Sign in to use this feature.

Years

Between: -

Subjects

remove_circle_outline
remove_circle_outline
remove_circle_outline
remove_circle_outline
remove_circle_outline
remove_circle_outline

Journals

Article Types

Countries / Regions

Search Results (31)

Search Parameters:
Keywords = cangrelor

Order results
Result details
Results per page
Select all
Export citation of selected articles as:
14 pages, 419 KB  
Review
Revisiting Antiplatelet Therapy in Acute Carotid Tandem Lesions
by Matija Zupan, Lara Straus, Pawel Kermer, Panagiotis Papanagiotou and Senta Frol
J. Clin. Med. 2026, 15(9), 3195; https://doi.org/10.3390/jcm15093195 - 22 Apr 2026
Viewed by 287
Abstract
Background/Objectives: Acute carotid tandem lesions (TLs), defined by concurrent cervical internal carotid artery (ICA) stenosis or occlusion and intracranial large vessel occlusion, occur in 10–20% of patients undergoing mechanical thrombectomy (MT) for acute ischemic stroke (AIS). Optimal periprocedural antiplatelet management during emergent [...] Read more.
Background/Objectives: Acute carotid tandem lesions (TLs), defined by concurrent cervical internal carotid artery (ICA) stenosis or occlusion and intracranial large vessel occlusion, occur in 10–20% of patients undergoing mechanical thrombectomy (MT) for acute ischemic stroke (AIS). Optimal periprocedural antiplatelet management during emergent carotid artery stenting (eCAS) remains uncertain, particularly regarding the balance between preventing stent thrombosis and avoiding hemorrhagic complications. Methods: A narrative review was conducted using PubMed and Scopus (until 6 March 2026) to identify English-language studies evaluating antiplatelet therapies during eCAS for TLs. We included seven real-world studies and registry analyses. Data on study design, patient characteristics, procedural strategies, angiographic results, functional outcomes, and safety metrics were extracted. Results: No randomized controlled trials (RCTs) were identified. The available evidence is derived exclusively from observational studies. Across these cohorts, glycoprotein IIb/IIIa inhibitors (GPIs), particularly tirofiban, were generally associated with lower rates of in-stent thrombosis and higher reperfusion success, with symptomatic intracranial hemorrhage (sICH) rates that appeared comparable to or lower than those reported with acetylsalicylic acid (ASA). Cangrelor, an intravenous (IV) P2Y12 inhibitor, was associated with improved stent patency and increased likelihood of complete reperfusion, although reported effects on clinical outcomes were inconsistent when compared with GPIs or ASA. Aside from abciximab, potent IV antiplatelet agents did not consistently show an increased sICH signal. Oral dual antiplatelet therapy was also associated with improved technical outcomes without a clear excess in bleeding complications. Conclusions: Current real-world observational data suggest that rapid-acting IV antiplatelet agents—particularly GPIs and, increasingly, cangrelor—may represent feasible periprocedural options during eCAS for TLs, with potential benefits for technical success and no consistent evidence of increased hemorrhagic risk. However, interpretation is limited by study heterogeneity and non-randomized designs. The absence of RCTs highlights the need for prospective comparative studies and standardized periprocedural antiplatelet protocols. Full article
(This article belongs to the Section Clinical Neurology)
Show Figures

Figure 1

14 pages, 385 KB  
Article
Use of Cangrelor in Türkiye: A Multicenter Real-Life Study
by Servet Altay, İlker Gül, Fatih Aytemiz, Metehan Kibar, Cuma Süleymaoğlu, Halil Fedai, Alp Burak Çatakoğlu, Şükrü Çetin, Selin Yöndem, Mehmet Vefik Yazıcıoğlu, Diyar Köprülü, Mustafa Çetin, Süleyman Sezai Yildiz, Beytullah Çakal, Çağrı Yayla and Selçuk Korkmaz
J. Clin. Med. 2025, 14(24), 8728; https://doi.org/10.3390/jcm14248728 - 10 Dec 2025
Viewed by 643
Abstract
Background/Objectives: The only intravenous P2Y12 inhibitor used in the management of acute and chronic coronary syndromes is cangrelor. Previous studies have demonstrated the efficacy of cangrelor. However, limited real-world data are available for cangrelor usage. This study aimed to investigate the use [...] Read more.
Background/Objectives: The only intravenous P2Y12 inhibitor used in the management of acute and chronic coronary syndromes is cangrelor. Previous studies have demonstrated the efficacy of cangrelor. However, limited real-world data are available for cangrelor usage. This study aimed to investigate the use of cangrelor in large-volume percutaneous coronary intervention (PCI) centers in Türkiye, and examine the indications, patient characteristics, bleeding, and ischemic events. The efficacy and safety of cangrelor in this high-risk group were evaluated. Methods: This study was conducted retrospectively in 14 high-volume centers in Türkiye with extensive cangrelor experience. Cangrelor indications, patient clinical characteristics, periprocedural and postprocedural treatments, in-hospital and follow-up bleeding, ischemic events, and mortality were analyzed. Results: This study recruited 411 patients (mean age: 63.8 ± 12.7 years; 76% male). The most common conditions in which cangrelor is used in Türkiye are cardiogenic shock, intubation and nausea/vomiting, where P2Y12 cannot be used adequately due to impaired oral intake. The incidence rate of any bleeding within 48 h was 6.4% (n = 26), with major bleeding accounting for 1.7% of all cases (n = 7). The bleeding rates were similar between patients aged <75 years and those aged ≥75 years (6.0% vs. 8.8%, p = 0.326), as well as between patients with chronic kidney disease (CKD) and those without CKD (6.3% vs. 7.9%, p = 0.600). Conclusions: This is the first multicenter, large-cohort study to examine cangrelor use in Türkiye, providing real-world evidence for the efficacy and safety in high-risk patients with complex clinical features and lesion characteristics. Full article
(This article belongs to the Section Cardiology)
Show Figures

Figure 1

14 pages, 4263 KB  
Article
Automated Imaging and Analysis of Platelet, Coagulation and Fibrinolysis Activities Using a Novel Flow Chip-Based System at Physiological Temperature
by Xiang Gui, Bibian M. E. Tullemans, Bas de Laat, Johan W. M. Heemskerk and Frauke Swieringa
Micromachines 2025, 16(11), 1253; https://doi.org/10.3390/mi16111253 - 31 Oct 2025
Cited by 1 | Viewed by 1076
Abstract
Conventional whole-blood flow assays for quantifying thrombus formation are typically performed at room temperature and are technically demanding, which limits their translational applicability. We engineered a novel, disposable, mountable, and single-channel microfluidic chip (MC-2S), which is based on the Maastricht chamber (MC) and [...] Read more.
Conventional whole-blood flow assays for quantifying thrombus formation are typically performed at room temperature and are technically demanding, which limits their translational applicability. We engineered a novel, disposable, mountable, and single-channel microfluidic chip (MC-2S), which is based on the Maastricht chamber (MC) and designed for automated evaluation of platelet function, coagulation and fibrinolysis under physiological conditions. The MC-2S chip allows customizable choices of thrombogenic surfaces, such as collagen and tissue factor. The chip was used in combination with an adapted, 1.3 kg brightfield/fluorescence microscope, operating at physiological temperature (37 °C), and with scripts for automated multicolor analysis of image features. The integrated system enables a robust, rapid, and high-content quantification of the kinetics of thrombus formation and dissolution. In platelet-sensitive mode, MC-2S demonstrated high sensitivity to antiplatelet therapy with aspirin or cangrelor. In coagulation-sensitive mode, it detected the anticoagulant effect of rivaroxaban plus its reversal by andexanet-α. In fibrinolysis-sensitive mode, it monitored tissue-type plasminogen activator-induced thrombus dissolution, inhibited by tranexamic acid. Collectively, the MC-2S platform was found to provide a versatile, physiologically relevant tool for functional hemostasis testing, with high potential for the acute and subacute evaluation of patient blood samples in the context of bleeding disorders, thrombosis risk, and drug monitoring. Full article
(This article belongs to the Section B4: Point-of-Care Devices)
Show Figures

Figure 1

13 pages, 487 KB  
Article
The Impact of Cangrelor in the UK for the Treatment of STEMI Patients with Gastric Absorption Issues Undergoing Percutaneous Coronary Intervention
by Bhavik Modi, Rob Cain, Richard Stork, Gina Tarpey, Alessia Colucciello, Danielle Olivier, Caroline Barwood, Will Wright and Rory McAtamney
J. Clin. Med. 2025, 14(21), 7564; https://doi.org/10.3390/jcm14217564 - 25 Oct 2025
Viewed by 862
Abstract
Background/Objectives: Patients that undergo percutaneous coronary intervention (PCI) require effective antiplatelet therapies to minimize the risk of thrombotic cardiovascular events. Oral P2Y12 inhibitors are often utilized, however co-administered opioids may lead to gastric absorption issues in these patients, affecting the efficacy of [...] Read more.
Background/Objectives: Patients that undergo percutaneous coronary intervention (PCI) require effective antiplatelet therapies to minimize the risk of thrombotic cardiovascular events. Oral P2Y12 inhibitors are often utilized, however co-administered opioids may lead to gastric absorption issues in these patients, affecting the efficacy of oral inhibitors. Cangrelor is an intravenous, direct-acting, reversible P2Y12 inhibitor that could be explored as a potential treatment option for patients with gastric absorption issues during ST-elevation myocardial infarction. The objective was to estimate the UK budget impact of introducing cangrelor for ST-elevation myocardial infarction (STEMI) patients with gastric absorption issues undergoing PCI. Methods: A budget impact model was developed to calculate the impact of introducing cangrelor to treat STEMI patients with gastric absorption issues undergoing PCI, to the UK National Health Service and personal social services, over 5 years. Oral P2Y12 inhibitors (clopidogrel, prasugrel, and ticagrelor), glycoprotein IIb/IIIa inhibitors (eptifibatide and tirofiban), and aspirin and heparin alone were included as base case comparators. Cangrelor uptake ranged from 10% to 30% in years 1–5. The cangrelor-eligible population was estimated at 10,903 patients per year. Results: Over 5 years, cangrelor leads to a small cost saving (0.29%), varying from −GBP 261,989 in year 1 to GBP 174,778 in year 5. The introduction of cangrelor is estimated to lead to 314 fewer hospital days and 190 clinical events avoided over 5 years. Conclusions: Introducing cangrelor to STEMI patients with gastric absorption issues undergoing PCI in the UK is estimated to generate a small cost saving and reduced length of stay for some patients. Full article
Show Figures

Figure 1

4 pages, 659 KB  
Interesting Images
A Patient Presenting with Joint Deformities and ST-Elevation Myocardial Infarction
by Emil J. Dąbrowski, Wiktoria U. Kozłowska, Patrycja O. Lipska, Marcin Kożuch and Sławomir Dobrzycki
Diagnostics 2025, 15(17), 2254; https://doi.org/10.3390/diagnostics15172254 - 5 Sep 2025
Viewed by 998
Abstract
A 62-year-old man presented with ST-elevation myocardial infarction and advanced tophaceous gout, despite long-term urate-lowering therapy. His history included chronic kidney disease, hypertension, heart failure, and atrial fibrillation. Examination revealed severe joint deformities with multiple tophi. Coronary angiography showed multivessel disease with critical [...] Read more.
A 62-year-old man presented with ST-elevation myocardial infarction and advanced tophaceous gout, despite long-term urate-lowering therapy. His history included chronic kidney disease, hypertension, heart failure, and atrial fibrillation. Examination revealed severe joint deformities with multiple tophi. Coronary angiography showed multivessel disease with critical right coronary artery stenosis, treated with primary percutaneous coronary intervention. Following a Heart Team consultation, the patient was bridged with cangrelor and underwent urgent hybrid coronary artery bypass grafting and left atrial appendage occlusion. This case highlights the systemic burden of treatment-refractory gout, with progressive cardiovascular and renal complications. Tophaceous gout represents a distinct, high-risk phenotype associated with increased mortality and reduced quality of life. Despite standard therapies, this patient experienced continued disease progression, prompting referral for advanced treatment with pegloticase and canakinumab. Multidisciplinary care and personalized strategies are essential in managing severe, refractory gout with multi-organ involvement. Full article
(This article belongs to the Special Issue Clinical Diagnosis and Management in Cardiology)
Show Figures

Figure 1

9 pages, 200 KB  
Article
Use of Cangrelor in Patients Undergoing Percutaneous Coronary Intervention: Insights and Outcomes from District General Hospital
by Ibrahim Antoun, Sotirios Dardas, Falik Sher, Mueed Akram, Navid Munir, Georgia R. Layton, Mustafa Zakkar, Kamal Chitkara, Riyaz Somani and Andre Ng
Hearts 2025, 6(3), 16; https://doi.org/10.3390/hearts6030016 - 22 Jun 2025
Viewed by 2000
Abstract
Background/Objectives: Cangrelor, an intravenous P2Y12 inhibitor, is increasingly used during percutaneous coronary intervention (PCI) for rapid and reversible platelet inhibition in patients unable to take oral antiplatelet agents, particularly in emergencies such as ST-elevation myocardial infarction (STEMI), cardiac arrest, or cardiogenic shock. [...] Read more.
Background/Objectives: Cangrelor, an intravenous P2Y12 inhibitor, is increasingly used during percutaneous coronary intervention (PCI) for rapid and reversible platelet inhibition in patients unable to take oral antiplatelet agents, particularly in emergencies such as ST-elevation myocardial infarction (STEMI), cardiac arrest, or cardiogenic shock. This single-centre study evaluates cangrelor and outcomes in a non-surgical centre. Methods: Between June 2017 and December 2021, all the patients for whom cangrelor was used at a district general hospital (DGH) in the UK were included in this study. Data collection included baseline characteristics, admission, procedural details, and patient outcomes. The primary outcome was a composite of all-cause mortality, bleeding, and cardiovascular events, including myocardial infarction, stent thrombosis, and stroke, within 48 h. Secondary outcomes included predictors of the composite outcome at 48 h. Results: During the study period, cangrelor was administered peri-procedurally to 93 patients. Males comprised 85% of the patients; the mean age was 65.5 ± 10.6 years. A total of 1 patient (1.1%) had a cardiovascular event within 48 h of cangrelor administration, whereas all-cause mortality occurred in 17 patients (18%) within 48 h. No major bleeding events were noted at 48 h following cangrelor administration. Regression analysis did not find predictors of composite outcomes at 48 h. Conclusions: Cangrelor offers a potential alternative to oral P2Y12 inhibitors in specific high-risk scenarios. Further research is needed to validate its role in broader populations. Full article
21 pages, 905 KB  
Review
Phenotyping the Use of Cangrelor in Percutaneous Coronary Interventions
by Nikolaos Pyrpyris, Kyriakos Dimitriadis, Konstantinos G. Kyriakoulis, Stergios Soulaidopoulos, Panagiotis Tsioufis, Aggelos Papanikolaou, Nikolaos G. Baikoussis, Alexios Antonopoulos, Konstantinos Aznaouridis and Konstantinos Tsioufis
Pharmaceuticals 2025, 18(3), 432; https://doi.org/10.3390/ph18030432 - 19 Mar 2025
Viewed by 2993
Abstract
The use of antiplatelet agents is essential in percutaneous coronary interventions, both periprocedurally and in the post-interventional period. Procedural antiplatelet therapy, aiming to limit ischemic complications, is mostly administered with oral agents, including aspirin and P2Y12 inhibitors. However, there are several limitations in [...] Read more.
The use of antiplatelet agents is essential in percutaneous coronary interventions, both periprocedurally and in the post-interventional period. Procedural antiplatelet therapy, aiming to limit ischemic complications, is mostly administered with oral agents, including aspirin and P2Y12 inhibitors. However, there are several limitations in the use of oral P2Y12 inhibitors, including their difficult administration in patients presenting with cardiogenic shock and their relatively slower onset of action, leaving a significant period of the procedure with a suboptimal antiplatelet effect. These pitfalls could be avoided with the use of cangrelor, the only available intravenous P2Y12 inhibitor, which has a rapid onset and offset antiplatelet effect, as well as a favorable pharmacological profile. The use of cangrelor has been increasing in recent years, with several studies aiming to determine what the optimal patient phenotype to receive such treatment ultimately is and how its use could be adjunctive to oral P2Y12 inhibitors. Therefore, the aim of this review is to provide an overview of the pharmacological profile of cangrelor and an update regarding the clinical evidence supporting its use, as well as to discuss the optimal patient phenotype, related clinical algorithms, and future implications for larger implementation of this agent into everyday clinical practice. Full article
Show Figures

Figure 1

15 pages, 3155 KB  
Article
Repurposing FDA-Approved Agents to Develop a Prototype Helicobacter pylori Shikimate Kinase (HPSK) Inhibitor: A Computational Approach Using Virtual Screening, MM-GBSA Calculations, MD Simulations, and DFT Analysis
by Abdulaziz H. Al Khzem, Tagyedeen H. Shoaib, Rua M. Mukhtar, Mansour S. Alturki, Mohamed S. Gomaa, Dania Hussein, Nada Tawfeeq, Mohsina Bano, Mohammad Sarafroz, Raghad Alzahrani, Hanin Alghamdi and Thankhoe A. Rants’o
Pharmaceuticals 2025, 18(2), 174; https://doi.org/10.3390/ph18020174 - 27 Jan 2025
Cited by 8 | Viewed by 3563
Abstract
Background/Objectives: Helicobacter pylori infects approximately half of the global population, causing chronic gastritis, peptic ulcers, and gastric cancer, a leading cause of cancer mortality. While current therapies face challenges from rising antibiotic resistance, particularly to clarithromycin, alongside treatment complexity and costs, the [...] Read more.
Background/Objectives: Helicobacter pylori infects approximately half of the global population, causing chronic gastritis, peptic ulcers, and gastric cancer, a leading cause of cancer mortality. While current therapies face challenges from rising antibiotic resistance, particularly to clarithromycin, alongside treatment complexity and costs, the World Health Organization has prioritized the development of new antibiotics to combat this high-risk pathogen. In this study, we employed computer-aided drug design (CADD) methodologies, including molecular docking, Molecular Mechanics-Generalized Born Surface Area (MM-GBSA) analysis, molecular dynamics (MD) simulations, and Density Functional Theory (DFT) calculations, to explore the potential repurposing of FDA-approved agents as inhibitors of Helicobacter pylori shikimate kinase (HpSK). Methods: Using the Glide module, the HTVS method was initially applied to screen 1615 FDA-approved agents followed by extra-precision (XP) docking for the obtained 111 hits. The obtained XP scores were used to confine the results to those hits with a score above the reference ligand, shikimate, score. This yielded 31 final hits with an XP score above −5.867. MM-GBSA calculations were performed on these top candidates and the reference ligand to refine the analysis and compounds’ prioritization. Results: The 31 compounds displayed binding free energy (ΔGbind) values ranging from 3.61 to −55.92 kcal/mol, with shikimate exhibiting a ΔGbind of −34.24 kcal/mol and 10 hits having a lower ΔGbind value. Out of these ten, three drugs—Dolutegravir, Cangrelor, and Isavuconazonium—were selected for further analysis based on their drug-like properties. Robust and stable binding profiles for both Isavuconazonium and Cangrelor were verified via molecular dynamics simulation. Additionally, Density Functional Theory (DFT) analysis was conducted, and the Highest Occupied Molecular Orbitals (HOMOs), Lowest Unoccupied Molecular Orbitals (LUMOs), and the energy gap (HLG) between them were calculated. All three drug candidates displayed lower HLG values than shikimate, suggesting higher reactivity and more efficient electronic transitions than the reference ligand. Conclusions: These findings suggest that the identified drugs, although not optimal for direct repurposing, would serve as promising leads against Helicobacter pylori shikimate kinase. These drugs could be valuable leads for experimental assessment and further optimization, particularly with no prototype yet identified. In terms of potential for clinical repurposing, the results point to diflunisal as a promising candidate for further testing. Full article
(This article belongs to the Special Issue Application of 2D and 3D-QSAR Models in Drug Design)
Show Figures

Graphical abstract

12 pages, 793 KB  
Article
Cangrelor in Patients Undergoing Percutaneous Coronary Intervention After Out-of-Hospital Cardiac Arrest
by Marco Ferlini, Luca Raone, Sara Bendotti, Alessia Currao, Roberto Primi, Andrea Bongiorno, Cristian Fava, Laura Dall’Oglio, Marianna Adamo, Daniele Ghiraldin, Marcello Marino, Cinzia Dossena, Andrea Baldo, Diego Maffeo, Vilma Kajana, Silvia Affinito, Enrico Baldi, Leonardo De Luca and Simone Savastano
J. Clin. Med. 2025, 14(1), 76; https://doi.org/10.3390/jcm14010076 - 27 Dec 2024
Cited by 6 | Viewed by 2220
Abstract
Background: Cangrelor provides rapid platelet inhibition, making it a potential option for out-of-hospital cardiac arrest (OHCA) survivors undergoing percutaneous coronary intervention (PCI). However, clinical data on its use after OHCA are limited. This study investigates in-hospital outcomes of cangrelor use in this [...] Read more.
Background: Cangrelor provides rapid platelet inhibition, making it a potential option for out-of-hospital cardiac arrest (OHCA) survivors undergoing percutaneous coronary intervention (PCI). However, clinical data on its use after OHCA are limited. This study investigates in-hospital outcomes of cangrelor use in this population. Methods: We conducted a prospective, observational study involving OHCA patients from the Lombardia CARe Registry (January 2015–December 2022) who underwent PCI in seven centers in Northern Italy. Propensity score (PS) matching compared patients who received cangrelor to those who did not. Logistic regression tested associations between cangrelor and discharge outcomes. Results: Of 612 OHCA patients admitted, 414 (67.4%) underwent PCI with known antithrombotic therapy, of whom 34 (8.2%) received cangrelor. Radial access was more common in the cangrelor group, which also had a higher troponin peak and a final TIMI flow grade of 3. Survival at discharge was 82.4% in the cangrelor group, compared to 65.3% in the no-cangrelor group (p = 0.043). Univariable logistic regression showed that cangrelor use was associated with higher survival at discharge (OR 2.5; 95% CI: 1.1–6.1, p = 0.049). After multiple PS matchings, cangrelor remained associated with better survival (OR 2.07; 95% CI: 1.16–2.98). Major bleeding rates were higher in the cangrelor group, even after adjusting for baseline bleeding risk (OR: 7.0; 95% CI: 2.9–17.0; p < 0.001). Conclusions: In OHCA patients undergoing PCI, cangrelor use was linked to improved in-hospital survival but higher major bleeding, suggesting a potential net clinical benefit. Full article
Show Figures

Graphical abstract

13 pages, 2315 KB  
Systematic Review
Anti-Platelet Therapy with Cangrelor in Cardiogenic Shock Patients: A Systematic Review and Single-Arm Meta-Analysis
by Jacopo D’Andria Ursoleo, Luca Baldetti, Marina Pieri, Pasquale Nardelli, Savino Altizio, Silvia Ajello and Anna Mara Scandroglio
Medicina 2024, 60(12), 2092; https://doi.org/10.3390/medicina60122092 - 21 Dec 2024
Cited by 5 | Viewed by 2617
Abstract
Background and Objectives: Percutaneous coronary intervention (PCI) is a proven therapy for acute myocardial infarction (AMI) cardiogenic shock (CS). Dual anti-platelet therapy (i.e., aspirin plus an oral P2Y12 inhibitor) is recommended in patients treated with PCI. However, CS patients present severe hemodynamic instability, [...] Read more.
Background and Objectives: Percutaneous coronary intervention (PCI) is a proven therapy for acute myocardial infarction (AMI) cardiogenic shock (CS). Dual anti-platelet therapy (i.e., aspirin plus an oral P2Y12 inhibitor) is recommended in patients treated with PCI. However, CS patients present severe hemodynamic instability, deranged hemostatic balance, and the need for invasive mechanical circulatory support (MCS) alongside invasive procedures, resulting in an increased risk of both bleeding and thrombotic complications, leaving uncertainty about the best anti-thrombotic treatment. Recently, the parenteral short-acting P2Y12 inhibitor has been increasingly used in the acute cardiac care setting, mainly in light of its favourable pharmacokinetic profile and organ-independent metabolism. Materials and Methods: In accordance with the Preferred Reporting Items for Systematic Reviews and Meta-Analyses (PRISMA) guidelines, we performed a systematic review and single-arm meta-analysis of the safety and efficacy outcomes (i.e., rates of major bleeding, occurrence of stent/any thrombosis, and hospital survival) of all existing original studies reporting on the intravenous administration of cangrelor in AMI-CS patients. Results: Ten studies (678 patients with CS) published between 2017 and 2023 were included in the present review: nine were observational and one had a randomized design. Percutaneous revascularization was performed in >80% of patients across the studies. Moreover, 26% of patients were treated with temporary MCS, and in all studies, concomitant systemic anticoagulation was performed. Cangrelor was administered intravenously at the dosage of 4 mcg/kg/min in 57% of patients, 0.75 mcg/kg/min in 37% of patients, and <0.75 mcg/kg/min in 6%. The pooled rate of major bleeding was 17% (11–23%, confidence interval [CI]), and the pooled rate of stent thrombosis and any thrombosis were 1% (0.3–2.3% CI) and 3% (0.4–7% CI), respectively. Pooled hospital survival was 66% (59–73% CI). Conclusions: Cangrelor administration in AMI-CS patients was feasible and safe with a low rate of thromboembolic complications. Haemorrhagic complications were more frequent than thrombotic events. Nevertheless, to date, the optimal dosage of cangrelor in this clinical context still remains not universally recognized. Full article
(This article belongs to the Section Pulmonology)
Show Figures

Figure 1

12 pages, 1741 KB  
Article
Rescue Stenting of Isolated Middle Cerebral Artery (MCA) Dissections (MCAD) with Antithrombogenic Coated Stents and Mono-Antiplatelet Therapy (MAPT)
by Piotr Pedowski, Jakub Fedorko, Stefan Pataky and Zuzana Gdovinova
J. Clin. Med. 2024, 13(15), 4329; https://doi.org/10.3390/jcm13154329 - 24 Jul 2024
Cited by 1 | Viewed by 2336
Abstract
Objective: Acute ischemic stroke (AIS) is a leading cause of death, but isolated middle cerebral artery dissection (MCAD) is rarely reported. The aim of this article is to sum up the current information on this pathology and to explore the technical aspects of [...] Read more.
Objective: Acute ischemic stroke (AIS) is a leading cause of death, but isolated middle cerebral artery dissection (MCAD) is rarely reported. The aim of this article is to sum up the current information on this pathology and to explore the technical aspects of its endovascular treatment with emphasis on novel coated, antithrombogenic stents and antiplatelet management. Another part of this article offers our experience with the problematics represented by a small sample group of patients with an MCAD diagnosis who were treated in our center. Methods: We conducted literature research and a retrospective review of patients treated for anterior circulation AIS at our comprehensive stroke center from January 2022 to March 2024. The cohort included 16 patients diagnosed with isolated MCAD, 9 received antithrombogenic coated stents, while 7 received bare metal stents. Pharmacological management of coated stents involved the use of Cangrelor for acute antiplatelet therapy, transitioning to oral Ticagrelor. Results: Among the 16 patients treated, those with antithrombogenic coated stents showed no major complications and had a lower incidence of intracranial hemorrhage compared to the bare metal stent group. The average National Institutes of Health Stroke Scale (NIHSS) score at discharge improved in both groups. Functional outcomes and mortality rates were slightly better in the coated stent group, but no statistical significance was proven. Conclusions: Antithrombogenic coated stents, in conjunction with MAPT, demonstrated a safe and effective option for treating isolated MCAD. These stents offer promising potential for improved outcomes and reduced complications compared to traditional treatments. Further multicentric studies with larger cohorts are recommended to validate these findings. Full article
(This article belongs to the Special Issue Update on Thrombectomy)
Show Figures

Figure 1

13 pages, 709 KB  
Review
Adenosine in Interventional Cardiology: Physiopathologic and Pharmacologic Effects in Coronary Artery Disease
by Enrico Marchi, Iacopo Muraca, Martina Berteotti, Anna Maria Gori, Renato Valenti and Rossella Marcucci
Int. J. Mol. Sci. 2024, 25(11), 5852; https://doi.org/10.3390/ijms25115852 - 28 May 2024
Cited by 7 | Viewed by 5357
Abstract
This review article focuses on the role of adenosine in coronary artery disease (CAD) diagnosis and treatment. Adenosine, an endogenous purine nucleoside, plays crucial roles in cardiovascular physiology and pathology. Its release and effects, mediated by specific receptors, influence vasomotor function, blood pressure [...] Read more.
This review article focuses on the role of adenosine in coronary artery disease (CAD) diagnosis and treatment. Adenosine, an endogenous purine nucleoside, plays crucial roles in cardiovascular physiology and pathology. Its release and effects, mediated by specific receptors, influence vasomotor function, blood pressure regulation, heart rate, and platelet activity. Adenosine therapeutic effects include treatment of the no-reflow phenomenon and paroxysmal supraventricular tachycardia. The production of adenosine involves complex cellular pathways, with extracellular and intracellular synthesis mechanisms. Adenosine’s rapid metabolism underscores its short half-life and physiological turnover. Furthermore, adenosine’s involvement in side effects of antiplatelet therapy, particularly ticagrelor and cangrelor, highlights its clinical significance. Moreover, adenosine serves as a valuable tool in CAD diagnosis, aiding stress testing modalities and guiding intracoronary physiological assessments. Its use in assessing epicardial stenosis and microvascular dysfunction is pivotal for treatment decisions. Overall, understanding adenosine’s mechanisms and clinical implications is essential for optimizing CAD management strategies, encompassing both therapeutic interventions and diagnostic approaches. Full article
(This article belongs to the Special Issue Adenosine Receptors in Health and Disease)
Show Figures

Figure 1

31 pages, 3938 KB  
Review
Initial Despair and Current Hope of Identifying a Clinically Useful Treatment of Myocardial Reperfusion Injury: Insights Derived from Studies of Platelet P2Y12 Antagonists and Interference with Inflammation and NLRP3 Assembly
by Michael V. Cohen and James M. Downey
Int. J. Mol. Sci. 2024, 25(10), 5477; https://doi.org/10.3390/ijms25105477 - 17 May 2024
Cited by 2 | Viewed by 2266
Abstract
Myocardial necrosis following the successful reperfusion of a coronary artery occluded by thrombus in a patient presenting with ST-elevation myocardial infarction (STEMI) continues to be a serious problem, despite the multiple attempts to attenuate the necrosis with agents that have shown promise in [...] Read more.
Myocardial necrosis following the successful reperfusion of a coronary artery occluded by thrombus in a patient presenting with ST-elevation myocardial infarction (STEMI) continues to be a serious problem, despite the multiple attempts to attenuate the necrosis with agents that have shown promise in pre-clinical investigations. Possible reasons include confounding clinical risk factors, the delayed application of protective agents, poorly designed pre-clinical investigations, the possible effects of routinely administered agents that might unknowingly already have protected the myocardium or that might have blocked protection, and the biological differences of the myocardium in humans and experimental animals. A better understanding of the pathobiology of myocardial infarction is needed to stem this reperfusion injury. P2Y12 receptor antagonists minimize platelet aggregation and are currently part of the standard treatment to prevent thrombus formation and propagation in STEMI protocols. Serendipitously, these P2Y12 antagonists also dramatically attenuate reperfusion injury in experimental animals and are presumed to provide a similar protection in STEMI patients. However, additional protective agents are needed to further diminish reperfusion injury. It is possible to achieve additive protection if the added intervention protects by a mechanism different from that of P2Y12 antagonists. Inflammation is now recognized to be a critical factor in the complex intracellular response to ischemia and reperfusion that leads to tissue necrosis. Interference with cardiomyocyte inflammasome assembly and activation has shown great promise in attenuating reperfusion injury in pre-clinical animal models. And the blockade of the executioner protease caspase-1, indeed, supplements the protection already seen after the administration of P2Y12 antagonists. Importantly, protective interventions must be applied in the first minutes of reperfusion, if protection is to be achieved. The promise of such a combination of protective strategies provides hope that the successful attenuation of reperfusion injury is attainable. Full article
Show Figures

Figure 1

13 pages, 953 KB  
Article
Immediate Platelet Inhibition Strategy for Comatose Out-of-Hospital Cardiac Arrest Survivors Undergoing Percutaneous Coronary Intervention and Mild Therapeutic Hypothermia
by Peter Kordis, Jernej Berden, Ursa Mikuz and Marko Noc
J. Clin. Med. 2024, 13(7), 2121; https://doi.org/10.3390/jcm13072121 - 6 Apr 2024
Cited by 4 | Viewed by 1854
Abstract
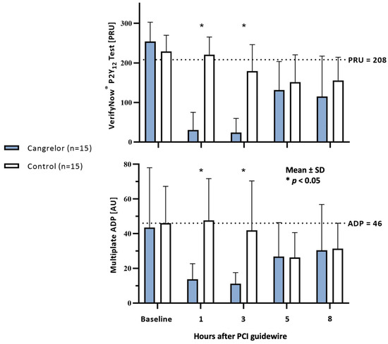
Background: Comatose survivors of out-of-hospital cardiac arrest (OHCA) undergoing percutaneous coronary intervention (PCI) and target temperature management (TTM) are at increased risk of stent thrombosis (ST), partly due to delayed platelet inhibition even with more potent P2Y12 agents. We hypothesized that periprocedural [...] Read more.
Background: Comatose survivors of out-of-hospital cardiac arrest (OHCA) undergoing percutaneous coronary intervention (PCI) and target temperature management (TTM) are at increased risk of stent thrombosis (ST), partly due to delayed platelet inhibition even with more potent P2Y12 agents. We hypothesized that periprocedural cangrelor would induce immediate platelet inhibition, bridging the “P2Y12 inhibition gap”. Methods: In our pilot study, we randomized 30 comatose OHCA patients undergoing PCI and TTM (32–34 °C) into cangrelor and control groups. Both groups received unfractioned heparin, acetylsalicylic acid, and ticagrelor via enteral tube. The cangrelor group also received an intravenous bolus of cangrelor followed by a 4 h infusion. Platelet inhibition was measured using VerifyNow® and Multiplate® ADP at baseline and 1, 3, 5, and 8 h post PCI. Results: Patient characteristics did not differ between groups. VerifyNow® showed significantly decreased platelet reactivity with cangrelor at 1 h (30 vs. 221 PRU; p < 0.001) and 3 h (24 vs. 180 PRU; p < 0.001), with differences at 5 and 8 h. Similarly, the proportion of patients with high on-treatment platelet reactivity (HPR) in the cangrelor group was significantly lower at 1 h (0% vs. 67%; p < 0.001) and 3 h (0% vs. 47%; p = 0.007). Multiplate® ADP was also decreased at 1 h (14 vs. 48 U; p < 0.001) and 3 h (11 vs. 42 U; p = 0.001), with no difference at 5 and 8 h. The occurrence of bleeding events was similar in both groups. Conclusions: Cangrelor safely induced immediate and profound platelet inhibition. We observed no significant drug–drug interaction with ticagrelor. Full article
(This article belongs to the Section Cardiology)
Show Figures

Figure 1

16 pages, 796 KB  
Review
Dual Antiplatelet Therapy with Parenteral P2Y12 Inhibitors: Rationale, Evidence, and Future Directions
by Giulia Alagna, Paolo Mazzone, Marco Contarini and Giuseppe Andò
J. Cardiovasc. Dev. Dis. 2023, 10(4), 163; https://doi.org/10.3390/jcdd10040163 - 9 Apr 2023
Cited by 13 | Viewed by 7437
Abstract
Dual antiplatelet therapy (DAPT), consisting of the combination of aspirin and an inhibitor of the platelet P2Y12 receptor for ADP, remains among the most investigated treatments in cardiovascular medicine. While a substantial amount of research initially stemmed from the observations of late [...] Read more.
Dual antiplatelet therapy (DAPT), consisting of the combination of aspirin and an inhibitor of the platelet P2Y12 receptor for ADP, remains among the most investigated treatments in cardiovascular medicine. While a substantial amount of research initially stemmed from the observations of late and very late stent thrombosis events in the first-generation drug-eluting stent (DES) era, DAPT has been recently transitioning from a purely stent-related to a more systemic secondary prevention strategy. Oral and parenteral platelet P2Y12 inhibitors are currently available for clinical use. The latter have been shown to be extremely suitable in drug-naïve patients with acute coronary syndrome (ACS), mainly because oral P2Y12 inhibitors are associated with delayed efficacy in patients with STEMI and because pre-treatment with P2Y12 inhibitors is discouraged in NSTE-ACS, and in patients with recent DES implantation and in need of urgent cardiac and non-cardiac surgery. More definitive evidence is needed, however, about optimal switching strategies between parenteral and oral P2Y12 inhibitors and about newer potent subcutaneous agents that are being developed for the pre-hospital setting. Full article
Show Figures

Figure 1

Back to TopTop