Abstract
The search for new antibacterial agents is an important task due to the emergence of resistance to widely used drugs. Bromine-, chlorine-, and nitro-substituted phenyl ring azomethines with long alkyl chains (C12, C14, C16, and C18) were synthesized and characterized using several experimental methods (NMR and IR spectroscopy, elemental analysis, mass spectrometry). Antibacterial and antifungal activity was tested on several cultures; the synthesized compounds show activity at the level of some commercial antiseptics. Lipophilicity (an important descriptor for predicting biological properties) of the experimentally synthesized and isomeric molecules was determined by three different approaches: quantum chemistry, machine learning (GraphormerLogP model), and an atom contribution model (RDKit library). The quantum-chemical method can account for any spatial arrangements and can be considered the most accurate of the approaches used, but it requires significant computational time. The atom contribution model is the fastest of the methods used, but it gives underestimated results, and different isomers have exactly the same values, in contrast to the quantum chemistry results. Machine learning-based methods (GraphormerLogP) demonstrate acceptable accuracy, sensitivity to isomerism, and orders-of-magnitude higher throughput, making them an optimal tool for high-throughput screening.
1. Introduction
One of the actual tasks of modern chemistry is the search for new pharmacologically active substances. This is driven by the need to create drugs against new diseases, reduce toxicity and side effects, and improve the effectiveness of existing drugs. An additional problem, leading to the need to search for new antibacterial agents, is the development of bacterial resistance to widely used substances. A known strategy for obtaining new biologically active compounds is the functionalization of known biologically active molecules.
Azomethines, commonly known as Schiff bases, have firmly established their importance in modern chemical research due to their remarkable versatility and wide-ranging applications, particularly in the fields of medical chemistry [1,2,3,4] and advanced materials science. These compounds, characterized by the imine group >C=N-, serve as pivotal ligands in coordination chemistry, forming complexes with diverse metal ions that exhibit biological activity [5,6], magnetic behavior, and photoluminescent properties.
Numerous studies have documented that azomethines exhibit significant antibacterial properties [7,8], demonstrating effectiveness against pathogens such as Staphylococcus aureus and Escherichia coli, with some compounds showing activity comparable to standard antibiotics like Ciprofloxacin [8]. Beyond their antibacterial potential, this class of compounds is also recognized for possessing antifungal [9], anticancer [10], antioxidant [7,11] and analgesic [12] activities, highlighting their broad pharmacological value. Aromatic azomethines also show tyrosinase inhibition activity [13].
The enduring scientific interest in azomethines is driven by their structural adaptability, which allows for the strategic design of derivatives with tailored functionalities for specific technological and biomedical needs. The incorporation of long-chain substituents into azomethine frameworks presents a particularly promising research direction, as it enables precise modulation of physicochemical characteristics, such as solubility and lipophilicity, thereby influencing practical efficacy. Azomethines with long alkyl chains and a diethylamine substituent were synthesized [14], and biological activity measurements showed high efficacy against Gram-positive and Gram-negative bacterial strains and fungi. There are only a few other examples of long-chain azomethine synthesis in the literature: as intermediates to obtain α-aminophosphonates [15] and in the production of a fluoride ion sensor [16]. It can be proposed that long-chain substituents in azomethines may improve biological activity due to increased incorporation into the cell membrane, similar to other antiseptics with long alkyl fragments [17].
The simplest way to obtain azomethines is the reaction between an aldehyde and an amine [18]. By varying the structures of both reagents, many combinations are possible. Such variability is important for obtaining structure-property correlations, which, together with relatively simple synthetic procedures for many azomethines, make them attractive for robotic systems and autonomous (self-driving) labs [19].
Including another pharmacophore group into the azomethine structure is also a good way to obtain biologically active compounds. For example, introducing a triazole fragment yields substances with antifungal activity [20]. Azomethines with a thiazole ring show anti-inflammatory and antioxidant activities [21]. A novel strategy for one-pot solvothermal synthesis was developed [22] and used to obtain phenylpyrazole Schiff bases, which work well as insecticides. Interestingly, this activity is attributed to the blocking of ionic channels due to calcium chloride binding to the C=N bond.
Lipophilicity is a very important property in drug discovery and design [23,24,25] and is also necessary for good prediction of molecular bioactivity by machine learning (ML). Usually, lipophilicity is quantified as the octanol-water partition coefficient (logP) and can be measured directly through the concentrations of a substance in two phases by the shake-flask [26], slow-stirring [27], or generator column techniques [28]. Another possibility to determine lipophilicity is indirect methods, for example, high-performance liquid chromatography [29], when logP is determined through the retention time, but such a method works well only in the presence of a reference substance with a known logP value.
Experimental determination of lipophilicity can be inapplicable or give unreliable results for poorly soluble substances. A similar problem exists with highly hydrophilic or highly lipophilic compounds. In such cases, computational approaches (e.g., quantum-chemical calculations) or machine learning methods [30] can be used for lipophilicity determination. Quantum-chemical determination of logP value is based on the calculation of the Gibbs energy change upon transfer between solvents [31].
The main aim of this work is the search for compounds with antibacterial properties and simple synthetic pathways, especially in combination with properties modelling techniques, for potential use in the development of autonomous labs [19], where artificial intelligence predictions are tested by experiments on robotic installations, and feedback is received on the results. The synthesized azomethines showed antibacterial and antifungal activity at the level of some commercial antiseptics. Lipophilicity of the synthesized and isomeric substances was predicted using three different approaches: quantum chemical calculations, machine learning, and fragment-based description. Machine learning-based methods (GraphormerLogP) demonstrate acceptable accuracy, sensitivity to isomerism, and orders-of-magnitude higher throughput, making them an optimal tool for high-throughput screening. Quantum-chemical calculations can account for any spatial arrangements but require significantly more computational time.
2. Materials and Methods
Commercially available reagents and solvents were used for synthesis.
The 1H and 13C{1H} NMR spectra were recorded on a Bruker Avance III 400 MHz spectrometer (Bruker, Fällanden, Switzerland). Fourier Transform infrared spectroscopy (FT-IR) was measured using an FT-IR Spectrometer Spectrum two PerkinElmer (PerkinElmer, Waltham, MA, USA), with UATR (Single Reflection Diamond). Elemental analysis was performed using a PerkinElmer® 2400 Series II CHNS/O Elemental Analyzer (PerkinElmer, Waltham, MA, USA). Mass spectra were recorded on a Chromatec-Crystal 5000.2 gas chromatograph (Chromatec, Yoshkar-Ola, Russia) with a quadrupole mass-spectrometric detector with electron impact ionization.
The antifungal and antibacterial activity of the chemical compounds was studied using test cultures of opportunistic microflora. The following strains were used: Staphylococcus aureus (ATCC 29213), Escherichia coli (ATCC 25922), Pseudomonas aeruginosa (ATCC 27853), Bacillus cereus, and Candida albicans (ATCC 885-653). All compounds are extremely poorly soluble in water, so 1% solutions in ethanol were used in the study.
24-h cultures of microorganisms were washed from meat-peptone agar slants with saline and standardized to a turbidity of 0.5 McFarland (1.5·108 CFU/mL). The culture media were inoculated with a swab soaked in the standardized culture. Wells were then cut in the contaminated nutrient agar and filled with the test drugs and comparison drugs: Miramistin (Infamed, Kaliningrad, Russia), Chlorhexidine (Samaramedprom, Samara, Russia), and Kodan (Schulke&Mayr GmbH, Norderstedt, Germany). Miramistin is one of the leading antiseptics in Russia, a first-line choice, and it has some structural similarity with the studied compounds—a long alkyl chain on one side and a phenyl substituent on the other. Chlorhexidine is also a widely used antiseptic in Russia and has a substituted benzene ring, like the compounds being studied. Kodan is an effective antiseptic for Russian pathogenic microflora and is intended as a skin antiseptic for treating patient skin in surgical and injection sites. It is used before surgery, catheterization, blood and fluid sampling, injections, punctures, and for wound and postoperative suture care.
Sabouraud’s medium for Candida yeasts and Mueller–Hinton medium for pathogenic and opportunistic microflora of humans and animals were used as nutrient media. The dishes were incubated at 35 °C for 24–48 h, after which the growth inhibition zone size was assessed, measured to an accuracy of 0.1 mm. All microbiological experiments were repeated three times, and mean values are reported as results.
To complement the experimental investigation, the lipophilicity parameter (logP, the octanol–water distribution coefficient) of the synthesized and isomeric compounds was estimated using quantum-chemical calculations performed with the Orca program (version 6) [32,33]. The r2SCAN-3c composite method [34] was chosen as a good cost-benefit-ratio method for structural optimizations and energy calculations [35]. The SMD model [36] was used to account for solvent effects; octanol and water were taken as solvents, and structures were optimized in both solvents. Initial structures for calculations were made using the Avogadro program (version 1.2.0) [37]. Chemcraft (version 1.8) [38] was used for viewing and visualizing calculation results. Gibbs free energies were taken from the calculations, and logP was calculated using the formula:
where ∆Gwater is the Gibbs free energy in water, ∆Goctanol is the Gibbs free energy in octanol, R is the universal gas constant, and T is the temperature (298 K).
Additionally, the lipophilicity parameter was estimated using a graph-based deep learning approach. For this purpose, we employed the GraphormerLogP model described in a recent publication [39], which demonstrated superior predictive accuracy compared to traditional descriptor-based and machine-learning methods. The GraphormerLogP model is based on a fine-tuned GraphormerMapper encoder architecture [40] that directly processes molecular graphs derived from SMILES strings. The molecular structures of the synthesized compounds were converted from SMILES representations into molecular graphs using the Chython library [41]. These graphs were subsequently processed by the pre-trained GraphormerLogP model with the original weights.
As an additional computational approach, lipophilicity (logP) values for the investigated compounds were estimated using the Crippen atom contribution model [42], as implemented in the Chem.Crippen module of the RDKit library [43]. The molecular structures of the investigated compounds were standardized and converted from SMILES representations into RDKit molecule objects. The lipophilicity was then computed using the MolLogP function, which reproduces the Wildman–Crippen model coefficients without additional parameter optimization. Due to its computational efficiency and reproducibility, this approach serves as a reliable baseline reference for comparing quantum-chemical logP estimates with machine learning-based predictions such as those obtained from the GraphormerLogP model.
3. Results
3.1. Compounds Synthesis and Characterization
Azomethines were synthesized according to a previously reported procedure [44] by the reaction between an aromatic aldehyde and a long-chain amine. The reaction is shown in Scheme 1; synthetic details are given in ESIS1.
Scheme 1.
Synthesis of azomethines. R1 is in meta-, ortho- or para-position relative to carbonyl (azomethine) group.
The conformity of the obtained product with the expected structure was established based on a set of data from elemental analysis, NMR and IR spectra, and MS data (for details see ESIS1). The yields are greater than 90% in most cases (exact values can be found within the synthetic details and in Table S1-1). In total, 13 new compounds were synthesized and c haracterized: ortho-NO2C18, meta-NO2C18, para-NO2C18, ortho-NO2C16, meta-NO2C16, para-NO2C16, meta-NO2C14, para-NO2C14, meta-NO2C12, para-NO2C12, para-BrC18, para-BrC16, para-ClC16 (these designation are used in the article and Supplementary Materials, the prefix denotes the orientation between the substituent in the phenyl ring and the azomethine group, then the substituent and alkyl chain length are given). Structures of all synthesized compounds with yields are given in Table S1-1 (ESIS1); synthetic procedures with elemental analysis and 1H NMR spectra parameters can also be found in ESIS1 (the spectra themselves can be found in the Figures S1-14–S1-26); in Figures S1-1–S1-13 the 13C{1H} NMR spectra are given; IR spectra are shown in Figures S1-27–S1-39; Figures S1-40–S1-52 illustrate the mass-spectra and molecular ion structures.
3.2. Rotation of the Imine Fragment
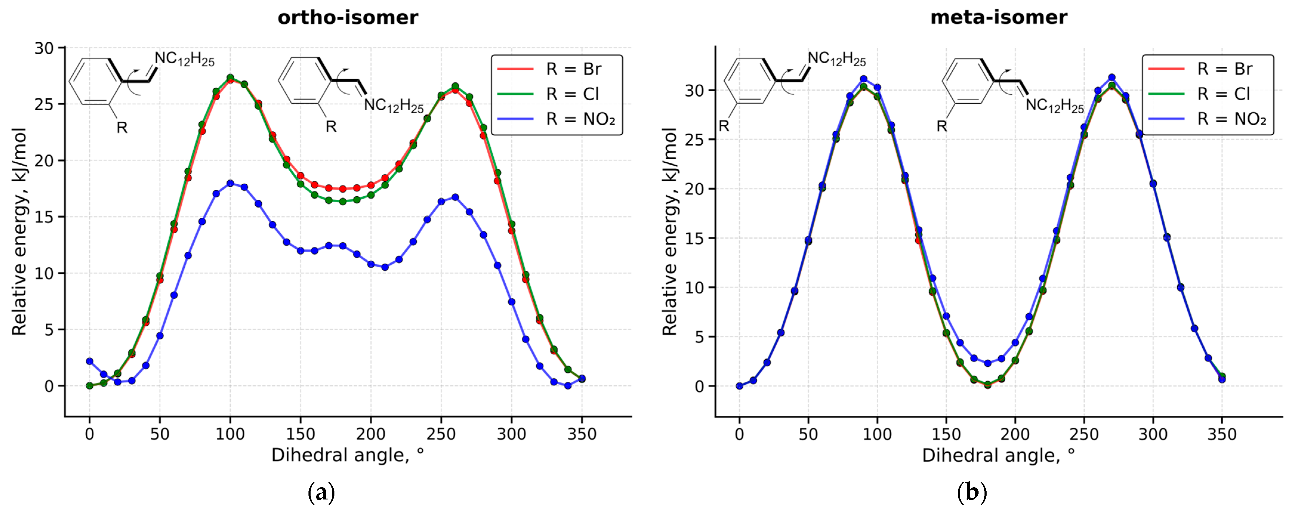
Theoretically, the C=N double bond of the imine fragment is in conjugation with the phenyl ring, and rotation around the C(phenyl)-C(imine) bond may be difficult, so two ortho and two meta structures are possible. Therefore, relaxed surface scans for the corresponding dihedral angle were performed; the results are shown in Figure 1 for the substances with a C12 alkyl chain.
Figure 1.
Dependencies of relative energy from dihedral angle for ortho-(a) and meta-(b) isomers on the base of quantum-chemical calculations (r2SCAN-3c, vacuum). Bonds, forming a fixed dihedral angle, are shown in bold on the inserted structures. The arrow is shown near the bond around which the rotation occurs.
As can be seen from Figure 1, two minima are present: in the first, the dihedral angle is 0° and the nitrogen atom is on the opposite side of the C(phenyl)-C(imine) bond relative to the phenyl ring substituent; in the second, the angle is 180° and the nitrogen is on the same side as the heteroatomic group.
For the meta-isomer, the two minima have practically the same energies, whereas for the ortho-isomer, the difference is more than 15 kJ/mol for bromine and chlorine derivatives (for the nitro-substituted compound, the difference is smaller—about 10 kJ/mol). This situation can be explained by steric hindrance between the phenyl ring substituent and the nitrogen atom of the imine bond in the structures of ortho-isomers with a dihedral angle near 180°, where the atoms of these fragments are very close to each other. In the meta-isomer, the substituent is in a more distant position from the imine fragment, steric hindrance between the two groups is absent, and the energies of the two minima are practically the same.
In the ortho-isomer of the nitro-substituted compound, the minima are “twinned”—there are two small maxima at 0° and 180° with two minima on each side. It should be mentioned that such “twinning” is absent in the meta-isomer. This situation is also a result of steric hindrance—at the “ideal” angles of 0° and 180°, the nitro-group of the ortho-isomer cannot be located in the plane of the phenyl ring, which is why conjugation between them is violated, and energy is increased at 0° and 180° dihedral angles. The minima are shifted by some value (near 20–30°) to obtain optimal conjugation between the phenyl ring and both groups—the nitro substituent and the imine fragment. Structures clarifying this situation are given in Figure 2.
Figure 2.
Structures of the nitro-substituted ortho-isomer with C12 alkyl chain for the different dihedral angles. Geometries, angle values and relative energies correspond to the energy profile in Figure 1a.
As can be seen from Figure 1, energy barriers for rotation are relatively low (the maximal value is about 30 kJ/mol), so isomerization is highly possible at room temperature, and structures for both local minima can be present in solution. However, taking into account the energy difference between the two minima for the ortho-isomer, the mole fraction of the structure with a close arrangement of the phenyl ring substituent and the nitrogen atom of the imine group is less than 1%. Similar equilibration between two structures of an azomethine was observed for a more complicated situation involving cyclization [45].
3.3. Antibacterial and Antifungal Activity
Antibacterial and antifungal activity testing results are given in Table 1.
Table 1.
Antibacterial and antifungal activity of the investigated compounds in comparison with some antiseptics.
As can be seen from the data in Table 1, nine investigated compounds show activity at the same level as the antiseptic “Kodan” and work better for several test cultures than Miramistin and Chlorhexidine. Among the synthesized compounds, the chlorine derivative performs worse than the bromine-, and nitro-substituted compounds. The compound with bromine performs at the same level as compounds with a nitro-group or better for several cultures (E. coli and Bacillus cereus, see Table 1).
It can be proposed that the long alkyl substituents of the azomethine will allow easy penetration of the bacterial cytoplasmic membrane, and that the imine group of the azomethine binds potassium ions as described in the literature for chlorhexidine [17], which leads to disruption of electrolyte balance, membrane potential, and metabolism, which is critical for bacterial life. This assumption about potassium ions binding is in accordance with the insecticide properties of a Schiff base, attributed to calcium ions binding [22]. However, to prove or refute the assumption about long-chain influence, additional experiments with shorter alkyl chains (C2–C10) are necessary, because increasing the chain length from C12 to C18 has practically no influence according to the performed biological experiments (Table 1).
3.4. Lipophilicity Modelling
Lipophilicity modeling results obtained by three different methods (quantum chemical calculations (QC), GraphormerLogP model (GLP), and RDKit library (RDK)) are shown in Table 2 (optimized structures, xyz-matrices, and energies for all isomers in Table 2 in both solvents (water and octanol) are given in ESIS2).
Table 2.
Predicted logP values (octanol–water) from quantum-chemical calculations (QC), GraphormerLogP model (GLP), and RDKit library (RDK).
To evaluate predictive accuracy, quantum-chemically computed logP values of azomethines were used as reference data. The GraphormerLogP deep learning model and the Wildman–Crippen atom contribution model were compared on this dataset. The GraphormerLogP model achieved higher overall accuracy (RMSE = 1.054 for all compounds, MAE = 0.943) than the RDKit predictions (RMSE = 1.407, MAE = 1.331).
As can be seen from Table 2, logP modelling on the base of quantum-chemical calculations gives different results for all five structures (ortho, ortho’, meta, meta’, and para) as expected from different atom arrangements in 3D space. The GraphormerLogP approach doesn’t distinguish ortho/ortho’ and meta/meta’ pairs, which is not contradictory, given the relatively easy isomerization due to rotation (see Section 3.2). Additionally, the GLP method gives slightly different values for ortho-, meta-, and para-isomers; the biggest difference is obtained for the nitro derivative with a C12 alkyl chain (0.27 log units, see Table 2). However, the relationships between values for ortho-, meta-, and para-isomers in the two methods (QC and GLP) are not the same for several substances in Table 2. At the same time, the RDKit method is the worst in this case because it does not distinguish the position of the substituent in the phenyl ring (see Table 2).
Dependencies of modelled logP values on alkyl chain length are given in Figure 3 for bromine and nitro derivatives (such dependency for chlorine derivatives is not shown because it is very similar to bromine, see Table 2). Increasing the alkyl chain length leads to an increase in the logP value by the QC method (adding two carbon atoms to the chain increases logP by a value near 1 log units).
Figure 3.
Dependencies of modelled logP values on alkyl chain length for bromine (a) and nitro (b) derivatives. Mean values between different isomers were taken for QC and GLP methods.
For bromine derivatives (Figure 3a) with C12 and C14 alkyl chains, GraphormerLogP slightly overestimated lipophilicity, while for C16 compounds, it showed the best agreement with QC values. Predictions for C18 compounds approached the upper limit of the model’s training range (logP = 9.98), causing mild saturation and downward deviation relative to QC values. For nitro derivatives (Figure 3b), the best agreement between the two methods (QC and GLP) is observed for the C18 alkyl chain.
In contrast, the fragment-based model (RDK) consistently underestimates logP for all homologs, with MAE = 1.049, 1.111, 1.467, and 1.699 (mean values for bromine, chlorine and nitro derivatives together) for C12–C18, respectively.
It should be mentioned that the three approaches differed markedly in computational efficiency. The quantum-chemical logP estimation required hundreds of hours for all 60 molecules, while GraphormerLogP completed predictions in several tens of seconds, and the Wildman–Crippen (RDKit) method finished in a few seconds, including environment initialization.
4. Discussion
Synthesized azomethines can be considered prospective antibacterial agents due to their activity (see Table 1) and relatively simple synthesis (see experimental details in ESIS1). However, very poor solubility in water and relatively low solubility in ethanol reduce these prospects. Despite this, azomethines continue to be a good platform for the search for new pharmacological drugs, because changing substituents provides an easy way to vary compound properties.
The combination of three substituents (bromine, chlorine, and nitro-group) at three positions (ortho-, meta-, and para-) with four alkyl chains (C12, C14, C16, and C18) gives 36 possible compounds for the described phenyl ring platform. Experimental synthesis and properties investigation of all substances “by hand”, even in this relatively simple case, looks impossible (if the developing field of laboratory robotic systems and self-driving labs is not taken into account), so the initial “filtration” before real experiments is needed.
One of the important properties for biological activity predictions is lipophilicity. Experimental measurements are very difficult for substances with very low water solubility, so computational approaches come to the fore. In the present work, three different methods were used: quantum-chemical calculations (QC), machine learning (GLP), and a fragment-based approach (RDK).
Based on quantum-chemical calculations, logP can be determined for any structure corresponding to a local (or global) minimum, so the influence of conformational change, isomerization, and tautomerization can be taken into account. However, this method is very time-consuming. The fragment-based approach is very fast, but it is insensitive to isomers with the same fragments (as in the investigated case with ortho-, meta-, and para-isomers) and can give quite different results (underestimated for the studied azomethines). Machine-learning approaches, such as the GraphormerLogP used, are also fast, sensitive to isomers, and can give better results than RDK.
Additionally, the initial 3D structures are necessary for quantum-chemical calculations, and their generation is also a time-consuming step, whereas machine learning and fragment-based approaches need only a text representation of the molecule (e.g., SMILES), the generation of which can be easily automated for similar compounds.
Thus, while quantum-chemical methods remain the reference standard for precision, deep learning and fragment-based approaches provide several orders-of-magnitude faster alternatives suitable for large-scale screening. Overall, GraphormerLogP predictions can be considered reliable within the explored lipophilicity range, offering a meaningful balance between accuracy and computational efficiency, with quantitative agreement to the quantum-chemical estimates.
Comparing the investigated bioactivity results (Table 1) and predicted lipophilicity (Table 2), no significant correlation between logP values and antibacterial properties could be found. There may be several reasons for this. Firstly, perhaps the minimal predicted logP value (near 7, see Table 2) is sufficient to achieve a biological effect, and further increase does not change antibacterial properties. To check this assumption, experiments with less lipophilic azomethines (i.e., with the shorter alkyl substituents, C2–C10) are necessary. Secondly, perhaps the growth inhibition zone experiments are not sensitive to such big lipophilicity values, and more comprehensive biological experiments are necessary (e.g., minimal inhibitory concentration testing or similar). Thirdly, perhaps the very low water solubility of the synthesized compounds hinders the manifestation of ‘true’ biological activity. To avoid the last factor, solubilizing agents are necessary; however, introducing new components must be carefully considered when interpreting biological experiment results. Steps to examine the first and second assumptions are planned for future experiments.
5. Conclusions
Synthesized azomethines represent promising antibacterial and antifungal agents due to their pronounced activity and relatively simple synthesis. However, their potential is limited by their extremely low aqueous solubility. Despite this, this class of compounds remains a convenient platform for discovering new pharmacological substances, as varying substituents allow for targeted modification of the molecular properties. Due to the need for preliminary virtual screening to select target structures from a multitude of possible derivatives, assessing lipophilicity (logP), which is difficult to measure experimentally, is crucial. Three computational approaches are compared: quantum chemical calculation (QC), machine learning (GLP), and fragment-based description (RDK). Despite the benchmark QC accuracy, which requires significant computational resources and three-dimensional structures, machine learning-based methods (GraphormerLogP) demonstrate acceptable accuracy, sensitivity to isomerism, and orders-of-magnitude higher throughput, making them an optimal tool for high-throughput screening.
Supplementary Materials
The following supporting information can be downloaded at: https://www.mdpi.com/article/10.3390/chemistry8020023/s1, Table S1-1: Abbreviations, structures, yields and melting points for the synthesized compounds; Figures S1-1–S1-13: 13C{1H} NMR spectra; Figures S1-14–S1-26: 1H NMR spectra; Figures S1-27–S1-39: IR spectra; Figures S1-40–S1-52: mass-spectra; Figures S2-1–S2-120: optimized structures of all compounds in water and octanol; Tables S2-1–S2-120: cartesian coordinates for optimized structures; Tables S2-121–S2-126: Gibbs free energies for optimized structures.
Author Contributions
Conceptualization, N.Y.S. and K.R.K.; methodology, I.V.G. and T.R.G.; software, V.A.G. and T.R.G.; formal analysis, N.Y.S., K.R.K., I.V.G. and T.R.G.; investigation, K.R.K., M.P.S. and V.A.G.; resources, N.Y.S., I.V.G. and T.R.G.; data curation, K.R.K., M.P.S. and V.A.G.; writing—original draft preparation, N.Y.S. and K.R.K.; writing—review and editing, N.Y.S., K.R.K., V.A.G. and T.R.G.; visualization, N.Y.S. and K.R.K.; supervision, N.Y.S., I.V.G. and T.R.G.; project administration, N.Y.S. and T.R.G.; funding acquisition, N.Y.S. All authors have read and agreed to the published version of the manuscript.
Funding
The work was funded by financial support from the government assignment for the FRC Kazan Scientific Center of RAS, grant number 125030503189-7.
Data Availability Statement
The original contributions presented in this study are included in the article/Supplementary Materials. Further inquiries can be directed to the corresponding author.
Acknowledgments
The authors express sincere appreciation to Kazan Scientific Center of the Russian Academy of Science for providing the research infrastructure and intellectual environment that enabled the quantum-chemical calculations and machine learning.
Conflicts of Interest
The authors declare no conflicts of interest. The funders had no role in the design of the study; in the collection, analyses, or interpretation of data; in the writing of the manuscript; or in the decision to publish the results.
Abbreviations
The following abbreviations are used in this manuscript:
| AI | artificial intelligence |
| CFU | colony-forming units |
| GLP | GraphormerLogP model |
| FT-IR | Fourier transform infrared spectroscopy |
| MAE | mean absolute error |
| ML | machine learning |
| RDK | RDKit library |
| RMSE | root mean squared error |
| SMD | solvation model based on density |
| SMILES | simplified molecular input line entry system |
| QC | quantum chemistry |
References
- Hameed, A.; Al-Rashida, M.; Uroos, M.; Abid Ali, S.; Khan, K.M. Schiff Bases in Medicinal Chemistry: A Patent Review (2010–2015). Expert Opin. Ther. Pat. 2017, 27, 63–79. [Google Scholar] [CrossRef]
- Kajal, A.; Bala, S.; Kamboj, S.; Sharma, N.; Saini, V. Schiff Bases: A Versatile Pharmacophore. J. Catal. 2013, 2013, 893512. [Google Scholar] [CrossRef]
- Ceramella, J.; Iacopetta, D.; Catalano, A.; Cirillo, F.; Lappano, R.; Sinicropi, M.S. A Review on the Antimicrobial Activity of Schiff Bases: Data Collection and Recent Studies. Antibiotics 2022, 11, 191. [Google Scholar] [CrossRef]
- Pencheva, I.; Peikova, L.; Tsvetkova, D. Pharmacological Applications of Azomethine Derivatives in the Therapy of Different Diseases. Pharmacia 2025, 72, 1–17. [Google Scholar] [CrossRef]
- Shekhar, S.; Khan, A.M.; Sharma, S.; Sharma, B.; Sarkar, A. Schiff Base Metallodrugs in Antimicrobial and Anticancer Chemotherapy Applications: A Comprehensive Review. Emergent Mater. 2022, 5, 279–293. [Google Scholar] [CrossRef]
- Pervaiz, M.; Sadiq, A.; Sadiq, S.; Saeed, Z.; Imran, M.; Younas, U.; Majid Bukhari, S.; Rashad Mahmood Khan, R.; Rashid, A.; Adnan, A. Design and Synthesis of Schiff Base Homobimetallic-Complexes as Promising Antimicrobial Agents. Inorg. Chem. Commun. 2022, 137, 109206. [Google Scholar] [CrossRef]
- Shanty, A.A.; Philip, J.E.; Sneha, E.J.; Prathapachandra Kurup, M.R.; Balachandran, S.; Mohanan, P.V. Synthesis, Characterization and Biological Studies of Schiff Bases Derived from Heterocyclic Moiety. Bioorganic Chem. 2017, 70, 67–73. [Google Scholar] [CrossRef]
- Iqbal, A.; Siddiqui, H.L.; Ashraf, C.M.; Ahmad, M.; Weaver, G.W. Synthesis, Characterization and Antibacterial Activity of Azomethine Derivatives Derived from 2-Formylphenoxyacetic Acid. Molecules 2007, 12, 245–254. [Google Scholar] [CrossRef]
- Patil, S.A.; Prabhakara, C.T.; Halasangi, B.M.; Toragalmath, S.S.; Badami, P.S. DNA Cleavage, Antibacterial, Antifungal and Anthelmintic Studies of Co(II), Ni(II) and Cu(II) Complexes of Coumarin Schiff Bases: Synthesis and Spectral Approach. Spectrochim. Acta Part A Mol. Biomol. Spectrosc. 2015, 137, 641–651. [Google Scholar] [CrossRef]
- Sztanke, K.; Maziarka, A.; Osinka, A.; Sztanke, M. An Insight into Synthetic Schiff Bases Revealing Antiproliferative Activities In Vitro. Bioorg. Med. Chem. 2013, 21, 3648–3666. [Google Scholar] [CrossRef]
- Zubair, M.; Sirajuddin, M.; Ullah, K.; Haider, A.; Perveen, F.; Hussain, I.; Ali, S.; Tahir, M.N. Synthesis, Structural Peculiarities, Theoretical Study and Biological Evaluation of Newly Designed O-Vanillin Based Azomethines. J. Mol. Struct. 2020, 1205, 127574. [Google Scholar] [CrossRef]
- Chinnasamy, R.; Sundararajan, R.; Govindaraj, S. Synthesis, Characterization, and Analgesic Activity of Novel Schiff Base of Isatin Derivatives. J. Adv. Pharm. Technol. Res. 2010, 1, 342. [Google Scholar] [CrossRef]
- Bae, S.J.; Ha, Y.M.; Park, Y.J.; Park, J.Y.; Song, Y.M.; Ha, T.K.; Chun, P.; Moon, H.R.; Chung, H.Y. Design, Synthesis, and Evaluation of (E)-N-Substituted Benzylidene–Aniline Derivatives as Tyrosinase Inhibitors. Eur. J. Med. Chem. 2012, 57, 383–390. [Google Scholar] [CrossRef]
- Negm, N.A.; Zaki, M.F.; Salem, M.A.I. Cationic Schiff Base Amphiphiles and Their Metal Complexes: Surface and Biocidal Activities against Bacteria and Fungi. Colloids Surf. B Biointerfaces 2010, 77, 96–103. [Google Scholar] [CrossRef]
- Galkina, I.V.; Khayarov, K.R.; Davletshin, R.R.; Gaynullin, A.Z.; Gerasimov, A.V.; Shulaeva, M.P.; Pozdeev, O.K.; Egorova, S.N.; Usupova, L.M.; Galkin, V.I. The Pudovik Reaction: The Synthesis of Bioactive α-Aminophosphonates with Long Alkyl Chains. Phosphorus Sulfur Silicon Relat. Elem. 2019, 194, 463–466. [Google Scholar] [CrossRef]
- Pangannaya, S.; Mohan, M.; Trivedi, D.R. Colorimetric and Fluorometric Turn-on Sensor for Selective Detection of Fluoride Ions: Sol–Gel Transition Studies and Theoretical Insights. New J. Chem. 2018, 42, 10406–10413. [Google Scholar] [CrossRef]
- Franklin, T.J.; Snow, G.A. Biochemistry and Molecular Biology of Antimicrobial Drug Action; Springer: Boston, MA, USA, 1998; ISBN 978-1-4757-4601-3. [Google Scholar]
- Sprung, M.A. A Summary of the Reactions of Aldehydes with Amines. Chem. Rev. 1940, 26, 297–338. [Google Scholar] [CrossRef]
- Sanchez-Lengeling, B.; Aspuru-Guzik, A. Inverse Molecular Design Using Machine Learning: Generative Models for Matter Engineering. Science 2018, 361, 360–365. [Google Scholar] [CrossRef] [PubMed]
- Sun, X.; Bai, Y.; Liu, Y.; Chen, B.; Jia, Y.; Zeng, Z. Synthesis and Biological Activity of 4,5-Dihydro-1,2,4-Triazole-5-Thione Schiff Base. Chin. J. Chem. 2009, 27, 1397–1400. [Google Scholar] [CrossRef]
- Geronikaki, A.; Vicini, P.; Incerti, M.; Hadjipavlou-Litina, D. Thiazolyl and Isothiazolyl Azomethine Derivatives with Anti-Inflammatory and Antioxidant Activities. Arzneimittelforschung 2004, 54, 530–537. [Google Scholar] [CrossRef]
- Chen, L.; Wu, Z.; Du, Y.; Huang, Y.; Jin, S. Solvothermal Synthesis of Novel Phenylpyrazole Schiff Base Fluorescent Insecticides Fused Extended Conjugate Units for Enhancing Bioactivities, Photophysical and Electrochemical Properties. J. Mol. Struct. 2019, 1196, 555–566. [Google Scholar] [CrossRef]
- Waring, M.J. Lipophilicity in Drug Discovery. Expert Opin. Drug Discov. 2010, 5, 235–248. [Google Scholar] [CrossRef] [PubMed]
- Arnott, J.A.; Planey, S.L. The Influence of Lipophilicity in Drug Discovery and Design. Expert Opin. Drug Discov. 2012, 7, 863–875. [Google Scholar] [CrossRef]
- Tsopelas, F.; Giaginis, C.; Tsantili-Kakoulidou, A. Lipophilicity and Biomimetic Properties to Support Drug Discovery. Expert Opin. Drug Discov. 2017, 12, 885–896. [Google Scholar] [CrossRef]
- Ma, Y.; Chen, X.; Javeria, H.; Du, Z. High-Throughput Screening of LogD by Using a Sample Pooling Approach Based on the Traditional Shake Flask Method. J. Chromatogr. B 2023, 1227, 123804. [Google Scholar] [CrossRef]
- De Bruijn, J.; Busser, F.; Seinen, W.; Hermens, J. Determination of Octanol/Water Partition Coefficients for Hydrophobic Organic Chemicals with the “Slow-Stirring” Method. Environ. Toxicol. Chem. 1989, 8, 499–512. [Google Scholar] [CrossRef]
- Woodburn, K.B.; Doucette, W.J.; Andren, A.W. Generator Column Determination of Octanol/Water Partition Coefficients for Selected Polychlorinated Biphenyl Congeners. Environ. Sci. Technol. 1984, 18, 457–459. [Google Scholar] [CrossRef]
- Terada, H. Determination of Log Poct by High-Performance Liquid Chromatography, and Its Application in the Study of Quantitative Structure-Activity Relationships. Quant. Struct.-Act. Relatsh. 1986, 5, 81–88. [Google Scholar] [CrossRef]
- Win, Z.-M.; Cheong, A.M.Y.; Hopkins, W.S. Using Machine Learning To Predict Partition Coefficient (Log P) and Distribution Coefficient (Log D) with Molecular Descriptors and Liquid Chromatography Retention Time. J. Chem. Inf. Model. 2023, 63, 1906–1913. [Google Scholar] [CrossRef] [PubMed]
- Roy, D.; Patel, C. Revisiting the Use of Quantum Chemical Calculations in LogPoctanol-water Prediction. Molecules 2023, 28, 801. [Google Scholar] [CrossRef]
- Neese, F. The ORCA Program System. WIREs Comput. Mol. Sci. 2012, 2, 73–78. [Google Scholar] [CrossRef]
- Neese, F. Software Update: The ORCA Program System—Version 6.0. Wiley Interdiscip. Rev. Comput. Mol. Sci. 2025, 15, e70019. [Google Scholar] [CrossRef]
- Grimme, S.; Hansen, A.; Ehlert, S.; Mewes, J.-M. r2SCAN-3c: A “Swiss Army Knife” Composite Electronic-Structure Method. J. Chem. Phys. 2021, 154, 064103. [Google Scholar] [CrossRef] [PubMed]
- Bursch, M.; Mewes, J.-M.; Hansen, A.; Grimme, S. Best-Practice DFT Protocols for Basic Molecular Computational Chemistry. Angew. Chem. Int. Ed. 2022, 61, e202205735. [Google Scholar] [CrossRef]
- Marenich, A.V.; Cramer, C.J.; Truhlar, D.G. Universal Solvation Model Based on Solute Electron Density and on a Continuum Model of the Solvent Defined by the Bulk Dielectric Constant and Atomic Surface Tensions. J. Phys. Chem. B 2009, 113, 6378–6396. [Google Scholar] [CrossRef]
- Hanwell, M.D.; Curtis, D.E.; Lonie, D.C.; Vandermeersch, T.; Zurek, E.; Hutchison, G.R. Avogadro: An Advanced Semantic Chemical Editor, Visualization, and Analysis Platform. J. Cheminform. 2012, 4, 17. [Google Scholar] [CrossRef]
- Zhurko, G.A. Chemcraft—Graphical Software for Visualization of Quantum Chemistry Computations, version 1.8; Build 780; Chemcraft: Ivanovo, Russia, 2005. Available online: https://www.chemcraftprog.com (accessed on 22 July 2025).
- Grigorev, V.; Serov, N.; Gimadiev, T.; Poyezzhayeva, A.; Sidorov, P. Graph-Based Transformer to Predict the Octanol-Water Partition Coefficient. J. Cheminform. 2026, in press. [Google Scholar]
- Nugmanov, R.; Dyubankova, N.; Gedich, A.; Wegner, J.K. Bidirectional Graphormer for Reactivity Understanding: Neural Network Trained to Reaction Atom-to-Atom Mapping Task. J. Chem. Inf. Model. 2022, 62, 3307–3315. [Google Scholar] [CrossRef]
- Fallani, A.; Nugmanov, R.; Arjona-Medina, J.; Wegner, J.K.; Tkatchenko, A.; Chernichenko, K. Pretraining Graph Transformers with Atom-in-a-Molecule Quantum Properties for Improved ADMET Modeling. J. Cheminform. 2025, 17, 25. [Google Scholar] [CrossRef] [PubMed]
- Wildman, S.A.; Crippen, G.M. Prediction of Physicochemical Parameters by Atomic Contributions. J. Chem. Inf. Comput. Sci. 1999, 39, 868–873. [Google Scholar] [CrossRef]
- RDKit. Available online: http://www.rdkit.org/ (accessed on 14 October 2025).
- Galkina, I.V.; Kiyamova, E.R.; Gaynullin, A.Z.; Bakhtiyarov, D.I.; Shulaeva, M.P.; Pozdeev, O.K.; Egorova, S.N.; Ivshin, K.A.; Kataeva, O.N.; Bakhtiyarova, Y.V.; et al. Synthesis and Structure of Novel Phosphorylated Azomethines. Phosphorus Sulfur Silicon Relat. Elem. 2016, 191, 1679–1681. [Google Scholar] [CrossRef]
- Salih, K.S.M. Solvent Influence on Absorption Spectra and Tautomeric Equilibria of Symmetric Azomethine-Functionalized Derivatives: Structural Elucidation and Computational Studies. ChemistryOpen 2022, 11, e202100237. [Google Scholar] [CrossRef] [PubMed]
Disclaimer/Publisher’s Note: The statements, opinions and data contained in all publications are solely those of the individual author(s) and contributor(s) and not of MDPI and/or the editor(s). MDPI and/or the editor(s) disclaim responsibility for any injury to people or property resulting from any ideas, methods, instructions or products referred to in the content. |
© 2026 by the authors. Licensee MDPI, Basel, Switzerland. This article is an open access article distributed under the terms and conditions of the Creative Commons Attribution (CC BY) license.



