Sign in to use this feature.

Years

Between: -

Subjects

remove_circle_outline
remove_circle_outline
remove_circle_outline
remove_circle_outline
remove_circle_outline
remove_circle_outline
remove_circle_outline
remove_circle_outline
remove_circle_outline

Journals

remove_circle_outline
remove_circle_outline
remove_circle_outline
remove_circle_outline
remove_circle_outline
remove_circle_outline
remove_circle_outline
remove_circle_outline
remove_circle_outline
remove_circle_outline
remove_circle_outline
remove_circle_outline
remove_circle_outline
remove_circle_outline
remove_circle_outline
remove_circle_outline
remove_circle_outline
remove_circle_outline
remove_circle_outline
remove_circle_outline
remove_circle_outline
remove_circle_outline
remove_circle_outline
remove_circle_outline
remove_circle_outline
remove_circle_outline
remove_circle_outline
remove_circle_outline
remove_circle_outline
remove_circle_outline
remove_circle_outline
remove_circle_outline
remove_circle_outline
remove_circle_outline
remove_circle_outline
remove_circle_outline
remove_circle_outline
remove_circle_outline
remove_circle_outline

Article Types

Countries / Regions

remove_circle_outline
remove_circle_outline
remove_circle_outline
remove_circle_outline
remove_circle_outline
remove_circle_outline
remove_circle_outline
remove_circle_outline
remove_circle_outline
remove_circle_outline
remove_circle_outline
remove_circle_outline

Search Results (42,748)

Search Parameters:
Keywords = cancerous tumors

Order results
Result details
Results per page
Select all
Export citation of selected articles as:
15 pages, 1054 KB  
Systematic Review
Use of Instrumental Physical Therapies and Manual Therapy in Cancer Patients: A Systematic Review
by Luca Barni, Elio Carrasco Vega, Francesca Nacci, Marco Freddolini, Davide Falchi and Serena Guiducci
Cancers 2026, 18(3), 385; https://doi.org/10.3390/cancers18030385 - 26 Jan 2026
Abstract
Background/Objectives: The objective of this systematic review was to identify and analyze the available evidence on the indications and contraindications of physical and manual therapies in cancer survivors, including patients with metastatic disease and those with a history of neoplasia in follow-up. [...] Read more.
Background/Objectives: The objective of this systematic review was to identify and analyze the available evidence on the indications and contraindications of physical and manual therapies in cancer survivors, including patients with metastatic disease and those with a history of neoplasia in follow-up. Methods: A literature search covering the period from 2017 to 2025 was conducted using the following databases: PubMed, NICE, NHS Evidence, PEDro, MEDLINE, and ScienceDirect. Systematic reviews and meta-analyses investigating manual or instrumental physiotherapy interventions in cancer survivors were identified and analyzed according to the PRISMA checklist. Results: Of the initial 2232 studies retrieved across the databases, 9 studies met the inclusion criteria. The available evidence suggests a positive effect of physiotherapy interventions on pain reduction in cancer survivors, both during and after chemotherapy. Conclusions: The clinical recommendation is to implement instrumental physical therapies and manual therapy as part of a multimodal approach rather than as isolated interventions. Close collaboration with the treating oncologist is recommended to determine whether the tumor type requires treatment to be performed away from the tumor site. No absolute contraindications to physiotherapy were identified, either during or after chemotherapy, including in patients with metastatic disease. Full article
(This article belongs to the Special Issue Physiotherapy in Advanced Cancer and Palliative Care)
17 pages, 2714 KB  
Article
Design and Application of Fluorescence Probes for Gold Nanocage Complex Perovskite Quantum Dots
by Ying Liu, Yinglian Wu, Hongliang Zhang, Ruiqi Bao, Jingjing Wang and Wei Chen
Nanomaterials 2026, 16(3), 168; https://doi.org/10.3390/nano16030168 - 26 Jan 2026
Abstract
In this study, a gold nanocage composite perovskite quantum dot fluorescent probe (MB-GNCs-PQDs) was designed and constructed. The GNCs-PQDs composite system was formed by the combination of gold nanocages (GNCs) and perovskite quantum dots (PQDs). Spectral analysis confirmed that its fluorescence intensity was [...] Read more.
In this study, a gold nanocage composite perovskite quantum dot fluorescent probe (MB-GNCs-PQDs) was designed and constructed. The GNCs-PQDs composite system was formed by the combination of gold nanocages (GNCs) and perovskite quantum dots (PQDs). Spectral analysis confirmed that its fluorescence intensity was significantly enhanced by 15.38% compared with that of pure PQDs. Furthermore, amino modification was performed on the nanomaterial. Through the specific design of molecular beacons (MB), the fluorescence emission spectrum of the probe was matched with the absorption peak of the quencher group BHQ2, and the effective closure of the fluorescence signal was achieved based on the Fluorescence Resonance Energy Transfer (FRET) effect. Subsequently, MB was immobilized on the surface of the composite system via amino covalent conjugation to complete the probe preparation. The prepared probe was applied to the detection of miRNA-4529-3P and miR-301b-3p, which are tumor markers of non-small cell lung cancer (NSCLC). The hybridization of target molecules with MB could trigger the disruption of FRET and the recovery of fluorescence signal, exhibiting excellent recognition performance. This study provides an experimental basis for the preparation of composite fluorescent probes, and the developed probe has potential application value in the field of tumor marker detection. Full article
(This article belongs to the Topic Advanced Materials in Chemical Engineering)
Show Figures

Figure 1

27 pages, 1631 KB  
Review
Advancements and Challenges in Mouse Models for NK Cell-Based Cancer Immunotherapy
by Chiara Vitale, Alessia Ruiba, Alessandra Dondero, Martina Serra, Alice Tassistro, Cristina Bottino and Roberta Castriconi
Cancers 2026, 18(3), 384; https://doi.org/10.3390/cancers18030384 - 26 Jan 2026
Abstract
NK cells are key components of the innate immune system, capable of recognizing and eliminating tumor or virus-infected cells and able to modulate both innate and adaptive immune responses. This makes NK cells attractive candidates for cancer immunotherapy, through passive approaches such as [...] Read more.
NK cells are key components of the innate immune system, capable of recognizing and eliminating tumor or virus-infected cells and able to modulate both innate and adaptive immune responses. This makes NK cells attractive candidates for cancer immunotherapy, through passive approaches such as adoptive NK cell transfer, or active approaches aimed at enhancing endogenous NK cell activity in vivo. Promising results have emerged from preclinical studies and early-phase clinical trials. Nevertheless, the therapeutic efficacy of NK cell-based approaches is often limited by several factors, such as the poor NK cell persistence in vivo, the inefficient tumor infiltration, and the immunosuppressive milieu typical of the tumor microenvironment. The preclinical development of NK cell-based therapies relies largely on animal models. Humanized mouse models have evolved from early immunodeficient strains to more advanced systems incorporating human cytokines, which more effectively support NK cell development, maturation, and function. These models have substantially improved our understanding of human NK cell biology and enabled the evaluation of novel therapeutic strategies. However, further optimization is still required to better recapitulate the tissue-specific heterogeneity of human NK cells and their conditioning by the tumor microenvironment. In this review, we provide an overview of recent advances in the generation of humanized mouse models for NK cell-based cancer immunotherapy, discussing their advantages and limitations and highlighting how emerging technologies may contribute to the development of more predictive preclinical platforms. Full article
(This article belongs to the Special Issue Insights from the Editorial Board Member)
Show Figures

Figure 1

20 pages, 779 KB  
Review
Does the B7-H3 Immune Checkpoint Have High Potential as a Therapeutic Target?
by Marco Agostini, Pietro Traldi and Mahmoud Hamdan
Cells 2026, 15(3), 239; https://doi.org/10.3390/cells15030239 - 26 Jan 2026
Abstract
B7-H3 (CD276), a member of the B7 family of proteins, is known to play a key role in the progression of a number of cancers. This protein is selectively expressed in both tumor cells and immune cells within the tumor microenvironment. Various investigations, [...] Read more.
B7-H3 (CD276), a member of the B7 family of proteins, is known to play a key role in the progression of a number of cancers. This protein is selectively expressed in both tumor cells and immune cells within the tumor microenvironment. Various investigations, including a number of clinical trials, have reported high levels of expression of this protein in cancerous tissues compared to their healthy counterparts. This difference in expression attracted various research efforts to establish whether such a difference can be linked to the therapeutic potential of this molecule. It is worth noting that B7-H3 is not the only immune checkpoint expressed at different levels in cancerous and healthy cells. Therapeutic strategies, based on different levels of expression, have been tested with other checkpoints. To inhibit the expression of some checkpoints, immune checkpoint inhibitors (ICIs) were developed. The introduction of these inhibitors for the treatment of some forms of advanced-stage tumors has been justly described as an important milestone in the landscape of immune therapy. Years after the launch of these inhibitors, numerous clinical trials revealed that these inhibitors benefit a narrow subset of patients suffering from advanced-stage tumors, while the majority of patients treated with these inhibitors either did not respond positively or simply did not respond at all (refractory patients). Other clinical trials showed that this form of treatment can provoke serious immune-related adverse events (irAEs). It is fair to state that changes in the expression level of a given protein in diseased tissue is an important parameter to take into account in the assessment of such a protein as a therapeutic target. However, the last ten years have demonstrated that taking the level of expression of a given checkpoint within a cancerous tissue is not sufficient to consider such expression a reliable predictive biomarker for the investigated disease. On the other hand, to establish a solid base for a given therapeutic strategy, these varying levels of expression have to be combined with a deep understanding of the biology of the molecule under investigation, as well as the identification and thorough analysis of the relevant signaling pathways, particularly those communicating with both the investigated molecule and the immune system. Recently, a number of pharmaceutical and biotechnology firms have suggested that B7-H3 is a highly promising therapeutic target for the development of immune therapeutics. In this review, we ask why hopes of better therapeutic performance are attached to this immune checkpoint. A partial answer to this question is provided through the careful consideration of the available data generated by various clinical trials. The contribution of mass spectrometry-based proteomics to this area of research is highlighted. Full article
Show Figures

Figure 1

29 pages, 802 KB  
Review
Nanotechnology-Enabled Precision Therapy for Lung Cancer in Never-Smokers
by Cristian Cojocaru, Adina Magdalena Țurcanu, Ruxandra Cojocaru and Elena Cojocaru
Pharmaceutics 2026, 18(2), 161; https://doi.org/10.3390/pharmaceutics18020161 - 26 Jan 2026
Abstract
Lung cancer in never-smokers (LCINS) represents a distinct clinical entity driven by dominant oncogenic alterations and characterized by a low tumor mutational burden. Although tyrosine kinase inhibitors (TKIs) achieve high initial response rates, their long-term efficacy is limited by suboptimal pharmacokinetics, restricted central [...] Read more.
Lung cancer in never-smokers (LCINS) represents a distinct clinical entity driven by dominant oncogenic alterations and characterized by a low tumor mutational burden. Although tyrosine kinase inhibitors (TKIs) achieve high initial response rates, their long-term efficacy is limited by suboptimal pharmacokinetics, restricted central nervous system (CNS) penetration, tumor microenvironment barriers, and acquired resistance. In this review, we critically assess the current state of nanotechnology-assisted drug delivery systems for LCINS, with a primary focus on how rationally designed nanocarriers can overcome biological barriers, enable molecular subtype-specific therapeutic strategies, and address mechanisms that limit clinical efficacy and durability of response. We conducted a structured literature search using PubMed and Web of Science (January 2022 to November 2025), focusing on primary studies reporting the preparation, physicochemical properties, and therapeutic performance of nanocarriers in in vitro and in vivo models, as well as available pharmacokinetic and clinical data. LCINS is characterized by inefficient vasculature, high extracellular matrix density, active efflux transporters, and immunosuppressive niches, and is frequently complicated by brain metastases. Nanocarrier-based platforms can enhance aqueous solubility, prolong systemic circulation, and improve tumor or CNS targeting. Co-delivery systems combining TKIs with nucleic acid-based therapeutics, together with stimuli-responsive platforms, offer the potential for simultaneous modulation of multiple oncogenic pathways and partial mitigation of resistance mechanisms. In summary, nanotechnology provides a promising strategy to improve both the efficacy and specificity of targeted therapies in LCINS. Successful clinical translation will depend on biologically aligned carrier–payload combinations, scalable and reproducible manufacturing processes, and biomarker-guided patient selection. Full article
23 pages, 3441 KB  
Article
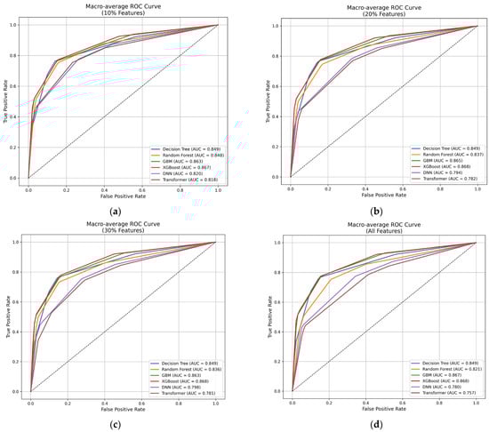
Integrating Large Language Models with Deep Learning for Breast Cancer Treatment Decision Support
by Heeseung Park, Serin Ok, Taewoo Kang and Meeyoung Park
Diagnostics 2026, 16(3), 394; https://doi.org/10.3390/diagnostics16030394 - 26 Jan 2026
Abstract
Background/Objectives: Breast cancer is one of the most common malignancies, but its heterogeneous molecular subtypes make treatment decision-making complex and patient-specific. Both the pathology reports and the electronic medical record (EMR) play a critical role for an appropriate treatment decision. This study [...] Read more.
Background/Objectives: Breast cancer is one of the most common malignancies, but its heterogeneous molecular subtypes make treatment decision-making complex and patient-specific. Both the pathology reports and the electronic medical record (EMR) play a critical role for an appropriate treatment decision. This study aimed to develop an integrated clinical decision support system (CDSS) that combines a large language model (LLM)-based pathology analysis with deep learning-based treatment prediction to support standardized and reliable decision-making. Methods: Real-world data (RWD) obtained from a cohort of 5015 patients diagnosed with breast cancer were analyzed. Meta-Llama-3-8B-Instruct automatically extracted the TNM stage and tumor size from the pathology reports, which were then integrated with EMR variables. A multi-label classification of 16 treatment combinations was performed using six models, including Decision Tree, Random Forest, GBM, XGBoost, DNN, and Transformer. Performance was evaluated using accuracy, macro/micro-averaged precision, recall, F1 score, and AUC. Results: Using combined LLM-extracted pathology and EMR features, GBM and XGBoost achieved the highest and most stable predictive performance across all feature subset configurations (macro-F1 ≈ 0.88–0.89; AUC = 0.867–0.868). Both models demonstrated strong discrimination ability and consistent recall and precision, highlighting their robustness for multi-label classification in real-world settings. Decision Tree and Random Forest showed moderate but reliable performance (macro-F1 = 0.84–0.86; AUC = 0.849–0.821), indicating their applicability despite lower predictive capability. By contrast, the DNN and Transformer models produced comparatively lower scores (macro-F1 = 0.74–0.82; AUC = 0.780–0.757), especially when using the full feature set, suggesting limited suitability for structured clinical data without strong contextual dependencies. These findings indicate that gradient-boosting ensemble approaches are better optimized for tabular medical data and generate more clinically reliable treatment recommendations. Conclusions: The proposed artificial intelligence-based CDSS improves accuracy and consistency in breast cancer treatment decision support by integrating automated pathology interpretation with deep learning, demonstrating its potential utility in real-world cancer care. Full article
(This article belongs to the Section Machine Learning and Artificial Intelligence in Diagnostics)
Show Figures

Figure 1

26 pages, 1806 KB  
Review
CXCR4: A Promising Novel Strategy for Lung Cancer Treatment
by Mengting Liao, Jianmin Wu, Tengkun Dai, Guiyan Liu, Jiayi Zhang, Yiling Zhu, Lin Xu and Juanjuan Zhao
Biomolecules 2026, 16(2), 188; https://doi.org/10.3390/biom16020188 - 26 Jan 2026
Abstract
Lung cancer remains a major public health challenge due to high incidence and mortality. The chemokine receptor CXCR4 and its ligand CXCL12 (SDF-1) constitute a critical axis in tumor biology, influencing tumor cell proliferation, invasion, angiogenesis, and immune evasion. Aberrant CXCR4 expression is [...] Read more.
Lung cancer remains a major public health challenge due to high incidence and mortality. The chemokine receptor CXCR4 and its ligand CXCL12 (SDF-1) constitute a critical axis in tumor biology, influencing tumor cell proliferation, invasion, angiogenesis, and immune evasion. Aberrant CXCR4 expression is frequently observed in lung cancer and is closely associated with adverse prognosis, enhanced metastatic potential, and therapeutic resistance. Mechanistically, CXCR4 activates signaling pathways including PI3K/AKT, MAPK/ERK, JAK/STAT, and FAK/Src, promoting epithelial–mesenchymal transition, stemness, and survival. The CXCL12/CXCR4 axis also orchestrates interactions with the tumor microenvironment, facilitating chemotaxis toward CXCL12-rich niches (e.g., bone marrow and brain) and modulating anti-tumor immunity via regulatory cells. Regulation of CXCR4 occurs at transcriptional, epigenetic, and post-transcriptional levels, with modulation by hypoxia, inflammatory signals, microRNAs, and post-translational modifications. Clinically, high CXCR4 expression correlates with metastasis, poor prognosis, and reduced response to certain therapies, underscoring its potential as a prognostic biomarker and therapeutic target. Therapeutic strategies targeting CXCR4 include small-molecule antagonists (e.g., AMD3100/plerixafor; balixafortide), anti-CXCR4 antibodies, and CXCL12 decoys, as well as imaging probes for patient selection and response monitoring (e.g., 68Ga-pentixafor PET). Preclinical and early clinical studies suggest that CXCR4 blockade can impair tumor growth, limit metastatic spread, and enhance chemotherapy and immunotherapy efficacy, although hematopoietic side effects and infection risk necessitate careful therapeutic design. This review synthesizes the molecular features, regulatory networks, and translational potential of CXCR4 in lung cancer and discusses future directions for precision therapy and biomarker-guided intervention. Full article
(This article belongs to the Section Biomacromolecules: Proteins, Nucleic Acids and Carbohydrates)
Show Figures

Figure 1

17 pages, 4317 KB  
Article
Natural Genetic Variation Impacts Stress-Induced Quiescence and Regeneration in Response to Rapamycin
by Sahiti Peddibhotla, Miriam Gonzaga, Tricia Zhang, Yasha Goel, Jun Sun, Benjamin R. Harrison, Daniel E. L. Promislow and Hannele Ruohola-Baker
Cells 2026, 15(3), 236; https://doi.org/10.3390/cells15030236 - 26 Jan 2026
Abstract
In response to ionizing radiation (IR), both adult and cancer stem cells enter reversible cell cycle arrest at the G1/S transition to evade apoptosis and subsequently re-enter the cell cycle to regenerate damaged tissue. Entry into and exit from this arrest, known as [...] Read more.
In response to ionizing radiation (IR), both adult and cancer stem cells enter reversible cell cycle arrest at the G1/S transition to evade apoptosis and subsequently re-enter the cell cycle to regenerate damaged tissue. Entry into and exit from this arrest, known as “quiescence,” is governed by the inhibition of mTORC1. The pharmacological suppression of mTORC1 with rapamycin prevents quiescent stem cells from re-entering the cell cycle and impairs tissue regeneration. Rapamycin holds great therapeutic promise in preventing tumor regrowth from dormant cancer stem cells. Yet the extent to which genetic background impacts the known variation in the pharmacological response of rapamycin remains unknown. Here, we show that natural genetic variation across the Drosophila Genetics Reference Panel (DGRP) drives substantial differences in the rapamycin-mediated suppression of post-IR quiescence and regeneration. To define the basis of this differential sensitivity, we examined mitochondrial turnover and DNA damage repair—processes controlling IR-induced dormancy. Our analyses reveal that variation in rapamycin sensitivity is more strongly associated with differences in mitochondrial dynamics than with DNA damage response following radiation. Together, these findings demonstrate that genetic background is a critical determinant of rapamycin efficacy and identify mitochondrial regulation as a key mechanism underlying differential therapeutic response. Full article
(This article belongs to the Special Issue Genetics and Gene Regulation)
Show Figures

Figure 1

33 pages, 4725 KB  
Review
Importance and Involvement of Imidazole Structure in Current and Future Therapy
by Alexandra Pavel Burlacu, Maria Drăgan, Ovidiu Oniga, Mădălina Nicoleta Matei, Ilioara Oniga, Elena-Lăcrămioara Lisă, Claudia-Simona Stefan and Oana-Maria Dragostin
Molecules 2026, 31(3), 423; https://doi.org/10.3390/molecules31030423 - 26 Jan 2026
Abstract
Imidazole is, from a structural point of view, a heterocycle consisting of three C atoms and two N atoms, belonging to the class of diazoles, having two N atoms at the first and third positions in the aromatic ring. Being a polar and [...] Read more.
Imidazole is, from a structural point of view, a heterocycle consisting of three C atoms and two N atoms, belonging to the class of diazoles, having two N atoms at the first and third positions in the aromatic ring. Being a polar and ionizable aromatic compound, it has the role of improving the pharmacological properties of lead molecules, thus being used to optimize their solubility and bioavailability. Imidazole is a constituent of many important biological compounds, like histidine, histamine, and purine compounds, the most widespread heterocyclic compound in nature. In current practice, substituted imidazole derivatives play a major role in antifungal, antibacterial, anti-inflammatory, CNS active compounds, antiprotozoal, as well as anticancer therapy. Thus, imidazole derivatives have demonstrated significant anticancer activities by inhibiting the key metabolic pathways essential for tumor cell growth and survival. Nitroimidazoles, for instance, have been employed as hypoxia-directed therapeutic agents, targeting oxygen-deprived tumor tissues, while mercaptopurine derivatives are well-established in oncological treatments. Structural modifications of the imidazole nucleus have led to the novel compounds exhibiting increased selective cytotoxicity against cancer cells, while sparing normal healthy cells. In accordance with what has been stated, this review highlights recent research on the medicinal and pharmaceutical interest of novel imidazole derivatives, emphasizing their potential in the development of new drugs. Full article
Show Figures

Figure 1

12 pages, 1412 KB  
Article
Radiofrequency Ablation for Recurrent Pleural Mesothelioma
by Hiroshi Kodama, Kozo Kuribayashi, Haruyuki Takaki, Kosuke Matsuda, Takashi Shinkai, Reona Wada, Atsushi Ogasawara, Masaki Hashimoto, Daichi Fujimoto, Toshiyuki Minami, Soichiro Funaki, Takashi Kijima and Koichiro Yamakado
Cancers 2026, 18(3), 381; https://doi.org/10.3390/cancers18030381 - 26 Jan 2026
Abstract
Background/Objectives: Pleural mesothelioma (PM) frequently recurs despite multimodal therapy. Here, we aimed to retrospectively evaluate the safety and potential clinical benefit of radiofrequency ablation (RFA) for recurrent PM. Methods: Fourteen consecutive patients underwent CT-guided RFA between July 2019 and June 2025. [...] Read more.
Background/Objectives: Pleural mesothelioma (PM) frequently recurs despite multimodal therapy. Here, we aimed to retrospectively evaluate the safety and potential clinical benefit of radiofrequency ablation (RFA) for recurrent PM. Methods: Fourteen consecutive patients underwent CT-guided RFA between July 2019 and June 2025. The cohort comprised 13 men and 1 woman, with a median age of 69 (range, 54–77) years. All patients had previously received systemic therapy, and 12 had undergone surgery. Seven patients (50%) presented with multiple lesions, and 25 tumors (median diameter 1.8 cm; range, 0.5–7.0 cm) were treated in 23 sessions. Outcomes assessed were local tumor control, complications, and survival. Local progression and overall survival were estimated using Kaplan–Meier analysis. Adverse events were classified according to the Society of Interventional Radiology guidelines. Results: Technical success was achieved in all sessions. Two tumors showed local recurrence, corresponding to 1- and 2-year local progression rates of 10.6%. Seven patients showed distant metastases, most of whom subsequently received systemic therapy. Three patients died, two from disease progression and one from treatment-related gastrointestinal perforation during therapy for an unrelated cancer. The overall survival rates were 100%, 100%, and 60% at 1, 3, and 5 years, respectively. Major and minor complications occurred in one case each (4.3%): a refractory skin ulcer and retroperitoneal hematoma, respectively. Conclusions: RFA was technically feasible and generally well tolerated and helped achieve encouraging local control and survival in patients with recurrent PM, warranting further evaluation of RFA as a complementary approach in multimodal treatment strategies. Full article
(This article belongs to the Special Issue Mesothelioma—from Diagnosis to Treatment)
Show Figures

Figure 1

27 pages, 1813 KB  
Review
Sweet Surprises: Decoding Tumor-Associated Glycosylation in Cancer Progression and Therapeutic Potential
by Eileena F. Giurini, Sam G. Pappas and Kajal H. Gupta
Cells 2026, 15(3), 233; https://doi.org/10.3390/cells15030233 - 26 Jan 2026
Abstract
Tumor-associated glycosylation is a defining hallmark of cancer, exerting profound effects on multiple aspects of tumor biology. This phenomenon arises from the central role of glycosylation in a wide range of cellular processes and its inherently diverse structural complexity. In cancer cells, aberrant [...] Read more.
Tumor-associated glycosylation is a defining hallmark of cancer, exerting profound effects on multiple aspects of tumor biology. This phenomenon arises from the central role of glycosylation in a wide range of cellular processes and its inherently diverse structural complexity. In cancer cells, aberrant glycosylation often results in the modification of glycoconjugate structures, leading to alterations in cell surface architecture that disrupt cellular homeostasis and signaling pathways. These changes can enhance tumor cell proliferation, invasion, and metastasis by modulating cell adhesion, receptor activation, and intracellular communication. Beyond its direct impact on cancer cells, tumor-associated glycosylation plays a pivotal role in shaping the tumor microenvironment. Aberrant glycan structures influence immune cell infiltration by altering antigen presentation and immune checkpoint interactions, contributing to immune evasion. Additionally, these modifications regulate angiogenesis by affecting endothelial cell function and promoting the formation of aberrant vasculature, which supports tumor growth and metastasis. Glycosylation also mediates tumor–stroma interactions, influencing extracellular matrix remodeling and fibroblast activation, further enhancing cancer progression. This interplay between cancer-associated glycan modifications and their functional roles in tumorigenesis presents a promising therapeutic approach. Unlike conventional treatments, glycan-targeting therapies confer high tumor specificity, operate independently of canonical immune checkpoint targets, and help mitigate immune cell exhaustion. This review explores commonly dysregulated glycan motifs implicated in tumorigenesis and delves into their mechanistic contributions to cancer pathogenesis. We then highlight emerging opportunities for therapeutic intervention, including the development of glycan-targeted therapies and biomarker-driven strategies for cancer diagnosis and treatment. We also outline where glycan-targeted agents (e.g., desialylating biologics, glycomimetics, and anti-glycan mAbs) can complement checkpoint blockade and potentially overcome immune escape. Full article
Show Figures

Figure 1

18 pages, 3927 KB  
Systematic Review
Extracellular Vesicle Associated Proteomic Biomarkers in Breast Cancer: A Systematic Review and Meta-Analysis
by Nahad Al-Mahrouqi, Hasan Al-Sayegh, Shoaib Al-Zadjali and Aafaque Ahmad Khan
Cells 2026, 15(3), 231; https://doi.org/10.3390/cells15030231 - 26 Jan 2026
Abstract
Breast cancer continues to be the most frequently diagnosed cancer among women worldwide and remains a leading cause of cancer-related mortality. Despite advances in imaging and biopsy-based approaches, current diagnostic methods are invasive, costly, and often insufficient to capture the molecular heterogeneity of [...] Read more.
Breast cancer continues to be the most frequently diagnosed cancer among women worldwide and remains a leading cause of cancer-related mortality. Despite advances in imaging and biopsy-based approaches, current diagnostic methods are invasive, costly, and often insufficient to capture the molecular heterogeneity of tumors. Extracellular vesicles (EVs) have emerged as promising non-invasive biomarkers owing to their role in intercellular communication and their enrichment with tumor-specific cargo. This study conducted a systematic review and meta-analysis of published literature to investigate proteomic alterations in EVs derived from breast cancer samples. From an initial 1097 records screened, four eligible studies were identified, reporting 628 differentially expressed proteins, of which 38 were consistently observed across multiple datasets. Functional enrichment analyses revealed predominant localization of these proteins to vesicle-associated compartments and significant involvement in biological processes related to cell growth, immune regulation, and tumor progression. Pathway analysis further highlighted integrin-mediated interactions, platelet activation, and hemostasis pathways as key molecular mechanisms represented within breast cancer EVs. Overall, the findings reveal a distinct EV proteomic signature in breast cancer that could support early detection and patient monitoring through minimally invasive testing. Future large-scale and standardized studies are needed to validate these candidate proteins and advance EV proteomics toward clinical application in breast cancer management. Full article
Show Figures

Figure 1

18 pages, 4493 KB  
Article
Integrated Single-Cell and Spatial Transcriptomics Coupled with Machine Learning Uncovers MORF4L1 as a Critical Epigenetic Mediator of Radiotherapy Resistance in Colorectal Cancer Liver Metastasis
by Yuanyuan Zhang, Xiaoli Wang, Haitao Liu, Yan Xiang and Le Yu
Biomedicines 2026, 14(2), 273; https://doi.org/10.3390/biomedicines14020273 - 26 Jan 2026
Abstract
Background and Objective: Colorectal cancer (CRC) liver metastasis (CRLM) represents a major clinical challenge, and acquired resistance to radiotherapy (RT) significantly limits therapeutic efficacy. A deep and comprehensive understanding of the cellular and molecular mechanisms driving RT resistance is urgently required to develop [...] Read more.
Background and Objective: Colorectal cancer (CRC) liver metastasis (CRLM) represents a major clinical challenge, and acquired resistance to radiotherapy (RT) significantly limits therapeutic efficacy. A deep and comprehensive understanding of the cellular and molecular mechanisms driving RT resistance is urgently required to develop effective combination strategies. Here, we aimed to dissect the dynamic cellular landscape of the tumor microenvironment (TME) and identify key epigenetic regulators mediating radioresistance in CRLM by integrating cutting-edge single-cell and spatial omics technologies. Methods and Results: We performed integrated single-cell RNA sequencing (scRNA-seq) and spatial transcriptomics (ST) on matched pre- and post-radiotherapy tumor tissues collected from three distinct CRLM patients. Employing a robust machine-learning framework on the multi-omics data, we successfully identified MORF4L1 (Mortality Factor 4 Like 1), an epigenetic reader, as a critical epigenetic mediator of acquired radioresistance. High-resolution scRNA-seq analysis of the tumor cell compartment revealed that the MORF4L1-high subpopulation exhibited significant enrichment in DNA damage repair (DDR) pathways, heightened activity of multiple pro-survival metabolic pathways, and robust signatures of immune evasion. Pseudotime trajectory analysis further confirmed that RT exposure drives tumor cells toward a highly resistant state, marked by a distinct increase in MORF4L1 expression. Furthermore, cell–cell communication inference demonstrated a pronounced, systemic upregulation of various immunosuppressive signaling axes within the TME following RT. Crucially, high-resolution ST confirmed these molecular and cellular interactions in their native context, revealing a significant spatial co-localization of MORF4L1-expressing tumor foci with multiple immunosuppressive immune cell types, including regulatory T cells (Tregs) and tumor-associated macrophages (TAMs), thereby underscoring its role in TME-mediated resistance. Conclusions: Our comprehensive spatial and single-cell profiling establishes MORF4L1 as a pivotal epigenetic regulator underlying acquired radioresistance in CRLM. These findings provide a compelling mechanistic rationale for combining radiotherapy with the targeted inhibition of MORF4L1, presenting a promising new therapeutic avenue to overcome treatment failure and improve patient outcomes in CRLM. Full article
(This article belongs to the Special Issue Epigenetic Regulation in Cancer Progression)
Show Figures

Figure 1

26 pages, 2825 KB  
Review
Ecotoxicological Aspects of Hair Dyes: A Review
by Letícia Cristina Gonçalves, Matheus Mantuanelli Roberto and Maria Aparecida Marin-Morales
Colorants 2026, 5(1), 4; https://doi.org/10.3390/colorants5010004 - 26 Jan 2026
Abstract
Hair dyes are widely used across all socioeconomic groups and regions worldwide. However, some studies indicate that these products contain substances known to be toxic to a wide variety of organisms. Moreover, dyeing practices generate effluents that may carry the toxicity of hair [...] Read more.
Hair dyes are widely used across all socioeconomic groups and regions worldwide. However, some studies indicate that these products contain substances known to be toxic to a wide variety of organisms. Moreover, dyeing practices generate effluents that may carry the toxicity of hair dyes into the environment. Due to these facts, there is great concern about the impacts these products may have on the environment, as well as on the health of their users and professionals in the field of cosmetology. This scoping review analyzed 184 publications from major databases (PubMed, SciELO, Scopus, Google Scholar, and MEDLINE). Ultimately, 126 scientific studies published between 1981 and 2024 were included based on methodological rigor and their relevance to the One Health framework. According to the literature, the components of hair dyes can induce adverse responses in biological systems, ranging from reversible topical irritations to severe systemic effects. Among the studies evaluated, more than half reported significant toxicological or genotoxic associations related to oxidative dye components such as p-phenylenediamine and its derivatives. These compounds are frequently associated with various types of human cancers, including breast, prostate, bladder, skin, ocular cancers, and brain tumors. In addition to their effects on humans, hair dyes exhibit ecotoxicity, which may threaten the maintenance of ecosystems exposed to their residues. The reported environmental impacts result from effluent emissions after successive hair washes that release unreacted dye residues. Due to the low biodegradability of these compounds, conventional wastewater treatment methods are often ineffective, leading to environmental accumulation and changes in aquatic ecosystems, soil fertility, and trophic balance. Data on the toxicity of hair dye effluents remain scarce and sometimes contradictory, particularly regarding the effects of their transformation products and metabolites. Overall, the evidence underscores the need for continuous monitoring, updated risk assessments, and the adoption of advanced treatment technologies specific to beauty salon effluents. The information presented in this work may support further studies and guide public management agencies in developing policies for mitigating the impacts of hair dye pollutants within the One Health perspective. Full article
Show Figures

Figure 1

13 pages, 2822 KB  
Article
Genetically Engineered Biomimetic Nanovesicles Co-Deliveing a Checkpoint Inhibitor and Doxorubicin for Enhanced Cancer Chemo-Immunotherapy
by Yunying Xing, Xinyi Liu, Zhenkun Wang, Yingze Wang, Jing Zhang and Wenxiang Zhu
Pharmaceutics 2026, 18(2), 159; https://doi.org/10.3390/pharmaceutics18020159 - 26 Jan 2026
Abstract
Background/Objectives: Despite the clinical success of immune checkpoint blockade (ICB), its efficacy remains limited in immunologically “cold” tumors, primarily due to poor immunogenicity and an immunosuppressive tumor microenvironment (TME). Chemo-immunotherapy offers a potential strategy to enhance ICB response, yet its application is [...] Read more.
Background/Objectives: Despite the clinical success of immune checkpoint blockade (ICB), its efficacy remains limited in immunologically “cold” tumors, primarily due to poor immunogenicity and an immunosuppressive tumor microenvironment (TME). Chemo-immunotherapy offers a potential strategy to enhance ICB response, yet its application is often hindered by inadequate tumor-targeted delivery and systemic immunosuppressive side effects. Biomimetic nanotechnology represents a promising approach to overcoming these limitations by improving drug delivery and facilitating effective combination regimens. Methods: We developed a biomimetic nanosystem (NVs@DOX) through genetic engineering of cellular membranes and optimized nanoformulation techniques, enabling co-delivery of doxorubicin (DOX) and ICB agents. This design aims to maximize synergistic antitumor effects while minimizing adverse impacts. Results: In vitro studies demonstrated the potent cytotoxicity of NVs@DOX, including significant inhibition of cancer cell proliferation and complete suppression of colony formation. In a 4T1 murine breast cancer model, NVs@DOX treatment led to substantial tumor growth inhibition (approximately 72%) without notable body weight loss, underscoring a favorable safety profile alongside enhanced therapeutic efficacy. Conclusions: The NVs@DOX platform effectively integrates doxorubicin with ICB within a biomimetic nanocarrier, significantly improving chemo-immunotherapy outcomes. This strategy highlights the potential of genetically engineered cellular nanoparticles as a promising combinatorial approach for the treatment of breast cancer. Full article
Show Figures

Figure 1

Back to TopTop