef]
- Tetko, I.V.; Tanchuk, V.Y. Application of associative neural networks for prediction of lipophilicity in ALOGPS 2.1 program. J. Chem. Inf. Comput. Sci. 2002, 42, 1136–1145. [Google Scholar] [CrossRef]
- Labadaridis, I.; Dimitriou, E.; Theodorakis, M.; Kafalidis, G.; Velegraki, A.; Michelakakis, H. Chitotriosidase in neonates with fungal and bacterial infections. Arch. Dis. Child. 2005, 90, 531–532. [Google Scholar] [CrossRef]
- Van Dyken, S.J.; Locksley, R.M. Chitins and chitinase activity in airway diseases. J. Allergy Clin. Immunol. 2018, 142, 364–369. [Google Scholar] [CrossRef]
- Pérez, D.J.; Zakai, U.I.; Guo, S.; Guzei, I.A.; Gómez-Sandoval, Z.; Razo-Hernández, R.S.; West, R.; Ramos-Organillo, A. Synthesis and biological screening of silicon-containing ibuprofen derivatives: A study of their NF-β inhibitory activity, cytotoxicity, and their ability to bind IKKβ. Aust. J. Chem. 2016, 69, 662–671. [Google Scholar] [CrossRef][Green Version]
- ALOGPS 2.1. Virtual Computational Chemistry Laboratory. 2016. Available online: http://www.vcclab.org/lab/alogps/ (accessed on 14 June 2021).
- Hernández-López, H.; Leyva-Ramos, S.; Gómez-Durán, C.D.A.; Pedraza-Alvarez, A.; Rodríguez-Gutiérrez, I.R.; Leyva-Peralta, M.A.; Razo-Hernández, R.S. Synthesis of 1,4-biphenyl-triazole derivatives as possible 17β-HSD1 inhibitors: An in Silico Study. ACS Omega 2020, 5, 14061–14068. [Google Scholar] [CrossRef]
- Raftani, M.; Abram, T.; Azaid, A.; Kacimi, R.; Bennani, M.N.; Bouachrine, M. Theoretical design of new organic compounds based on diketopyrrolopyrrole and phenyl for organic bulk heterojunction solar cell applications: DFT and TD-DFT study. Mater. Today Proc. 2021, 45, 7334–7343. [Google Scholar] [CrossRef]
- Bourass, M.; Touimi Benjelloun, A.; Hamidi, M.; Benzakour, M.; Mcharfi, M.; Sfaira, M.; Serein-Spirau, F.; Lère-Porte, J.P.; Sotiropoulos, J.M.; Bouzzine, S.M.; et al. DFT theoretical investigations of π-conjugated molecules based on thienopyrazine and different acceptor moieties for organic photovoltaic cells. J. Saudi Chem. Soc. 2016, 20, S415–S425. [Google Scholar] [CrossRef]
- Kerru, N.; Gummidi, L.; Bhaskaruni, S.V.H.S.; Maddila, S.N.; Singh, P.; Jonnalagadda, S.B. A comparison between observed and DFT calculations on structure of 5-(4-chlorophenyl)-2-amino-1,3,4-thiadiazole. Sci. Rep. 2019, 9, 19280. [Google Scholar] [CrossRef] [PubMed]
- Marquina, S.; Maldonado-Santiago, M.; Sánchez-Carranza, J.N.; Antúnez-Mojica, M.; González-Maya, L.; Razo-Hernández, R.S.; Alvarez, L. Design, synthesis and QSAR study of 2′-hydroxy-4′-alkoxy chalcone derivatives that exert cytotoxic activity by the mitochondrial apoptotic pathway. Bioorg. Med. Chem. 2019, 27, 43–54. [Google Scholar] [CrossRef] [PubMed]
- Zhao, Y.; Truhlar, D.G. Applications and validations of the Minnesota density functionals. Chem. Phys. Lett. 2011, 502, 1–13. [Google Scholar] [CrossRef]
- Rao, F.V.; Houston, D.R.; Boot, R.G.; Aerts, J.M.F.G.; Hodkinson, M.; Adams, D.J.; Shiomi, K.; Omura, S.; Van Aalten, D.M.F. Specificity and affinity of natural product cyclopentapeptide inhibitors against A. fumigatus, human, and bacterial chitinases. Chem. Biol. 2005, 12, 65–76. [Google Scholar] [CrossRef]
- Laborda, P.; Sayago, F.J.; Cativiela, C.; Gotor, V. Synthesis of trans-fused octahydroisoindole-1-carboxylic acids. Lett. Org. Chem. 2018, 15, 404–411. [Google Scholar] [CrossRef]
- Viveros-Ceballos, J.L.; Martínez-Toto, E.; Eustaquio-Armenta, C.; Cativiela, C.; Ordóñez, M. First and highly stereoselective synthesis of both enantiomers of octahydroindole-2-phosphonic acid (Oic P). Eur. J. Org. Chem. 2017, 45, 6781–6787. [Google Scholar] [CrossRef]
- Ghirardi, E.; Griera, R.; Picciche, M.; Molins, E.; Fernández, I.; Bosch, J.; Amat, M. Stereocontrolled access to enantiopure 7-substituted cis- and trans-octahydroindoles. Org. Lett. 2016, 18, 5836–5839. [Google Scholar] [CrossRef]
- Brameld, K.A.; Shrader, W.D.; Imperiali, N.; Goddard, W.A. Substrate assistance in the mechanism of family 18 chitinases: Theoretical studies of potential intermediates and inhibitors. J. Mol. Biol. 1998, 280, 913–923. [Google Scholar] [CrossRef]
- Jitonnom, J.; Lee, V.S.; Nimmanpipug, P.; Rowlands, H.A.; Mulholland, A.J. Quantum mechanics/molecular mechanics modeling of substrate-assisted catalysis in family 18 chitinases: Conformational changes and the role of Asp142 in catalysis in ChiB. Biochemistry 2011, 50, 4697–4711. [Google Scholar] [CrossRef]
- Van Aalten, D.M.F.; Komander, D.; Synstad, B.; Gåseidnes, S.; Peter, M.G.; Eijsink, V.G.H. Structural insights into the catalytic mechanism of a family 18 exo-chitinase. Proc. Natl. Acad. Sci. USA 2003, 98, 8979–8984. [Google Scholar] [CrossRef]
- Coines, J.; Alfonso-Prieto, M.; Biarnés, X.; Planas, A.; Rovira, C. Oxazoline or oxazolinium ion? The protonation state and conformation of the reaction intermediate of chitinase enzymes revisited. Chem. Eur. J. 2018, 24, 19258–19265. [Google Scholar] [CrossRef]
- Pinto, A.; Griera, R.; Molins, E.; Fernández, I.; Bosch, J.; Amat, M. Access to enantiopure 5-, 7-, and 5,7-substituted cis-decahydroquinolines: Enantioselective synthesis of (-)-Cermizine B. Org. Lett. 2017, 19, 1714–1717. [Google Scholar] [CrossRef] [PubMed]
- Fischer, A.; Smiesko, M.; Sellner, M.; Lill, M.A. Decision making in structure-based drug discovery: Visual inspection of docking results. J. Med. Chem. 2021, 64, 2489–2500. [Google Scholar] [CrossRef]
- Antoine, D.; Michielin, O.; Zoete, V. SwissADME: A free web tool to evaluate pharmacokinetics, drug-likeness, and medicinal chemistry friendliness of small molecules. Sci. Rep. 2017, 7, 42717. [Google Scholar]
- Elmeliegy, M.; Vourvahis, M.; Guo, C.; Wang, D.D. Effect of P-glycoprotein (P-gp) Inducers on Exposure of P-gp Substrates: Review of Clinical Drug–Drug Interaction Studies. Clin. Pharmacokinet. 2020, 59, 699–714. [Google Scholar] [CrossRef] [PubMed]













| Ligands | Pose in Cavity | Interactions |
|---|---|---|
| 1 | ![]() | ![]() |
| 2 | ![]() | ![]() |
| 3 | ![]() | ![]() |
| 4 | ![]() | ![]() |
| 5 | ![]() | ![]() |
| Ligand | Pose in Cavity | Interactions |
|---|---|---|
| 1 | ![]() | ![]() |
| 2 | ![]() | ![]() |
| 3 | ![]() | ![]() |
| 4 | ![]() | ![]() |
Publisher’s Note: MDPI stays neutral with regard to jurisdictional claims in published maps and institutional affiliations. |
© 2021 by the authors. Licensee MDPI, Basel, Switzerland. This article is an open access article distributed under the terms and conditions of the Creative Commons Attribution (CC BY) license (https://creativecommons.org/licenses/by/4.0/).
Share and Cite
Marbán-González, A.; Hernández-Mendoza, A.; Ordóñez, M.; Razo-Hernández, R.S.; Viveros-Ceballos, J.L. Discovery of Octahydroisoindolone as a Scaffold for the Selective Inhibition of Chitinase B1 from Aspergillus fumigatus: In Silico Drug Design Studies. Molecules 2021, 26, 7606. https://doi.org/10.3390/molecules26247606
Marbán-González A, Hernández-Mendoza A, Ordóñez M, Razo-Hernández RS, Viveros-Ceballos JL. Discovery of Octahydroisoindolone as a Scaffold for the Selective Inhibition of Chitinase B1 from Aspergillus fumigatus: In Silico Drug Design Studies. Molecules. 2021; 26(24):7606. https://doi.org/10.3390/molecules26247606
Chicago/Turabian StyleMarbán-González, Alberto, Armando Hernández-Mendoza, Mario Ordóñez, Rodrigo Said Razo-Hernández, and José Luis Viveros-Ceballos. 2021. "Discovery of Octahydroisoindolone as a Scaffold for the Selective Inhibition of Chitinase B1 from Aspergillus fumigatus: In Silico Drug Design Studies" Molecules 26, no. 24: 7606. https://doi.org/10.3390/molecules26247606
APA StyleMarbán-González, A., Hernández-Mendoza, A., Ordóñez, M., Razo-Hernández, R. S., & Viveros-Ceballos, J. L. (2021). Discovery of Octahydroisoindolone as a Scaffold for the Selective Inhibition of Chitinase B1 from Aspergillus fumigatus: In Silico Drug Design Studies. Molecules, 26(24), 7606. https://doi.org/10.3390/molecules26247606



















