Sign in to use this feature.

Years

Between: -

Subjects

remove_circle_outline
remove_circle_outline
remove_circle_outline
remove_circle_outline
remove_circle_outline
remove_circle_outline
remove_circle_outline
remove_circle_outline
remove_circle_outline

Journals

remove_circle_outline
remove_circle_outline
remove_circle_outline
remove_circle_outline
remove_circle_outline
remove_circle_outline
remove_circle_outline
remove_circle_outline
remove_circle_outline
remove_circle_outline
remove_circle_outline
remove_circle_outline

Article Types

Countries / Regions

remove_circle_outline
remove_circle_outline
remove_circle_outline
remove_circle_outline
remove_circle_outline

Search Results (1,372)

Search Parameters:
Keywords = chip-based devices

Order results
Result details
Results per page
Select all
Export citation of selected articles as:
11 pages, 1302 KB  
Article
A Ring-Assisted Asymmetric Mach–Zehnder Interferometer for High-Sensitivity and Stable On-Chip Temperature Sensing
by Huan Guan, Zhuoting Wang, Shuhui Bo and Zhiyong Li
Photonics 2026, 13(3), 300; https://doi.org/10.3390/photonics13030300 - 20 Mar 2026
Abstract
A high-sensitivity and high-stability on-chip temperature sensor based on a silicon-on-insulator (SOI) platform is proposed and experimentally demonstrated in this work. The device employs a ring-assisted asymmetric Mach–Zehnder interferometer (RAMZI), enhancing both temperature sensitivity and measurement stability. Broadband, wavelength-insensitive components, including multimode interference [...] Read more.
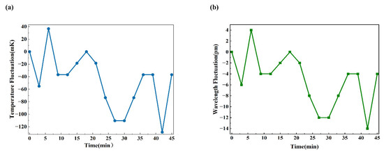
A high-sensitivity and high-stability on-chip temperature sensor based on a silicon-on-insulator (SOI) platform is proposed and experimentally demonstrated in this work. The device employs a ring-assisted asymmetric Mach–Zehnder interferometer (RAMZI), enhancing both temperature sensitivity and measurement stability. Broadband, wavelength-insensitive components, including multimode interference couplers and adiabatic 3 dB splitters, reduce the influence of laser wavelength fluctuations and mitigate interference errors caused by environmental perturbations. The sensor achieves a temperature sensitivity of 108.74 pm/K, corresponding to an approximately 40% improvement over a conventional AMZI with the same footprint. Moreover, a wavelength drift of only 18 pm over 45 min demonstrates excellent stability and robustness. This work provides an effective solution for highly sensitive and stable on-chip temperature sensing in photonic integrated systems. Full article
(This article belongs to the Special Issue Advances in Optical Sensors and Applications)
Show Figures

Figure 1

8 pages, 1600 KB  
Article
Impact of Low-Frequency RF Injection on Leakage Behavior in Nanoscale NMOS Devices
by Mohammad Abedi, Zahra Abedi, Payman Zarkesh-Ha, Sameer Hemmady and Edl Schamiloglu
Electronics 2026, 15(6), 1244; https://doi.org/10.3390/electronics15061244 - 17 Mar 2026
Viewed by 111
Abstract
The goal of this research is to develop a predictive model that determines how low-frequency Electromagnetic Interference (EMI) affects the leakage current behavior of CMOS transistors. Although developed and validated using NMOS devices, the modeling framework can be extended to PMOS transistors; experimental [...] Read more.
The goal of this research is to develop a predictive model that determines how low-frequency Electromagnetic Interference (EMI) affects the leakage current behavior of CMOS transistors. Although developed and validated using NMOS devices, the modeling framework can be extended to PMOS transistors; experimental validation of PMOS devices is planned for future work. The model provides essential physical parameter-based analysis of nanoscale device EMI susceptibility during low-frequency operation. The model demonstrates high accuracy and practicality through experimental verification of test chips built with standard TSMC CMOS technology nodes. The findings highlight that modern CMOS designs must account for low-frequency EMI, which can induce leakage shifts significant enough to impact EMC compliance, functional robustness, and reliability in ultra-low-power and near-threshold applications. The research delivers a practical method for designers to evaluate and reduce EMI-induced leakage in integrated circuits. Full article
Show Figures

Figure 1

34 pages, 5665 KB  
Review
Dispersion Engineering and Sensitivity Enhancement in Photonic Crystal Waveguide Sensors: Current Advances and Emerging Challenges
by Nikolay L. Kazanskiy, Nikita V. Golovastikov and Svetlana N. Khonina
Sensors 2026, 26(6), 1872; https://doi.org/10.3390/s26061872 - 16 Mar 2026
Viewed by 129
Abstract
Photonic crystal waveguides (PhCWs) have emerged as a leading platform for integrated optical sensing due to their ability to engineer dispersion, enhance light–matter interaction, and exploit slow-light effects. This review provides a comprehensive analysis of the fundamental physics, performance metrics, device architectures, and [...] Read more.
Photonic crystal waveguides (PhCWs) have emerged as a leading platform for integrated optical sensing due to their ability to engineer dispersion, enhance light–matter interaction, and exploit slow-light effects. This review provides a comprehensive analysis of the fundamental physics, performance metrics, device architectures, and application domains that define the current state of PhCW-based sensing. Key mechanisms governing sensitivity, figure of merit, detection limit, and dynamic range are examined, with emphasis on the intrinsic trade-offs introduced by slow-light operation, including disorder-induced scattering, linewidth broadening, and thermal susceptibility. Advances in dispersion engineering, such as hole shifting, gentle confinement, and width modulation, are highlighted alongside novel architectures including slot PhCWs, hybrid material platforms, and plasmonic–photonic configurations. Their respective capabilities in enhancing analyte overlap, improving spectral stability, and expanding functional integration are critically assessed. Emerging applications in biochemical detection, environmental monitoring, and nanoscale particle sensing further illustrate the versatility of PhCWs within modern optofluidic and lab-on-chip systems. The review concludes by outlining key challenges and future directions, including disorder-resilient slow-light design, inverse-engineered structures, and platform-level integration, which collectively chart a path toward next-generation high-performance photonic crystal sensing technologies. Full article
(This article belongs to the Section Optical Sensors)
Show Figures

Figure 1

32 pages, 7928 KB  
Article
eXCube2: Explainable Brain-Inspired Spiking Neural Network Framework for Emotion Recognition from Audio, Visual and Multimodal Audio–Visual Data
by N. K. Kasabov, A. Yang, Z. Wang, I. Abouhassan, A. Kassabova and T. Lappas
Biomimetics 2026, 11(3), 208; https://doi.org/10.3390/biomimetics11030208 - 14 Mar 2026
Viewed by 137
Abstract
This paper introduces a biomimetic framework and novel brain-inspired AI (BIAI) models based on spiking neural networks (SNNs) for emotional state recognition from audio (speech), visual (face), and integrated multimodal audio–visual data. The developed framework, named eXCube2, uses a three-dimensional SNN architecture NeuCube [...] Read more.
This paper introduces a biomimetic framework and novel brain-inspired AI (BIAI) models based on spiking neural networks (SNNs) for emotional state recognition from audio (speech), visual (face), and integrated multimodal audio–visual data. The developed framework, named eXCube2, uses a three-dimensional SNN architecture NeuCube that is spatially structured according to a human brain template. The BIAI models developed in eXCube2 are trainable on spatio- and spectro-temporal data using brain-inspired learning rules. Such models are explainable in terms of revealing patterns in data and are adaptable to new data. The eXCube2 models are implemented as software systems and tested on speech and video data of subjects expressing emotional states. The use of a brain template for the SNN structure enables brain-inspired tonotopic and stereo mapping of audio inputs, topographic mapping of visual data, and the combined use of both modalities. This novel approach brings AI-based emotional state recognition closer to human perception, provides a better explainability and adaptability than existing AI systems. It also results in a higher or competitive accuracy, even though this was not the main goal here. This is demonstrated through experiments on benchmark datasets, achieving classification accuracy above 80% on single-modality data and 88.9% when multimodal audio–visual data are used, and a “don’t know” output is introduced. The paper further discusses possible applications of the proposed eXCube2 framework to other audio, visual, and audio–visual data for solving challenging problems, such as recognizing emotional states of people from different origins; brain state diagnosis (e.g., Parkinson’s disease, Alzheimer’s disease, ADHD, dementia); measuring response to treatment over time; evaluating satisfaction responses from online clients; cognitive robotics; human–robot interaction; chatbots; and interactive computer games. The SNN-based implementation of BIAI also enables the use of neuromorphic chips and platforms, leading to reduced power consumption, smaller device size, higher performance accuracy, and improved adaptability and explainability. This research shows a step toward building brain-inspired AI systems. Full article
Show Figures

Figure 1

27 pages, 4244 KB  
Article
Low-Voltage Blood Component Separation for Implantable Kidneys Using a Sawtooth Electrode and Negative Dielectrophoresis
by Hasan Mhd Nazha, Mhd Ayham Darwich, Al-Hasan Ali and Basem Ammar
Appl. Sci. 2026, 16(6), 2785; https://doi.org/10.3390/app16062785 - 13 Mar 2026
Viewed by 173
Abstract
Implantable artificial kidneys represent a promising alternative for patients with end-stage renal disease (ESRD), aiming to overcome the limitations of conventional dialysis through the integration of microfluidic and electrokinetic technologies. In this study, we present a sawtooth electrode microfluidic chamber that achieves blood [...] Read more.
Implantable artificial kidneys represent a promising alternative for patients with end-stage renal disease (ESRD), aiming to overcome the limitations of conventional dialysis through the integration of microfluidic and electrokinetic technologies. In this study, we present a sawtooth electrode microfluidic chamber that achieves blood cell separation via negative dielectrophoresis at a record-low operating voltage of 1.4 V, representing a fivefold reduction compared with rectangular electrode designs and supporting potential integration into implantable artificial kidney systems. A microfluidic chip incorporating an asymmetric sawtooth electrode geometry was developed to enhance local electric field gradients while reducing power consumption. Device performance was investigated using COMSOL Multiphysics simulations. Response Surface Methodology (RSM) based on a Box–Behnken design was employed to optimize the number of teeth per unit length (N), sawtooth height (H), and applied voltage (V), while excitation frequency was fixed at 1 MHz and flow velocity was maintained constant at 0.1 µL·min−1. Statistical analysis was conducted using analysis of variance (ANOVA) in Minitab (Version 27; Minitab, LLC, State College, PA, USA, 2024). The optimization model showed strong predictive capability (R2 = 95.8%) and identified applied voltage (59.45% contribution) and sawtooth height (33%) as the dominant factors affecting separation efficiency, with a significant H × V interaction (p = 0.023). Comprehensive voltage-response mapping over the range of 0.8–4.0 V revealed four operational regimes, including a previously unreported high-voltage failure zone above 2.8 V, where electrothermal flow and electroporation degrade performance. Under physiological conductivity conditions, the optimized design maintained a separation efficiency of 78.3% at 1.4 V with a tip temperature rise of only 1.2 °C, while full recovery of performance was achieved at 2.2 V. Cell-specific separation efficiencies reached 97.3% for white blood cells, 95.8% for red blood cells, and 84.7% for platelets, reducing the downstream cellular load by 92.6%. These findings demonstrate that the proposed low-voltage, high-efficiency separation platform has strong potential as a cellular pre-filtration module in implantable artificial kidney systems and other lab-on-chip biomedical devices. Full article
(This article belongs to the Special Issue Advances in Materials for Biosensing and Biomedical Applications)
Show Figures

Figure 1

22 pages, 21559 KB  
Article
Memristor Models with Parasitic Parameters for Analysis of Passive Memory Arrays
by Valeri Mladenov and Stoyan Kirilov
Technologies 2026, 14(3), 166; https://doi.org/10.3390/technologies14030166 - 6 Mar 2026
Viewed by 369
Abstract
Memristors are valuable elements with very good memory and switching features. They have minimal power consumption, nano-scale sizes, and a possibility for integration with high-density Complementary Metal Oxide Semiconductor (CMOS) integrated circuits. They are applicable in neural networks, memory crossbars, and different electronic [...] Read more.
Memristors are valuable elements with very good memory and switching features. They have minimal power consumption, nano-scale sizes, and a possibility for integration with high-density Complementary Metal Oxide Semiconductor (CMOS) integrated circuits. They are applicable in neural networks, memory crossbars, and different electronic devices. This work considers some improved and existing models for memristors, functioning at high-frequency signals with a high speed and very good effectiveness. The main parasitic parameters—series resistance, capacitance, and small-signal direct current (DC) voltage and current shifting signals—are taken into account. An additional leakage conductance is analyzed as a parasitic component. The influence of the parasitic parameters on the normal functioning of memristor-based circuits is analyzed and evaluated at hard-switching and soft-switching modes. For investigations of the main characteristics of the considered models and their applicability in memory arrays, Linear Technology Simulation Program with Integrated Circuits Emphasis (LTSPICE) library models are generated and analyzed. The considered models operate at low-, middle- and high-frequency signals, clearly demonstrating the main properties of memristors. Their appropriate operation in passive memory arrays is analyzed and established. The proposed models have a 26% enhanced accuracy in fitting experimental i-v relations. They ensure good memory and switching properties for memory arrays. This work could be a suitable step towards the design and manufacturing of ultra-high-density memristor-based integrated chips. Full article
Show Figures

Figure 1

13 pages, 2998 KB  
Article
Inhomogeneous Fluid Motion Induced by Standing Surface Acoustic Wave (SAW): A Finite Element Study
by Jialong Hu, Chao Zhang and Yufeng Zhou
Micromachines 2026, 17(3), 330; https://doi.org/10.3390/mi17030330 - 6 Mar 2026
Viewed by 214
Abstract
Acoustofluidics has emerged as a transformative technology for contact-free manipulation of microparticles and fluids in microscale systems. Although bulk acoustic waves (BAWs) are known to displace inhomogeneous fluids through acoustic radiation force acting at fluid interfaces, the capability of surface acoustic waves (SAWs) [...] Read more.
Acoustofluidics has emerged as a transformative technology for contact-free manipulation of microparticles and fluids in microscale systems. Although bulk acoustic waves (BAWs) are known to displace inhomogeneous fluids through acoustic radiation force acting at fluid interfaces, the capability of surface acoustic waves (SAWs) to produce analogous relocation phenomena remains largely unexplored. This study addresses a critical gap in acoustofluidic theory by presenting the first comprehensive finite element method investigation of SAW-driven motion of inhomogeneous fluid confined within microchannels of widths equal to one full or one-half SAW wavelength. Unlike BAW-based system that generate uniform pressure fields across channel heights, SAW devices exhibit inherently nonuniform vertical pressure distributions and intense near-boundary streaming—features that fundamentally alter fluid relocation dynamics. Our simulations demonstrate that despite high-frequency operation (6.65 MHz) and strong ARF, standing SAW fields fail to achieve stable fluid relocation in both initially stable and unstable configurations due to vertical pressure stratification and rapid floor-level streaming. Nevertheless, these same characteristics generate vigorous transverse folding flows that enable exceptionally rapid homogenization, offering a distinct acoustofluidic mechanism for on-chip mixing. These findings not only elucidate fundamental physical differences between BAW and SAW actuation in multiphase microfluidic systems but also establish design principles for SAW-induced microfluidic mixers. The results provide crucial theoretical guidance for device optimization where rapid homogenization is desired over stable stratification. Full article
Show Figures

Figure 1

27 pages, 7899 KB  
Article
Microfluidic Fabrication of TiO2–Hydrogel Photocatalytic Composites for Water Treatment
by Sergio J. Peñas-Núñez, Diego Lecumberri, Adrián Durán and Francisco J. Peñas
Crystals 2026, 16(3), 175; https://doi.org/10.3390/cryst16030175 - 5 Mar 2026
Viewed by 254
Abstract
Water purification and treatment methods are becoming increasingly complex due to the use of new additives, solvents, pesticides, dyes, and other emerging pollutants in industry, agriculture, and households. Consequently, the search for new water treatment techniques and materials that can help reduce this [...] Read more.
Water purification and treatment methods are becoming increasingly complex due to the use of new additives, solvents, pesticides, dyes, and other emerging pollutants in industry, agriculture, and households. Consequently, the search for new water treatment techniques and materials that can help reduce this environmental impact has become a major focus in the field of green chemistry. In this work, the photocatalytic degradation capacity of composites containing TiO2 nanoparticles (TNPs) for the removal of organic pollutants in water was studied. The TNPs were immobilized in bio-based hydrogel microparticles, which were prepared using microfluidic techniques. The composition of the dispersed phase was optimized with a lab-on-a-chip device, resulting in composite microparticles with a narrow size distribution. UV–visible spectroscopy results indicated that increasing the concentration of TNPs in the hydrogel microparticles enhanced the photodegradation performance of the new composite. Remarkably, it was able to efficiently degrade nearly 90% of reference dyes after four adsorption–desorption cycles. Full article
(This article belongs to the Special Issue Exploring New Materials for the Transition to Sustainable Energy)
Show Figures

Figure 1

16 pages, 396 KB  
Review
Security Threats and AI-Based Detection Techniques in IoT Chips
by Hiba El Balbali and Anas Abou El Kalam
Chips 2026, 5(1), 9; https://doi.org/10.3390/chips5010009 - 4 Mar 2026
Viewed by 343
Abstract
The rapid expansion of the Internet of Things (IoT) has opened resource-limited devices to novel physical threats, such as Side-Channel Attacks (SCAs) and Hardware Trojans (HTs). Traditional security mechanisms are often not capable of standing against such hardware-based attacks, specifically on low-power System-on-Chip [...] Read more.
The rapid expansion of the Internet of Things (IoT) has opened resource-limited devices to novel physical threats, such as Side-Channel Attacks (SCAs) and Hardware Trojans (HTs). Traditional security mechanisms are often not capable of standing against such hardware-based attacks, specifically on low-power System-on-Chip (SoC) where static defenses can incur 2× to 3× overhead in silicon area and power. Herein, the gap between hardware security and embedded AI is compositionally formulated for discussion. We present a comprehensive survey of the current hardware threat landscape and analyze the emergence of “Secure-by-Design” paradigms, specifically focusing on the integration of Edge AI and TinyML as active, on-chip intrusion detection mechanisms. This review presents a critical analysis of trade-offs for running lightweight ML models on hardware by comparing state-of-the-art approaches. Our analysis highlights that optimized architectures, such as Mamba-Enhanced Convolutional Neural Networks (CNNs) and Gated Recurrent Unit (GRU), can achieve detection accuracies exceeding 99% against SCA and >92% against stealthy Hardware Trojans, while offering up to 75% lower power consumption compared to standard deep learning baselines. Finally, open challenges such as adversarial attacks on defense models are briefly discussed, and the focus is put on future directions toward constructing secure chips based on robust, AI-driven technology. Full article
(This article belongs to the Special Issue Emerging Issues in Hardware and IC System Security)
Show Figures

Figure 1

17 pages, 5553 KB  
Article
Silicon Photonic On-Chip Spectrometer Based on Cascaded Mach–Zehnder Interferometer
by Yating Cui, Ye Yuan, Zan Zhang and Beiju Huang
Sensors 2026, 26(5), 1470; https://doi.org/10.3390/s26051470 - 26 Feb 2026
Viewed by 324
Abstract
Spectrometers are essential tools for revealing the interaction between light and matter and analyzing the composition and state of materials, widely employed in scientific research, industrial inspection, and biomedicine applications. With the continuous expansion of application scenarios, higher demands are placed on the [...] Read more.
Spectrometers are essential tools for revealing the interaction between light and matter and analyzing the composition and state of materials, widely employed in scientific research, industrial inspection, and biomedicine applications. With the continuous expansion of application scenarios, higher demands are placed on the miniaturization, integration, and portability of spectrometers. This paper proposes and implements a reconfigurable silicon photonic on-chip spectrometer based on cascaded multi-stage Mach–Zehnder interferometers (MZIs). This structure achieves efficient sampling of the input spectrum by applying adjustable phase shifts to each MZI stage to construct different spectral responses. Combined with a convex optimization algorithm incorporating differential operators, the unknown input signals are decomposed into sparse and smooth components, achieving high-accuracy reconstruction. Experimental results show that the proposed five-stage MZI design with a total of 216 sampling channels achieves a spectral reconstruction resolution of 5 pm over the wavelength range from 1500 nm to 1600 nm. Moreover, the spectrometer exhibits consistently low reconstruction errors for broadband spectra, sparse spectra, and their hybrid spectral profiles. This research demonstrates excellent comprehensive performances in device structure design, phase modulation strategy, and reconstruction algorithm, providing an effective solution for realizing low-power, small-footprint, and high-precision on-chip spectral analysis. Full article
(This article belongs to the Special Issue Recent Advances in Silicon Photonic Sensors)
Show Figures

Figure 1

19 pages, 4360 KB  
Article
Fast and Accurate Source Reconstruction for TSV-Based Chips via Contribution-Driven Dipole Pruning
by Hao Cheng, Weimin Wang, Yongle Wu and Keyan Li
Electronics 2026, 15(4), 890; https://doi.org/10.3390/electronics15040890 - 21 Feb 2026
Viewed by 302
Abstract
Electromagnetic compatibility (EMC) diagnostics for high-density through-silicon via (TSV)-based chips face significant challenges due to complex three-dimensional electromagnetic coupling and inefficient source reconstruction workflows. This paper proposes a universal contribution-driven dipole preprocessing technique tailored for dipole array-based source reconstruction methods, addressing the critical [...] Read more.
Electromagnetic compatibility (EMC) diagnostics for high-density through-silicon via (TSV)-based chips face significant challenges due to complex three-dimensional electromagnetic coupling and inefficient source reconstruction workflows. This paper proposes a universal contribution-driven dipole preprocessing technique tailored for dipole array-based source reconstruction methods, addressing the critical efficiency-accuracy trade-off inherent in traditional approaches. The core innovation is an influence factor-based evaluation-elimination mechanism that extracts effective dipole components aligned with the structural characteristics of TSV-based chips and multilayer printed circuit boards, while eliminating redundant dipoles independently of the downstream source reconstruction algorithm. Validation on a multilayer PCB (1 GHz) and a TSV-based chip (4 GHz) demonstrates that the technique maintains high reconstruction accuracy, with error increase limited to ≤0.2% for the simulated PCB and ≤0.05% for the physically measured TSV-based chip. Computational time is reduced by 28–61% for the PCB and 20–28% for the TSV chip compared to traditional source reconstruction without preprocessing. For TSV-based chips exhibiting complex electromagnetic behavior, the technique delivers consistent performance across different dipole configurations, providing a fast, robust, and universal EMC diagnostic tool for high-density electronic devices. Full article
(This article belongs to the Section Microelectronics)
Show Figures

Figure 1

22 pages, 4421 KB  
Article
Integrated Microfluidic Chip Enabling Preparation and Immobilization of Cell-Laden Microspheres, and Microsphere-Based Cell Culture and Analysis
by Qiongyao Mou, Peiyi Zhang, Daijing Li, Qiong Wang and Jun Yang
Biosensors 2026, 16(2), 126; https://doi.org/10.3390/bios16020126 - 19 Feb 2026
Viewed by 388
Abstract
Microfluidics-based preparation methods for cell-laden hydrogel microspheres are well-suited for large-scale comparative analysis of single or few cells. However, in existing studies, the preparation of cell-laden hydrogel microspheres and the cell culture process are typically separated, requiring the fabricated microspheres to be eluted [...] Read more.
Microfluidics-based preparation methods for cell-laden hydrogel microspheres are well-suited for large-scale comparative analysis of single or few cells. However, in existing studies, the preparation of cell-laden hydrogel microspheres and the cell culture process are typically separated, requiring the fabricated microspheres to be eluted and transferred from the preparation device to cell culture dishes or plates for cultivation. This transfer process can easily compromise sterility, while conventional cell culture methods consume more reagents and cause microsphere stacking, hindering single-cell observation and analysis. To address these issues, this paper presents an integrated microfluidic chip that sequentially enables droplet generation with cell encapsulation, gel droplet solidification, hydrogel microsphere trapping, and microsphere-based cell culture and analysis, facilitating the cultivation and observation of single or small numbers of cells. Integrating cell-laden microsphere preparation and 3D cell culture within a sealed chip structure reduces contamination risks associated with cell transfer, enables automation of multiple cell analysis workflows, and minimizes reagent and sample consumption. Using polydimethylsiloxane (PDMS) with good gas permeability and processability as the chip material, biocompatible fluorinated oil was selected as the oil phase for microsphere preparation. A mild sodium alginate-calcium ion gelation system was employed, where calcium ions were released under acidic conditions after droplet generation to trigger solidification, yielding uniform hydrogel microspheres. Under optimized conditions, the single-cell encapsulation efficiency for test samples of human myeloid leukemia cells (K562) was 33.8% ± 1.8%, with a size uniformity coefficient of variation (CV) reaching 3.85%. Cells encapsulated within hydrogel microspheres were cultured in 286 on-chip independent cell culture chambers, achieving >95% viability after 24 h. Full article
Show Figures

Figure 1

11 pages, 1724 KB  
Article
On-Chip Optical Signal Enhancement in Micro-Ring Resonators Using a NaYF4:Er3+-Doped Polymer Nanocomposite
by Zheng Wang, Changlong Li, Guanlin Li, Hengyuan Han, Shaozhi Gu, Fei Wang and Daming Zhang
Photonics 2026, 13(2), 200; https://doi.org/10.3390/photonics13020200 - 18 Feb 2026
Viewed by 301
Abstract
This study develops a micro-ring resonator that provides optical amplification based on NaYF4:5%Er3+ nanoparticles doped with SU-8. By utilizing the frequency selection properties of the micro-ring resonator, a filter with amplification capabilities is successfully developed. The device features a quality [...] Read more.
This study develops a micro-ring resonator that provides optical amplification based on NaYF4:5%Er3+ nanoparticles doped with SU-8. By utilizing the frequency selection properties of the micro-ring resonator, a filter with amplification capabilities is successfully developed. The device features a quality factor of 5.72 × 104 and a free spectral range of 0.081 nm. Operating at an on-chip power of 108 mW, the micro-ring resonator amplifier exhibits a relative gain of 8.92 dB within a size of 2.3 cm × 1.5 cm. To the best of our knowledge, the amplification of optical signals in micro-ring resonators using erbium-doped polymers has not been reported. This technology highlights the significant potential of using erbium-doped materials to fabricate various integrated devices for on-chip optical amplification. Full article
(This article belongs to the Section Optoelectronics and Optical Materials)
Show Figures

Figure 1

26 pages, 6082 KB  
Review
Polymer Micro-Milling for Cost-Effective Microfluidic and Biosensor Chip Fabrication: A Review
by Arjun Thakur, Shreeji Pandit, Abhishek Singh, Ashish Mathur and Krishna Kant
Micro 2026, 6(1), 16; https://doi.org/10.3390/micro6010016 - 15 Feb 2026
Viewed by 743
Abstract
Microfluidics provides precise control of microscale fluid transport and has become central to biomedical, pharmaceutical, and industrial technologies. However, conventional fabrication methods such as photolithography and soft lithography require cleanroom facilities, use costly materials, and offer limited capability for constructing complex or multi-material [...] Read more.
Microfluidics provides precise control of microscale fluid transport and has become central to biomedical, pharmaceutical, and industrial technologies. However, conventional fabrication methods such as photolithography and soft lithography require cleanroom facilities, use costly materials, and offer limited capability for constructing complex or multi-material architectures. This review highlights emerging manufacturing strategies, focusing on polymer-based micro-milling as an accessible and cost-effective alternative for microfluidic device production. Advances in micro-milling now enable the fabrication of microchannels and functional features with improved dimensional accuracy and surface quality, while additive manufacturing offers complementary rapid prototyping and design flexibility. Micro-milling is particularly promising for rapid prototyping of polymeric biosensor chips designed for point-of-care diagnostics. The technique supports diverse materials and eliminates reliance on cleanroom processing. Critical parameters, including tool geometry, spindle speed, and feeding rate, strongly influence fidelity and surface roughness, which directly affect biosensor sensitivity. Despite its advantages, challenges such as tool wear, burr formation, and limits on minimum feature size continue to hinder reproducibility. Recent progress in toolpath optimization, hybrid additive–subtractive methods, and real-time process monitoring shows the potential to overcome these barriers. Overall, micro-milling offers a scalable and economical route for fabricating accessible microfluidic and biosensing platforms, with future work needed to standardize processes and improve integration with surface functionalization methods. Full article
(This article belongs to the Section Microscale Engineering)
Show Figures

Graphical abstract

19 pages, 7556 KB  
Article
Laser-Induced Graphene Dual Optical/Electrochemical Platform for In-Chip Sensing Applications
by Bengisu D. Gok, Nuno F. Santos, Sónia O. Pereira, Ana S. Ferreira, José C. Germino, Ana R. Soares, António J. S. Fernandes, Florinda M. Costa and Luis Baptista-Pires
Sensors 2026, 26(4), 1128; https://doi.org/10.3390/s26041128 - 10 Feb 2026
Viewed by 338
Abstract
The present study addresses the development and characterization of an in-chip laser-induced graphene (LIG)-based sensor that combines optical and electrochemical transduction techniques as a proof of concept for the advancement of novel point-of-care (POC) devices. In recent years, LIG has emerged as a [...] Read more.
The present study addresses the development and characterization of an in-chip laser-induced graphene (LIG)-based sensor that combines optical and electrochemical transduction techniques as a proof of concept for the advancement of novel point-of-care (POC) devices. In recent years, LIG has emerged as a suitable material for next-generation diagnostic devices due to the increasing need for effective and easily accessible biosensing platforms. In this context, the presented sensors were fabricated and tested with an increasing number of laser exposures to understand how the resulting morphology, degree of graphitization, defects, and electrical resistance of LIG electrodes affect the electrochemical and optical sensing performance. To validate the dual sensor, ferrocyanide ([Fe(CN)6]4−) was used as a redox probe and [(4-Dicyanomethylene)-2-methyl-6-(4-dimethylaminostyryl)-4H-pyran] (DCM) was used as model dye to explore the electrochemical and optical sensing capabilities. Finally, we showcase the sensor’s ability to perform simultaneous optical and electrochemical on-time detection and analysis of the ferrocyanide electro-oxidation process, underscoring its potential to be used as a dual optical/electrochemical POC device. Full article
Show Figures

Figure 1

Back to TopTop