Sign in to use this feature.

Years

Between: -

Subjects

remove_circle_outline
remove_circle_outline
remove_circle_outline
remove_circle_outline
remove_circle_outline
remove_circle_outline
remove_circle_outline
remove_circle_outline
remove_circle_outline

Journals

Article Types

Countries / Regions

remove_circle_outline
remove_circle_outline
remove_circle_outline
remove_circle_outline

Search Results (211)

Search Parameters:
Keywords = bulk density (BD)

Order results
Result details
Results per page
Select all
Export citation of selected articles as:
20 pages, 2265 KB  
Article
Effects of Bamboo Expansion on Soil Enzyme Activity and Its Stoichiometric Ratios in Karst Broad-Leaved Forests
by Long Tong, Qingping Zeng, Lijie Chen, Xiaoying Zeng, Ling Shen, Fengling Gan, Minglan Liang, Lixia Chen, Xiaoyan Zhang and Lianghua Qi
Biology 2025, 14(12), 1761; https://doi.org/10.3390/biology14121761 - 9 Dec 2025
Viewed by 263
Abstract
The expansion ratio of bamboo forests has significantly influenced soil nutrient cycling in broad-leaved forests through alterations in vegetation composition. However, the extent to which varying expansion ratios of bamboo within broad-leaved forest areas (MRB) affect soil enzyme activities and stoichiometric ratio in [...] Read more.
The expansion ratio of bamboo forests has significantly influenced soil nutrient cycling in broad-leaved forests through alterations in vegetation composition. However, the extent to which varying expansion ratios of bamboo within broad-leaved forest areas (MRB) affect soil enzyme activities and stoichiometric ratio in karst regions with yellow limestone soil remains poorly understood. Therefore, we examined five MRB levels (<20%, 20–40%, 40–60%, 60–80%, and >80%) and three soil depths (0–20 cm, 20–40 cm, and 40–60 cm) to analyze variations in soil microbial resource limitation within a field experiment conducted in a karst region. The results revealed showed that root morphology was significantly less developed at both low (<20%) and high (≥80%) expansion ratios than at moderate expansion ratios (40–60%) and exhibited a decreasing trend with increasing soil depth. The soil TC (46.43 g·kg−1), SOC (80.05 g·kg−1) and N:P (0.96) reached their highest values in the 40–60% MRB, whereas the pH (4.61), BD (0.42 g·cm−3), AN (20.28 g·kg−1) and C:N (45.51) were lowest at 0–20 cm. Moreover, the CBH and the EC:N ratio at 40–60 cm depth in the 0–20% MRB were significantly 2.64 and 1.31 times greater than those at 0–20 cm depth in the 40–60% MRB. Mantel and structural equation modeling (SEM) analyses revealed that soil enzyme activity and stoichiometric ratios are indirectly influenced by soil bulk density (β = −0.156) and root characteristics (β = −0.630). Overall, both C and P limitations are present at the lowest MRB (<20%), whereas other MRB ranges exhibit only P limitation without C limitation. Our results highlight that soil nutrient availability in karst regions of Southwest China is influenced by vegetation structure. These findings provide a scientific foundation for achieving the green and sustainable management of bamboo forests within broad-leaved forest ecosystems. Full article
Show Figures

Figure 1

23 pages, 2251 KB  
Article
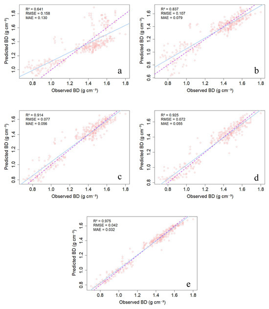
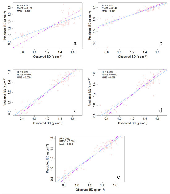
Machine Learning-Based Prediction of Soil Bulk Density Using Soil Penetration Resistance and Moisture
by Xiaole Zeng, Jian Wu, Baofeng Di and Chengmin Huang
Agronomy 2025, 15(12), 2737; https://doi.org/10.3390/agronomy15122737 - 27 Nov 2025
Viewed by 367
Abstract
Soil bulk density (BD) is a critical indicator for evaluating soil physical properties and compaction levels. However, the traditional core method is labor-intensive, time-consuming, and destructive. Given the significant positive correlation between BD and soil penetration resistance (PR), and the crucial influence of [...] Read more.
Soil bulk density (BD) is a critical indicator for evaluating soil physical properties and compaction levels. However, the traditional core method is labor-intensive, time-consuming, and destructive. Given the significant positive correlation between BD and soil penetration resistance (PR), and the crucial influence of gravimetric water content (GW), this study investigated the potential of using PR and GW data to predict BD. We integrated datasets from three representative study sites in China and Brazil, covering diverse soil texture types (sandy loam, clay loam, and clay), and employed two traditional empirical models (Multiple Linear Regression (MLR) and Multiple Nonlinear Regression (MNLR)) and three advanced machine learning (ML) models (Random Forest (RF), Support Vector Machine (SVM), and Extreme Gradient Boosting (XGB)) for prediction. The results demonstrated that the ML models significantly outperformed the traditional empirical models in prediction accuracy. On the independent validation set, the RF model exhibited the highest predictive performance, achieving a coefficient of determination (R2) as high as 0.932 and a root mean square error (RMSE) of only 0.074 g cm−3. Feature importance analysis indicated that GW was the most influential factor for predicting BD, showing a negative correlation. Furthermore, a critical accelerating point in the nonlinear positive relationship between BD and PR was identified at GW = 0.15 g g−1. Our findings confirm that ML approaches, especially RF and SVM models, offer an efficient and high-accuracy alternative for the rapid, routine estimation of soil BD, providing a crucial quantitative basis for managing agricultural soil compaction, while recognizing their limitations in transferability to environments with different soil characteristics or limited data availability. Full article
(This article belongs to the Section Precision and Digital Agriculture)
Show Figures

Figure 1

18 pages, 1774 KB  
Article
Effects of Long-Term Soil Management Under Alfalfa Cultivation on Soil Fertility and Salinity in Arid Agroecosystems of the Ziban Region, Algeria
by Fatima Zohra Batoul Touati, Abdelbasset Boumadda, Fouzi Benbrahim, Abderraouf Benslama and Jose Navarro-Pedreño
Soil Syst. 2025, 9(4), 132; https://doi.org/10.3390/soilsystems9040132 - 20 Nov 2025
Viewed by 405
Abstract
In arid regions, the soil degradation from salinization, low organic matter content, and compaction severely limits agricultural productivity. Leguminous perennials such as alfalfa (Medicago sativa L.) have the potential to restore soil quality, but their long-term effects remain underexplored in North African [...] Read more.
In arid regions, the soil degradation from salinization, low organic matter content, and compaction severely limits agricultural productivity. Leguminous perennials such as alfalfa (Medicago sativa L.) have the potential to restore soil quality, but their long-term effects remain underexplored in North African drylands. This study aimed to evaluate the impacts of long-term (7–8 years) alfalfa cultivation on soil fertility and salinity in the Ziban region of Algeria. Ninety topsoil samples (0–30 cm) from cultivated and adjacent uncultivated plots were collected and analyzed, determining organic matter (OM), soil organic carbon (SOC), soil nitrogen stock (SNS), electrical conductivity (EC), sodium adsorption ratio (SAR), pH, major cations (Ca2+, Mg2+, Na+), sulfate (SO42−), bulk density (BD), and texture. Compared with uncultivated soils, alfalfa cultivation increased OM by 82.26%, SOC by 78.38%, and SNS by 102.99%, while reducing EC by 40.36%, SAR by 28.94% and BD by 6.16% (p < 0.05), indicating significant improvements in fertility, structure and reductions in sodicity. PCA revealed distinct gradients separating fertility–salinity parameters from compaction–sodicity in cultivated and uncultivated soils. These results confirm that alfalfa systems enhance nutrient cycling, reduce salt stress, and improve structural stability in arid agroecosystems through reduced bulk density and increased organic matter in arid agroecosystems. Integrating alfalfa into land management strategies could promote sustainable restoration of degraded soils in drylands. Further research should optimize irrigation and organic inputs to maximize these benefits under climate-stress conditions. Full article
Show Figures

Figure 1

25 pages, 3783 KB  
Article
Application of a Multi-Component Conditioner as a Sustainable Management Practice for Enhancing Soil Properties and Hordeum vulgare L. Growth and Yield
by Jacek Długosz, Karol Kotwica, Ewelina Przybyszewska and Anna Piotrowska-Długosz
Sustainability 2025, 17(22), 10169; https://doi.org/10.3390/su172210169 - 13 Nov 2025
Viewed by 320
Abstract
The purpose of this study was to evaluate how a multi-component soil conditioner consisting of zeolite, calcium carbonate, potassium humate, and Ascophyllum nodosum extract affects selected soil properties (physical, chemical, and water-related properties, as well as microbial and enzymatic properties) and the growth [...] Read more.
The purpose of this study was to evaluate how a multi-component soil conditioner consisting of zeolite, calcium carbonate, potassium humate, and Ascophyllum nodosum extract affects selected soil properties (physical, chemical, and water-related properties, as well as microbial and enzymatic properties) and the growth and grain yield of spring barley (Hordeum vulgare L.). To achieve the goal, one-year research experiments were conducted at three conventionally tilled sites, which were situated on farms across three geographically separate regions in the Kuyavian–Pomeranian Region of Midwestern Poland. Most of the chemical properties, namely, total organic C, total N, pH in KCl, cation exchangeable capacity (CEC), as well as exchangeable (Mg, Ca, K, and Na) and available (Mg, K, and P) forms of nutrients, were not significantly affected by the conditioner or sampling time. Independent of the study location, the percentage of macropores in total porosity (TP) and dissolved nitrogen content (DNt) determined in July were considerably greater in the soil treated with Solactiv compared to the reference soil. Bulk density (BD), in turn, showed the opposite tendency, also suggesting the positive effect of the studied conditioner. At all study sites, application of the conditioner significantly reduced the percentage of micropores in total porosity (TP) (by 17%), while significantly increasing the content of macropores in TP (15%) and enhancing the percentage of available and readily available water capacity (8.5% and 14%). No clear changes in the results of C and N form and enzymatic activity were noted. The activities of DHA and FDAH behave differently in each study site, making it difficult to draw clear conclusions. The cellulase was the only enzyme that was significantly and positively affected by Solactiv at all study sites and for both sampling times. The values of dry matter of roots and plants, barley root length and surface, and barley grain yield were considerably greater in soil amended with Solactiv compared to the reference soil. Because some important soil and plant properties showed a positive response toward the tested conditioner, despite the low dose used, further studies should be conducted at a larger scale, focusing on different soils and plants. Full article
(This article belongs to the Special Issue Sustainable Environmental Analysis of Soil and Water)
Show Figures

Figure 1

35 pages, 6178 KB  
Article
Application of Principal Component and Multi-Criteria Analysis to Evaluate Key Physical and Chemical Soil Indicators for Sustainable Land Use Management in Arid Rangeland Ecosystems
by Hesham M. Ibrahim, Zafer Alasmary, Mosaed A. Majrashi, Meshal Abdullah Harbi, Abdullah Abldubise and Abdulaziz G. Alghamdi
Land 2025, 14(11), 2167; https://doi.org/10.3390/land14112167 - 30 Oct 2025
Viewed by 557
Abstract
Vast areas of natural rangelands in the Kingdom of Saudi Arabia (KSA) suffer from deterioration due to the scarcity of vegetation cover and poor soil quality. Assessing soil quality in rangelands is crucial to identifying degraded lands and to implementing proper sustainable management [...] Read more.
Vast areas of natural rangelands in the Kingdom of Saudi Arabia (KSA) suffer from deterioration due to the scarcity of vegetation cover and poor soil quality. Assessing soil quality in rangelands is crucial to identifying degraded lands and to implementing proper sustainable management practices. In this study, a total data set (TDS) containing 27 physical and chemical soil indicators was generated for three rangelands (Al-Fahyhyl, Al-Sahwa, and Al-Tamryate) in KSA. Principal component analysis (PCA) and analytic hierarchy process (AHP) analysis were employed to establish a minimum data set (MDS) and to evaluate key physical and chemical properties affecting soil quality, along with the associated weight factor for each indicator. Results indicated that the MDS represented ≥70% of the total variability of the TDS and accurately estimated the soil quality index (SQI) based on determined physical and chemical soil properties in the study regions. Linear regression indicated high correlation between SQI-TDS and SQI-MDS, with the R2 ranging between 0.51–0.87. On the surface layer (0–30 cm), the MDS contained seven soil indicators (sand, dispersion ratio (DR), mean weight diameter (MWD), bulk density (BD), total organic carbon (TOC), available phosphorus (Pa), and available potassium (Ka)), whereas in the sub-surface layer it contained six indicators (sand, DR, MWD, BD, TOC, Pa, and Ka). In all regions, sand had the largest weight factor (0.4514–0.4835), followed by TOC (0.2441–0.2512). Under the arid climate present in all the study sites, sand and TOC levels are crucial for nutrient retention, soil structure, and water retention. Most of the study areas had very low and low SQI (Al-Fahyhyl, 74.4%; Al-Sahwa, 61.8%; and Al-Tamryate, 81.7%), indicating an immediate need for suitable agricultural practices such as reduced tillage, increased organic amendments, and proper water management. The outcomes of this study offer valuable insights for land managers, legislators, and agricultural stakeholders to pinpoint regions in need of development, conduct comprehensive and continuous monitoring of SQI in rangeland areas, and implement land management plans for rangeland rehabilitation and environmental sustainability. Full article
Show Figures

Figure 1

14 pages, 4106 KB  
Article
Effects of Different Organic Fertilizer Gradients on Soil Nematodes and Physicochemical Properties in Subalpine Meadows of the Qinghai-Tibetan Plateau
by Rong Dai, Suxing Liu, Zhengwen Wang, Xiayan Zhou, Yajun Bai, Guoli Yin and Wenxia Cao
Agronomy 2025, 15(10), 2403; https://doi.org/10.3390/agronomy15102403 - 16 Oct 2025
Viewed by 355
Abstract
Grassland degradation stems from disordered energy flow and material cycling caused by heavy grazing pressure. Fertilization is an effective measure to restore degraded grasslands. However, the mechanisms through which organic fertilizers influence soil nematode communities remain poorly understood. The objective of this study [...] Read more.
Grassland degradation stems from disordered energy flow and material cycling caused by heavy grazing pressure. Fertilization is an effective measure to restore degraded grasslands. However, the mechanisms through which organic fertilizers influence soil nematode communities remain poorly understood. The objective of this study was to explore the correlation between soil nematode community structure and key environmental variables, and to identify the optimal local fertilization rates. This study was conducted in subalpine meadows located in the southeastern Qinghai-Tibetan Plateau, where organic fertilizer was applied for two consecutive years. The type of organic fertilizer is fully decomposed sheep manure. A total of seven treatments were established, including a no-fertilizer control group (CK) and six organic-fertilizer-application gradient groups (O1 to O6). The application rates of organic fertilizer for the gradient groups were as follows: 2250 kg·ha−1, 3750 kg·ha−1, 5250 kg·ha−1, 6650 kg·ha−1, 8250 kg·ha−1, and 9750 kg·ha−1, respectively. The results demonstrated that organic fertilizer significantly improved soil fertility and increased the relative abundance of phytophagous nematodes. In the soil nematode community, Aporcelaimellus, Criconemoides and Acrobeles were the dominant genera. Key environmental factors, including alkaline nitrogen (AN), soil bulk density (BD), soil pH (pH), and aboveground biomass (AGB), were identified as the primary drivers of changes in nematode community structure across different trophic types. The results of the principal component analysis (PCA) showed that O4 (6750 kg·ha−1, corresponding to 135 kg·ha−1 nitrogen and 67.5 kg·ha−1 phosphorus) was the ideal fertilizer rate for the region. This approach aimed to provide a scientific foundation for the enhanced restoration of degraded subalpine meadows. Full article
(This article belongs to the Section Grassland and Pasture Science)
Show Figures

Figure 1

17 pages, 2725 KB  
Article
Asymmetric Response of Grassland Greenhouse Gases to Nitrogen Addition: A Global Meta-Analysis
by Xiaoqing Cui, Yu Zhang and Xiping Song
Agronomy 2025, 15(10), 2365; https://doi.org/10.3390/agronomy15102365 - 9 Oct 2025
Viewed by 512
Abstract
Grassland ecosystems, a major component of the global carbon (C) and nitrogen (N) cycles, are increasingly impacted by anthropogenic N addition. However, a comprehensive, integrated assessment of all three major greenhouse gas (GHG) responses in grasslands is lacking. Here, we present the first [...] Read more.
Grassland ecosystems, a major component of the global carbon (C) and nitrogen (N) cycles, are increasingly impacted by anthropogenic N addition. However, a comprehensive, integrated assessment of all three major greenhouse gas (GHG) responses in grasslands is lacking. Here, we present the first global meta-analysis to evaluate the effects of N addition on all three major GHGs (i.e., nitrous oxide (N2O), methane (CH4), and carbon dioxide (CO2) fluxes) in grasslands. Our results show that N addition significantly and consistently stimulates N2O emissions, a response primarily modulated by key drivers such as grassland type, management, N addition rate and forms, humidity index (HI), and soil pH, clay, and total nitrogen (TN) content. In contrast, N addition has a minimal and non-significant overall effect on soil CO2 fluxes. For CH4, N addition causes a context-dependent reduction in uptake, an effect that is exacerbated by high mean annual precipitation (MAP) and soil bulk density (BD) but alleviated by high soil organic carbon (SOC) content. Notably, both CO2 and N2O showed a dose-dependent effect, while soil CO2 fluxes were unexpectedly suppressed by nitrate nitrogen (NO3) addition. Our findings indicate that the pronounced and consistent increase in N2O emissions is the dominant factor in GHG-related impacts in grasslands, implying a net positive climate forcing in grasslands from N enrichment, even if there is insufficient data to calculate net climate forcing directly. Our study highlights the heterogeneous nature of grassland GHG responses and provides critical insights for developing sustainable N management strategies to mitigate climate change. Full article
(This article belongs to the Section Grassland and Pasture Science)
Show Figures

Figure 1

15 pages, 3212 KB  
Article
Soil Microbial Communities Significantly Changed Along Stand Ages in Masson Pine (Pinus massoniana Lamb.) Plantation
by Weijun Fu, Bingyi Wang, Dunzhu Li and Yong Zhang
Plants 2025, 14(19), 3004; https://doi.org/10.3390/plants14193004 - 28 Sep 2025
Viewed by 585
Abstract
Soil microbial communities are important for nutrient cycling regulation in forest ecosystems. However, limited knowledge exists regarding the characteristics of these microbial communities in Masson pine (Pinus massoniana Lamb.) plantations of different stand ages. In this study, four planted Masson pine stands [...] Read more.
Soil microbial communities are important for nutrient cycling regulation in forest ecosystems. However, limited knowledge exists regarding the characteristics of these microbial communities in Masson pine (Pinus massoniana Lamb.) plantations of different stand ages. In this study, four planted Masson pine stands (8-year-old, 12-year-old, 22-year-old, and 38-year-old stands) and one natural broadleaved forest stand (as a control) with three replications, were selected in the Laoshan Forest Farm, Qiandao Lake Town, Zhejiang Province, China. Soil physicochemical properties were measured and their effects on soil microbial communities were studied. Amplicon-based high-throughput sequencing was employed to process raw sequence data for soil microbes. It is worth noting that significant differences (p < 0.05) in soil bacterial genera were observed among different stand age groups. Total nitrogen (TN), total phosphorus (TP), total potassium (TK), available potassium (AK), soil organic carbon (SOC), and soil bulk density (BD) were identified as the primary factors influencing bacterial community distribution (p < 0.05). Available nitrogen (AN), SOC, TN, and TK showed significant correlations with soil fungal communities (p < 0.05). These findings underscore the crucial role of soil physicochemical properties in shaping soil microbial community composition in Masson pine plantations. Full article
Show Figures

Figure 1

24 pages, 2271 KB  
Article
Co-Ridge Planting Enhances Yield Advantages of Maize Intercropping with Peanut by Improving Soil Aggregate Stability and the Ecological Stoichiometric Characteristics of Carbon, Nitrogen, and Phosphorus
by Zhiman Zan, Rentian Ma, Jiangtao Wang, Ling Liu, Tangyuan Ning and Nianyuan Jiao
Agronomy 2025, 15(9), 2227; https://doi.org/10.3390/agronomy15092227 - 20 Sep 2025
Cited by 2 | Viewed by 590
Abstract
Long-term maize (Zea mays L.) intercropping with peanut (Arachis hypogaea L.) (M||P) improves soil aggregate stability and phosphorus (P) availability, sustaining farmland productivity. In contrast, co-ridge planting (R-M||P) further enhances yield. However, the relationship between yield increase and improvements in soil [...] Read more.
Long-term maize (Zea mays L.) intercropping with peanut (Arachis hypogaea L.) (M||P) improves soil aggregate stability and phosphorus (P) availability, sustaining farmland productivity. In contrast, co-ridge planting (R-M||P) further enhances yield. However, the relationship between yield increase and improvements in soil aggregate stability and ecological stoichiometric characteristics under R-M||P remains unclear. Therefore, this study examined the effects of R-M||P on aggregate fractions and stability, bulk density (BD), porosity (Pt), soil organic carbon (SOC), total nitrogen (TN), available phosphorus (AP), total phosphorus (TP), and inorganic phosphorus, along with the ecological stoichiometric characteristics of C, N, and P. R-M||P substantially increased the proportion of topsoil macroaggregates, both mechanically stable (>0.5 mm) and water-stable (>1 mm), compared with flat planting. Additionally, it enhanced WR0.25 and mean weight diameter, substantially reduced BD, and increased Pt. Furthermore, R-M||P significantly increased the concentrations of SOC, TN, TP, AP, Ca2-P, Ca8-P, Al-P, and Fe-P. It also enhanced the contribution rates of SOC, TN, TP, and AP in macroaggregates, leading to increased storage of carbon (SCS), nitrogen (SNS), and phosphorus (SPS). R-M||P significantly elevated C:N and C:P ratios. Phosphorus application increased SOC and nutrient concentrations, positively regulated C:N, and enhanced C, N, and P storage. However, it negatively influenced C:P and N:P ratios. SOC and AP were the main driving factors affecting the intercropping advantage, with explanatory rates of 33.2% and 22.7%, respectively, under R-M||P. These findings suggest that R-M||P combined with P application enhances yield by promoting aggregate stability, increasing the concentrations and storage of C, N, and P, and establishing a new ecological stoichiometric balance. Full article
(This article belongs to the Section Innovative Cropping Systems)
Show Figures

Figure 1

26 pages, 3070 KB  
Article
Fertility Status and Soil Quality Assessment of Chernozem and Stagnosol Soils Under Organic Farming Practices
by Mirna Štrbac, Maja Manojlović, Vladimir Ćirić, Simonida Đurić, Ranko Čabilovski, Klara Petković, Dragan Kovačević and Mirjana Vijuk
Agronomy 2025, 15(9), 2214; https://doi.org/10.3390/agronomy15092214 - 19 Sep 2025
Viewed by 899
Abstract
Modern agricultural practices increasingly threaten soil quality, prompting growing interest in organic farming as a sustainable alternative. This study evaluated the effects of organic management on soil fertility and quality in comparison to conventional and undisturbed systems, focusing on fertile Chernozem and less [...] Read more.
Modern agricultural practices increasingly threaten soil quality, prompting growing interest in organic farming as a sustainable alternative. This study evaluated the effects of organic management on soil fertility and quality in comparison to conventional and undisturbed systems, focusing on fertile Chernozem and less favorable Stagnosol soils. A minimum data set of indicators was used, including bulk density (BD), soil organic carbon (SOC) content and stock, hot water extractable organic carbon (HWOC), and enzymatic activities (dehydrogenase and urease). An integrative statistical framework (blocked ANOVA and PCA) was applied to examine interactions between soil properties and different management practices, while Pearson’s correlations were employed to explore relationships within the organic system. Organic management improved soil quality in two soils, with pronounced benefits in Stagnosol, even after 5–10 years. Conventional production systems exhibited lower biological activity, poorer chemical properties, and higher BD. Long-term organic management (>10 years) in Chernozem enhanced soil quality levels approaching those of undisturbed pasture, while medium-term organic systems showed transitional characteristics. Sensitive indicators such as BD, SOC and HWOC detected early changes in Chernozem, with enzyme activities providing additional insight in Stagnosol. However, SOC stock did not differ significantly between organic and conventional systems due to BD influence. Overall, these findings emphasize the importance of organic farming practices, especially for less fertile soils, and support the use of integrated indicators for soil quality assessment. Full article
(This article belongs to the Special Issue Soil Organic Matter Contributes to Soil Health)
Show Figures

Figure 1

18 pages, 2227 KB  
Article
Sustaining Grape Yield and Soil Health Under Saline–Sodic Irrigation Through Amendments and Canal Water Application
by Karamjit Singh Sekhon, Anureet Kaur, Sudhir Thaman, Navjot Gupta, Anurag Malik, Chetak Bishnoi, Ozgur Kisi, Ali Salem and Mohamed A. Mattar
Water 2025, 17(18), 2683; https://doi.org/10.3390/w17182683 - 11 Sep 2025
Viewed by 898
Abstract
The present study was undertaken for six years to appraise the responses of four-year-old established grapevines (Vitis vinifera L., cv. Perlette) to saline–sodic groundwater irrigation in relation to different amendments in a field experiment on non-saline, non-sodic calcareous sandy loam soil under [...] Read more.
The present study was undertaken for six years to appraise the responses of four-year-old established grapevines (Vitis vinifera L., cv. Perlette) to saline–sodic groundwater irrigation in relation to different amendments in a field experiment on non-saline, non-sodic calcareous sandy loam soil under a semi-arid climate at the research farm of Punjab Agricultural University, Regional Research Station, Bathinda, Punjab, India. Different water quality treatments, viz., canal water or good-quality water (GQW), poor-quality saline–sodic groundwater (PQW), alternate irrigation of canal water and groundwater (GQW/PQW), PQW with 50% gypsum (CaSO4·2H2O) requirement (PQW + GR50), PQW with 100% gypsum requirement (PQW + GR100), and PQW with sulphitation pressmud (by-product of sugar industry) @ 6.6 t ha−1 on a dry weight basis (PQW + SPM), applied in furrows, were imposed in quadruplicate with a randomized block design. PQW with an electrical conductivity (EC) of 2.2–2.4 dS m−1, residual sodium carbonate (RSC) content of 6.21–6.44 mmolc L−1, and a sodium adsorption ratio (SAR) from 23.1 to 24.8 (mmolc L−1)0.5 was used during the course of experimentation. The pooled mean 6-year data showcased that the treatments GQW/PQW, PQW + GR50, PQW + GR100, and PQW + SPM improved the berry yield by 28.3%, 11.3%, 21.2%, and 31.0%, respectively, when compared with PQW. Use of amendments, i.e., gypsum, sulphitation pressmud, and practice of GQW/PQW for irrigation in a cyclic mode, helped in reducing the pH, SAR, and bulk density (BD) of surface soil (0–15 cm) and enhancing the final infiltration rate (FIR) of soil and berry yield. A maximum water use efficiency (WUE) of 3.99 q ha−1-cm was recorded in the GQW treatment, followed by 3.93, 3.72, and 3.68 q ha−1-cm in the PQW + SPM, GQW/PQW, and PQW + GR100 treatments, respectively. Application of amendments alongside PQW evidenced a significant enhancement in total soluble solids (TSSs) and a decrease in the acidity of berries as compared to PQW. These results suggest that table grape yield (cv. Perlette) on calcareous sandy loam soil under saline–sodic groundwater irrigation can be sustained with the application of PQW + GR100, sulphitation pressmud, and GQW/PQW in already-established grapevines with minimal detrimental effects on soil health. Full article
(This article belongs to the Section Water, Agriculture and Aquaculture)
Show Figures

Figure 1

20 pages, 2968 KB  
Article
Physicochemical and Techno-Functional Properties of Extruded Corn Starch Snacks Enriched with Huitlacoche (Ustilago maydis): Effects of Extrusion Parameters and Process Optimization
by Betsabé Hernández-Santos, Jesús Rodríguez-Miranda, José M. Juárez-Barrientos, Juan G. Torruco-Uco, Emmanuel J. Ramírez-Rivera, Erasmo Herman-Lara, Carlos A. Gómez-Aldapa and Ariana González-García
Processes 2025, 13(9), 2898; https://doi.org/10.3390/pr13092898 - 10 Sep 2025
Viewed by 756
Abstract
The main objective of this research was to evaluate the effect of extrusion temperature (ET), feed moisture content (FMC), and the proportion of huitlacoche relative to corn starch (HCP/Starch) on the physicochemical, techno-functional, and color properties of an extruded snack, using response surface [...] Read more.
The main objective of this research was to evaluate the effect of extrusion temperature (ET), feed moisture content (FMC), and the proportion of huitlacoche relative to corn starch (HCP/Starch) on the physicochemical, techno-functional, and color properties of an extruded snack, using response surface methodology to optimize processing conditions and product quality. A Box–Behnken design and response surface methodology were used to model and optimize the process. The responses analyzed included residence time (RT), specific mechanical energy (SME), expansion index (EI), bulk density (BD), texture (Tex), water absorption index (WAI), water solubility index (WSI), pH, and color parameters (L*, a*, b*, C*, h°, and ΔE). Results showed that the huitlacoche proportion significantly affected BD, Tex, WSI, and color, while ET and FMC mainly influenced EI, SME, and other techno-functional traits. Multi-response optimization indicated that 150.4 °C, 15.8 g/100 g FMC, and 10–20 g/100 g HCP/Starch maximized EI (2.27) and minimized BD (0.40 g/cm3), Tex (17.5 N), and SME (347.6 J/g). The overall performance was summarized by global desirability (0.83–0.88), a metric that combines all responses into a single scale (0 = poor; 1 = is the most desired goal). The optimized conditions produced snacks with acceptable hydration capacity, pH, and color, supporting huitlacoche as a viable functional ingredient. These findings demonstrate the potential of this traditional resource for developing sustainable, value-added, and health-oriented extruded foods. Full article
Show Figures

Figure 1

14 pages, 1622 KB  
Article
Vertical Differentiation Characteristics and Environmental Regulatory Mechanisms of Microbial Biomass Carbon and Nitrogen in Coastal Wetland Sediments from the Northern Yellow Sea
by Yue Zhang, Haiting Xu and Jian Zhou
Sustainability 2025, 17(17), 8082; https://doi.org/10.3390/su17178082 - 8 Sep 2025
Viewed by 741
Abstract
Coastal saltmarsh wetlands play a pivotal role in global carbon and nitrogen cycling, yet the vertical distribution characteristics of sediment carbon and nitrogen and their regulatory mechanisms remain uncertain. Microbial biomass carbon (MBC) and nitrogen (MBN) serve as critical [...] Read more.
Coastal saltmarsh wetlands play a pivotal role in global carbon and nitrogen cycling, yet the vertical distribution characteristics of sediment carbon and nitrogen and their regulatory mechanisms remain uncertain. Microbial biomass carbon (MBC) and nitrogen (MBN) serve as critical indicators of ecosystem functioning, representing the most labile organic fractions that directly mediate biogeochemical processes in coastal wetlands. We investigated Yalu River Estuary coastal wetlands in the northern Yellow Sea. Sediment cores (0–100 cm depth) were collected and stratified into 20-cm intervals to analyse physicochemical properties and carbon–nitrogen indicators, enabling quantitative assessment of vertical distribution patterns and environmental drivers. The key findings are as follows: (1) Both microbial biomass carbon (MBC) and nitrogen (MBN) exhibited significant depth-dependent decreases, with MBC decreasing sharply by 45% (90.42 to 60.06 mg/kg) in the 40–60 cm layer and MBN decreasing by 50% (7.50 to 3.72 mg/kg) in the 80–100 cm layer. Total carbon (TC) peaked in the 40–60 cm layer (6.49 g/kg), whereas total nitrogen (TN) continuously decreased (from 0.51 (surface) to 0.24 g/kg (bottom)). (2) Depth-specific controls were identified: Surface layers (0–20 cm) were governed by tidal scouring (causing TC loss) and pH buffering; subsurface layers (20–40 cm) were constrained by moisture content (MC) and bulk density (BD), with partial mitigation by labile TC; and deeper layers (40–100 cm) were dominated by chemical factors exhibiting TN limitation and high electrical conductivity (EC). Understanding these microbial biomass dynamics is particularly crucial for predicting how coastal wetlands will respond to climate change and anthropogenic disturbances, as MBC and MBN serve as sensitive early-warning indicators of ecosystem health. Notably, MBC and MBN in northern Yellow Sea coastal wetlands are regulated primarily by physical—biological interactions in surface sediments and chemical stressors in deeper layers, providing crucial theoretical foundations for precise wetland carbon sink assessment and sustainable ecosystem management. Full article
Show Figures

Figure 1

22 pages, 4063 KB  
Article
Assessing Ecological Restoration of Père David’s Deer Habitat Using Soil Quality Index and Bacterial Community Structure
by Yi Zhu, Yuting An, Libo Wang, Jianhui Xue, Kozma Naka and Yongbo Wu
Diversity 2025, 17(9), 594; https://doi.org/10.3390/d17090594 - 24 Aug 2025
Viewed by 779
Abstract
Although significant progress has been made in the conservation of Père David’s deer (Elaphurus davidianus) populations, rapid population growth in coastal wetlands has caused severe habitat degradation. This highlights the urgent challenge of balancing ungulate population dynamics with wetland restoration efforts, [...] Read more.
Although significant progress has been made in the conservation of Père David’s deer (Elaphurus davidianus) populations, rapid population growth in coastal wetlands has caused severe habitat degradation. This highlights the urgent challenge of balancing ungulate population dynamics with wetland restoration efforts, particularly considering the limited data available on post-disturbance ecosystem recovery in these environments. In this study, we evaluated soil quality and bacterial community dynamics at an abandoned feeding site and a nearby control site within the Dafeng Milu National Nature Reserve during 2020–2021. The goal was to provide a theoretical basis for the ecological restoration of Père David’s deer habitat in coastal wetlands. The main findings are as follows: among the measured indicators, bulk density (BD), soil water content (SWC), sodium (Na+), total carbon (TC), total nitrogen (TN), total phosphorus (TP), available potassium (AK), microbial biomass nitrogen (MBN), and the Chao index were selected to form the minimum data set (MDS) for calculating the soil quality index (SQI), effectively reflecting the actual condition of soil quality. Overall, the SQI at the feeding site was lower than that of the control site. Based on the composition of bacterial communities and the functional prediction analysis of bacterial communities in the FAPROTAX database, it is shown that feeding sites are experiencing sustained soil carbon loss, which is clearly caused by the gathering of Père David’s deer. Co-occurring network analyses demonstrated the structure of the bacterial community at the feeding site was decomplexed, and with a lower intensity than the control. In RDA, Na+ is the main soil property that affects bacterial communities. These findings suggest that the control of soil salinity is a primary consideration in the development of Père David’s deer habitat restoration programmes, followed by addressing nitrogen supplementation and carbon sequestration. Full article
(This article belongs to the Section Microbial Diversity and Culture Collections)
Show Figures

Figure 1

17 pages, 2364 KB  
Article
The Duration of Rice–Crayfish Co-Culture System Usage Alters the Soil Aggregate Size, Distribution, and Organic Carbon Fractions in the Profile
by Changjie Zhang, Ting Yang, Jingru Wang, Yixin Tian, Jingjing Bai, Danrui Gao and Wei Fu
Agronomy 2025, 15(8), 1907; https://doi.org/10.3390/agronomy15081907 - 8 Aug 2025
Viewed by 1117
Abstract
As an intensive eco-agricultural model, the rice–crayfish co-culture (RCC) system has been widely adopted in recent years due to its remarkable advantages in resource use, efficiency, and economic benefits. However, the long-term mechanisms by which this system affects the quantity and stability of [...] Read more.
As an intensive eco-agricultural model, the rice–crayfish co-culture (RCC) system has been widely adopted in recent years due to its remarkable advantages in resource use, efficiency, and economic benefits. However, the long-term mechanisms by which this system affects the quantity and stability of soil aggregate, as well as the vertical distribution of soil organic carbon (SOC) within aggregate across soil profiles, remain unclear. This study investigated the effects of varying duration (4 and 8 years) of RCC in Qianjiang City, Hubei Province. Soil samples were collected from six depth layers (0–10 cm, 10–20 cm, 20–30 cm, 30–40 cm, 40–80 cm, and 80–120 cm) to analyze the distribution characteristics of soil aggregate and SOC. The results demonstrated that, compared to the field which used RCC for a duration of 4 years, the field which used RCC for a duration of 8 years significantly reduced bulk density (BD) by 16.3% in the 40–80 cm layer. However, prolonged flooding has led to a 9.6% increase in the BD of the plow pan layer (10–20 cm) due to hydrostatic pressure and mechanical disturbances. Furthermore, the use of RCC for a duration of 8 years significantly enhanced the mass fractions of water-stable aggregates > 2 mm in the 0–80 cm soil layer at 0–10 cm (25.9%), 10–20 cm (30.2%), 20–30 cm (141.8%), 30–40 cm (172.4%), and 40–80 cm (112.9%), and improved aggregate stability throughout the entire soil profile. In terms of SOC distribution, the SOC concentration increased significantly with prolonged RCC usage across all soil layers, particularly in the 0–20 cm layer. The SOC was primarily derived from >2 mm (Large aggregate). Notably, although < 0.053 mm (Silt and clay) constituted a small proportion of the 0–20 cm layer, their SOC concentration reached 15.3–20.55 g kg−1. Overall, extended RCC duration reduced BD in nearly all soil layers, promoted the formation of macro-aggregate, enhanced aggregate stability, and increased the SOC concentration within macro-aggregate, while strengthening the SOC stocks capacity of the 80–120 cm soil layer from 2.58 kg C m−2 to 4.35 kg C m−2, an increase of 68.6%. Full article
(This article belongs to the Special Issue Soil Organic Matter Contributes to Soil Health)
Show Figures

Graphical abstract

Back to TopTop