Sign in to use this feature.

Years

Between: -

Subjects

remove_circle_outline
remove_circle_outline
remove_circle_outline
remove_circle_outline
remove_circle_outline
remove_circle_outline
remove_circle_outline
remove_circle_outline
remove_circle_outline

Journals

remove_circle_outline
remove_circle_outline
remove_circle_outline
remove_circle_outline
remove_circle_outline
remove_circle_outline
remove_circle_outline
remove_circle_outline

Article Types

Countries / Regions

remove_circle_outline
remove_circle_outline
remove_circle_outline
remove_circle_outline

Search Results (764)

Search Parameters:
Keywords = channel acquisition

Order results
Result details
Results per page
Select all
Export citation of selected articles as:
32 pages, 2490 KB  
Article
SADQN-Based Residual Energy-Aware Beamforming for LoRa-Enabled RF Energy Harvesting for Disaster-Tolerant Underground Mining Networks
by Hilary Kelechi Anabi, Samuel Frimpong and Sanjay Madria
Sensors 2026, 26(2), 730; https://doi.org/10.3390/s26020730 (registering DOI) - 21 Jan 2026
Abstract
The end-to-end efficiency of radio-frequency (RF)-powered wireless communication networks (WPCNs) in post-disaster underground mine environments can be enhanced through adaptive beamforming. The primary challenges in such scenarios include (i) identifying the most energy-constrained nodes, i.e., nodes with the lowest residual energy to prevent [...] Read more.
The end-to-end efficiency of radio-frequency (RF)-powered wireless communication networks (WPCNs) in post-disaster underground mine environments can be enhanced through adaptive beamforming. The primary challenges in such scenarios include (i) identifying the most energy-constrained nodes, i.e., nodes with the lowest residual energy to prevent the loss of tracking and localization functionality; (ii) avoiding reliance on the computationally intensive channel state information (CSI) acquisition process; and (iii) ensuring long-range RF wireless power transfer (LoRa-RFWPT). To address these issues, this paper introduces an adaptive and safety-aware deep reinforcement learning (DRL) framework for energy beamforming in LoRa-enabled underground disaster networks. Specifically, we develop a Safe Adaptive Deep Q-Network (SADQN) that incorporates residual energy awareness to enhance energy harvesting under mobility, while also formulating a SADQN approach with dual-variable updates to mitigate constraint violations associated with fairness, minimum energy thresholds, duty cycle, and uplink utilization. A mathematical model is proposed to capture the dynamics of post-disaster underground mine environments, and the problem is formulated as a constrained Markov decision process (CMDP). To address the inherent NP hardness of this constrained reinforcement learning (CRL) formulation, we employ a Lagrangian relaxation technique to reduce complexity and derive near-optimal solutions. Comprehensive simulation results demonstrate that SADQN significantly outperforms all baseline algorithms: increasing cumulative harvested energy by approximately 11% versus DQN, 15% versus Safe-DQN, and 40% versus PSO, and achieving substantial gains over random beamforming and non-beamforming approaches. The proposed SADQN framework maintains fairness indices above 0.90, converges 27% faster than Safe-DQN and 43% faster than standard DQN in terms of episodes, and demonstrates superior stability, with 33% lower performance variance than Safe-DQN and 66% lower than DQN after convergence, making it particularly suitable for safety-critical underground mining disaster scenarios where reliable energy delivery and operational stability are paramount. Full article
18 pages, 47766 KB  
Article
Scalable AI + DSP Compute Frameworks Using AMD Xilinx RF-SoC ZCU/VCU Platforms for Wireless Testbeds for Scientific, Commercial, Space, and Defense Applications
by Buddhipriya Gayanath, Gayani Rathnasekara, Kasun Karunanayake and Arjuna Madanayake
Electronics 2026, 15(2), 445; https://doi.org/10.3390/electronics15020445 - 20 Jan 2026
Abstract
This paper describes recent engineering designs that allow full-duplex SerDes connectivity between a number of cascaded Xilinx radio frequency system-on-chip (RF-SoC) and VCU FPGA systems. The design allows for unlimited scalability with all-to-all connectivity across FPGA systems and RF-SoCs that allow for bidirectional [...] Read more.
This paper describes recent engineering designs that allow full-duplex SerDes connectivity between a number of cascaded Xilinx radio frequency system-on-chip (RF-SoC) and VCU FPGA systems. The design allows for unlimited scalability with all-to-all connectivity across FPGA systems and RF-SoCs that allow for bidirectional data transport in streaming mode at a capacity of 50 Gbps per ADC-DAC channel. A custom massively parallel systolic-array architecture supporting 8 parallel data streams from time-interleaved ADC/DACs allow real-time matrix–vector-multiplication (MVM). The MVM can be 8 × 8, 8 × 16, …, 8 × 1024 in supported matrix size, and is demonstrated in real time sustained throughput of 1 TeraMAC/second, for matrix size 8 × 512. The MVM is the building block supporting machine learning and filtering, with the computational graph split across FPGA systems using the SerDes connections. The RF data processed by the FPGA chain can be further utilized for higher-level AI workloads on an NVIDIA DGX Spark platform connected to the system. We demonstrate two platforms in which ZCU111 and ZCU1285 RF-SoC boards perform direct-RF data acquisition, while compute engines operating in real time on VCU128 and VCU129 FPGA boards showcase both digital beamforming and polyphase FIR filterbanking in a real-time bandwidth of 1.0 GHz. Full article
(This article belongs to the Special Issue Emerging Applications of FPGAs and Reconfigurable Computing System)
Show Figures

Figure 1

13 pages, 5664 KB  
Article
Study on Influencing Factors of Blockage Signals in Highway Tunnel Drainage Pipelines Using Distributed Acoustic Sensing Technology
by Fei Wan, Shuai Li, Hongfei Shen, Nian Zhang, Wenjun Xie, Xuan Zhang and Yuchen Yan
Appl. Sci. 2026, 16(2), 1033; https://doi.org/10.3390/app16021033 - 20 Jan 2026
Abstract
To address the impact of environmental and equipment factors on signal identification in highway tunnel drainage pipeline blockage monitoring, this study aims to elucidate the influence patterns of pipeline flow rate, optical fiber deployment scheme, and fiber performance on blockage-induced acoustic signals. A [...] Read more.
To address the impact of environmental and equipment factors on signal identification in highway tunnel drainage pipeline blockage monitoring, this study aims to elucidate the influence patterns of pipeline flow rate, optical fiber deployment scheme, and fiber performance on blockage-induced acoustic signals. A full-scale concrete pipeline experimental platform was established. Data were acquired using a HIFI-DAS V2 sensing system. The time–frequency domain characteristics of acoustic signals under different flow rates (50 m3/h and 100 m3/h), fiber deployment schemes (inside the pipe, outside the pipe, and outside a soundproofing layer), and fiber materials (six typical types) were analyzed and compared. The degree of influence of each factor on signal amplitude and dominant frequency components was quantified. The experimental results indicate that: Compared to a flow rate of 50 m3/h, the amplitude characteristic value at the blockage channel exhibited a marked increase at 100 m3/h, accompanied by an increase in the number and amplitude of dominant frequency components. While the dominant frequency components of the acoustic signals were less stable across the three deployment schemes, the overall amplitude at the blockage channel was consistently higher than that at non-blockage channels. When the fiber was deployed farther from the fluid core (outside the soundproofing layer), the dominant frequencies essentially disappeared, with energy distributed in a broadband form. The peak amplitude and array energy of the sensitive vibration sensing fiber were 2 times and 3.6 times those of the worst-performing type, respectively. Furthermore, its physical properties are better suited to the tunnel environment, effectively enhancing signal acquisition stability and the signal-to-noise ratio. Comprehensive analysis demonstrates that deploying sensitive fibers inside the pipe is more conducive to the accurate identification of blockage events. Moreover, uniform dominant frequency components and threshold criteria are not recommended along the entire length of the drainage pipe. This research provides theoretical and experimental support for parameter optimization of DAS systems to achieve high-precision pipeline blockage monitoring in complex tunnel environments. Full article
Show Figures

Figure 1

13 pages, 3165 KB  
Article
Portable Multichannel Measurement System for Real-Time Microplastics Assessment Using Microwave Sensors
by André Barrancos, Diogo Rosinha, Jorge Assis and Luís S. Rosado
Sensors 2026, 26(2), 669; https://doi.org/10.3390/s26020669 - 19 Jan 2026
Viewed by 28
Abstract
This paper presents a multichannel electronics measurement system that uses microwave sensors to perform real-time microplastics assessment in aqueous environments. The system is capable of simultaneously reading up to four microwave sensors, enabling the use of multiple sensors that target microplastic particles with [...] Read more.
This paper presents a multichannel electronics measurement system that uses microwave sensors to perform real-time microplastics assessment in aqueous environments. The system is capable of simultaneously reading up to four microwave sensors, enabling the use of multiple sensors that target microplastic particles with different sizes and properties. The multichannel capability allows the measurement of multiple MW sensors integrated with different microfluidic channel designs while targeting different MPs’ dimension ranges, although experimental validation in this work was limited to a single sensor. Each readout channel is implemented combining radio-technology-integrated circuits with a microprocessor that has advanced analog peripherals used for signal conditioning and acquisition. An ADF4351 wideband frequency synthesizer is used for excitation signal generation while an ADL5902 power detector converts the sensor output to a DC voltage. Baseline removal and amplification of the power detector output is realized with a MSP430FR2355 microprocessor which is also responsible for its acquisition at 40 kHz and digital decimation. Characterization results show the system’s capability to generate excitation signals between 700 MHz and 3.5 GHz with power levels around 0 dBm. Sensor output can be detected with a power between −50 dBm and −5 dBm and a 230 Hz bandwidth. A compact form factor of 15 cm × 10 cm × 3 cm was realized together with a low power consumption of 6.6 W. Validation was realized with a previously developed microwave sensor, demonstrating the detection of polyethylene spheres with 400 μm diameters animated in 10 mL/min flux within the microfluidics device. Full article
(This article belongs to the Special Issue Advanced Microwave Sensors and Their Applications in Measurement)
Show Figures

Figure 1

27 pages, 4802 KB  
Article
Fine-Grained Radar Hand Gesture Recognition Method Based on Variable-Channel DRSN
by Penghui Chen, Siben Li, Chenchen Yuan, Yujing Bai and Jun Wang
Electronics 2026, 15(2), 437; https://doi.org/10.3390/electronics15020437 - 19 Jan 2026
Viewed by 38
Abstract
With the ongoing miniaturization of smart devices, fine-grained hand gesture recognition using millimeter-wave radar has attracted increasing attention, yet practical deployment remains challenging in continuous-gesture segmentation, robust feature extraction, and reliable classification. This paper presents an end-to-end fine-grained gesture recognition framework based on [...] Read more.
With the ongoing miniaturization of smart devices, fine-grained hand gesture recognition using millimeter-wave radar has attracted increasing attention, yet practical deployment remains challenging in continuous-gesture segmentation, robust feature extraction, and reliable classification. This paper presents an end-to-end fine-grained gesture recognition framework based on frequency modulated continuous wave(FMCW) millimeter-wave radar, including gesture design, data acquisition, feature construction, and neural network-based classification. Ten gesture types are recorded (eight valid gestures and two return-to-neutral gestures); for classification, the two return-to-neutral gesture types are merged into a single invalid class, yielding a nine-class task. A sliding-window segmentation method is developed using short-time Fourier transformation(STFT)-based Doppler-time representations, and a dataset of 4050 labeled samples is collected. Multiple signal classification(MUSIC)-based super-resolution estimation is adopted to construct range–time and angle–time representations, and instance-wise normalization is applied to Doppler and range features to mitigate inter-individual variability without test leakage. For recognition, a variable-channel deep residual shrinkage network (DRSN) is employed to improve robustness to noise, supporting single-, dual-, and triple-channel feature inputs. Results under both subject-dependent evaluation with repeated random splits and subject-independent leave one subject out(LOSO) cross-validation show that DRSN architecture consistently outperforms the RefineNet-based baseline, and the triple-channel configuration achieves the best performance (98.88% accuracy). Overall, the variable-channel design enables flexible feature selection to meet diverse application requirements. Full article
Show Figures

Figure 1

26 pages, 38465 KB  
Article
High-Resolution Snapshot Multispectral Imaging System for Hazardous Gas Classification and Dispersion Quantification
by Zhi Li, Hanyuan Zhang, Qiang Li, Yuxin Song, Mengyuan Chen, Shijie Liu, Dongjing Li, Chunlai Li, Jianyu Wang and Renbiao Xie
Micromachines 2026, 17(1), 112; https://doi.org/10.3390/mi17010112 - 14 Jan 2026
Viewed by 144
Abstract
Real-time monitoring of hazardous gas emissions in open environments remains a critical challenge. Conventional spectrometers and filter wheel systems acquire spectral and spatial information sequentially, which limits their ability to capture multiple gas species and dynamic dispersion patterns rapidly. A High-Resolution Snapshot Multispectral [...] Read more.
Real-time monitoring of hazardous gas emissions in open environments remains a critical challenge. Conventional spectrometers and filter wheel systems acquire spectral and spatial information sequentially, which limits their ability to capture multiple gas species and dynamic dispersion patterns rapidly. A High-Resolution Snapshot Multispectral Imaging System (HRSMIS) is proposed to integrate high spatial fidelity with multispectral capability for near real-time plume visualization, gas species identification, and concentration retrieval. Operating across the 7–14 μm spectral range, the system employs a dual-path optical configuration in which a high-resolution imaging path and a multispectral snapshot path share a common telescope, allowing for the simultaneous acquisition of fine two-dimensional spatial morphology and comprehensive spectral fingerprint information. Within the multispectral path, two 5×5 microlens arrays (MLAs) combined with a corresponding narrowband filter array generate 25 distinct spectral channels, allowing concurrent detection of up to 25 gas species in a single snapshot. The high-resolution imaging path provides detailed spatial information, facilitating spatio-spectral super-resolution fusion for multispectral data without complex image registration. The HRSMIS demonstrates modulation transfer function (MTF) values of at least 0.40 in the high-resolution channel and 0.29 in the multispectral channel. Monte Carlo tolerance analysis confirms imaging stability, enabling the real-time visualization of gas plumes and the accurate quantification of dispersion dynamics and temporal concentration variations. Full article
(This article belongs to the Special Issue Gas Sensors: From Fundamental Research to Applications, 2nd Edition)
Show Figures

Figure 1

15 pages, 3599 KB  
Article
High-Fidelity rPPG Waveform Reconstruction from Palm Videos Using GANs
by Tao Li and Yuliang Liu
Sensors 2026, 26(2), 563; https://doi.org/10.3390/s26020563 - 14 Jan 2026
Viewed by 161
Abstract
Remote photoplethysmography (rPPG) enables non-contact acquisition of human physiological parameters using ordinary cameras, and has been widely applied in medical monitoring, human–computer interaction, and health management. However, most existing studies focus on estimating specific physiological metrics, such as heart rate and heart rate [...] Read more.
Remote photoplethysmography (rPPG) enables non-contact acquisition of human physiological parameters using ordinary cameras, and has been widely applied in medical monitoring, human–computer interaction, and health management. However, most existing studies focus on estimating specific physiological metrics, such as heart rate and heart rate variability, while paying insufficient attention to reconstructing the underlying rPPG waveform. In addition, publicly available datasets typically record facial videos accompanied by fingertip PPG signals as reference labels. Since fingertip PPG waveforms differ substantially from the true photoplethysmography (PPG) signals obtained from the face, deep learning models trained on such datasets often struggle to recover high-quality rPPG waveforms. To address this issue, we collected a new dataset consisting of palm-region videos paired with wrist-based PPG signals as reference labels, and experimentally validated its effectiveness for training neural network models aimed at rPPG waveform reconstruction. Furthermore, we propose a generative adversarial network (GAN)-based pulse-wave synthesis framework that produces high-quality rPPG waveforms by denoising the mean green-channel signal. By incorporating time-domain peak-aware loss, frequency-domain loss, and adversarial loss, our method achieves promising performance, with an RMSE (Root Mean Square Error) of 0.102, an MAPE (Mean Absolute Percentage Error) of 0.028, a Pearson correlation of 0.987, and a cosine similarity of 0.989. These results demonstrate the capability of the proposed approach to reconstruct high-fidelity rPPG waveforms with improved morphological accuracy compared to noisy raw rPPG signals, rather than directly validating health monitoring performance. This study presents a high-quality rPPG waveform reconstruction approach from both data and model perspectives, providing a reliable foundation for subsequent physiological signal analysis, waveform-based studies, and potential health-related applications. Full article
(This article belongs to the Special Issue Systems for Contactless Monitoring of Vital Signs)
Show Figures

Figure 1

24 pages, 18384 KB  
Article
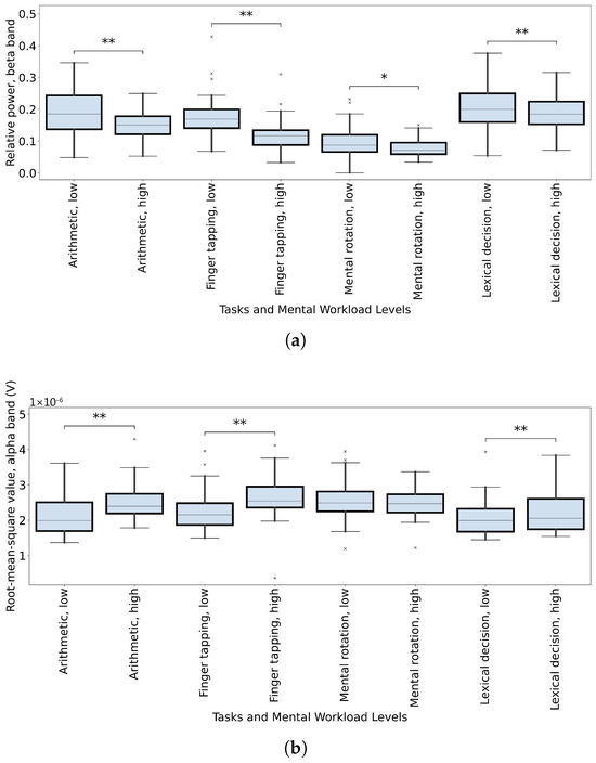
A Feasibility Study of Using an In-Ear EEG System for a Quantitative Assessment of Stress and Mental Workload
by Zhibo Fu, Kam Pang So, Xiaoli Wu, Arthit Khotsaenlee, Savio W. H. Wong, Chung Tin and Rosa H. M. Chan
Sensors 2026, 26(2), 442; https://doi.org/10.3390/s26020442 - 9 Jan 2026
Viewed by 158
Abstract
While electroencephalography (EEG) is effective for assessing stress and mental workload, its widespread adoption is currently hindered by the complex setup of most existing EEG systems. This article presents a new in-ear EEG system and investigates its feasibility for developing robust models to [...] Read more.
While electroencephalography (EEG) is effective for assessing stress and mental workload, its widespread adoption is currently hindered by the complex setup of most existing EEG systems. This article presents a new in-ear EEG system and investigates its feasibility for developing robust models to quantify stress and mental workload levels. The system consists of a single-channel EEG acquisition device that has a similar form factor as user-generic earpieces. All electrodes including passive, reference and bias electrodes were put on the ear, which optimized the device’s usability. We validated the system through two experiments with 66 subjects to collect EEG data under varying stress and mental workload conditions. We developed classification and regression models to predict stress and mental workload levels from the data. Cross-subject stress classification achieved 77% accuracy, while within-subject stress regression yielded an average R2 of 0.76 ± 0.20. Two-class mental workload level classification reached accuracies between 70% and 80% for the arithmetic and finger tapping tasks. Feature importance analysis revealed that frequency-domain EEG features, particularly in the alpha and beta bands, significantly contributed to the models’ performance. However, we observed lower within-subject feature variation and model accuracy for the mental rotation, potentially due to the distance between brain regions engaged and the device’s recording site. Our findings demonstrate the potential of using the presented EEG device to monitor stress and mental workload in real-time. Full article
(This article belongs to the Special Issue Challenges and Future Trends in Biomedical Signal Processing)
Show Figures

Figure 1

21 pages, 5307 KB  
Article
Simultaneous Multiparameter Detection with Organic Electrochemical Transistors-Based Biosensors
by Marjorie Montero-Jimenez, Jael R. Neyra Recky, Omar Azzaroni, Juliana Scotto and Waldemar A. Marmisollé
Chemosensors 2026, 14(1), 22; https://doi.org/10.3390/chemosensors14010022 - 9 Jan 2026
Viewed by 290
Abstract
We present a methodology that enhances the analytical performance of organic electrochemical transistors (OECTs) by continuously cycling the devices through gate potential sweeps during sensing experiments. This continuous cycling methodology (CCM) enables real-time acquisition of full transfer curves, allowing simultaneous monitoring of multiple [...] Read more.
We present a methodology that enhances the analytical performance of organic electrochemical transistors (OECTs) by continuously cycling the devices through gate potential sweeps during sensing experiments. This continuous cycling methodology (CCM) enables real-time acquisition of full transfer curves, allowing simultaneous monitoring of multiple characteristic parameters. We show that the simultaneous temporal evolution of several OECT response parameters (threshold voltage (VTH), maximum transconductance (gmax), and maximum transconductance potential (VG,gmax)) provides highly sensitive descriptors for detecting pH changes and macromolecule adsorption on OECTs based on polyaniline (PANI) and poly(3,4-ethylenedioxythiophene) (PEDOT) channels. Moreover, the method allows reconstruction of IDSt (drain–source current vs. time) profiles at any selected gate potential, enabling the identification of optimal gate voltage (VG) values for maximizing sensitivity. This represents a substantial improvement over traditional measurements at fixed VG, which may suffer from reduced sensitivity and parasitic reactions associated with gate polarization. Moreover, the expanded set of parameters obtained with the CCM provides deeper insight into the physicochemical processes occurring at both gate and channel electrodes. We demonstrate its applicability in monitoring polyelectrolyte and enzyme adsorption, and detecting urea and glucose through enzyme-mediated reactions. Owing to its versatility and the richness of the information it provides, the CCM constitutes a significant advance for the development and optimization of OECT-based sensing platforms. Full article
(This article belongs to the Special Issue Electrochemical Biosensors for Global Health Challenges)
Show Figures

Figure 1

23 pages, 8503 KB  
Article
A Novel Mixed Stimulation Pattern for Balanced Pulmonary EIT Imaging Performance
by Zhibo Zhao, Zhijun Gao, Heyao Zhu, Zhanqi Zhao, Meng Dai, Zilong Liu, Feng Fu and Lin Yang
Bioengineering 2026, 13(1), 72; https://doi.org/10.3390/bioengineering13010072 - 8 Jan 2026
Viewed by 314
Abstract
Pulmonary electrical impedance tomography (EIT) offers non-invasive and real-time imaging in a compact device size, making it valuable for pulmonary ventilation monitoring. However, conventional EIT stimulation patterns face a trade-off dilemma between anti-noise performance and image interpretability. To address this challenge, we propose [...] Read more.
Pulmonary electrical impedance tomography (EIT) offers non-invasive and real-time imaging in a compact device size, making it valuable for pulmonary ventilation monitoring. However, conventional EIT stimulation patterns face a trade-off dilemma between anti-noise performance and image interpretability. To address this challenge, we propose a novel mixed stimulation pattern that integrates opposite and adjacent stimulation patterns with a tunable weight ratio. The results of simulations and human experiments (involving 30 subjects) demonstrated that the mixed stimulation pattern uses 200 stimulation–measurement channels, preserves a high signal-to-noise ratio, improves lung separation, and reduces artifacts compared with the opposite and adjacent stimulation patterns. It maintained stable imaging at 600 μA of stimulation current amplitude (equivalent to 1 mA) and preserved most imaging and clinical indicators’ stability at 200 μA (except GI/RVDSD). The adjustable weight ratio enables imaging performance to be flexibly adjusted according to different noise levels in acquisition environments. In conclusion, the pattern we proposed offers a superior alternative to traditional patterns, achieving a favorable balance of real-time capability, anti-noise performance, and image interpretability for pulmonary EIT imaging. Full article
(This article belongs to the Section Biosignal Processing)
Show Figures

Graphical abstract

25 pages, 4082 KB  
Article
Statistical CSI-Based Downlink Precoding for Multi-Beam LEO Satellite Communications
by Feng Zhu, Yunfei Wang, Ziyu Xiang and Xiqi Gao
Aerospace 2026, 13(1), 60; https://doi.org/10.3390/aerospace13010060 - 7 Jan 2026
Viewed by 152
Abstract
With the rapid development of low-Earth-orbit (LEO) satellite communications, multi-beam precoding has emerged as a key technology for improving spectrum efficiency. However, the long propagation delay and large Doppler frequency offset pose significant challenges to existing precoding techniques. To address this issue, this [...] Read more.
With the rapid development of low-Earth-orbit (LEO) satellite communications, multi-beam precoding has emerged as a key technology for improving spectrum efficiency. However, the long propagation delay and large Doppler frequency offset pose significant challenges to existing precoding techniques. To address this issue, this paper investigates downlink precoding design for multi-beam LEO satellite communications. First, the downlink channel and signal models are established. Then, we reveal that traditional zero-forcing (ZF), regularized zero-forcing (RZF), and minimum mean square error (MMSE) precoding schemes all require the satellite transmitter to acquire the instantaneous channel state information (iCSI) of all users, which is challenging to obtain in satellite communication systems. Subsequently, we propose a downlink precoding design based on statistical channel state information (sCSI) and derive closed-form solutions for statistical-ZF, statistical-RZF, and statistical-MMSE precoding. Furthermore, we propose that sCSI can be computed using the positions of the satellite and users, which reduces the system overhead and complexity of sCSI acquisition. Monte Carlo simulations under the 3GPP non-terrestrial network (NTN) channel model are employed to verify the performance of the proposed method. The simulation results show that the proposed method achieves sum-rate performance comparable to that of iCSI-based schemes and the optimal transmission performance based on sum-rate maximization. In addition, the proposed method significantly reduces the computational complexity of the satellite payload and the system feedback overhead. Full article
(This article belongs to the Section Astronautics & Space Science)
Show Figures

Figure 1

15 pages, 3373 KB  
Article
Strain and Electromyography Dual-Mode Stretchable Sensor for Real-Time Monitoring of Joint Movement
by Hanfei Li, Xiaomeng Zhou, Shouwei Yue, Qiong Tian, Qingsong Li, Jianhong Gong, Yong Yang, Fei Han, Hui Wei, Zhiyuan Liu and Yang Zhao
Micromachines 2026, 17(1), 77; https://doi.org/10.3390/mi17010077 - 6 Jan 2026
Viewed by 258
Abstract
Flexible sensors have emerged as critical interfaces for information exchange between soft biological tissues and machines. Here, we present a dual-mode stretchable sensor system capable of synchronous strain and electromyography (EMG) signal detection, integrated with wireless WIFI transmission for real-time joint movement monitoring. [...] Read more.
Flexible sensors have emerged as critical interfaces for information exchange between soft biological tissues and machines. Here, we present a dual-mode stretchable sensor system capable of synchronous strain and electromyography (EMG) signal detection, integrated with wireless WIFI transmission for real-time joint movement monitoring. The system consists of two key components: (1) A multi-channel gel electrode array for high-fidelity EMG signal acquisition from target muscle groups, and (2) a novel capacitive strain sensor made of stretchable micro-cracked gold film based on Styrene Ethylene Butylene Styrene (SEBS) that exhibits exceptional performance, including >80% stretchability, >4000-cycle durability, and fast response time (<100 ms). The strain sensor demonstrates position-independent measurement accuracy, enabling robust joint angle detection regardless of placement variations. Through synchronized mechanical deformation and electrophysiological monitoring, this platform provides comprehensive movement quantification, with data visualization interfaces compatible with mobile and desktop applications. The proposed technology establishes a generalizable framework for multimodal biosensing in human motion analysis, robotics, and human–machine interaction systems. Full article
(This article belongs to the Special Issue Flexible Materials and Stretchable Microdevices)
Show Figures

Figure 1

25 pages, 7051 KB  
Article
Research on Multi-Source Dynamic Stress Data Analysis and Visualization Software for Structural Life Assessment
by Qiming Liu, Yu Chen and Zhiming Liu
Appl. Sci. 2026, 16(1), 556; https://doi.org/10.3390/app16010556 - 5 Jan 2026
Viewed by 212
Abstract
Dynamic stress data are essential for evaluating structural fatigue life. To address the challenges of complex test data formats, low data reading efficiency, and insufficient visualization, this study systematically analyzes the .raw and .sie file formats from IMC and HBM data acquisition systems [...] Read more.
Dynamic stress data are essential for evaluating structural fatigue life. To address the challenges of complex test data formats, low data reading efficiency, and insufficient visualization, this study systematically analyzes the .raw and .sie file formats from IMC and HBM data acquisition systems and proposes a unified parsing approach. A lightweight .dac format is designed, featuring a “single-channel–single-file” storage strategy that enables rapid, independent retrieval of specific channels and seamless cross-platform sharing, effectively eliminating the inefficiency of the .sie format caused by multi-channel coupling. Based on Python v3.11, an automated format conversion tool and a PyQt5-based visualization platform are developed, integrating graphical plotting, interactive operations, and fatigue strength evaluation functions. The platform supports stress feature extraction, rainflow counting, Goodman correction, and full life-cycle fatigue damage assessment based on the Palmgren–Miner rule. Experimental results demonstrate that the proposed system accurately reproduces both time- and frequency-domain features, with equivalent stress deviations within 2% of nCode results, and achieves a 7–8× improvement in file loading speed compared with the original format. Furthermore, multi-channel scalability tests confirm a linear increase in conversion time (R2 > 0.98) and stable throughput across datasets up to 10.20 GB, demonstrating strong performance consistency for large-scale engineering data. The proposed approach establishes a reliable data foundation and efficient analytical tool for fatigue life assessment of structures under complex operating conditions. Full article
(This article belongs to the Special Issue Advances and Applications in Mechanical Fatigue and Life Assessment)
Show Figures

Figure 1

23 pages, 871 KB  
Review
The Role of Whole Slide Imaging in AI-Based Digital Pathology: Current Challenges and Future Directions—An Updated Literature Review
by Samya A. Omoush, Jihad A. M. Alzyoud, Nidhal Kamel Taha El-Omari and Ahmad J. A. Alzyoud
J. Mol. Pathol. 2026, 7(1), 2; https://doi.org/10.3390/jmp7010002 - 1 Jan 2026
Cited by 1 | Viewed by 757
Abstract
Background/Objectives: Combining Whole Slide Imaging (WSI) and Artificial Intelligence (AI) in digital pathology (DP) is accelerating the field of diagnostic pathology by improving analysis metrics accuracy, reproducibility, and speed. AI applications in pathology include automated image capture, assessment and analysis, risk stratification, and [...] Read more.
Background/Objectives: Combining Whole Slide Imaging (WSI) and Artificial Intelligence (AI) in digital pathology (DP) is accelerating the field of diagnostic pathology by improving analysis metrics accuracy, reproducibility, and speed. AI applications in pathology include automated image capture, assessment and analysis, risk stratification, and prognostic prediction. This integration introduces significant challenges, including data quality, high computational demands, the ability to generalize across different settings, and a range of ethical considerations. This review provides an end-to-end roadmap covering WSI acquisition, preprocessing, and deep learning (DL) channels through tumor recognition, biomarker prediction, and evolving computational methods such as original models and combined learning, highlighting the specific challenges and opportunities of WSI-attached AI in pathology. Methods: This review provides a WSI-centric analysis that examines AI and DL applications specifically as they overlap with the acquisition, processing, and computational analysis of WSI. Therefore, this review aims to comprehensively examine the challenges and pitfalls associated with the use of WSI in AI-Based Digital Pathology. Results: Pre-analytical factors like how the tissue is prepared, staining, and scanning artifacts affect AI and contain possible post-analytical barriers such as the range of colors used, color standardization, and algorithm transparency. Furthermore, there may be bias found in the training datasets that can blur the ethical and legal boundaries alongside regulatory uncertainty. Conclusions: Even though there is an array of challenges, AI applied in DP can enhance the accuracy of medical diagnosis, encourage workflow efficiency, facilitate cross-collaboration for pediatric research, and enable research into rare diseases. Further development on the topic needs to focus on defining standard operating procedures and guidelines alongside dependable datasets through teamwork from various scientific fields. Full article
Show Figures

Figure 1

20 pages, 6216 KB  
Article
High-Speed Signal Digitizer Based on Reference Waveform Crossings and Time-to-Digital Conversion
by Arturs Aboltins, Sandis Migla, Nikolajs Tihomorskis, Jakovs Ratners, Rihards Barkans and Viktors Kurtenoks
Electronics 2026, 15(1), 153; https://doi.org/10.3390/electronics15010153 - 29 Dec 2025
Viewed by 210
Abstract
This work presents an experimental evaluation of a high-speed analog-to-digital conversion method based on passive reference waveform crossings combined with time-to-digital converter (TDC) time-tagging. Unlike conventional level-crossing event-driven analog-to-digital converters (ADCs) that require dynamically updated digital-to-analog converters (DACs), the proposed architecture compares the [...] Read more.
This work presents an experimental evaluation of a high-speed analog-to-digital conversion method based on passive reference waveform crossings combined with time-to-digital converter (TDC) time-tagging. Unlike conventional level-crossing event-driven analog-to-digital converters (ADCs) that require dynamically updated digital-to-analog converters (DACs), the proposed architecture compares the input waveform against a broadband periodic sampling function without active threshold control. Crossing instants are detected by a high-speed comparator and converted into rising and falling edge timestamps using a multi-channel TDC. A commercial ScioSense GPX2-based time-tagger with 30 ps single-shot precision was used for validation. A range of test signals—including 5 MHz sine, sawtooth, damped sine, and frequency-modulated chirp waveforms—were acquired using triangular, sinusoidal, and sawtooth sampling functions. Stroboscopic sampling was demonstrated using reference frequencies lower than the signal of interest, enabling effective undersampling of periodic radio frequency (RF) waveforms. The method achieved effective bandwidths approaching 100 MHz, with amplitude reconstruction errors of 0.05–0.30 RMS for sinusoidal signals and 0.15–0.40 RMS for sawtooth signals. Timing jitter showed strong dependence on the relative slope between the acquired waveform and sampling function: steep regions produced jitter near 5 ns, while shallow regions exhibited jitter up to 20 ns. The study has several limitations, including the bandwidth and dead-time constraints of the commercial TDC, the finite slew rate and noise of the comparator front-end, and the limited frequency range of the generated sampling functions. These factors influence the achievable timing precision and reconstruction accuracy, especially in low-gradient signal regions. Overall, the passive waveform-crossing method demonstrates strong potential for wideband, sparse, and rapidly varying signals, with natural scalability to multi-channel systems. Potential application domains include RF acquisition, ultra-wideband (UWB) radar, integrated sensing and communication (ISAC) systems, high-speed instrumentation, and wideband timed antenna arrays. Full article
(This article belongs to the Special Issue Analog/Mixed Signal Integrated Circuit Design)
Show Figures

Figure 1

Back to TopTop