Sign in to use this feature.

Years

Between: -

Subjects

remove_circle_outline
remove_circle_outline
remove_circle_outline
remove_circle_outline
remove_circle_outline
remove_circle_outline
remove_circle_outline
remove_circle_outline

Journals

Article Types

Countries / Regions

Search Results (24)

Search Parameters:
Keywords = cervical spinal loading

Order results
Result details
Results per page
Select all
Export citation of selected articles as:
15 pages, 3107 KB  
Article
Evaluation of a Novel Flexible Cage System for C5–C6 Fixation: A Finite Element Study Against Conventional ACDF Implants
by Seongho Woo, Won Mo Koo, Kinam Park, Jong-Moon Hwang and Sungwook Kang
Bioengineering 2026, 13(4), 375; https://doi.org/10.3390/bioengineering13040375 - 24 Mar 2026
Abstract
Cervical spondylosis is a common cause of spinal cord dysfunction, and anterior cervical discectomy and fusion (ACDF) is widely employed when conservative treatment fails. Conventional implant systems such as the cervical cage with plate (CCP) and zero-profile stand-alone cage (ZPSC) are commonly used [...] Read more.
Cervical spondylosis is a common cause of spinal cord dysfunction, and anterior cervical discectomy and fusion (ACDF) is widely employed when conservative treatment fails. Conventional implant systems such as the cervical cage with plate (CCP) and zero-profile stand-alone cage (ZPSC) are commonly used to enhance spinal stability and promote fusion, but they are associated with complications including dysphagia and adjacent segment degeneration. To address these limitations, a novel flexible plate cage system (FPCS) has been developed to optimize biomechanical performance while minimizing surgical risk. In this study, a finite element model of the C3–T1 cervical spine was constructed to simulate ACDF at the C5–C6 level using CCP, ZPSC, and FPCS implants. Under standardized loading conditions, von Mises stress was analyzed in the bone, intervertebral disc, endplates, cage, and screws, using the mean of the top 5% stress values to ensure accuracy. All surgical models showed increased stress compared to the intact reference spine. The ZPSC model exhibited the highest stress in the cage and screws, suggesting a more concentrated load path. The CCP model showed a more evenly distributed stress profile, particularly affecting the inferior adjacent segment. The FPCS model demonstrated moderate cage stress, reduced screw stress, and the highest plate stress, indicating a design that effectively redirects mechanical load from the screw-bone interface toward the anterior plate. This may be related to the unique structural configuration of the FPCS, which secures screws horizontally into the anterior vertebral body without penetrating the endplates. These findings suggest that the FPCS may offer a biomechanically favorable alternative to existing ACDF implants. Full article
(This article belongs to the Section Biomedical Engineering and Biomaterials)
Show Figures

Figure 1

25 pages, 2567 KB  
Review
A Review of Motion-Preserving Cervical Spinal Implants and Fusion Constructs
by Isabella Merem, Rodrigo Vasquez, Jaden Wise, Elizabeth Beaulieu, Samip Patel, Maohua Lin, Gui Pires and Frank D. Vrionis
Bioengineering 2026, 13(2), 228; https://doi.org/10.3390/bioengineering13020228 - 15 Feb 2026
Viewed by 543
Abstract
Spinal fusion remains a common surgical treatment for degenerative cervical spine pathology. By eliminating segmental motion, fusion alters spinal biomechanics and redistributes mechanical loads to adjacent levels. These changes contribute to adjacent segment degeneration (ASD). Motion-preserving spinal implants have been developed to address [...] Read more.
Spinal fusion remains a common surgical treatment for degenerative cervical spine pathology. By eliminating segmental motion, fusion alters spinal biomechanics and redistributes mechanical loads to adjacent levels. These changes contribute to adjacent segment degeneration (ASD). Motion-preserving spinal implants have been developed to address these limitations. Cervical disc arthroplasty (CDA) is the most widely used example. Such devices aim to maintain physiologic kinematics while preserving segmental stability. Their biomechanical behavior varies with implant design, material properties, and constraint characteristics. Previous research does not holistically compare fusion with motion-preserving treatments on the spine, resulting in an incomplete understanding of when motion-preserving devices should be considered in treatment over fusion constructs and which specific motion-preserving implants are most appropriate. This narrative review synthesizes experimental, computational, and clinical studies comparing rigid fusion constructs to motion-preserving technologies in the cervical spine. Emphasis is placed on segmental range of motion, load transmission, intradiscal pressure, facet joint forces, and adjacent-segment mechanics. By comparing effectiveness across motion-preserving treatments, alongside their effectiveness to fusion constructs, we found that CDA more closely preserves near-physiologic motion compared to fusion. Taken together, this review underscores the importance of biomechanics-informed implant design for guiding future innovation in spinal implant technologies. Full article
(This article belongs to the Special Issue Bioengineering Technologies for Spine Research)
Show Figures

Figure 1

12 pages, 591 KB  
Systematic Review
Dynamic MRI in Degenerative Cervical Myelopathy: A Systematic Review of Radiological Markers, Correlations, and Outcomes
by Ali Baram, Jad El Choueiri, Carlo Brembilla, Francesca Pellicanò, Lorenzo De Rossi, Leonardo Di Cosmo, Mario De Robertis, Emanuele Stucchi, Donato Creatura, Gabriele Capo, Maurizio Fornari, Marco Riva, Letterio S. Politi and Federico Pessina
J. Clin. Med. 2026, 15(1), 265; https://doi.org/10.3390/jcm15010265 - 29 Dec 2025
Cited by 1 | Viewed by 870
Abstract
Background/Objectives: Conventional static magnetic resonance imaging may underestimate the severity of cervical cord compression by failing to account for positional changes in the spinal canal. Dynamic MRI (dMRI) captures cervical motion, allowing evaluation of cord compression under physiological loading. This systematic review [...] Read more.
Background/Objectives: Conventional static magnetic resonance imaging may underestimate the severity of cervical cord compression by failing to account for positional changes in the spinal canal. Dynamic MRI (dMRI) captures cervical motion, allowing evaluation of cord compression under physiological loading. This systematic review aimed to synthesize evidence on how dMRI modifies the assessment of spinal canal narrowing and signal change, and how these findings correlate with impairment and postoperative outcomes in degenerative cervical myelopathy. Methods: A systematic literature search was conducted across PubMed, Scopus, and Embase databases according to PRISMA guidelines. Studies evaluating the role of dMRI (flexion–extension MRI) in diagnosing or predicting outcomes of cervical degenerative pathology were included. Data were extracted on imaging protocols, diagnostic findings, quantitative parameters, and clinical outcomes. Results: Nineteen studies met the inclusion criteria. dMRI consistently revealed motion-dependent stenosis and intramedullary signal changes not visible on static imaging. Extension imaging frequently demonstrated disease progression, showing altered spinal cord area, cerebrospinal fluid (CSF) reserve, and additional compression levels. Dynamic sequences enhanced sensitivity for pathological segment detection and improved correlation with clinical severity. Preoperative dMRI findings, particularly extension-related compression and T2 hyperintensity, predicted postoperative neurological recovery and influenced surgical planning in up to one third of cases. Conclusions: Dynamic MRI provides superior diagnostic sensitivity and prognostic information compared with static imaging by revealing motion-induced spinal cord compression and microstructural alterations. It should be considered when clinical findings exceed static MRI severity or when the symptomatic level is uncertain. Standardization of protocols and large prospective studies are needed to define evidence-based clinical indications. Full article
Show Figures

Figure 1

15 pages, 2437 KB  
Article
A Risk Assessment Method for Narrow Spaces with Low Height
by Adrian Ispășoiu, Ioan Milosan, Camelia Gabor, Mariela Pavalache-Ilie and Gheorghe Oancea
Appl. Sci. 2025, 15(21), 11625; https://doi.org/10.3390/app152111625 - 30 Oct 2025
Cited by 1 | Viewed by 642
Abstract
Work performed in confined and low-height spaces (NSLH) is relatively common across several industries, yet it has not been adequately addressed from an ergonomic perspective. Such activities require workers to adopt awkward postures, most often with the trunk bent and rotated, while handling [...] Read more.
Work performed in confined and low-height spaces (NSLH) is relatively common across several industries, yet it has not been adequately addressed from an ergonomic perspective. Such activities require workers to adopt awkward postures, most often with the trunk bent and rotated, while handling loads positioned at varying distances from the body. These conditions lead to rapid fatigue, musculoskeletal strain, and, in the long term, may cause serious health disorders. Traditional ergonomic risk assessment methods, such as REBA, RULA, or QEC, were initially applied in these situations; however, the results were unsatisfactory. Their broad applicability and reliance on calculation tables that incorporate factors irrelevant to NSLH tasks prevent them from providing an accurate evaluation of ergonomic risks in these environments. To overcome these limitations, a new assessment method, RALH (Risk Assessment for Narrow Spaces with Low Height), was developed. The method aims to evaluate ergonomic risks in contexts where workers cannot maintain an upright posture, resulting in significant stress on the spinal column, particularly in the lumbar and cervical regions. The RALH methodology incorporates parameters such as trunk inclination, trunk rotation, load weight, distance between the body and the load, exposure duration, and the worker’s physical fitness. A dedicated software tool, ERGO Agent—RALH, was designed to implement this methodology, providing structured data collection, parameter normalization, and ergonomic risk calculation. Case studies, including distribution agents working inside van cargo compartments, demonstrated that the method produces accurate and objective results. Beyond diagnosis, RALH also supports the development of preventive strategies, such as equipment optimization, task allocation, worker training, and physical conditioning. Overall, the RALH method is a practical tool for improving occupational health and efficiency in NSLH environments, where traditional ergonomic approaches are insufficient. Full article
Show Figures

Figure 1

13 pages, 990 KB  
Article
Spinal Sagittal Alignment Assessment and Hip Range of Motion in Ambulatory Boys with Duchenne Muscular Dystrophy: Reliability, Diagnosis and Implications for Physiotherapy Management
by Agnieszka Stępień, Katarzyna Maślanko, Weronika Kruk-Majtyka and Grzegorz Gargas
Healthcare 2025, 13(19), 2392; https://doi.org/10.3390/healthcare13192392 - 23 Sep 2025
Viewed by 1114
Abstract
Background/Objectives: Duchenne muscular dystrophy (DMD) leads to postural abnormalities and increased lumbar lordosis, which may affect gait and spinal load. This study aimed to assess the reliability of sagittal spinal curvature measurements using the Rippstein plurimeter and to analyze spinal curvature in ambulant [...] Read more.
Background/Objectives: Duchenne muscular dystrophy (DMD) leads to postural abnormalities and increased lumbar lordosis, which may affect gait and spinal load. This study aimed to assess the reliability of sagittal spinal curvature measurements using the Rippstein plurimeter and to analyze spinal curvature in ambulant boys with DMD compared to healthy peers. Additionally, the study examined the effect of lower limb positioning in standing on sagittal spinal alignment in boys with DMD and investigated the relationship between hip adduction and extension range and spinal alignment. Methods: The study included 42 boys with DMD and 36 healthy peers aged 5–14 years. In boys with DMD, spinal curvature was measured using the Rippstein plurimeter in two positions: feet in alignment with hip joints axis and with feet together. In healthy participants, measurements were taken in the first position only. Hip adduction and extension ranges were also assessed in both groups. Results: Plurimeter measurements demonstrated high reliability. Boys with DMD showed significantly increased cervical retraction, greater sternal deviation from the vertical, and increased lumbar lordosis compared to healthy peers. Lower limb positioning (adduction) altered sagittal spinal alignment. Hip adduction and extension ranges were decreased in the DMD group and showed a correlation with spinal alignment. Conclusions: The Rippstein plurimeter provides reliable measurements and is useful for monitoring posture in boys with DMD. Reduced hip mobility and lower limb positioning influence lumbar lordosis and should be considered in physiotherapy planning for DMD. Full article
Show Figures

Figure 1

23 pages, 2445 KB  
Article
Osseous Variants of the Cervical Spine with Potential Pathological Significance: Possible Evidence of Vertebrobasilar Insufficiency in a Skeletal Sample from the Post-Classical Cemetery of Corfinio (12th–15th Centuries CE, L’Aquila, Italy)
by Anabel Amores, Carmen Tanga, Maria Carla Somma, Vasco La Salvia, Sonia Antonelli and Joan Viciano
Heritage 2025, 8(5), 178; https://doi.org/10.3390/heritage8050178 - 17 May 2025
Viewed by 2529
Abstract
The vertebral arteries supply blood to the upper spinal cord, brainstem, cerebellum, and posterior part of the brain. These arteries are susceptible to deformation from external factors such as muscular, ligamentous, or bony structures, and any interruption of blood flow may result in [...] Read more.
The vertebral arteries supply blood to the upper spinal cord, brainstem, cerebellum, and posterior part of the brain. These arteries are susceptible to deformation from external factors such as muscular, ligamentous, or bony structures, and any interruption of blood flow may result in vertebrobasilar insufficiency. Among the osseous variants of the cervical spine with potential pathological significance, variations in the number, shape, and size of the foramen transversarium, as well as the presence of bony bridges in the first cervical vertebra, may suggest a predisposition to vertebrobasilar insufficiency. A skeletal sample from the post-Classical cemetery of Corfinio (12th–15th centuries CE; L’Aquila, Italy) was examined. Regarding the morphology of the foramen transversarium, shape variations were identified in 32 of the 108 vertebrae analysed (a prevalence of 29.6%). Particularly noteworthy are three findings in the atlas: (i) a high prevalence of foramen transversarium variants (35.7% for hypoplastic and double foramina), (ii) a coefficient of roundness consistent with a brachymorphic shape, and (iii) a high prevalence of bony bridges —especially ponticulus posticus (52.9%) and retrotransverse foramen (64.7%). All of these findings may indicate a predisposition to vertebrobasilar insufficiency in the individuals studied. It is hypothesised that external mechanical factors, such as carrying heavy loads on the head, neck, and shoulders due to work activities, along with possible genetic influences related to kinship, may have contributed to the high prevalence of these osseous variants. Full article
Show Figures

Figure 1

14 pages, 7539 KB  
Article
Biomechanical Evaluation of a Spinal Surgical Instrument: A Numerical–Experimental Approach
by Luca Ciriello and Tomaso Villa
Biomechanics 2025, 5(2), 26; https://doi.org/10.3390/biomechanics5020026 - 20 Apr 2025
Viewed by 994
Abstract
Background/Objectives: The conventional practice in clinical settings involves using multi-use surgical instrumentation (SI). However, there is a growing trend towards transforming these multi-use SIs into disposable surgical instruments, driven by economic and environmental considerations without considering the biomechanical aspects. This study focuses on [...] Read more.
Background/Objectives: The conventional practice in clinical settings involves using multi-use surgical instrumentation (SI). However, there is a growing trend towards transforming these multi-use SIs into disposable surgical instruments, driven by economic and environmental considerations without considering the biomechanical aspects. This study focuses on redesigning an SI kit for implanting cervical spinal facet cages. Understanding the boundary conditions (forces, torques, and bending moments) acting on the SI during surgery is crucial for optimizing its design and materials. Therefore, this study aims to develop a measurement system (MS) to record these loads during implantation and validate it through in vitro testing. Methods: A combined numerical–experimental approach was used to design and calibrate the MS. Finite element analysis (FE) was used to optimize the geometry of the sensitive element of the MS. This was followed by the manufacturing phase using 3D printing and then by calibration tests to determine the stiffness of the system. Finally, the MS was used to measure the boundary conditions applied during SI use during in vitro tests on a cervical Sawbone spine. Results: After designing the measurement system (MS) via finite element analysis, calibration tests determined stiffness values of KF = 1.2385 N/(µm/m) (axial compression), KT = −0.0015 Nm/(µm/m) (torque), and KB = 0.0242 Nm/(µm/m) (non-axial force). In vitro tests identified maximum loads of 40.84 N (compression) and 0.11 Nm (torque). Conclusions: This study developed a measurement system to assess surgical implant boundary conditions. The data will support finite element modeling, guiding the optimization of implant design and materials. Full article
(This article belongs to the Section Injury Biomechanics and Rehabilitation)
Show Figures

Graphical abstract

16 pages, 12366 KB  
Case Report
Biomechanical Analysis of Diffuse Idiopathic Skeletal Hyperostosis and Osteoporosis: Vertebral Fracture Risk Evaluation Using Finite Element Modeling with Clinical and Micro-CT Data in an Elderly Donor
by Guido Schröder, Thomas Mittlmeier, Steffi S. I. Falk, Andreas Götz, Josephine Kruse, Estelle Akl, Hannes Kröger, Julian Ramin Andresen, Reimer Andresen, Hans-Christof Schober and Änne Glass
Biomedicines 2024, 12(11), 2496; https://doi.org/10.3390/biomedicines12112496 - 31 Oct 2024
Cited by 1 | Viewed by 2642
Abstract
Introduction: Biomechanical analysis of spinal structures is crucial in the evaluation of injuries, the risk of fracture, and age-related changes. Osteoporotic vertebrae are very fragile and therefore constitute a serious risk, especially in the elderly. Methods: At present, clinically relevant decision making in [...] Read more.
Introduction: Biomechanical analysis of spinal structures is crucial in the evaluation of injuries, the risk of fracture, and age-related changes. Osteoporotic vertebrae are very fragile and therefore constitute a serious risk, especially in the elderly. Methods: At present, clinically relevant decision making in fracture risk assessment is predicated upon finite element analysis (FEA), which utilizes high-resolution computed tomography (CT) scans from clinical practice alongside micro-CT scans from laboratory settings. Of particular interest is the utilization of cortical vertebral body thicknesses, as meticulously measured via micro-CT. The data from a body donation over 80 years old with diffuse idiopathic skeletal hyperostosis (DISH) and osteoporosis (OP) were utilized through FEA to evaluate stresses in cortical and trabecular bone and to predict the stiffness and deformability of the examined vertebral bodies. Results: The investigation revealed a higher density of cortical and cancellous bone in vertebrae affected by DISH. Cortical density was highest in the thoracic section (median 188 µm), while cancellous bone density was 222 HU in the cervical vertebrae. The load on cortical bone increased as we progressed towards the lumbar spine; however, it remained quite constant in cancellous bone. Despite a low bone density, we registered no fractures in vertebrae. Conclusions: The data showed that DISH increased the thickness of the cortical bone and the density of the cancellous bone. The combination of increased cortical and cancellous bone density might reduce the risk of fracture in patients with low bone density. These conclusions emphasize the significance of biomechanical properties in the assessment of fracture risk and have important implications for clinical practice, particularly in relation to the prevention of vertebral fractures in osteoporotic patients with DISH. Full article
(This article belongs to the Special Issue Molecular Mechanisms and Treatments on Musculoskeletal Disorders)
Show Figures

Figure 1

30 pages, 5488 KB  
Review
Rehabilitation to Improve Outcomes after Cervical Spine Surgery: Narrative Review
by Tomoyoshi Sakaguchi, Ahmed Heyder, Masato Tanaka, Koji Uotani, Toshinori Omori, Yuya Kodama, Kazuhiko Takamatsu, Yosuke Yasuda, Atsushi Sugyo, Masanori Takeda and Masami Nakagawa
J. Clin. Med. 2024, 13(18), 5363; https://doi.org/10.3390/jcm13185363 - 10 Sep 2024
Cited by 10 | Viewed by 12909
Abstract
Purpose: The increasing elderly patient population is contributing to the rising worldwide load of cervical spinal disorders, which is expected to result in a global increase in the number of surgical procedures in the foreseeable future. Cervical rehabilitation plays a crucial role in [...] Read more.
Purpose: The increasing elderly patient population is contributing to the rising worldwide load of cervical spinal disorders, which is expected to result in a global increase in the number of surgical procedures in the foreseeable future. Cervical rehabilitation plays a crucial role in optimal recovery after cervical spine surgeries. Nevertheless, there is no agreement in the existing research regarding the most suitable postsurgical rehabilitation program. Consequently, this review assesses the ideal rehabilitation approach for adult patients following cervical spine operations. Materials and Methods: This review covers activities of daily living and encompasses diverse treatment methods, including physiotherapy, specialized tools, and guidance for everyday activities. The review is organized under three headings: (1) historical perspectives, (2) patient-reported functional outcomes, and (3) general and disease-specific rehabilitation. Results: Rehabilitation programs are determined on the basis of patient-reported outcomes, performance tests, and disease prognosis. CSM requires strengthening of the neck and shoulder muscles that have been surgically invaded. In contrast, the CCI requires mobility according to the severity of the spinal cord injury and functional prognosis. The goal of rehabilitation for CCTs, as for CCIs, is to achieve ambulation, but the prognosis and impact of cancer treatment must be considered. Conclusions: Rehabilitation of the cervical spine after surgery is essential for improving physical function and the ability to perform daily activities and enhancing overall quality of life. The rehabilitation process should encompass general as well as disease-specific exercises. While current rehabilitation protocols heavily focus on strengthening muscles, they often neglect the crucial aspect of spinal balance. Therefore, giving equal attention to muscle reinforcement and the enhancement of spinal balance following surgery on the cervical spine is vital. Full article
(This article belongs to the Special Issue Spine Surgery and Rehabilitation: Current Advances and Future Options)
Show Figures

Figure 1

31 pages, 4570 KB  
Perspective
Advancements in Custom 3D-Printed Titanium Interbody Spinal Fusion Cages and Their Relevance in Personalized Spine Care
by Kai-Uwe Lewandrowski, Shaleen Vira, John C. Elfar and Morgan P. Lorio
J. Pers. Med. 2024, 14(8), 809; https://doi.org/10.3390/jpm14080809 - 30 Jul 2024
Cited by 22 | Viewed by 8205
Abstract
3D-printing technology has revolutionized spinal implant manufacturing, particularly in developing personalized and custom-fit titanium interbody fusion cages. These cages are pivotal in supporting inter-vertebral stability, promoting bone growth, and restoring spinal alignment. This article reviews the latest advancements in 3D-printed titanium interbody fusion [...] Read more.
3D-printing technology has revolutionized spinal implant manufacturing, particularly in developing personalized and custom-fit titanium interbody fusion cages. These cages are pivotal in supporting inter-vertebral stability, promoting bone growth, and restoring spinal alignment. This article reviews the latest advancements in 3D-printed titanium interbody fusion cages, emphasizing their relevance in modern personalized surgical spine care protocols applied to common clinical scenarios. Furthermore, the authors review the various printing and post-printing processing technologies and discuss how engineering and design are deployed to tailor each type of implant to its patient-specific clinical application, highlighting how anatomical and biomechanical considerations impact their development and manufacturing processes to achieve optimum osteoinductive and osteoconductive properties. The article further examines the benefits of 3D printing, such as customizable geometry and porosity, that enhance osteointegration and mechanical compatibility, offering a leap forward in patient-specific solutions. The comparative analysis provided by the authors underscores the unique challenges and solutions in designing cervical, and lumbar spine implants, including load-bearing requirements and bioactivity with surrounding bony tissue to promote cell attachment. Additionally, the authors discuss the clinical outcomes associated with these implants, including the implications of improvements in surgical precision on patient outcomes. Lastly, they address strategies to overcome implementation challenges in healthcare facilities, which often resist new technology acquisitions due to perceived cost overruns and preconceived notions that hinder potential savings by providing customized surgical implants with the potential for lower complication and revision rates. This comprehensive review aims to provide insights into how modern 3D-printed titanium interbody fusion cages are made, explain quality standards, and how they may impact personalized surgical spine care. Full article
Show Figures

Figure 1

13 pages, 7193 KB  
Article
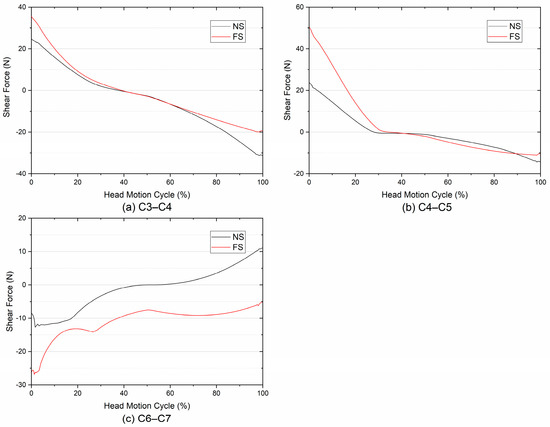
Estimation of Cervical Spinal Loading and Internal Motion at Adjacent Segments after C5–C6 Fusion Using a Musculoskeletal Multi-Body Dynamics Model during the Head Flexion–Extension Movement
by Hao Diao, Hua Xin and Zhongmin Jin
Appl. Sci. 2024, 14(1), 261; https://doi.org/10.3390/app14010261 - 28 Dec 2023
Viewed by 4802
Abstract
Cervical spinal fusion is the standard of care for treating intractable spinal diseases. However, frequent adjacent segment disease (ASD) has recently drawn a great deal of attention among clinicians and researchers. At present, the etiology of ASD remains controversial. The investigation of cervical [...] Read more.
Cervical spinal fusion is the standard of care for treating intractable spinal diseases. However, frequent adjacent segment disease (ASD) has recently drawn a great deal of attention among clinicians and researchers. At present, the etiology of ASD remains controversial. The investigation of cervical spine biomechanics after fusion may contribute to understanding the causes of ASD. In the present study, a cervical spinal musculoskeletal fusion model, with multi-body dynamics method, was established. Dynamic head flexion–extension movements were simulated for both a fusion subject and a normal subject. The cervical spinal loading pattern, load sharing ratios, and translations of instant centers of the rotation at adjacent segments were then predicted. The average intervertebral compressive forces, shear forces, and facet joint forces against the intervertebral angle were also obtained. By comparison, some obvious differences in cervical spinal loading patterns were found between the fusion subject and the normal subject. Fusion surgery would alter the postoperative biomechanical surrounding of the cervical spine, especially the adjacent segments. These changes might affect the intervertebral disc-bearing capacity, and even weaken the physiological structure. From a purely biomechanical perspective, the cervical spinal fusion model can contribute to comprehending the etiology of ASD after spinal fusion. Full article
Show Figures

Figure 1

15 pages, 8203 KB  
Article
Numerical Evaluation Using the Finite Element Method on Frontal Craniocervical Impact Directed at Intervertebral Disc Wear
by Alfonso Trejo-Enriquez, Guillermo Urriolagoitia-Sosa, Beatriz Romero-Ángeles, Miguel Ángel García-Laguna, Martín Guzmán-Baeza, Jacobo Martínez-Reyes, Yonatan Yael Rojas-Castrejon, Francisco Javier Gallegos-Funes, Julián Patiño-Ortiz and Guillermo Manuel Urriolagoitia-Calderón
Appl. Sci. 2023, 13(21), 11989; https://doi.org/10.3390/app132111989 - 2 Nov 2023
Cited by 3 | Viewed by 2555
Abstract
Traumatic cervical pathology is an injury that emerges due to trauma or being subjected to constant impact loading, affecting the ligaments, muscles, bones, and spinal cord. In contact sports (the practice of American football, karate, boxing, and motor sports, among others), the reporting [...] Read more.
Traumatic cervical pathology is an injury that emerges due to trauma or being subjected to constant impact loading, affecting the ligaments, muscles, bones, and spinal cord. In contact sports (the practice of American football, karate, boxing, and motor sports, among others), the reporting of this type of injury is very common. Therefore, it is imperative to have preventive measures so players do not suffer from such injuries, since bad practices or accidents can put their lives at risk. This research evaluated cervical and skull biomechanical responses during a frontal impact, taking into consideration injury caused by wear on the intervertebral disc. Intervertebral disc wear is a degenerative condition that affects human mobility; it is common in people who practice contact sports and it can influence the response of the cervical system to an impact load. The main objective of this work is to evaluate the effects caused by impact loading and strains generated throughout the bone structure (composed of the skull and the cervical spine). The numerical evaluation was developed using the finite element method and the construction of the biomodel from computational axial tomography. In addition, the numerical simulation allowed us to observe how the intervertebral disc’s wear affected the cervical region’s biomechanical response. In addition, a comparison could be made between a healthy system and a disc that had suffered wear. Finally, the analysis provided information valuable to understanding how an impact, force-related injury can be affected and enabled us to propose better physiotherapeutic procedures. Full article
(This article belongs to the Special Issue Advanced Imaging in Orthopedic Biomechanics)
Show Figures

Figure 1

11 pages, 3724 KB  
Article
Finite Element Analysis of Head–Neck Kinematics in Rear-End Impact Conditions with Headrest
by Yuan Wang, Hanhui Jiang, Ee Chon Teo and Yaodong Gu
Bioengineering 2023, 10(9), 1059; https://doi.org/10.3390/bioengineering10091059 - 8 Sep 2023
Cited by 9 | Viewed by 2857
Abstract
A detailed three-dimensional (3D) head–neck (C0–C7) finite element (FE) model was developed and used to dictate the motions of each cervical spinal segment under static physiological loadings of flexion and extension with a magnitude of 1.0 Nm and rear-end impacts. In this dynamic [...] Read more.
A detailed three-dimensional (3D) head–neck (C0–C7) finite element (FE) model was developed and used to dictate the motions of each cervical spinal segment under static physiological loadings of flexion and extension with a magnitude of 1.0 Nm and rear-end impacts. In this dynamic study, a rear-end impact pulse was applied to C7 to create accelerations of 4.5 G and 8.5 G. The predicted segmental motions and displacements of the head were in agreement with published results under physiological loads of 1.0 Nm. Under rear-end impact conditions, the effects of peak pulse acceleration and headrest angles on the kinematic responses of the head–neck complex showed rates of increase/decrease in the rotational motion of various cervical spinal segments that were different in the first 200 ms. The peak flexion rotation of all segments was lower than the combined ROM of flexion and extension. The peak extension rotation of all segments showed variation compared to the combined ROM of flexion and extension depending on G and the headrest angle. A higher acceleration of C7 increased the peak extension angle of lower levels, but the absolute increase was restricted by the distance between the head and the headrest. A change in the headrest angle from 45° to 30° resulted in a change in extension rotation at the lower C5–C6 segments to flexion rotation, which further justified the effectiveness of having distance between the head and the headrest. This study shows that the existing C0-C7 FE model is efficient at defining the gross reactions of the human cervical spine under both physiological static and simulated whiplash circumstances. The fast rate of changes in flexion and extension rotation of various segments may result in associated soft tissues and bony structures experiencing tolerances beyond their material characteristic limits. It is suggested that a proper location and angle of the headrest could effectively prevent the cervical spine from injury in traumatic vehicular accidents. Full article
Show Figures

Figure 1

14 pages, 1372 KB  
Article
A Novel Finite Element Model for the Study of Harmful Vibrations on the Aging Spine
by Shivam Verma, Gurpreet Singh and Arnab Chanda
Computation 2023, 11(5), 93; https://doi.org/10.3390/computation11050093 - 5 May 2023
Cited by 2 | Viewed by 2439
Abstract
The human spine is susceptible to a wide variety of adverse consequences from vibrations, including lower back discomfort. These effects are often seen in the drivers of vehicles, earth-moving equipment, and trucks, and also in those who drive for long hours in general. [...] Read more.
The human spine is susceptible to a wide variety of adverse consequences from vibrations, including lower back discomfort. These effects are often seen in the drivers of vehicles, earth-moving equipment, and trucks, and also in those who drive for long hours in general. The human spine is composed of vertebrae, discs, and tissues that work together to provide it with a wide range of movements and significant load-carrying capability needed for daily physical exercise. However, there is a limited understanding of vibration characteristics in different age groups and the effect of vibration transmission in the spinal column, which may be harmful to the different sections. In this work, a novel finite element model (FEM) was developed to study the variation of vibration absorption capacity due to the aging effect of the different sections of the human spine. These variations were observed from the first three natural frequencies of the human spine structure, which were obtained by solving the eigenvalue problem of the novel finite element model for different ages. From the results, aging was observed to lead to an increase in the natural frequencies of all three spinal segments. As the age increased beyond 30 years, the natural frequency significantly increased for the thoracic segment, compared to lumber and cervical segments. A range of such novel findings indicated the harmful frequencies at which resonance may occur, causing spinal pain and possible injuries. This information would be indispensable for spinal surgeons for the prognosis of spinal column injury (SCI) patients affected by harmful vibrations from workplaces, as well as manufacturers of automotive and aerospace equipment for designing effective dampers for better whole-body vibration mitigation. Full article
(This article belongs to the Special Issue Application of Finite Element Methods)
Show Figures

Figure 1

13 pages, 4473 KB  
Article
Relationship between Intervertebral Disc Compression Force and Sagittal Spinopelvic Lower Limb Alignment in Elderly Women in Standing Position with Patient-Specific Whole Body Musculoskeletal Model
by Takanori Miura, Michio Hongo, Yuji Kasukawa, Hiroaki Kijima, Daisuke Kudo, Kimio Saito, Ryota Kimura, Takehiro Iwami and Naohisa Miyakoshi
Int. J. Environ. Res. Public Health 2022, 19(24), 16452; https://doi.org/10.3390/ijerph192416452 - 8 Dec 2022
Cited by 4 | Viewed by 3299
Abstract
The intervertebral disc loading based on compensated standing posture in patients with adult spinal deformity remains unclear. We analyzed the relationship between sagittal alignment and disc compression force (Fm). In 14 elderly women, the alignment of the sagittal spinopelvic and [...] Read more.
The intervertebral disc loading based on compensated standing posture in patients with adult spinal deformity remains unclear. We analyzed the relationship between sagittal alignment and disc compression force (Fm). In 14 elderly women, the alignment of the sagittal spinopelvic and lower extremities was measured. Fm was calculated using the Anybody Modeling System. Patients were divided into low sagittal vertical axis (SVA) and high SVA groups. Comparisons between the two groups were performed and the relationship between the Fm and each parameter was examined using Spearman’s correlation coefficient (r). The mean lumbar Fm in the high SVA group was 67.6%; significantly higher than that in the low SVA group (p = 0.046). There was a negative correlation between cervical Fm with T1 slope (r = −0.589, p = 0.034) and lumbar Fm with lumbar lordosis (r = −0.566, p = 0.035). Lumbar Fm was positively correlated with center of gravity-SVA (r = 0.615, p = 0.029), T1 slope (r = 0.613, p = 0.026), and SVA (r = 0.612, p = 0.020). The results suggested sagittal malalignment increased the load on the thoracolumbar and lower lumbar discs and was associated with cervical disc loading. Full article
(This article belongs to the Section Aging)
Show Figures

Figure 1

Back to TopTop