Sign in to use this feature.

Years

Between: -

Subjects

remove_circle_outline
remove_circle_outline
remove_circle_outline
remove_circle_outline
remove_circle_outline
remove_circle_outline
remove_circle_outline
remove_circle_outline
remove_circle_outline

Journals

remove_circle_outline
remove_circle_outline
remove_circle_outline
remove_circle_outline
remove_circle_outline
remove_circle_outline
remove_circle_outline
remove_circle_outline
remove_circle_outline
remove_circle_outline
remove_circle_outline
remove_circle_outline
remove_circle_outline
remove_circle_outline
remove_circle_outline
remove_circle_outline
remove_circle_outline
remove_circle_outline
remove_circle_outline
remove_circle_outline
remove_circle_outline
remove_circle_outline
remove_circle_outline
remove_circle_outline
remove_circle_outline
remove_circle_outline
remove_circle_outline
remove_circle_outline
remove_circle_outline
remove_circle_outline

Article Types

Countries / Regions

remove_circle_outline
remove_circle_outline
remove_circle_outline
remove_circle_outline
remove_circle_outline
remove_circle_outline
remove_circle_outline

Search Results (4,625)

Search Parameters:
Keywords = carcinogen

Order results
Result details
Results per page
Select all
Export citation of selected articles as:
18 pages, 938 KB  
Article
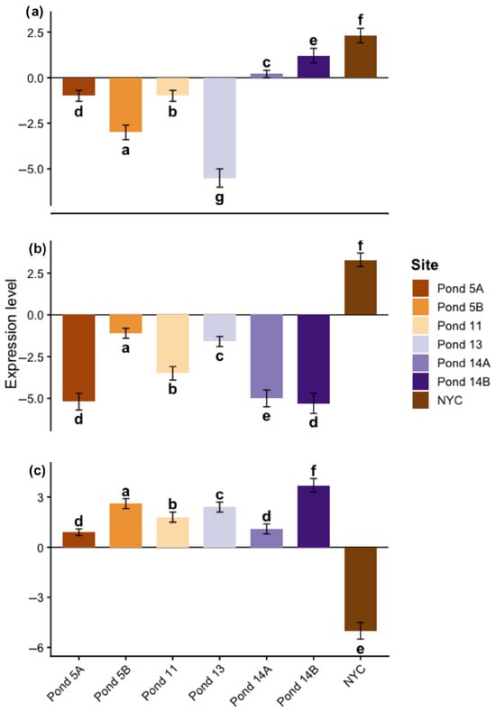
Spatial Land Use Dynamics Driving Molecular Stress and Unacceptable Human Health Risks in Standardized Catfish Aquaculture Systems
by Ukam Uno, Worapong Singchat, Thitipong Panthum, Aingorn Chaiyes, Ekerette Ekerette, Uduak Edem, Saharuetai Jeamsripong, Anurak Uchuwittayakul, Weekit Sirisaksoontorn, Chomdao Sinthuvanich and Kornsorn Srikulnath
Environments 2026, 13(4), 231; https://doi.org/10.3390/environments13040231 (registering DOI) - 21 Apr 2026
Abstract
Aquaculture sustainability in rapidly urbanizing regions is increasingly threatened by heavy metal contamination originating from complex anthropogenic land-use patterns. This study used an integrated model to evaluate the molecular-to-human health continuum in hybrid catfish (Clarias gariepinus × Clarias macrocephalus) sourced from [...] Read more.
Aquaculture sustainability in rapidly urbanizing regions is increasingly threatened by heavy metal contamination originating from complex anthropogenic land-use patterns. This study used an integrated model to evaluate the molecular-to-human health continuum in hybrid catfish (Clarias gariepinus × Clarias macrocephalus) sourced from Pathum Thani, Thailand’s primary aquaculture hub. We integrated geospatial land-use data with heavy-metal quantification, oxidative-stress biomarkers, and transcriptional profiling to assess how canal-specific water quality modulates fish health and consumer risk. The results revealed significant spatial heterogeneity in metal concentrations, corresponding to the province’s 27% urban–industrial land-use footprint. While water quality generally met regulatory limits, a pronounced aqueous–biotic discrepancy, “bioaccumulation paradox” was identified at certain sites, where muscle and hepatic tissues exhibited lead (Pb), chromium (Cr), and nickel (Ni) levels that substantially exceeded international safety standards. Biochemical and molecular analyses provided functional evidence of physiological distress, specifically significantly elevated malondialdehyde (MDA) levels, and the transcriptional modulation of cat, cyp1a, gpx, met, tnf, and star genes indicated that chronic metal exposure overwhelmed antioxidant defenses and induced potential endocrine disruption. Moreover, human health risk assessments revealed that the hazard index (HI) and target cancer risk (TR) exceeded unacceptable thresholds at multiple hotspots, indicating that Cr is a primary carcinogenic driver. These findings highlight a “GAP Paradox,” where farm-level certifications are insufficient to mitigate risks posed by the surrounding canal network. This study presents vital evidence-based risk profiles that necessitate a transition to a spatially based regulatory framework, incorporating geospatial land-use monitoring into national food safety policies to protect both aquaculture viability and public health. Full article
Show Figures

Figure 1

17 pages, 11390 KB  
Article
Dual Oncogenic Mechanisms of Clonorchis sinensis-Derived Csi-miR-125a in Promoting Cholangiocarcinoma Progression via BAK1 Targeting and ERK Activation
by Aoxun Wu, Anyuan Xu, Linya Huang, Shu Fang, Chunyan Xu, Chenlin Huang, Xiaowen Pan, Meiyu Li, Zifeng Zhong, Yinjuan Wu and Xuerong Li
Parasitologia 2026, 6(2), 22; https://doi.org/10.3390/parasitologia6020022 (registering DOI) - 21 Apr 2026
Abstract
Cholangiocarcinoma (CCA) is an aggressive malignancy with a poor prognosis that is strongly associated with chronic Clonorchis sinensis (C. sinensis, Cs) infection; however, its underlying molecular mechanisms remain elusive. Recent studies suggest that C. sinensis-derived extracellular vesicles (Cs [...] Read more.
Cholangiocarcinoma (CCA) is an aggressive malignancy with a poor prognosis that is strongly associated with chronic Clonorchis sinensis (C. sinensis, Cs) infection; however, its underlying molecular mechanisms remain elusive. Recent studies suggest that C. sinensis-derived extracellular vesicles (CsEVs) play a crucial role in host–parasite interactions and in shaping the tumor microenvironment during infection. Acting as key delivery vehicles, these CsEVs can transfer specific functional molecules, such as microRNAs (miRNAs), to host cholangiocytes, thereby modulating cellular behaviors—a process that may represent a significant pathway in parasite-induced carcinogenesis. Despite this, the specific miRNAs shuttled by CsEVs and their concrete functions and mechanisms in driving CCA proliferation and metastasis remain largely unexplored. To this end, we investigated Csi-miR-125a, a miRNA abundantly expressed in CsEVs, aiming to systematically elucidate its dual regulatory functions in CCA progression. Our findings offer novel mechanistic insights into host–parasite crosstalk, further the understanding of CCA pathogenesis, and point to potential therapeutic avenues. Using gain-and loss-of-function approaches in RBE and HuCCT1 cell lines, we demonstrated that Csi-miR-125a promotes cell proliferation by accelerating cell-cycle progression and suppressing apoptosis through direct targeting of BAK1. Concurrently, Csi-miR-125a enhances the migratory and invasive capacities of CCA cells via activation of the ERK signaling pathway. In a BALB/c nude mouse lung metastasis model, CsEVs depleted of Csi-miR-125a significantly inhibited pulmonary metastasis. Collectively, This study found that Csi-miR-125a derived from C. sinensis can regulate apoptosis and cell cycle progression by targeting BAK1, thereby promoting the proliferation of cholangiocarcinoma cells; meanwhile, it enhances cell migration and invasion by activating the ERK signaling pathway. These results suggest that Csi-miR-125a participates in and promotes the malignant progression of CCA. However, given its high homology with human endogenous miR-125a, its function may partially overlap with host endogenous miRNAs, rather than representing a completely independent carcinogenic effect. These findings provide mechanistic insights into host–parasite interactions during C. sinensis infection and lay a theoretical foundation for subsequent targeted intervention studies. Full article
Show Figures

Figure 1

15 pages, 3311 KB  
Article
A Novel Genetic Engineering Approach for DON Detoxification Using a Yeast-Based Multi-Enzyme System
by Rong Li, Jia Song, Bo Sun, Aike Li, Shiqi Zou, Ming Liu, Linshu Jiang, Jingjing Shi, Qingming Cao, Chen Zhao and Weiwei Wang
Biology 2026, 15(8), 654; https://doi.org/10.3390/biology15080654 (registering DOI) - 21 Apr 2026
Abstract
Deoxynivalenol (DON), a Group III carcinogenic mycotoxin frequently detected in cereals and animal-derived food products, poses serious health risks to animals and humans. In this study, we developed a genetically engineered Saccharomyces cerevisiae strain as a proof-of-concept platform for DON detoxification. The yeast [...] Read more.
Deoxynivalenol (DON), a Group III carcinogenic mycotoxin frequently detected in cereals and animal-derived food products, poses serious health risks to animals and humans. In this study, we developed a genetically engineered Saccharomyces cerevisiae strain as a proof-of-concept platform for DON detoxification. The yeast was engineered to co-express two detoxification genes, YTDepA and YTDepB (homologs of DepA and DepB from Devosia mutans 17-2-E-8) originally identified in Youhaiella tibetensis. Concurrently, the pyrroloquinoline quinone (PQQ) biosynthesis gene cluster from Klebsiella pneumoniae was integrated to supply the essential cofactor. Gene expression was verified by qRT-PCR and Western blot. The recombinant strain demonstrated a significant 13.98% detoxification of DON after 72 h of fermentation (p < 0.05), as confirmed by HPLC–MS, while the strain expressing only the PQQ cluster showed no detoxification activity. This study establishes an integrated yeast cell factory for DON detoxification and highlights key limitations to guide future optimization efforts. Full article
(This article belongs to the Section Microbiology)
Show Figures

Graphical abstract

21 pages, 8695 KB  
Article
A Comparative Life Cycle Assessment of T-Shirt Production Using from Viscose, Lyocell, Cotton, and Polyester
by Naycari Forfora, Rhonald Ortega, Isabel Urdaneta, Ivana Azuaje, Ryen Frazier, Mariana Lendewig, Hasan Jameel, Richard A. Venditti, Michael Hummel and Ronalds Gonzalez
Sustainability 2026, 18(8), 4070; https://doi.org/10.3390/su18084070 - 20 Apr 2026
Abstract
This study presents the first cradle-to-gate life cycle assessment (LCA) of T-shirt production using viscose and Lyocell fibers, benchmarked against cotton and polyester under consistent system boundaries. The analysis covers spinning, knitting, wet processing, garment assembly, and regionalized energy supply. Results show that [...] Read more.
This study presents the first cradle-to-gate life cycle assessment (LCA) of T-shirt production using viscose and Lyocell fibers, benchmarked against cotton and polyester under consistent system boundaries. The analysis covers spinning, knitting, wet processing, garment assembly, and regionalized energy supply. Results show that cotton T-shirts exhibit the lowest global warming potential (14.1 kg CO2eq/kg) but the highest water demand (2.9 m3/kg) in China. Polyester garments, although less water-intensive, contribute significantly to plastic accumulation (1.0 kg/kg shirt) compared to cellulose-based fibers (0.1 kg/kg shirt). Within man-made cellulose fibers, Lyocell generally outperforms viscose in toxicity-related categories—reducing freshwater ecotoxicity by 35% and human non-carcinogenic toxicity by 62%—thanks to its closed-loop solvent recovery. However, Lyocell also shows the highest carbon footprint (21.6 kg CO2eq/kg) unless produced in regions with cleaner energy mixes. Regional sensitivity analysis indicates that shifting production from China to Brazil could reduce global warming impacts by up to 38%. Overall, these results highlight the trade-offs across fiber types and demonstrate the importance of both material choice and production geography in driving sustainability within textile supply chains. Full article
(This article belongs to the Section Environmental Sustainability and Applications)
Show Figures

Graphical abstract

17 pages, 6524 KB  
Article
Chitosan Aerogel Composited with Cu-Functionalized UiO-66-NO2 as Recyclable Adsorption of Primary Aromatic Amines in Wastewater
by Chenyang Meng, Zhongxi Lu, Gengli Huang and Zhouping Wang
Water 2026, 18(8), 971; https://doi.org/10.3390/w18080971 - 19 Apr 2026
Viewed by 64
Abstract
Primary aromatic amines (PAAs), such as 4,4′-methylenedianiline (MDA) and 4-chloroaniline (4-CA), are toxic, carcinogenic, and persistent pollutants widely detected in aquatic environments. To address this issue, UiO-66 was modified through nitro functionalization, copper doping, and defect regulation, and further integrated with chitosan (CS) [...] Read more.
Primary aromatic amines (PAAs), such as 4,4′-methylenedianiline (MDA) and 4-chloroaniline (4-CA), are toxic, carcinogenic, and persistent pollutants widely detected in aquatic environments. To address this issue, UiO-66 was modified through nitro functionalization, copper doping, and defect regulation, and further integrated with chitosan (CS) to construct a composite aerogel (CS@CuUiO-66-NO2) for the removal of MDA and 4-CA from wastewater. The adsorbent demonstrated relatively fast adsorption kinetics (MDA: 6 h; 4-CA: 4 h) and high adsorption capacities (MDA: 643.74 mg·g−1; 4-CA: 491.54 mg·g−1), showing improved performance compared to pristine UiO-66 and many previously reported adsorbents under similar conditions. The enhanced adsorption performance is likely attributed to the synergistic effects of multiple interactions, including hydrogen bonding, π-π interactions, and possible coordination interactions between functional groups of the adsorbent and PAAs. Moreover, the adsorbent maintained good adsorption performance after five adsorption–desorption cycles, with only a slight decrease in efficiency (~8%), and exhibited limited interference from coexisting anions. Overall, this study presents a feasible strategy for designing porous composite adsorbents with favorable reusability for potential applications in aqueous pollutant remediation. Full article
(This article belongs to the Special Issue Adsorption Technology in Water and Wastewater Treatment)
Show Figures

Graphical abstract

16 pages, 818 KB  
Article
Delineating the Role of Direct and Indirect Photolysis on Trichloroacetaldehyde (TCAL) and Dichloroacetonitrile (DCAN) in Water Degradation by Ultraviolet Irradiation
by Kiattisak Nakboon, Jenyuk Lohwacharin and On-anong Larpparisudthi
Water 2026, 18(8), 970; https://doi.org/10.3390/w18080970 - 19 Apr 2026
Viewed by 64
Abstract
Haloacetaldehydes (HALs) and haloacetonitriles (HANs) are groups of carcinogenic disinfection by products (DBPs) present in water supplies, of which trichloroacetaldehyde (TCAL) and dichloroacetonitrile (DCAN) are frequently detected. The efficiency of ultraviolet (UV) irradiation processes in the removal of DBPs depends strongly on the [...] Read more.
Haloacetaldehydes (HALs) and haloacetonitriles (HANs) are groups of carcinogenic disinfection by products (DBPs) present in water supplies, of which trichloroacetaldehyde (TCAL) and dichloroacetonitrile (DCAN) are frequently detected. The efficiency of ultraviolet (UV) irradiation processes in the removal of DBPs depends strongly on the contribution of direct and indirect photolysis. Significant gaps exist in research regarding kinetics of photodegradation in multi-solute systems. Therefore, in this study the efficiency of vacuum UV (VUV) and UV-C processes was tested on batch photodegradation with synthetic waters containing either TCAL or DCAN and bi-solutes. A radical scavenger test was performed to determine the presence of OH radicals. The VUV (185 + 254 nm) degraded TCAL and DCAN more effectively than UV-C (254 nm), achieving absolute elimination after 30 min (>99.9%, 113 mW/cm2) for TCAL, but only an 84% reduction in DCAN after 120 min of irradiation at fluence of >450 mW/cm2. The experimental results demonstrate that the main mechanism in TCAL reduction was indirect photolysis, but for DCAN it was direct photolysis by VUV photolysis. When indirect photolysis dominated, HALs and HANs in the mixture competed for OH radicals under VUV photolysis. A degradation pathway study indicated that TCAL was degraded and transformed to formic acid, while DCAN was dechlorinated by OH radicals. Overall, this study confirms that the VUV process is more effective than UV-C in photodegrading carbonaceous DBPs. Full article
(This article belongs to the Section Wastewater Treatment and Reuse)
25 pages, 4688 KB  
Article
Structural Characterization, Toxicity Assessment and Molecular Modeling of Forced Degradation Products of Siponimod
by Yajing Liang, Tingting Zhang, Dongfeng Zhang, Bo Jin and Chen Ma
Int. J. Mol. Sci. 2026, 27(8), 3630; https://doi.org/10.3390/ijms27083630 - 18 Apr 2026
Viewed by 107
Abstract
Siponimod, a selective sphingosine 1-phosphate (S1P) receptor modulator, represents a next-generation therapeutic drug for active secondary progressive multiple sclerosis. This study conducted in-depth forced degradation studies of siponimod in solid state subjected to acidic, alkaline, oxidative, photolytic, and thermal conditions, in compliance with [...] Read more.
Siponimod, a selective sphingosine 1-phosphate (S1P) receptor modulator, represents a next-generation therapeutic drug for active secondary progressive multiple sclerosis. This study conducted in-depth forced degradation studies of siponimod in solid state subjected to acidic, alkaline, oxidative, photolytic, and thermal conditions, in compliance with ICH guidelines Q1A (R2) and Q3A (R2). An HPLC method was developed to quantify siponimod and separate its degradation products (DPs). The DPs were characterized using LC-HRMS/MS and LC-MSn techniques. Moreover, the toxicological profiles of siponimod and its DPs were evaluated through the in silico tools ProTox 3.0 and ADMETlab 3.0, with molecular docking and dynamics simulations assessing their binding to the S1P1 receptor. Siponimod was stable to light but degraded under acidic, alkaline, oxidative, and thermal stress, producing five products: DP-1 (acidic), DP-2/3 (oxidative), DP-4 (hydrolytic), and DP-5 (thermal). The toxicity prediction suggested that neither siponimod nor its DPs exhibited carcinogenic or mutagenic potential, and the molecular modeling analysis revealed that DP-2 and DP-3 demonstrated favorable binding affinities, with stable dynamic profiles and thermodynamic properties that closely resembled those of siponimod. As far as we know, this is the first study on the structural elucidation of the DPs of siponimod by LC-HRMS/MS and LC-MSn. Full article
(This article belongs to the Section Molecular Pharmacology)
Show Figures

Graphical abstract

31 pages, 793 KB  
Review
The Epigenetic Landscape and Exposome of Non-Melanoma Skin Cancer: Mechanisms, Biomarkers, and Therapeutic Perspectives
by Adrian Albulescu, Alina Fudulu, Iulia Virginia Constantin (Iancu), Adriana Plesa, Irina Huica and Anca Botezatu
Genes 2026, 17(4), 477; https://doi.org/10.3390/genes17040477 - 17 Apr 2026
Viewed by 98
Abstract
Accounting for over 1.2 million new diagnoses worldwide in 2022, non-melanoma skin cancer (NMSC) represents the most common human cancer, predominantly manifesting as basal cell carcinoma (BCC) and squamous cell carcinoma (SCC). NMSC serves as a powerful natural model for studying how environmental [...] Read more.
Accounting for over 1.2 million new diagnoses worldwide in 2022, non-melanoma skin cancer (NMSC) represents the most common human cancer, predominantly manifesting as basal cell carcinoma (BCC) and squamous cell carcinoma (SCC). NMSC serves as a powerful natural model for studying how environmental exposure, the exposome, reprograms the epigenome to drive carcinogenesis. Chronic ultraviolet radiation (UVR), the dominant risk factor, induces DNA damage and inflammation that dysregulate epigenetic enzymes (e.g., DNMTs, HDACs). These effects are layered with perturbations from β-HPV infection and cutaneous dysbiosis, altering DNA methylation, histone modifications, and non-coding RNA and miRNA expression in a multistep carcinogenic process. This review synthesizes the central role of epigenetic regulation as the critical interface between genetic susceptibility and cumulative exposome factors in NMSC pathogenesis. We integrate how UVR, HPV, and inflammation converge to remodel the keratinocyte epigenome. Finally, we evaluate the translational potential of this knowledge for refined risk stratification through epigenetic biomarkers and discuss emerging therapeutic strategies, including epidrugs, that target these dysregulated pathways for advanced NMSC management. Full article
(This article belongs to the Special Issue Epigenetic Regulation in Tumors)
57 pages, 4523 KB  
Review
Genetic Polymorphisms and Antioxidant Reactions in Prostate Cancer
by Piotr Kamiński, Joanna Dróżdż-Afelt, Edward Jacek Gorzelańczyk, Jędrzej Baszyński, Halina Tkaczenko, Martin Hromada, Jarosław Nuszkiewicz, Alina Woźniak and Natalia Kurhaluk
Int. J. Mol. Sci. 2026, 27(8), 3569; https://doi.org/10.3390/ijms27083569 - 16 Apr 2026
Viewed by 168
Abstract
This review aggregates the latest reports on the role of environmental factors in the male reproductive system and cancer development. We analyzed environmental pollution-related studies and disorders of mechanisms responsible for defense against the impact of xenobiotics on prostate cancer. We focused on [...] Read more.
This review aggregates the latest reports on the role of environmental factors in the male reproductive system and cancer development. We analyzed environmental pollution-related studies and disorders of mechanisms responsible for defense against the impact of xenobiotics on prostate cancer. We focused on polymorphisms that, when exposed to environmental stressors, might exacerbate an organism’s defense mechanisms against the effects of xenobiotics. It is well known that environmental factors, such as toxic heavy metal pollution, xenobiotic exposure, and undue and differentiated stressors, affect the human reproductive system. There were many studies suggesting an association between these factors and prostate cancer development, but there are still no unambiguous or conclusive results. Investigations of specific marker changes that occur in response to varied environmental stressors are also critical to mutual relations. They focus on the influence of chemical element destabilization and heavy metal pollution on organisms and the environment. Simultaneously, antioxidant enzymatic mechanisms in conditions of anthropogenic impact and the influence of polymorphisms in genes involved in genetic material damage under stress conditions were also studied. This review aims to provide essential data suggesting the role of environmental factors in the initiation and development of carcinogenic processes in the male reproductive system based on prostate cancer cases. It further clarifies this field’s current needs and research directions. It is possible to conclude that there is a relationship between the studied polymorphisms and antioxidant mechanisms, lipoperoxidation, and trace element concentrations in the blood of men with prostate cancer. The results indicate the need to consider environmental factors as necessary in assessing the risks resulting from exposure to oxidative stress in prostate cancer patients. Available data suggest the existence of interactions between exposure to environmental stressors and increased susceptibility to cancers, including male reproductive system cancers. Differentiated chemical elements introduced into the body may play a significant role. Individuals with cancer have a disturbed antioxidant enzyme status, which could be a basis for decreased defense against carcinogenic factors or the effect of disturbed body balance caused by the carcinogenic process. In turn, studies of repair gene polymorphism may indicate disorders of proteins needed for the organism’s defense against xenobiotics. The analysis presented provides data for conclusive population-based studies of the impact of environmental factors on the carcinogenic process in the male reproductive system. This review provides a basis for constructing current needs and the research direction in the discussed field of knowledge. This will allow for a precise study of the explanation of possible multilateral interactions between exposure to varied environmental stressors and the increased incidence of male reproductive system cancer at present. Full article
22 pages, 1673 KB  
Article
Hidden Hazards: Assessment of Exposure Risks from 3-Monochloropropane-1,2-diol Ester (3-MCPDE) and Glycidyl Ester (GE) Consumption Among Malaysian Consumers
by Siti Hajar Muhamad Rosli, Nurul Izzah Ahmad, Nurul Hidayati Surawi, Rohana Ani, Nor Kamilah Mohamad Alwi and Ami Fazlin Syed Mohamed
Toxics 2026, 14(4), 331; https://doi.org/10.3390/toxics14040331 - 16 Apr 2026
Viewed by 221
Abstract
3-Monochloropropanediol esters (3-MCPDEs) and glycidyl esters (GEs) are food processing contaminants that raise significant food safety concerns due to their established potential for carcinogenicity. This study aimed to determine the occurrence of 3-MCPDEs and GEs in common Malaysian food items and to evaluate [...] Read more.
3-Monochloropropanediol esters (3-MCPDEs) and glycidyl esters (GEs) are food processing contaminants that raise significant food safety concerns due to their established potential for carcinogenicity. This study aimed to determine the occurrence of 3-MCPDEs and GEs in common Malaysian food items and to evaluate the associated health risks through dietary exposure assessment. A total of 251 samples, consisting of retail products and cooked/prepared meals, were analysed using GC-MS. The food consumption data were obtained from published national food surveys. Risk was characterised using health-based guidance values (HBGVs) and margin of exposure (MOE), lifetime cancer risk (LCR), and disability-adjusted life year (DALY) estimates. 3-MCPDE was detected in 94.8% of samples (range: ND to 7.77 mg/kg), while GE was found in 83.3% of samples (range: ND to 9.41 mg/kg). The highest levels were consistently observed in refined vegetable fats and oil products, specifically shortening (3-MCPDE: 3.53 [IQR 2.76–5.16] mg/kg; GE: 4.78 [IQR 3.52–6.14] mg/kg) and margarine (3-MCPDE: 2.50 [IQR 1.11–3.59] mg/kg; GE: 3.60 [IQR 1.18–5.26] mg/kg). Exposure assessment identified fried rice as the largest contributor to total daily intake (3-MCPDE: 3.16 μg/kg BW/day; GE: 1.36 μg/kg BW/day). Total exposure to 3-MCPDE exceeded the provisional maximum tolerable daily intake (PMTDI) established by JECFA by 39.5%, indicating a potential health concern. Low MOE estimates (<10,000) for 3-MCPDE and GE were determined for several food categories, including snacks, kuih-muih, and fried cooked dishes. Chronic GE exposure was estimated to cause up to 6.9 (for mean consumers) and 24.9 (for high consumers) cancer cases per year, with total the DALYs quantified at 124.2 years lost per 100,000 of the population. These data represent a worst-case scenario; however, risks could be minimised through continued surveillance, mitigation strategies by relevant authorities regarding food processing, and informed dietary choices. Full article
(This article belongs to the Special Issue Health Risk Evaluation of Hazardous Substances in Food)
Show Figures

Graphical abstract

27 pages, 1140 KB  
Systematic Review
Environmental Impacts of Municipal Solid Waste Disposal in Urban Areas: A Systematic Review of Contamination Pathways, Assessment Methods, and Mitigation Strategies
by Zhaksylyk Pernebayev and Akbota Aitimbetova
Sustainability 2026, 18(8), 3900; https://doi.org/10.3390/su18083900 - 15 Apr 2026
Viewed by 275
Abstract
Municipal solid waste disposed of in open dumpsites and unlined landfills contaminates groundwater, soils, and air across urban areas of low- and middle-income countries. Nevertheless, impacts across all three environmental media have not been systematically assessed together. We conducted a PRISMA 2020-compliant systematic [...] Read more.
Municipal solid waste disposed of in open dumpsites and unlined landfills contaminates groundwater, soils, and air across urban areas of low- and middle-income countries. Nevertheless, impacts across all three environmental media have not been systematically assessed together. We conducted a PRISMA 2020-compliant systematic review of 286 peer-reviewed studies from PubMed, Dimensions, and OpenAlex, applying structured eligibility screening and quality appraisal using an adapted JBI checklist. Heavy metals—lead, cadmium, chromium, and zinc—were the most frequently detected contaminants in leachate and groundwater, commonly exceeding WHO drinking water guidelines by one to three orders of magnitude. Soil contamination by potentially toxic elements was documented at virtually all open dumpsites studied, persisting for decades after site closure. Particulate matter at South Asian MSW sites reached up to 41 times the WHO 2021 annual guideline. Microplastics acting as heavy metal carriers and dumpsite leachate as a source of antimicrobial resistance genes were identified as emerging risks outside standard monitoring frameworks. Non-carcinogenic hazard indices exceeded acceptable thresholds in the majority of health risk studies reviewed. Engineered containment was the strongest predictor of contamination severity across all sites. Phytoremediation, constructed wetlands, and biofiltration showed promise as mitigation approaches. Critical evidence gaps remain for Central Asia, harmonized reporting standards, and longitudinal monitoring data. Full article
Show Figures

Figure 1

17 pages, 873 KB  
Review
The Gut–Adipose–Tumor Axis in Obesity-Related Cancer
by Juan Feng, Yiyang Huang, Sien Lai, Tianhang Zhao, Yufen Xie, Xiangxing Zhu, Lian Liu, Dongsheng Tang and Aifen Yan
Nutrients 2026, 18(8), 1230; https://doi.org/10.3390/nu18081230 - 14 Apr 2026
Viewed by 399
Abstract
The global obesity epidemic has emerged as a major driver of cancer incidence and mortality, with accumulating evidence highlighting the gut–adipose–tumor axis as a critical mediator of obesity-related carcinogenesis. The gut–adipose–tumor axis is a tripartite communication network, wherein the intestinal microbiome, adipose tissue, [...] Read more.
The global obesity epidemic has emerged as a major driver of cancer incidence and mortality, with accumulating evidence highlighting the gut–adipose–tumor axis as a critical mediator of obesity-related carcinogenesis. The gut–adipose–tumor axis is a tripartite communication network, wherein the intestinal microbiome, adipose tissue, and tumor microenvironment engage in dynamic bidirectional crosstalk that alters cancer susceptibility and progression. This review synthesizes current understanding of the epidemiology, pathophysiology, therapeutic implications, and future directions of this axis. Obesity-induced gut dysbiosis leads to systemic dissemination of pro-inflammatory microbial products and metabolites. These gut-derived signals profoundly influence adipose tissue homeostasis, exacerbating chronic low-grade inflammation, promoting macrophage infiltration and polarization, and disrupting adipokine secretion patterns. Dysfunctional adipose tissue generates cancer-promoting mediators and metabolic perturbations. The convergence of gut-derived and adipose-derived signals creates a systemic pro-carcinogenic environment that reshapes the tumor microenvironment through multiple mechanisms. Understanding the gut–adipose–tumor axis as an integrated biological system offers opportunities for cancer prevention and treatment. This is of significant importance for exploring the mechanisms of obesity-related carcinogenesis and developing new therapeutic approaches for obesity-related cancers. Full article
(This article belongs to the Section Nutrition and Obesity)
Show Figures

Figure 1

23 pages, 2290 KB  
Article
A First Diversity-Oriented N-Maleopimarimido-Isocyanide for Multicomponent Reactions: Synthesis, Application, and In Silico Evaluation
by Elena Tretyakova, Anna Smirnova and Oxana Kazakova
Int. J. Mol. Sci. 2026, 27(8), 3494; https://doi.org/10.3390/ijms27083494 - 14 Apr 2026
Viewed by 230
Abstract
Multicomponent reactions with isocyanides (IMCRs) enable the one-step assembly of complex molecules and remain a powerful strategy for accessing bioactive scaffolds. Here, we report the first synthesis of an abietane diterpene isocyanide derived from aminoimide methyl maleopimarate 1, a levopimaric acid-maleic anhydride [...] Read more.
Multicomponent reactions with isocyanides (IMCRs) enable the one-step assembly of complex molecules and remain a powerful strategy for accessing bioactive scaffolds. Here, we report the first synthesis of an abietane diterpene isocyanide derived from aminoimide methyl maleopimarate 1, a levopimaric acid-maleic anhydride adduct. This isocyanide was further engaged in Passerini, Ugi, and azido-Ugi reactions to provide a series of α-acyloxy- and α-acylaminocarboxamides, as well as tetrazoles, in high yields under optimized conditions. The structures of all products were confirmed by comprehensive physicochemical analysis. In silico ADME, drug-likeness, target prediction, and toxicity studies (SwissADME, ProTox-III) revealed moderate lipophilicity with favorable membrane permeability and solubility, high gastrointestinal absorption, and selective CYP3A4 inhibition with no significant effects on other CYP450 isoforms. The compounds fulfill major drug-likeness criteria, lacking undesirable reactive fragments, with only acceptable deviations in molecular weight and flexibility typical for MCR-derived products. The modifications broaden the spectrum of predicted biological targets while maintaining low overall toxicity and absence of predicted hepato- or carcinogenicity. These results demonstrate that diterpene isocyanide is a valuable building block for chemical libraries of structurally diverse abietane derivatives with peptide-like termini and highlight its potential as a source of cytotoxic, antiviral, and anti-inflammatory candidates. Full article
(This article belongs to the Special Issue Synthesis and Transformations of Bioactive Cyclic Imides)
Show Figures

Figure 1

12 pages, 5301 KB  
Article
The AfldrnA Transcription Factor Is a Pivotal Regulator of the Conidiation–Sclerotial Formation Balance in Aspergillus flavus
by Mohammed A. Abdo-Elgabbar, Bashir Salim, Sang-Cheol Jun, Yu-Kyung Kim, Saeed Alasmari and Kap-Hoon Han
J. Fungi 2026, 12(4), 277; https://doi.org/10.3390/jof12040277 - 14 Apr 2026
Viewed by 217
Abstract
Aspergillus flavus is a globally distributed filamentous fungus of major agricultural and medical importance, capable of producing carcinogenic aflatoxins and forming two specialized developmental structures, conidia and sclerotia. While the molecular framework governing conidiation has been well characterized in Aspergillus nidulans, the [...] Read more.
Aspergillus flavus is a globally distributed filamentous fungus of major agricultural and medical importance, capable of producing carcinogenic aflatoxins and forming two specialized developmental structures, conidia and sclerotia. While the molecular framework governing conidiation has been well characterized in Aspergillus nidulans, the corresponding mechanisms in A. flavus remain somewhat unelucidated. In this study, we identified and functionally characterized AfldrnA, a gene encoding a basic helix–loop–helix (bHLH) transcription factor. Targeted deletion of AfldrnA resulted in an aconidial phenotype accompanied by a significant increase in sclerotia formation, whereas complementation with the intact AfldrnA gene restored conidiation and reduced sclerotia development. Phenotypic assays revealed that the ΔAfldrnA mutant exhibited normal vegetative growth, unchanged antifungal susceptibility, and unaffected aflatoxin B1 production, indicating that AfldrnA primarily regulates developmental rather than metabolic differentiation. Additionally, observed differences between standard and dark incubation conditions suggest that AfldrnA may be involved in environmentally responsive regulation of fungal development. Overall, this study identifies AfldrnA as a pivotal transcriptional regulator essential for coordinating conidiation and sclerotia formation in A. flavus, providing new insights into the genetic and environmental regulation of fungal developmental programs. Full article
(This article belongs to the Special Issue Mycological Research in South Korea)
Show Figures

Figure 1

22 pages, 4105 KB  
Article
Industrial Legacy and Glassmaking: Ecological and Human Health Risk Assessment in Paraćin, Serbia
by Predrag Miljković, Jelena Beloica, Snežana Belanović Simić and Stefan Miletić
Toxics 2026, 14(4), 320; https://doi.org/10.3390/toxics14040320 - 12 Apr 2026
Viewed by 415
Abstract
The glass industry contributes to long-term soil contamination. This study assesses the impact of over 150 years of industrial activity and over a century of glassmaking processes in the Serbian Glass Factory in Paraćin. Focusing on potentially toxic elements (PTEs) and polycyclic aromatic [...] Read more.
The glass industry contributes to long-term soil contamination. This study assesses the impact of over 150 years of industrial activity and over a century of glassmaking processes in the Serbian Glass Factory in Paraćin. Focusing on potentially toxic elements (PTEs) and polycyclic aromatic hydrocarbons (PAHs), ecological and human health risks were evaluated. Sampling was conducted at 34 locations within the factory area, including 33 soil samples (0–30 cm) and one industrial waste (IW) sample. Soil analyses indicate that Zn, Ni, Cu, and Cd exceeded both the maximum permissible concentrations (MPCs) and remediation values (RVs) in many samples, while As and Hg showed fewer exceedances. Based on the Potential Ecological Risk Index (RI), about 33% of soil samples were moderately to highly polluted, and Cd, Pb, As, and Hg were identified as the main contributors. High levels of PAHs and PTEs reflect the cumulative impact of long-term industrial operations, a historical fire, and secondary sources, including traffic-related emissions from nearby highways. These factors resulted in elevated total carcinogenic risk (TCR) for Ni, Cr, and As. This study highlights soil contamination and associated health risks at the glass factory, emphasizing the need for environmental monitoring and management. Full article
(This article belongs to the Special Issue Soil Heavy Metal Pollution and Human Health)
Back to TopTop