Sign in to use this feature.

Years

Between: -

Subjects

remove_circle_outline
remove_circle_outline
remove_circle_outline
remove_circle_outline
remove_circle_outline
remove_circle_outline
remove_circle_outline
remove_circle_outline
remove_circle_outline

Journals

Article Types

Countries / Regions

Search Results (143)

Search Parameters:
Keywords = bumblebee

Order results
Result details
Results per page
Select all
Export citation of selected articles as:
10 pages, 1090 KB  
Communication
Experimental Florivory Influences Reproductive Success in the Field Bindweed (Convolvulus arvensis)
by Pavol Prokop, Adrián Purkart and Juraj Litavský
Plants 2026, 15(2), 225; https://doi.org/10.3390/plants15020225 - 11 Jan 2026
Viewed by 344
Abstract
Florivory is the consumption or damage of flowers by herbivorous animals. It can directly affect plant fitness by damaging reproductive organs or indirectly by negatively influencing flower attractiveness to pollinators. We investigated florivory in field bindweed Convolvulus arvensis L. (Convolvulaceae) by combining data [...] Read more.
Florivory is the consumption or damage of flowers by herbivorous animals. It can directly affect plant fitness by damaging reproductive organs or indirectly by negatively influencing flower attractiveness to pollinators. We investigated florivory in field bindweed Convolvulus arvensis L. (Convolvulaceae) by combining data from natural surveys, experimental damage, and laboratory experiments on flower preferences of florivores. Surveys showed that flowers suffer damage from predators, including Leptophyes albovittata Kollar (Orthoptera: Tettigoniidae), which causes partial corolla damage, and from unknown predators that cause holes in the corolla. Experimentally damaged flowers had significantly lower reproductive success (number of seeds and proportion of total reproductive failure) than intact flowers. However, laboratory experiments with naïve bumblebees Bombus terrestris L. (Hymenoptera: Apidae) failed to detect a preference for undamaged flowers. This may be because B. terrestris is not a frequent pollinator of C. arvensis at our field sites, and naïve foragers, lacking prior experience, had not learned to associate corolla damage with reduced floral rewards. Our research shows that florivory negatively impacts C. arvensis reproductive success by altering pollinator behavior through reduced flower attractiveness. Full article
(This article belongs to the Special Issue Florivory: The Ecology and Evolution of Flower Predation)
Show Figures

Figure 1

30 pages, 22904 KB  
Article
Experimental and Computational Study of Rotational Lift Production of Insect Flapping Wing
by May Hlaing Win Khin, Samuel Verboomen and Shinnosuke Obi
Appl. Sci. 2026, 16(2), 724; https://doi.org/10.3390/app16020724 - 9 Jan 2026
Viewed by 256
Abstract
This paper investigates the rotational lift production of translating and rotating wings within a small insect’s Reynolds number range. Using the Reynolds number 1200 of a bumblebee, three wing section profiles were studied: a circular cylinder model as a reference for a blunt [...] Read more.
This paper investigates the rotational lift production of translating and rotating wings within a small insect’s Reynolds number range. Using the Reynolds number 1200 of a bumblebee, three wing section profiles were studied: a circular cylinder model as a reference for a blunt body for which the well-known Magnus effect will occur, a flat plate model as a reference for a sharp body for which the Kramer effect will occur, and finally, an elliptical cylinder model as a transition case. Direct force measurement and particle image velocimetry (PIV) experiments were performed to measure the lift produced and the surrounding flow velocity, and the Kutta–Joukowski theorem was applied to analyze the PIV results. The Kutta–Joukowski theorem gives the relationship between lift and circulation on a body moving at constant speed in a real fluid with some constant density. The experimental results were analyzed and verified by comparing them to the computational results. In general, there is reasonable agreement between the experimental and computational results, confirming that the Magnus effect is observed for the circular cylinder model and no Kramer effect is observed for the flat plate model. The elliptical cylinder model does not appear to be blunt enough for the Magnus effect to occur, and it is not sharp enough for the Kramer effect to occur. Full article
Show Figures

Figure 1

17 pages, 2818 KB  
Article
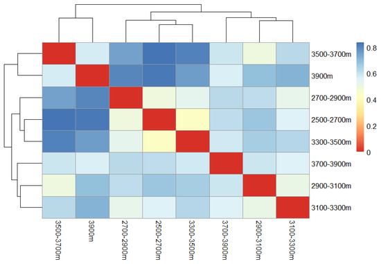
Bumblebee Diversity in Different Habitat Types and Along an Altitudinal Gradient at a Forest–Grassland Ecotone in the East Range of the Qinghai–Tibet Plateau
by Xunlu Xu, Lei Bai, Zhaolong Wang, Jianping He, Yalin Zhang and Xiushan Li
Insects 2026, 17(1), 49; https://doi.org/10.3390/insects17010049 - 30 Dec 2025
Viewed by 506
Abstract
Bumblebees are the most important pollinators in alpine areas. Their survival is vulnerable to anthropogenic disturbance. To comprehend the variation in bumblebee diversity in different habitat types and altitudinal gradient, this study carried out transect counting in three distinct habitat types and altitudinal [...] Read more.
Bumblebees are the most important pollinators in alpine areas. Their survival is vulnerable to anthropogenic disturbance. To comprehend the variation in bumblebee diversity in different habitat types and altitudinal gradient, this study carried out transect counting in three distinct habitat types and altitudinal gradient in the source area of the Bailong River between June and September from 2021 to 2022. The result indicates (1) high species richness in bumblebees, as 27 species and 1106 individuals from 9 subgenera were collected. It indicates that the Forest–Grassland ecotone has rich bumblebee diversity. Edge effective and suitable habitats bred rich bumblebees. (2) Species richness and abundance differed between three habitat types: alpine meadows had the highest; shrubs on the forest edge had the second highest; and grasslands had the lowest. (3) The distribution pattern in the altitude of bumblebees shows two peaks. The species richness and abundance of bumblebee are highest in the ranges of 3500–3700 m and 2900–3100 m, while 3100–3500 m is lower than the other altitude ranges, presumably because this range is just a large grassland with overgrazing. (4) The results of redundancy analysis indicate that environmental factors significantly affect the diversity of bumblebees. (5) The conservation measures should mainly focus on alpine meadows, as they are the most important habitat of the bumblebee. Reducing overgrazing in large-scale grasslands is beneficial to bumblebees as well as wildflower plants. Full article
(This article belongs to the Special Issue Bumblebee Biology and Ecology)
Show Figures

Figure 1

19 pages, 3634 KB  
Article
The Neuropeptide Neuroparsin-A Regulates the Establishment of Dominance Hierarchy in Bumblebees
by Hao Wang, Yuwen Liu, Xiaohuan Mu, Wenjing Xu, Huiling Liu, Qiyao Yong, Xiaofei Wang, Yifan Zhai and Hao Zheng
Int. J. Mol. Sci. 2026, 27(1), 91; https://doi.org/10.3390/ijms27010091 - 21 Dec 2025
Viewed by 565
Abstract
The regulation of reproductive division of labor in eusocial insects is pivotal for the evolution and maintenance of social organization. In Bombus terrestris, dominance hierarchies emerge among orphan workers through repeated agonistic interactions, forming distinct behavioral ranks. To explore the neural basis [...] Read more.
The regulation of reproductive division of labor in eusocial insects is pivotal for the evolution and maintenance of social organization. In Bombus terrestris, dominance hierarchies emerge among orphan workers through repeated agonistic interactions, forming distinct behavioral ranks. To explore the neural basis of this process, we combined behavioral assays with single-nucleus RNA sequencing to profile brain-wide gene expression across α-, β-, and γ-bumblebee workers. Our analyses revealed pronounced transcriptional divergence among Kenyon cells, which exhibited enrichment in synaptic, insulin, and MAPK signaling pathways. Among the neuropeptides examined, Neuroparsin-A was markedly upregulated in the Kenyon cells and glial cells of dominant workers, while its receptor, OR1, showed strong expression within Kenyon populations, suggesting a conserved neuropeptide–receptor axis in social Hymenoptera. Gene regulatory network inference further identified ecdysone-responsive transcription factors, including br, Eip74EF, Hr38, Hr3 and Hr4, as key regulators linked to neural plasticity and behavioral differentiation. Together, our findings uncover a neuroendocrine mechanism in which Neuroparsin-A signaling coordinates brain transcriptional programs associated with dominance hierarchy formation in queenless bumblebee societies, offering new insights into the molecular underpinnings of eusocial behavior. Full article
Show Figures

Figure 1

12 pages, 2959 KB  
Article
Behavioral Responses of the Bumblebee Bombus terrestris to Volatile Compounds from Blueberries
by Yun He, Jiaru Zhang, Ziyang Hu, Yingxue Cao, Kevin H. Mayo, Duo Liu and Mingju E
Biology 2025, 14(11), 1570; https://doi.org/10.3390/biology14111570 - 9 Nov 2025
Cited by 1 | Viewed by 814
Abstract
Bumblebees are important pollinating insects in crop pollination. Chemical attractants can effectively improve the flower-visiting efficiency of bumblebees, thereby increasing blueberry yields. To identify volatile compounds that attract bumblebees, we collected volatile compounds from blueberry flowers using headspace extraction. Gas chromatography– mass spectrometry [...] Read more.
Bumblebees are important pollinating insects in crop pollination. Chemical attractants can effectively improve the flower-visiting efficiency of bumblebees, thereby increasing blueberry yields. To identify volatile compounds that attract bumblebees, we collected volatile compounds from blueberry flowers using headspace extraction. Gas chromatography– mass spectrometry (GC–MS) identified 32 volatile compounds, with Linalool and Styrene being the primary substances that accounted for 25.93% and 14.28%, respectively. The olfactory threshold of bumblebee antennae was assessed using electroantennography (EAG), and the behavioral responses from bumblebees were investigated using a Y-tube olfactometer. Results indicate that among the six classes of volatiles—alcohols, aldehydes, esters, ketones, aromatic compounds, and olefins—alcohols constituted the predominant proportion. Among these, six compounds—benzaldehyde, phenylpropylaldehyde, citral, linalool, α-terpineol, and geraniol—induced significant antennal responses in bumblebees. Our assays showed that geraniol, linalool, and α-terpineol at concentrations of 0.1 μg/μL, 1 μg/μL, and 10 μg/μL elicited attraction, whereas higher concentrations of benzaldehyde, benzenepropanal, and citral had repellent effects. Full article
(This article belongs to the Special Issue The Biology, Ecology, and Management of Plant Pests)
Show Figures

Figure 1

22 pages, 4964 KB  
Article
Effect of Pollination Methods on Fruit Development in Greenhouse Watermelon: Physiological and Molecular Perspectives
by Wenqin Wu, Weihua Ma, Lixin Li, Jia Lei, Huailei Song, Haiying Zhi and Jinshan Shen
Agriculture 2025, 15(21), 2291; https://doi.org/10.3390/agriculture15212291 - 3 Nov 2025
Viewed by 1031
Abstract
Different pollination methods can affect the development and quality of watermelon fruit. The physiological changes in the early development of watermelon after using different pollination methods are unclear. In this study, we focused on the effects of hand pollination (H), honeybee pollination (HB), [...] Read more.
Different pollination methods can affect the development and quality of watermelon fruit. The physiological changes in the early development of watermelon after using different pollination methods are unclear. In this study, we focused on the effects of hand pollination (H), honeybee pollination (HB), and bumblebee pollination (BB) at 1 day after pollination (1DAP) on the fruit setting rate, size, and endogenous hormone, gene, and protein expression levels using the transcriptome and proteome in greenhouse watermelon. Thus, we studied the physiological indicators of the final fruit at 40 DAP. At 1 DAP, the fruit setting rate and size of watermelon embryos showed no significant differences between the three groups. The indole-3-acetic acid (IAA) and isopentenyl adenosine (iPA) contents in the H group were highest, followed by the BB group and HB group. The abscisic acid (ABA) and gibberellin (GA3) contents were significantly higher in the BB group than in the H and HB groups. The zeatin (ZT) and carotenoid contents were lowest in the H group. The DEGs in H vs. HB and H vs. BB were mainly involved in plant hormone signal transduction, as well as amino acid and lipid metabolism. Moreover, phenylpropanoid biosynthesis and carotenoid biosynthesis were involved in H vs. HB, and carbohydrate metabolism was involved in H vs. BB. The DEGs in HB vs. BB were mainly involved in pathways including zeatin biosynthesis and photosynthesis. The DEPs in H vs. HB and HB vs. BB were involved in flavonoid biosynthesis, whereas the DEPs in H vs. BB were involved in ribosomes and oxidative phosphorylation. At 40 DAP, bee pollination can promote sugar content and transportation. Functional and pathway changes among key genes and proteins and pheromones may co-regulate plant development. This study provides data support for exploring the effects of pollination techniques on watermelon fruit development under greenhouse conditions. Full article
(This article belongs to the Section Crop Production)
Show Figures

Figure 1

11 pages, 6324 KB  
Article
A Complete Reference DNA Barcode Library for Austrian Bumblebees
by Thomas Strohmeier, Sabine Schoder, Sylvia Schäffer, Jacqueline Grimm, Christian Sturmbauer and Stephan Koblmüller
Diversity 2025, 17(11), 746; https://doi.org/10.3390/d17110746 - 24 Oct 2025
Viewed by 624
Abstract
Bumblebees (Bombus spp.) are essential pollinators in natural and agricultural ecosystems but face increasing threats across Europe from habitat loss, climate change, and intensive land use. Austria hosts 42 recognized bumblebee species, yet comprehensive molecular data have been lacking. Here, we present [...] Read more.
Bumblebees (Bombus spp.) are essential pollinators in natural and agricultural ecosystems but face increasing threats across Europe from habitat loss, climate change, and intensive land use. Austria hosts 42 recognized bumblebee species, yet comprehensive molecular data have been lacking. Here, we present the first complete DNA barcode reference library for the Austrian bumblebee fauna, generated as part of the Austrian Barcode of Life initiative. This reference library includes 586 partial mitochondrial COI sequences. DNA barcoding successfully identified all species, with distinct Barcode Index Numbers (BINs) and no BIN sharing observed, demonstrating its reliability as a complementary method to traditional morphology-based identification. Intraspecific genetic diversity was generally low, though B. jonellus exhibited notable mitochondrial structure with a complex biogeographic pattern. Our results underscore the value of DNA barcoding as a straightforward tool for accurate species identification and biodiversity monitoring, even for non-experts, while also highlighting cryptic genetic variation within widely distributed species. This reference library provides a robust framework for taxonomic, ecological, and conservation research, and supports future metabarcoding-based monitoring efforts in Austria and beyond. Full article
(This article belongs to the Special Issue DNA Barcodes for Evolution and Biodiversity—2nd Edition)
Show Figures

Figure 1

14 pages, 657 KB  
Article
Comparative Mapping of N6-Methyladenine, C5-Methylcytosine, and C5-Hydroxymethylcytosine in a Single Species Reveals Constitutive, Somatic- and Germline-Specific, and Age-Related Genomic Context Distributions and Biological Functions
by Thibaut Renard and Serge Aron
Epigenomes 2025, 9(3), 35; https://doi.org/10.3390/epigenomes9030035 - 18 Sep 2025
Viewed by 996
Abstract
Background/Objectives: The DNA methylome allows environmental signals to be converted into stable and adaptive changes in gene expression. While 5-methylcytosine (5mC) has been extensively studied, alternative epigenetic marks such as N6-methyladenine (6mA) and 5-hydroxymethylcytosine (5hmC) remain poorly understood. Comparative studies of these marks [...] Read more.
Background/Objectives: The DNA methylome allows environmental signals to be converted into stable and adaptive changes in gene expression. While 5-methylcytosine (5mC) has been extensively studied, alternative epigenetic marks such as N6-methyladenine (6mA) and 5-hydroxymethylcytosine (5hmC) remain poorly understood. Comparative studies of these marks are rare, and their results are often confounded by phylogeny, tissue type, developmental stage, or methodology. Here, we aimed to disentangle the constitutive, somatic- and germline-specific, and/or age-related patterns displayed by 6mA, 5mC, and 5hmC within a single species. Methods: We generated long-read nanopore sequencing data for somatic tissues of buff-tailed bumblebee (Bombus terrestris) males and their sperm, enabling simultaneous detection of 6mA, 5mC, and 5hmC. We used a stepwise approach to successively identify (i) constitutive patterns conserved between somatic tissues and sperm, (ii) differences between the soma and the germline, and (iii) age-related changes between young and old males. Results: We found distinct constitutive, somatic and sperm, and age-related specific signatures in the genomic contexts, maintenance fidelity, and biological functions associated with 6mA, 5mC, and 5hmC. Sperm cells consistently displayed lower methylation entropy than did somatic tissues, indicating more stable methylation patterns in the germline. 5mC exhibited the greatest variation across all genomic contexts; 6mA and 5hmC displayed less dramatic differences. The influence of age was subtler but revealed context-dependent remodeling of methylation, particularly for 5hmC. Conclusions: We observed that 6mA, 5mC, and 5hmC displayed constitutive, somatic- and sperm-specific, and age-related differences that were associated with distinct genomic contexts and biological functions, supporting the complementarity of these methylation marks and their diverging epigenetic roles. Full article
(This article belongs to the Special Issue DNA Methylation Markers in Health and Disease)
Show Figures

Figure 1

15 pages, 18302 KB  
Article
Mapping Bumblebee Community Assemblages and Their Associated Drivers in Yunnan, China
by Huanhuan Chen, Muhammad Naeem, Licun Meng, Nawaz Haider Bashir, Maryam Riasat, Zichao Liu and Canping Pan
Biology 2025, 14(9), 1222; https://doi.org/10.3390/biology14091222 - 9 Sep 2025
Cited by 1 | Viewed by 1042
Abstract
Bumblebees are among the most important wild pollinators; however, their populations are declining worldwide due to factors such as climate change, habitat loss, and pesticide use. For their conservation, it is important to understand the community structure at the local scale and the [...] Read more.
Bumblebees are among the most important wild pollinators; however, their populations are declining worldwide due to factors such as climate change, habitat loss, and pesticide use. For their conservation, it is important to understand the community structure at the local scale and the drivers responsible for their assemblages. However, little is known about bumblebee community assemblages and their drivers in Yunnan Province, China. In this study, we mapped bumblebee community assemblages across 125 counties in Yunnan Province using field-collected and published data. We also quantified the climatic and land use/land cover (LULC) drivers shaping these assemblages. The climatic habitat suitability for 21 bumblebee species was assessed at the county level across Yunnan using species distribution modeling. The biogeographic zones (groups of counties) were identified using Ward’s agglomerative cluster analysis, and the impacts of 12 bioclimatic and LULC drivers on the zonation pattern were assessed using Canonical Correspondence Analysis (CCA). Results indicated that more than 70% of bumblebee species showed their highest environmental suitability in the northern region of Yunnan. Among climatic factors, temperature-related bioclimatic variables were identified as dominant drivers influencing the spatial distribution of 15 out of 21 bumblebee species within the counties of Yunnan. In contrast, five species, B. grahami, B. impetuosus, B. lepidus, B. picipies, and B. securus, showed the highest contribution from precipitation-related factors. Six biogeographic zones (I, II, III, IV, V, and VI) were identified using Ward’s agglomerative cluster analysis. All 12 drivers were found to play critical roles in shaping the community assemblages of bumblebee species. This study provides essential insights for devising targeted conservation strategies at a local scale to maintain bumblebee populations in Yunnan. Full article
(This article belongs to the Section Conservation Biology and Biodiversity)
Show Figures

Figure 1

13 pages, 1291 KB  
Article
Foraging Behaviors and Comparative Yield Effects of Bumblebee (Bombus terrestris Linnaeus) and Chinese Honeybee (Apis cerana cerana Fabricius) to Cherry (Prunus pseudocerasus ‘Hongdeng’) in Northern China
by Xunbing Huang, Yueyue Wang and Li Zheng
Insects 2025, 16(9), 900; https://doi.org/10.3390/insects16090900 - 28 Aug 2025
Viewed by 1101
Abstract
Bee pollination is an indispensable part of agricultural production and a crucial factor in maintaining ecosystem balance and biodiversity. Understanding foraging behavior and pollination effects is essential for the management of bee pollination. Over a two-year experiment, we evaluated the foraging behavior and [...] Read more.
Bee pollination is an indispensable part of agricultural production and a crucial factor in maintaining ecosystem balance and biodiversity. Understanding foraging behavior and pollination effects is essential for the management of bee pollination. Over a two-year experiment, we evaluated the foraging behavior and pollination effects of bumblebee Bombus terrestris and Chinese honeybee Apis cerana cerana on cherries in orchards. Results showed that all bees exhibited enhanced foraging activity as daytime temperatures rose in early spring. However, the daytime foraging activity of bumblebees differs from that of Chinese honeybees. The number of bumblebees leaving the hive exhibited two peak periods, whereas Chinese honeybees showed only one peak period. Bumblebees had longer working hours and greater pollen-carrying capacity than Chinese honeybees. Undoubtedly, cherries pollinated by bees had higher yields, as indicated by a greater fruit setting rate and yield. Thus, as effective pollinators, their pollination significantly boosts production and presents a viable option for widespread use in cherry cultivation. However, the risk of biological invasion by exotic bumblebees cannot be overlooked before extensive use. Full article
(This article belongs to the Special Issue Bee Conservation: Behavior, Health and Pollination Ecology)
Show Figures

Figure 1

11 pages, 2976 KB  
Article
Spread and Ecology of the Bumblebee Bombus haematurus (Hymenoptera: Apidae) in Northeastern Italy
by Elena Cargnus, Marino Quaranta, Alberto Villani and Pietro Zandigiacomo
Diversity 2025, 17(8), 534; https://doi.org/10.3390/d17080534 - 30 Jul 2025
Viewed by 1387
Abstract
Bombus haematurus (Hymenoptera: Apidae), which arrived from the Balkan Peninsula, was first reported in Italy in 2020 in the Friuli Venezia Giulia region (FVG) (northeastern Italy) near the border with Slovenia. To study the spread and biology of the species, a survey was [...] Read more.
Bombus haematurus (Hymenoptera: Apidae), which arrived from the Balkan Peninsula, was first reported in Italy in 2020 in the Friuli Venezia Giulia region (FVG) (northeastern Italy) near the border with Slovenia. To study the spread and biology of the species, a survey was conducted at several sites of the FVG in the period 2023–2025. Bombus haematurus was recorded at 22 new sites across all four districts of the FVG (Trieste, Gorizia, Udine, and Pordenone), indicating its expansion towards the west. Bumblebees of this species were detected in plain and hilly areas at sites between 10 and 364 m a.s.l. They were observed more frequently at forest edges, undergrowth paths or clearings and meadows adjacent to woods, confirming the species is hylophilous. The activity of adults from February to July confirms that the bumblebee is an univoltine spring species. Specimens were observed foraging on the flowers of 19 wild and ornamental plants belonging to 12 families (in particular, Lamiaceae), confirming that the species is polylectic. The data collected indicate that B. haematurus are permanently established in the FVG and that a further spread of the species towards the west in the neighbouring Veneto region is likely. Full article
(This article belongs to the Special Issue Diversity in 2025)
Show Figures

Figure 1

11 pages, 1095 KB  
Article
A Microsurgical Technique for Removing the Spermatheca of Bumblebee Females and Its Application
by Mingsheng Zhuang, Fan Yang, Zhongyan Xia, Yu Fei, Fugang Liu, Zhengyi Zhang, Zhihao Zhang and Jilian Li
Insects 2025, 16(7), 734; https://doi.org/10.3390/insects16070734 - 18 Jul 2025
Viewed by 1034
Abstract
To solve the technical bottleneck caused by the absence of a feasible method for removing the spermatheca in social insects, we developed a microsurgical technique specifically designed for bumblebee females. In this study, the invention of this technique is based on the anatomical [...] Read more.
To solve the technical bottleneck caused by the absence of a feasible method for removing the spermatheca in social insects, we developed a microsurgical technique specifically designed for bumblebee females. In this study, the invention of this technique is based on the anatomical characteristics of the sting chamber of bumblebees and uses a bespoke scalpel to precisely remove the spermatheca, which is small in size and deeply embedded within the body. During the removal operation, a small wound was observed and a small amount of hemolymph flowed out. The wound healed very quickly and the survival rate of treated individuals was high. The results showed that there was no significant impact on the critical life activities of queens and workers, including longevity, mating behavior, oviposition capacity, and overwintering survival rate after the spermatheca was removed using this technique. These findings further confirm the feasibility and applicability of the technique and provide strong technical support for exploring the evolutionary dynamics and potential function of the spermatheca in social insects. Full article
(This article belongs to the Section Social Insects and Apiculture)
Show Figures

Figure 1

22 pages, 317 KB  
Review
Glyphosate-Based Herbicides and Their Potential Impact on the Microbiota of Social Bees
by Juan P. Muñoz, Diego Soto-Jiménez, Anghel Brito and Claudio Quezada-Romegialli
Toxics 2025, 13(7), 551; https://doi.org/10.3390/toxics13070551 - 29 Jun 2025
Cited by 2 | Viewed by 3279
Abstract
Bee pollination is essential for terrestrial ecosystems and crop production. However, the species richness of wild bees and other pollinators has declined over the past 50 years, with some species experiencing dramatic decreases. A key factor in maintaining bee health is their gut [...] Read more.
Bee pollination is essential for terrestrial ecosystems and crop production. However, the species richness of wild bees and other pollinators has declined over the past 50 years, with some species experiencing dramatic decreases. A key factor in maintaining bee health is their gut microbiota, which plays an essential role in digestion, nutrient absorption, immune function, and resistance to pathogens. Disruptions to this microbiota can severely impact bee health, rendering them more susceptible to diseases and environmental stressors. Glyphosate, one of the most widely used herbicides, has been extensively studied for its effects on various organisms, with increasing evidence indicating its potential to disrupt bee microbiota. This review explores recent research on the effects of glyphosate and its formulations on the gut microbiota of honeybees and bumblebees. It examines species-specific responses, methodological approaches, and broader ecological implications. While evidence indicates that glyphosate can alter the gut microbiome in some bee species, its effects vary depending on exposure conditions, species, and the composition of microbial communities. Additionally, glyphosate formulations containing surfactants may exacerbate these effects. Given the endocrine-disrupting properties of glyphosate, further research is needed to understand the long-term consequences of exposure, especially its impact on hormonal regulation and bee resilience to environmental stressors. Full article
Show Figures

Graphical abstract

15 pages, 4535 KB  
Article
Population Size and Microhabitat Characteristics of the Endangered Endemic Plant Pedicularis hallaisanensis
by Chang Woo Lee, Hwan-Joon Park, Jung Eun Hwang, Hyeong Bin Park, Young-Joong Kim and Seongjun Kim
Diversity 2025, 17(6), 377; https://doi.org/10.3390/d17060377 - 27 May 2025
Viewed by 1093
Abstract
Pedicularis hallaisanensis is a strictly biennial, hemiparasitic herb endemic to Republic of Korea and listed as an endangered species. Its populations are limited to high-altitude habitats, with recent surveys confirming survival only in Gayasan. This study aimed to assess the population size and [...] Read more.
Pedicularis hallaisanensis is a strictly biennial, hemiparasitic herb endemic to Republic of Korea and listed as an endangered species. Its populations are limited to high-altitude habitats, with recent surveys confirming survival only in Gayasan. This study aimed to assess the population size and ecological traits of P. hallaisanensis to inform conservation strategies. We established 23 quadrats at 1400–1410 m above sea level and collected microhabitat data (air temperature, soil moisture, electroconductivity, vegetation cover, and species richness) from 2022 to 2024. Flora composition and pollinator species were surveyed, with bumblebees (Bombus ignitus, B. hypocrita sapporoensis) identified as the most frequent pollinators. General linear mixed models and Pearson’s correlation analysis showed a strong positive relationship between species richness and population size and between vegetation cover and stem height. The study area’s average temperature was 6.3 °C below Republic of Korea’s national average, suggesting that climate change could disrupt the microclimatic conditions necessary for this species’ survival. The findings highlight the importance of maintaining plant diversity and controlling invasive woody species to sustain P. hallaisanensis populations. Targeted conservation measures, including habitat management and ex situ propagation, are recommended to safeguard this vulnerable species. Full article
(This article belongs to the Section Biodiversity Conservation)
Show Figures

Figure 1

17 pages, 3057 KB  
Article
Complete Mitochondrial Genome Characterization and Phylogenomics of the Stingless Bee, Heterotrigona itama (Apidae: Meliponini)
by Orawan Duangphakdee, Pisit Poolprasert and Atsalek Rattanawannee
Insects 2025, 16(5), 535; https://doi.org/10.3390/insects16050535 - 19 May 2025
Viewed by 1956
Abstract
With increasing demand for stingless bee honey, meliponiculture has gained widespread attention. Heterotrigona itama is one of the most economically important species. However, excessive exploitation for commercial purposes has led to population declines, and the species is now considered vulnerable in Thailand. Despite [...] Read more.
With increasing demand for stingless bee honey, meliponiculture has gained widespread attention. Heterotrigona itama is one of the most economically important species. However, excessive exploitation for commercial purposes has led to population declines, and the species is now considered vulnerable in Thailand. Despite its ecological and economic significance, genomic and taxonomic information on H. itama remains limited. In this study, we sequenced and characterized the complete mitochondrial genome (mitogenome) of H. itama to explore its genome structure and phylogenetic position. The circular mitogenome is 15,318 bp in length and consists of 13 protein-coding genes (PCGs), 22 transfer RNA (tRNA) genes, and 2 ribosomal RNA (rRNA) genes. The genome exhibits a strong A+T bias (75.41%), which affects codon usage and amino acid composition. Isoleucine, methionine, and phenylalanine were the most commonly encoded amino acids. Gene arrangement was highly conserved and closely resembled that of Tetragonula species. Phylogenetic analyses confirmed that H. itama clusters with other stingless bees and is more closely related to bumblebees than to honeybees. Several gene rearrangements suggest a high degree of mitogenomic plasticity. This study provides essential genomic resources for future studies in systematics, phylogenetics, population genetics, and conservation of stingless bees in the Meliponini tribe. Full article
(This article belongs to the Special Issue Insect Mitogenome, Phylogeny, and Mitochondrial Genome Expression)
Show Figures

Graphical abstract

Back to TopTop