Sign in to use this feature.

Years

Between: -

Subjects

remove_circle_outline
remove_circle_outline
remove_circle_outline
remove_circle_outline
remove_circle_outline
remove_circle_outline
remove_circle_outline
remove_circle_outline
remove_circle_outline

Journals

remove_circle_outline
remove_circle_outline
remove_circle_outline
remove_circle_outline
remove_circle_outline
remove_circle_outline
remove_circle_outline
remove_circle_outline
remove_circle_outline
remove_circle_outline
remove_circle_outline
remove_circle_outline
remove_circle_outline
remove_circle_outline
remove_circle_outline

Article Types

Countries / Regions

remove_circle_outline
remove_circle_outline
remove_circle_outline
remove_circle_outline

Search Results (1,296)

Search Parameters:
Keywords = chemical dissolution

Order results
Result details
Results per page
Select all
Export citation of selected articles as:
15 pages, 4576 KB  
Article
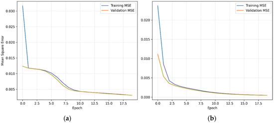
Impact of Hyperparameters on Surrogate Model Performance: Calcite Dissolution Under Geological Disposal Conditions
by Gintautas Poškas, Asta Narkūnienė and Ernestas Narkūnas
Appl. Sci. 2026, 16(9), 4252; https://doi.org/10.3390/app16094252 (registering DOI) - 27 Apr 2026
Abstract
Efficient simulation of geochemical reactions is critical for predicting the long-term chemical evolution of geological disposal repositories for radioactive waste. In large-scale reactive transport simulations, geochemical equilibrium calculations often represent a major computational bottleneck because they must be repeatedly solved for many spatial [...] Read more.
Efficient simulation of geochemical reactions is critical for predicting the long-term chemical evolution of geological disposal repositories for radioactive waste. In large-scale reactive transport simulations, geochemical equilibrium calculations often represent a major computational bottleneck because they must be repeatedly solved for many spatial cells and time steps. This study investigates the development of machine-learning-based surrogate models that are designed to approximate geochemical equilibrium calculations and thereby significantly accelerate reactive transport simulations while reducing computational resource requirements. Calcite dissolution induced by magnesium-rich fluid inflow is used as a representative test case to evaluate the feasibility and performance of such surrogate models. Training and validation datasets were generated using the IPhreeqc C++ API, enabling the automated execution of a large number of PHREEQC equilibrium simulations across a chemically relevant parameter space. The resulting dataset captures nonlinear relationships between initial aqueous composition and outputs of interest after chemical equilibration, including aqueous species concentrations and amounts of minerals. Fully connected feed-forward neural networks were designed and implemented in TensorFlow to reproduce PHREEQC results, and the influence of key hyperparameters—such as network depth, width, activation functions, learning rate, and batch size—was systematically investigated. The results demonstrate that surrogate model accuracy and training stability are sensitive to hyperparameter selection, even for a relatively simple chemical system. Properly configured neural network architectures reproduce equilibrium geochemical responses with high accuracy and provide a computationally efficient alternative to repeated PHREEQC calculations, highlighting their potential for accelerating large-scale reactive transport modelling workflows. Full article
Show Figures

Figure 1

19 pages, 27130 KB  
Article
Chemical Characteristics and Suitability Assessment of Surface Water in the Area Surrounding the Nansi Lake
by Mei Luo, Yonghui Meng, Xiaowei Wang, Yuyang Xu, Bingshun Wang, Wenjing Liu, Zhuang Li, Kexing Zhou, Linghui Zhang, Menghan Tan and Kexin Lou
Water 2026, 18(9), 1032; https://doi.org/10.3390/w18091032 - 26 Apr 2026
Abstract
Surface water quality, serving as a key link between domestic water use and agricultural production, impacts both the drinking water safety of local residents and the sustainable use of irrigated soil. To better protect water resources and enhance their sustainable value, this study [...] Read more.
Surface water quality, serving as a key link between domestic water use and agricultural production, impacts both the drinking water safety of local residents and the sustainable use of irrigated soil. To better protect water resources and enhance their sustainable value, this study collected 50 water samples from the areas surrounding Nansi Lake. Using the Piper trilinear diagram, Gibbs model, and ion ratio analysis, the main hydrochemical types were identified. Based on this, the entropy-weighted water quality index (EWQI) was used to evaluate the water’s suitability for drinking, while irrigation water quality indicators were applied to assess its suitability for irrigation. The results indicate that during both dry and rainy seasons, Na+ and SO42− dominate the water, with average total dissolved solids (TDS) of 1279 mg/L and 1163 mg/L, respectively, indicating moderately elevated salinity. The ion concentrations follow the order: SO42− > HCO3 > Cl > NO3 > F and Na+ > Ca2+ > Mg2+ > K+. From a hydrochemical perspective, mixed-type and Cl-Na-type waters prevailed in both seasons. The chemical composition of surface water in the study area is largely governed by rock weathering, with ions primarily originating from the dissolution of silicate and evaporite minerals. Furthermore, cation exchange processes play a significant role in shaping the evolution of the water chemistry. The water quality evaluation indicates that surface water in the study area is generally Class II, representing good water quality. However, Class IV and Class V water exist in some areas, where the primary exceedance parameter is SO42−, which is a key factor influencing water quality. Irrigation suitability is generally good. Systematic investigation of surface water hydrochemistry and quality is of great practical significance for ensuring safe drinking and irrigation water and promoting sustainable socio-economic development. Full article
(This article belongs to the Topic Human Impact on Groundwater Environment, 2nd Edition)
Show Figures

Figure 1

21 pages, 1890 KB  
Article
Sodium Stearate-Assisted Optimization of a Cannabidiol Dry Powder Inhaler for Enhanced Dissolution and Aerosol Performance
by Jin-Hyuk Jeong, Jae Seok Jeong, Hyeon-Seo Moon, Jae Woon Son, Kyung Hyun Min, Dong-Wook Kim, Chang-Soo Han, Wonwoong Lee, Chun-Woong Park and Ji-Hyun Kang
Pharmaceutics 2026, 18(4), 512; https://doi.org/10.3390/pharmaceutics18040512 - 21 Apr 2026
Viewed by 486
Abstract
Background/Objectives: Cannabidiol (CBD) has emerged as a potential therapeutic agent for respiratory disorders, including asthma and chronic obstructive pulmonary disease. However, its clinical translation via pulmonary delivery is limited by poor aqueous solubility, chemical instability, and low local bioavailability. This study aimed [...] Read more.
Background/Objectives: Cannabidiol (CBD) has emerged as a potential therapeutic agent for respiratory disorders, including asthma and chronic obstructive pulmonary disease. However, its clinical translation via pulmonary delivery is limited by poor aqueous solubility, chemical instability, and low local bioavailability. This study aimed to develop and optimize a sodium stearate (NaSt)-based spray-dried dry powder inhaler (DPI) formulation to enhance the aerosol performance, dissolution, and storage stability of CBD. Methods: CBD microparticles were prepared by spray drying using NaSt as the primary excipient. The feed preparation method, spray-drying parameters, and CBD:NaSt ratios were systematically optimized. The resulting powders were evaluated for aerodynamic properties using cascade impaction, dissolution behavior in simulated lung fluid, solid-state characteristics, and accelerated stability under stress conditions. Results: The optimized formulation, SD-4, a spray-dried CBD:NaSt formulation prepared at a 20:80 weight ratio using Process B, demonstrated excellent aerosolization performance, with a fine particle fraction (FPF) exceeding 50% and a mass median aerodynamic diameter (MMAD) of 5.08 ± 0.1 μm. Dissolution testing revealed more than a three-fold increase in drug release compared with raw CBD, attributed to amorphous dispersion within the NaSt matrix and surfactant-induced micellization. Accelerated stability studies confirmed improved retention of the amorphous state and drug content, while antioxidant incorporation further reduced oxidative degradation. Conclusions: The NaSt-based spray-dried formulation significantly improved aerosol deposition efficiency, dissolution rate, and physicochemical stability of CBD. This formulation strategy may provide a promising platform for pulmonary delivery of poorly water-soluble compounds. Full article
(This article belongs to the Special Issue Microparticle Platforms for Respiratory Delivery)
Show Figures

Graphical abstract

27 pages, 6310 KB  
Article
Hydrochemical Characterization and Origins of Groundwater in the Semi-Arid Batna Belezma Region Using PCA and Supervised Machine Learning
by Zineb Mansouri, Abdeldjalil Belkendil, Haythem Dinar, Hamdi Bendif, Anis Ahmad Chaudhary, Ouafa Tobbi and Lotfi Mouni
Water 2026, 18(8), 969; https://doi.org/10.3390/w18080969 - 19 Apr 2026
Viewed by 309
Abstract
In the semi-arid Batna Belezma region of northeastern Algeria, groundwater is a vital resource for agriculture and drinking water. However, the climate leads to intense evaporation, which affects its quality. This study aims to identify the key hydrogeochemical processes that control groundwater composition [...] Read more.
In the semi-arid Batna Belezma region of northeastern Algeria, groundwater is a vital resource for agriculture and drinking water. However, the climate leads to intense evaporation, which affects its quality. This study aims to identify the key hydrogeochemical processes that control groundwater composition in the Merouana Basin and to evaluate the predictive performance of machine learning (ML) models. A total of 30 groundwater samples were analyzed using multivariate statistical techniques, including Principal Component Analysis (PCA), and were modeled using PHREEQC to assess mineral saturation states. Additionally, ML-based regression models, including K-Nearest Neighbors (KNN), Support Vector Machine (SVM), Random Forest (RF), and Extreme Gradient Boosting (XGB),were employed to predict groundwater chemistry. The results indicate that the dominant ion distribution follows the following trend: Ca2+ > Mg2+ > Na+ and HCO3 > SO42− > Cl. Alkaline earth metals (Ca2+ and Mg2+) constitute the major fraction of total dissolved cations, reflecting carbonate equilibrium and dolomite dissolution processes. In contrast, Na+ represents a smaller proportion of the cationic load; however, its hydro-agronomic significance is substantial due to its influence on sodium adsorption ratio (SAR) and soil permeability. The PHREEQC modeling showed that calcite and dolomite precipitation promote evaporite dissolution, while most samples remain undersaturated with respect to gypsum. The PCA results reveal high positive loadings of Mg2+, Cl, SO42−, HCO3, and EC, suggesting that ion exchange and seawater mixing are the primary controlling processes, with carbonate weathering playing a secondary role. To enhance predictive assessment, several supervised machine learning models were tested. Among them, the Random Forest model achieved the highest predictive performance (R2 = 0.96) with low RMSE and MAE values, confirming its robustness and reliability. The results indicate that silicate weathering and mineral dissolution are the primary mechanisms governing groundwater chemistry. The integration of multivariate statistics and machine learning provides a comprehensive understanding of groundwater evolution and offers a reliable predictive framework for sustainable water resource management in semi-arid environments. Geochemical model performance showed a high global accuracy (GPI = 0.91), confirming a strong agreement between observed and simulated chemical data. However, the HH value (0.81) indicates some discrepancies, particularly for specific ions or extreme conditions. Full article
Show Figures

Figure 1

19 pages, 7794 KB  
Article
Effect of Solution Temperature on the Microstructure and Mechanical Properties of Fe-Ni-Cr-Mo-Al-Ti High-Strength Stainless Steel
by Mutian Niu, Jiahao Chen, Zhenbao Liu, Jiarui Hu, Zhiyong Yang, Yonghua Duan and Xiaohui Wang
Metals 2026, 16(4), 441; https://doi.org/10.3390/met16040441 - 18 Apr 2026
Viewed by 255
Abstract
High-strength stainless steels are essential materials for critical load-bearing aerospace components, and solution treatment serves as a core process governing their strength–toughness balance. However, in novel multi-element alloy systems, the complex dissolution behavior of precipitates and its underlying mechanisms affecting matrix phase transformations [...] Read more.
High-strength stainless steels are essential materials for critical load-bearing aerospace components, and solution treatment serves as a core process governing their strength–toughness balance. However, in novel multi-element alloy systems, the complex dissolution behavior of precipitates and its underlying mechanisms affecting matrix phase transformations require further investigation. This study systematically explores the thermodynamic evolution and microstructural response of a novel Fe-Ni-Cr-Mo-Al-Ti ultra-high-strength stainless steel during solution treatment. The research highlights how solution temperature drives Laves phase dissolution, controls prior austenite grain growth, redistributes local chemical elements, and dictates retained austenite stability. By establishing the relationship between microstructural features and macroscopic properties, this study aims to provide crucial theoretical guidance for optimizing heat treatment protocols to achieve superior comprehensive mechanical properties in advanced high-strength stainless steels. Full article
(This article belongs to the Special Issue Recent Advances in High-Performance Steel (2nd Edition))
Show Figures

Graphical abstract

22 pages, 8899 KB  
Perspective
Potential Impact of Fires on Enhanced Rock Weathering: Learning from the Effects of Fires on Soil Properties and Nutrients
by Karam Abu El Haija and Rafael M. Santos
Fire 2026, 9(4), 173; https://doi.org/10.3390/fire9040173 - 17 Apr 2026
Viewed by 602
Abstract
Enhanced rock weathering (ERW) is a promising carbon dioxide removal strategy that accelerates silicate mineral dissolution to generate alkalinity and sequester carbon in soils and aquatic systems. The frequency and severity of fires are increasing globally, and fire-prone regions such as agricultural lands, [...] Read more.
Enhanced rock weathering (ERW) is a promising carbon dioxide removal strategy that accelerates silicate mineral dissolution to generate alkalinity and sequester carbon in soils and aquatic systems. The frequency and severity of fires are increasing globally, and fire-prone regions such as agricultural lands, forests, and grasslands overlap substantially with potential ERW deployment areas. However, fire–ERW interactions remain unexamined. This perspective synthesizes the literature on fire effects on soil properties to develop a conceptual framework for predicting fire impacts on ERW performance. An assessment of the available literature reveals that the effects of fire on soil pH and inorganic carbon are nonlinear with respect to severity, complicating both dissolution kinetics and carbon verification. Base cation pulses from ash are temporary and subject to rapid export. Fire-induced soil water repellency and erosion may dominate chemical effects in controlling ERW material fate, particularly during the first year post-fire. Pyrogenic carbon and thermally altered minerals create novel soil–rock interactions with unknown consequences for weathering rates. The authors concluded that fire history must be incorporated as a covariate in ERW deployment planning and monitoring, reporting, and verification design. Full article
Show Figures

Figure 1

22 pages, 4968 KB  
Review
Materials for Acid Activation: New Principles and Recent Advances
by Larissa Vieira Rocha, Madeleing Taborda Barraza, Carlos Maurício Fontes Vieira, Afonso Rangel Garcez de Azevedo and Markssuel Teixeira Marvila
Minerals 2026, 16(4), 404; https://doi.org/10.3390/min16040404 - 15 Apr 2026
Viewed by 370
Abstract
Population growth and rapid urbanization have significantly increased construction activities and the demand for building materials. It is estimated that approximately 39% of global CO2 emissions are associated with the construction sector, with nearly 8% directly attributed to Portland cement production. In [...] Read more.
Population growth and rapid urbanization have significantly increased construction activities and the demand for building materials. It is estimated that approximately 39% of global CO2 emissions are associated with the construction sector, with nearly 8% directly attributed to Portland cement production. In addition to greenhouse gas emissions, the cement industry is responsible for substantial environmental impacts, including natural resource depletion, soil degradation, and air and water pollution. In this context, the development of alternative and more sustainable binder systems has become a global research priority. Geopolymers have emerged as promising materials produced through either alkaline or acid activation routes, offering advantages such as a reduced carbon footprint, high durability, and rapid strength development. Among these systems, acid-activated materials, particularly phosphate-based geopolymers, differ fundamentally from conventional alkali-activated binders in terms of reaction chemistry and binding phases. The formation of aluminum phosphate (AlPO4) networks plays a key role in governing the mechanical performance and microstructural stability of these materials. This mini-review provides a critical overview of the fundamental principles of acid activation applied to alternative cementitious materials, with emphasis on dissolution mechanisms, polycondensation reactions, and the nature of binding phases in phosphate-based systems. Unlike previous reviews, this study integrates recent findings on reaction mechanisms with a comparative analysis between acid and alkaline activation routes, highlighting underexplored aspects of precursor reactivity and binder formation. The main types of acids used as activators, the influence of precursor chemical composition, and the conceptual differences between acid and alkaline activation are discussed. In addition, recent advances, current challenges, and future perspectives of acid activation are addressed, highlighting its potential as a viable low-carbon binder route for sustainable construction materials, with strong prospects for partially replacing Portland cement, particularly in high-performance applications requiring enhanced chemical resistance and thermal stability. Full article
Show Figures

Figure 1

31 pages, 1830 KB  
Review
Leaching of Platinum Group Metals from Spent Automotive Catalytic Converters Using Deep Eutectic Solvents: A Review
by Stylianos Spathariotis, Eirini Zagoraiou, Anastasia-Maria Moschovi, Ekaterini Polyzou and Iakovos Yakoumis
Purification 2026, 2(2), 5; https://doi.org/10.3390/purification2020005 - 14 Apr 2026
Viewed by 302
Abstract
Platinum group metals (PGMs), platinum (Pt), palladium (Pd) and rhodium (Rh), are critical for automotive emission control, chemical manufacturing and emerging energy technologies, yet their supply is limited and geographically concentrated. Their designation as critical raw materials (CRMs) in the EU has intensified [...] Read more.
Platinum group metals (PGMs), platinum (Pt), palladium (Pd) and rhodium (Rh), are critical for automotive emission control, chemical manufacturing and emerging energy technologies, yet their supply is limited and geographically concentrated. Their designation as critical raw materials (CRMs) in the EU has intensified recycling efforts, especially from spent automotive catalysts. Conventional pyrometallurgical and acid-based hydrometallurgical routes achieve high recovery efficiencies but rely on aggressive reagents and energy-intensive processing. Deep eutectic solvents (DESs) have emerged as greener leaching media capable of dissolving PGMs under milder and tunable conditions. This review outlines the conventional hydrometallurgical framework, summarizes DES fundamentals relevant to metals dissolution, and critically assesses recent advances in DES-based leaching of PGMs from spent catalysts. The influence of solvent composition, oxidants and complexing ligands on PGMs speciation and recovery is discussed, together with emerging reporting guidelines and research priorities. Overall, DES-based leaching offers a promising and potentially safer route for autocatalyst recycling but the technology remains at an early stage of development, requiring further mechanistic insight and sustainability evaluation. Full article
Show Figures

Figure 1

24 pages, 2794 KB  
Article
Heat Treatment Effects on Tribological and Electrochemical Behavior of Laser Cladding Ni25 Coating
by Xianglin Wu, Bohao Chen and Jingquan Wu
Coatings 2026, 16(4), 467; https://doi.org/10.3390/coatings16040467 - 14 Apr 2026
Viewed by 318
Abstract
Under the conditions of laser power of 1500 W, scanning speed of 5 mm/s, spot diameter of 3.5 mm, and powder feeding rate of 10 r/min, this study systematically investigated the influence of different tempering temperatures (200 °C and 600 °C) on the [...] Read more.
Under the conditions of laser power of 1500 W, scanning speed of 5 mm/s, spot diameter of 3.5 mm, and powder feeding rate of 10 r/min, this study systematically investigated the influence of different tempering temperatures (200 °C and 600 °C) on the microstructure, friction and wear properties, and corrosion resistance of laser cladding Ni25 coatings, as well as the underlying mechanisms. The phase composition, microstructure, chemical composition, wear resistance, and corrosion resistance of the coatings were characterized and analyzed using X-ray diffraction (XRD), scanning electron microscopy (SEM), energy dispersive spectroscopy (EDS), pin-on-disk friction and wear tests, and electrochemical workstations. The results showed that the as-clad coating was composed of γ-Ni supersaturated solid solution and various metastable borides/carbides (such as Cr3B4), presenting fine-grained and non-equilibrium features. Tempering at 200 °C mainly achieved stress relaxation, enhancing and shifting the diffraction peaks to the left without changing the phase composition, while tempering at 600 °C drove significant diffusion-type phase transformation, leading to the decomposition of metastable Cr3B4 and the precipitation of stable phases such as Ni2Si, accompanied by grain growth and microstructure coarsening. Friction tests indicated that the coating tempered at 600 °C exhibited the lowest average friction coefficient (0.679) and wear volume (0.0582 mm3) due to stable microstructure and hard phase strengthening, demonstrating the best wear resistance. However, electrochemical tests revealed a “trade-off” effect: the fine-grained microstructure of the as-clad coating, with its uniform composition, had the lowest corrosion current density (8.10 × 10−5 A/cm2) in 3.5% NaCl solution, showing the best resistance to uniform corrosion, while tempering, especially at 600 °C, caused grain growth, coarsening of the second phase, and micro-galvanic effects, slightly reducing the anodic dissolution resistance and increasing the corrosion current. This study clarified that heat treatment can significantly enhance the mechanical and tribological properties of Ni25 coatings by regulating their transformation from metastable to stable states, but at the potential cost of some corrosion resistance, providing a theoretical basis for optimizing post-treatment processes for different service conditions (wear resistance or corrosion resistance). Full article
Show Figures

Figure 1

20 pages, 6493 KB  
Article
Tribocorrosion Behavior of Mg Alloys on Sliding Friction in Hank’s Balanced Salt Solution
by Eri Miura, Chihiro Shiraishi and Sachiko Hiromoto
Materials 2026, 19(8), 1513; https://doi.org/10.3390/ma19081513 - 9 Apr 2026
Viewed by 305
Abstract
The tribocorrosion behavior of AZ31 and WE43 was investigated during sliding wear tests in Hank’s balanced salt solution (HBSS) and pure water. While wear volume increased monotonically with load in air and water, HBSS exhibited a distinct non-monotonic trend; the maximum material loss [...] Read more.
The tribocorrosion behavior of AZ31 and WE43 was investigated during sliding wear tests in Hank’s balanced salt solution (HBSS) and pure water. While wear volume increased monotonically with load in air and water, HBSS exhibited a distinct non-monotonic trend; the maximum material loss occurred at the minimum load (0.98 N) and decreased at 2.94 N before rising again. This indicates that at low loads, degradation is primarily driven by accelerated chemical dissolution (tribocorrosion) rather than by purely mechanical abrasion. The magnitude of wear followed the order [HBSS] > [air] > [water] in the low-load range (0.98–1.96 N), whereas it shifted to [air] > [HBSS] > [water] in the high-load range (2.94–5.88 N). A comparison of the wear rate of the alloys shows that the wear rate in HBSS differs from that in water, depending on the hardness of the substrate, similar to conditions in air. Notably, the specific wear rate decreased as test duration increased under low loads, further suggesting that corrosion-induced volume loss significantly outweighs mechanical wear in this regime. The static corrosion test revealed that volume loss during tribocorrosion was higher than that under static corrosion conditions. While the deposition of corrosion products affected net volume loss, chemical dissolution remained the primary driver of the observed wear trends at low loads. Electrochemical data from anodic polarization curves confirmed that the specimen tested under a 0.98 N load exhibited lower corrosion resistance. Mechanistically, it was suggested that Cl ions contributed to the overall increase in wear, while NaHCO3 specifically contributed to the increase in wear in the low-load range. Full article
(This article belongs to the Special Issue Surface Modifications and Coatings for Metallic Materials)
Show Figures

Figure 1

15 pages, 5047 KB  
Article
Oxidation Behavior of Direct Reduced Iron Powder During Ball-Milling Treatment
by Qiao Liu, Zhikai Liang, Cheng Zhang, Xinyu Fu, Lingyun Yi, Zhucheng Huang, Jiayuan Li and Jun Chen
Materials 2026, 19(7), 1369; https://doi.org/10.3390/ma19071369 - 30 Mar 2026
Viewed by 346
Abstract
High-quality direct reduced iron (DRI) powder is essential for applications in catalysis, adsorption, and electromagnetic materials. However, its tendency to reoxidize during processing presents a significant challenge. This study investigates the oxidation behavior of DRI powder during wet ball-milling treatment. Samples were characterized [...] Read more.
High-quality direct reduced iron (DRI) powder is essential for applications in catalysis, adsorption, and electromagnetic materials. However, its tendency to reoxidize during processing presents a significant challenge. This study investigates the oxidation behavior of DRI powder during wet ball-milling treatment. Samples were characterized using chemical phase dissolution, X-ray diffraction (XRD), scanning electron microscopy with energy-dispersive X-ray spectroscopy (SEM-EDS), and X-ray photoelectron spectroscopy (XPS) to assess both bulk and surface oxidation. The results reveal that significant oxidation occurs during the wet grinding and subsequent processing stages, with the relative oxidation degree (ROD) of the iron powder increasing sharply from 6.08% to 26.81% as the grinding time is extended from 20 to 40 min. SEM-EDS analysis indicates that oxidation is particularly pronounced in particles smaller than 10 μm. XRD confirms the gradual transformation of Fe0 to Fe3O4 with prolonged grinding, corroborating the chemical analysis. Furthermore, XPS analysis of the Fe 2p, Fe 3p, Fe 3s, and O 1s core levels reveals that the nanoscale surface is composed of Fe2O3, Fe3O4, Fe(OH)3, and FeOOH—a composition distinctly different from the bulk Fe/Fe3O4 phases. These findings underscore the critical roles of particle size and mechanical activation in driving DRI reoxidation during wet milling. Full article
(This article belongs to the Section Advanced Materials Characterization)
Show Figures

Figure 1

35 pages, 2568 KB  
Review
Waste Glass Powder as a Circular-Economy Precursor in Geopolymer Binders
by Sri Ganesh Kumar Mohan Kumar, John M. Kinuthia, Jonathan Oti and Blessing O. Adeleke
Materials 2026, 19(7), 1357; https://doi.org/10.3390/ma19071357 - 29 Mar 2026
Viewed by 515
Abstract
The transition toward low-carbon and resource-efficient construction materials has intensified interest in geopolymer binders incorporating industrial and post-consumer wastes. Waste glass powder (WGP), a silica-rich component of the global glass waste stream, has emerged as a promising circular-economy precursor in alkali-activated systems; however, [...] Read more.
The transition toward low-carbon and resource-efficient construction materials has intensified interest in geopolymer binders incorporating industrial and post-consumer wastes. Waste glass powder (WGP), a silica-rich component of the global glass waste stream, has emerged as a promising circular-economy precursor in alkali-activated systems; however, reported durability trends remain inconsistent and are often interpreted without mechanistic integration. This review synthesises current knowledge of WGP reactivity, gel chemistry, and long-term performance through an explicit reaction–transport–ageing (R–T–A) framework that links dissolution behaviour and phase assemblage development to pore connectivity, ion ingress, and time-dependent degradation. Under alkaline activation, the amorphous structure of WGP promotes silica release, modifying Si/Al ratios and governing the formation of N-A-S-H or hybrid N-A-S-H/C-(A)-S-H gels. These reaction products determine transport characteristics and ageing evolution, which collectively control chemical resistance, chloride ingress, alkali–silica reaction-type instability, and dimensional stability. Variability across studies is shown to arise from imbalances in particle fineness, replacement level, precursor chemistry, and activator design rather than intrinsic inconsistency in WGP behaviour. The R–T–A framework clarifies how reaction completeness, pore network architecture, and long-term phase stability interact to produce system-dependent durability outcomes. WGP demonstrates strong potential as a circular-economy precursor in alkali-activated binders; however, reliable structural application requires durability-informed mix design grounded in coupled reaction–transport–ageing mechanisms and supported by extended exposure testing under realistic service conditions. Full article
(This article belongs to the Special Issue Advanced Sustainable Cement-Based Materials)
Show Figures

Figure 1

21 pages, 5003 KB  
Article
Retarding Effect and Hydration Mechanism of Sodium Polyacrylate on Magnesium Potassium Phosphate Cement
by Yunpeng Cui, Runqing Liu, Yuanquan Yang, Bo Pang and Yihe Wang
Materials 2026, 19(7), 1349; https://doi.org/10.3390/ma19071349 - 28 Mar 2026
Viewed by 362
Abstract
Magnesium phosphate cement (MPC) is a type of rapid-hardening inorganic cementitious material, which has important application value in rapid road repair, solidification of hazardous and radioactive waste, and other fields. However, it suffers from excessively fast setting and hardening and a short working [...] Read more.
Magnesium phosphate cement (MPC) is a type of rapid-hardening inorganic cementitious material, which has important application value in rapid road repair, solidification of hazardous and radioactive waste, and other fields. However, it suffers from excessively fast setting and hardening and a short working time retention, which severely restrict its engineering application. Therefore, the development of high-efficiency set retarders is of great significance for optimizing MPC performance, enhancing its construction workability, and expanding its application scope. In this study, the effect of sodium polyacrylate (PAAS) on the setting and hardening of magnesium potassium phosphate cement (MKPC) was investigated by testing the setting time and fluidity at a low water-to-solid ratio (W/S = 0.18). Through pH and electrical conductivity measurements, combined with XRD, TG/DTG, and FTIR characterizations, we elucidated the retarding mechanism of PAAS on MKPC using a high water-to-solid ratio (W/S = 10). The results indicate that the setting time of MKPC is positively correlated with the PAAS dosage, whereas the fluidity and compressive strength exhibited a negative correlation with the PAAS dosage. Additionally, PAAS reduces the total heat release and the heat release rate of MKPC. The addition of PAAS increased the pH of the suspension, thereby reducing the solubility of MgO, but did not inhibit the dissolution of KH2PO4. The carboxylate groups in PAAS chemically reacted with Mg2+ on the surface of MgO to form magnesium carboxylate complexes (Mg-PAA), which remained as precipitates in the MKPC suspension system, thus reducing the amount of available Mg2+ participating in the hydration reaction. Furthermore, PAAS had no effect on the final precipitate composition at the end of hydration, which was composed of MgKPO4·6H2O and Mg3(PO4)2·22H2O in all cases. Full article
Show Figures

Figure 1

21 pages, 909 KB  
Review
Recent Research Advances in the Application of Deep Eutectic Solvents for the Chemical Processes of the Nuclear Fuel Cycle
by Zimo Wang, Liyang Zhu, Yan Zhang, Suliang Yang and Shengdong Zhang
Molecules 2026, 31(7), 1107; https://doi.org/10.3390/molecules31071107 - 27 Mar 2026
Viewed by 558
Abstract
As a new class of green functional liquids, deep eutectic solvents (DESs) have attracted increasing attention as alternatives to conventional solvents, such as mineral acids, organic solvents and ionic liquids (ILs), in nuclear chemistry. Owing to their low cost, easy preparation, structural tunability, [...] Read more.
As a new class of green functional liquids, deep eutectic solvents (DESs) have attracted increasing attention as alternatives to conventional solvents, such as mineral acids, organic solvents and ionic liquids (ILs), in nuclear chemistry. Owing to their low cost, easy preparation, structural tunability, and adjustable physicochemical properties, DESs provide unique solvation and coordination environments that enable various applications. This review summarizes recent research advances in the application of DESs for the chemical processes of the nuclear fuel cycle. Particular emphasis is focused on dissolution, extraction and separation, electrochemical deposition and redox processes, radionuclide capture, decontamination and detection. This review highlights the fundamental advantages and current limitations of DES-based systems and outlines future trends. Full article
Show Figures

Figure 1

21 pages, 5701 KB  
Article
Accelerated Ageing of Blast Furnace Cement-Dolomite Mortars: Phase Changes, Microstructural Evolution, and Mechanical Performance
by Elena Sutormina, Marjan Marinšek and Anton Meden
Materials 2026, 19(7), 1283; https://doi.org/10.3390/ma19071283 - 24 Mar 2026
Viewed by 268
Abstract
Blast furnace cement-dolomite mortars prepared from commercial cement (CEM-III/B) containing ~75% of slag and natural dolomite were aged under accelerated conditions at 60 °C in 1 M NaOH for 0–24 months. The hydration products and microstructure features of the mortars were studied using [...] Read more.
Blast furnace cement-dolomite mortars prepared from commercial cement (CEM-III/B) containing ~75% of slag and natural dolomite were aged under accelerated conditions at 60 °C in 1 M NaOH for 0–24 months. The hydration products and microstructure features of the mortars were studied using XRD, TGA and SEM-EDS methods, with blast furnace cement paste for comparison. The results showed that the presence of dolomite enhanced slag hydration, as the carbonates released during dedolomitisation promoted Ca and Si dissolution from the slag grains. After prolonged ageing, a multi-rim structure was observed around the slag particles: the inner rim primarily consisted of a hydrotalcite-like phase mixed with C-S(A)-H gel, while the outer rims were richer in C-S(A)-H gel, with varying calcium content. Monocarbonate phase was additionally detected at the slag–paste interface in the presence of dolomite. The observed increase in mechanical strength during ageing had to do with two reasons: (i) the increase in hydration product content and (ii) the densification of microstructure due to the formation of calcium carbonate, which filled pores and microcracks and the possible carbonation of C-S (A)-H gel in the binding paste. Under the investigated alkaline ageing conditions, dolomite acts as a chemically active component rather than an inert filler, influencing both slag hydration kinetics and the composition of the resulting hydration products. Full article
(This article belongs to the Section Construction and Building Materials)
Show Figures

Graphical abstract

Back to TopTop