Influence of Dominant Phytoplankton Species on Disinfection By-Product Formation During Active-Substance Ballast Water Treatment: Skeletonema costatum vs. Akashiwo sanguinea
Abstract
1. Introduction
2. Materials and Methods
2.1. Research Design Overview
2.2. Natural Seawater Collection and Phytoplankton Composition (DBP Experiment)
- S. costatum: High biomass 50,000 cells mL−1 (SC-H), Low biomass 1000 cells mL−1 (SC-L)
- A. sanguinea: High biomass 2160 cells mL−1 (AS-H), Low biomass 420 cells mL−1 (AS-L)
2.3. Active Substance Injection and Reaction Conditions (DBP Experiment)
2.4. Disinfection By-Product (DBP) Analysis
2.5. Total Residual Oxidants (TRO) and Dissolved Organic Carbon/Organic Nitrogen (DOC/DON) Analysis
2.6. Carbon-Equivalent Biomass Estimation and Carbon-Normalized DBP Yields
2.7. Phytoplankton Cultivation and Cell Washing for FT-IR Analysis (Species-Derived DOM)
2.8. FT-IR Measurement Conditions, Sample Collection and Spectral Preprocessing for Multivariate·2D-COS Analysis
3. Results
3.1. Changes in TRO (Total Residual Oxidants), DOM (Dissolved Organic Matter) and DIN (Dissolved Inorganic Nitrogen) Following Active Substance Treatment
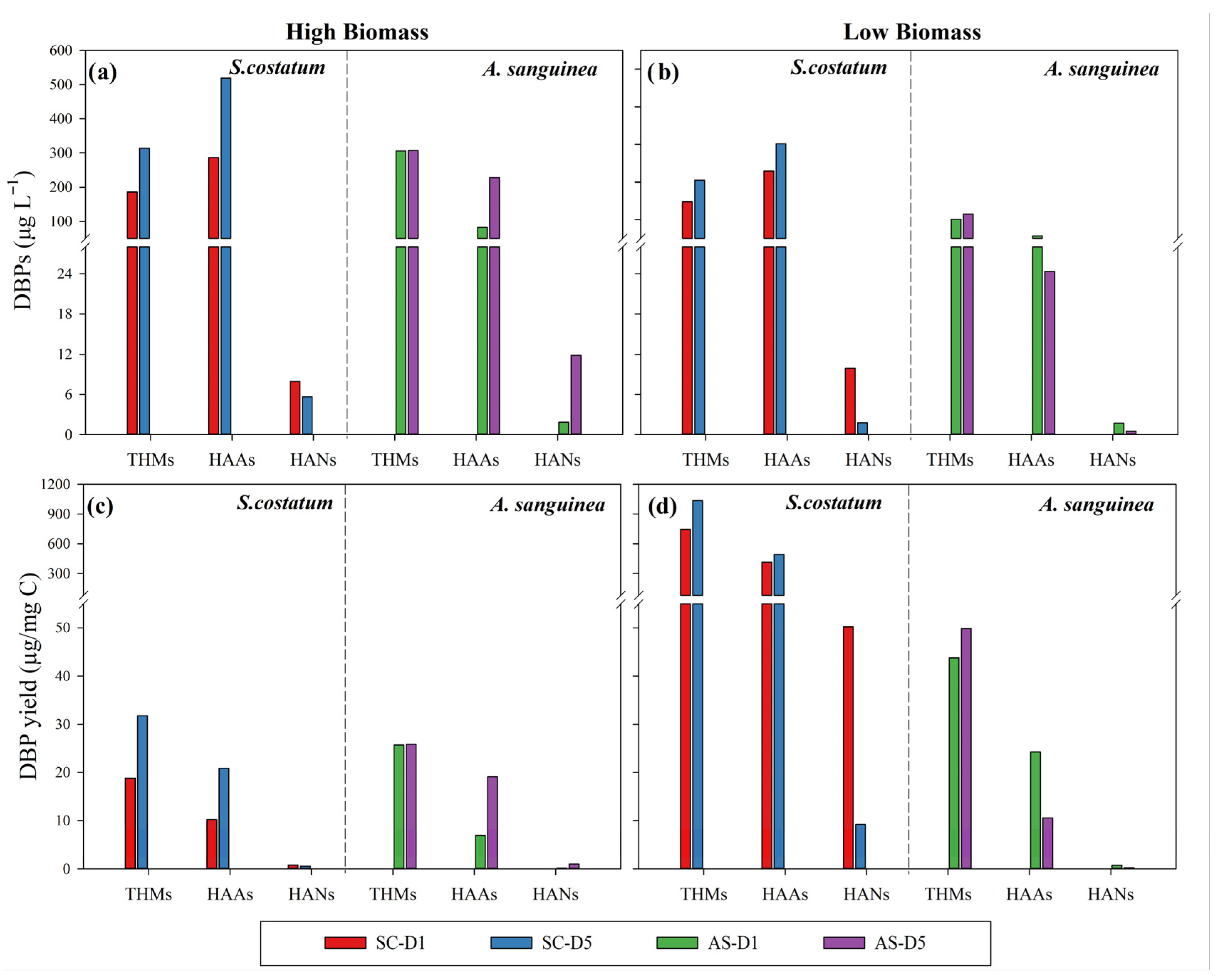
3.2. Formation and Concentration Characteristics of DBPs Under Different Phytoplankton-Dominated Conditions
3.3. Changes in the FT-IR Spectrum of DOM and Temporal Patterns
4. Discussion
4.1. Species-Specific Differences in DOM Structural Changes Confirmed via FT-IR Analysis
4.2. Complexity of the DOM Precursor Pool Suggested by PCA Results
4.3. 2D-FTIR-COS and Noda Rule Results for Time Sequence Comparison
4.4. Relationship Between FT-IR Results and DBP Formation Characteristics
4.5. Interpretation of Differences in DOM Characteristics and DBP Formation Between Diatoms and Dinoflagellates
5. Conclusions
Supplementary Materials
Author Contributions
Funding
Data Availability Statement
Acknowledgments
Conflicts of Interest
Abbreviations
| 2D-COS | Two-dimensional correlation spectroscopy |
| Aka–cult | Akashiwo sanguinea culture-derived DOM |
| AS | Akashiwo sanguinea–dominant condition |
| AS–H | AS high-biomass condition |
| AS–L | AS low-biomass condition |
| ATR-FT-IR | Attenuated total reflectance Fourier transform infrared spectroscopy |
| B0 | Background (pre-treatment) spectrum/sample |
| BCAA | Bromochloroacetic acid |
| BCAN | Bromochloroacetonitrile |
| BWMS | Ballast water management system(s) |
| DBAA | Dibromoacetic acid |
| DBAN | Dibromoacetonitrile |
| DBCA | Dibromochloroacetic acid |
| DBCM | Dibromochloromethane |
| DCAN | Dichloroacetonitrile |
| DCBA | Dichlorobromoacetic acid |
| DCBM | Dichlorobromomethane |
| DCM | Dichloromethane |
| DIN | Dissolved inorganic nitrogen |
| DOC | Dissolved organic carbon |
| DON | Dissolved organic nitrogen |
| DPD | Diethyl-p-phenylenediamine |
| FT-IR | Fourier transform infrared spectroscopy |
| HAAs | Haloacetic acids |
| HANs | Haloacetonitriles |
| IMO | International Maritime Organization |
| MBAA | Monobromoacetic acid |
| MBAN | Monobromoacetonitrile |
| MCAA | Monochloroacetic acid |
| MCAN | Monochloroacetonitrile |
| NA | Not applicable |
| NaDCC | Sodium dichloroisocyanurate |
| ND | No data |
| PCA | Principal component analysis |
| SC | Skeletonema costatum–dominant condition |
| SC–H | SC high-biomass condition |
| SC–L | SC low-biomass condition |
| Skel–cult | Skeletonema costatum culture-derived DOM |
| TBAA | Tribromoacetic acid |
| TCAA | Trichloroacetic acid |
| TDN | Total dissolved nitrogen |
| THMs | Trihalomethanes |
| TRO | Total residual oxidant(s) |
| Δ Absorbance | Difference absorbance |
| ε (epsilon) | Threshold for noise exclusion (2D-COS) |
| Φ (phi) | Synchronous sign (2D-COS) |
| Ψ (psi) | Asynchronous sign (2D-COS) |
References
- Güney, C.B. Ballast water problem: Current status and expected challenges. Mar. Sci. Technol. Bull. 2022, 11, 397–415. [Google Scholar] [CrossRef]
- Gollasch, S. Overview on introduced aquatic species in European navigational and adjacent waters. Helgol. Mar. Res. 2006, 60, 84–89. [Google Scholar] [CrossRef]
- International Maritime Organization (IMO). International Convention for the Control and Management of Ships’ Ballast Water and Sediments. BWM/CONF.1/36. 2004. Available online: https://docs.imo.org/Shared/Download.aspx?did=2410349934 (accessed on 12 February 2026).
- Jang, P.G.; Cha, H.G.; Jang, M.C.; Hyun, B.; Choi, T.S.; Kang, Y.; Shin, K. Characteristic and relative environmental risk of disinfection by products associated with simple glucose or naturally occurring algal organic matter as tested in ballast water treatment system. J. Mar. Sci. Eng. 2022, 10, 1928. [Google Scholar] [CrossRef]
- Moreno-Andrés, J.; Peperzak, L. Operational and environmental factors affecting disinfection byproducts formation in ballast water treatment systems. Chemosphere 2019, 232, 496–505. [Google Scholar] [CrossRef] [PubMed]
- Krasner, S.W.; Jia, A.; Lee, C.F.T.; Shirkhani, R.; Allen, J.M.; Richardson, S.D.; Plewa, M.J. Relationships between regulated DBPs and emerging DBPs of health concern in US drinking water. J. Environ. Sci. 2022, 117, 161–172. [Google Scholar] [CrossRef] [PubMed]
- International Maritime Organization (IMO). Procedure for Approval of Ballast Water Management System that Make Use of Active Substance (G9). MEPC 57/21. 2008. Available online: https://docs.imo.org/Shared/Download.aspx?did=49934 (accessed on 12 February 2026).
- Lee, J.; Shon, M.B.; Cha, H.G.; Choi, K.H. The impact of adding organic carbon on the concentrations of total residual oxidants and disinfection by-products in approval tests for ballast water management systems. Sci. Total Environ. 2017, 605, 852–859. [Google Scholar] [CrossRef]
- He, H.; Sun, N.; Li, L.; Ai, J.; Zhou, H.; Yang, X.; Wang, D.; Zhang, W. Effects of dissolved organic matter removal and molecular transformation in different water treatment processes on formation of disinfection byproducts. Water Res. 2023, 245, 120626. [Google Scholar] [CrossRef]
- Liu, Y.; Zhang, Q.; Hong, Y. Formation of disinfection byproducts from accumulated soluble products of oleaginous microalga after chlorination. Front. Environ. Sci. Eng. 2017, 11, 1. [Google Scholar] [CrossRef]
- Jang, P.G.; Cha, H.G. Long-term changes of disinfection byproducts in treatment of simulated ballast water. Ocean Sci. J. 2020, 55, 265–277. [Google Scholar] [CrossRef]
- Thornton, D.C. Dissolved organic matter (DOM) release by phytoplankton in the contemporary and future ocean. Eur. J. Phycol. 2014, 49, 20–46. [Google Scholar] [CrossRef]
- Suksomjit, M.; Nagao, S.; Ichimi, K.; Yamada, T.; Tada, K. Variation of dissolved organic matter and fluorescence characteristics before, during and after phytoplankton bloom. J. Oceanogr. 2009, 65, 835–846. [Google Scholar] [CrossRef]
- Liu, S.; Hou, J.; Suo, C.; Chen, J.; Liu, X.; Fu, R.; Wu, F. Molecular-level composition of dissolved organic matter in distinct trophic states in Chinese lakes: Implications for eutrophic lake management and the global carbon cycle. Water Res. 2022, 217, 118438. [Google Scholar] [CrossRef] [PubMed]
- Sulzberger, B.; Durisch-Kaiser, E. Chemical characterization of dissolved organic matter (DOM): A prerequisite for understanding UV-induced changes of DOM absorption properties and bioavailability. Aquat. Sci. 2009, 71, 104–126. [Google Scholar] [CrossRef]
- Khan, A.L.; Sokol, E.R.; McKnight, D.M.; Saunders, J.F.; Hohner, A.K.; Summers, R.S. Phytoplankton drivers of dissolved organic material production in Colorado reservoirs and the formation of disinfection by-products. Front. Environ. Sci. 2021, 9, 673627. [Google Scholar] [CrossRef]
- Wang, X.X.; Liu, B.M.; Lu, M.F.; Li, Y.P.; Jiang, Y.Y.; Zhao, M.X.; Huang, Z.Z.; Pan, Y.; Miao, H.F.; Ruan, W.Q. Characterization of algal organic matter as precursors for carbonaceous and nitrogenous disinfection byproducts formation: Comparison with natural organic matter. J. Environ. Manage. 2021, 282, 111951. [Google Scholar] [CrossRef]
- Lee, J.H.; Choi, K.H.; Yang, J.H. Effects of physicochemical parameters of water on byproduct formation during electrolysis of ballast water. Front. Environ. Sci. 2023, 11, 1114353. [Google Scholar] [CrossRef]
- Shah, A.D.; Liu, Z.Q.; Salhi, E.; Höfer, T.; Werschkun, B.; von Gunten, U. Formation of disinfection by-products during ballast water treatment with ozone, chlorine, and peracetic acid: Influence of water quality parameters. Environ. Sci. Water Res. Technol. 2015, 1, 465–480. [Google Scholar] [CrossRef]
- Yang, Z.; Mohanty, B.; Dijkstra, F.A.; Guggenberger, G.; Singh, B. Insights into the complex nature of dissolved organic matter from plant residues using multiple spectroscopic techniques. Org. Geochem. 2025, 210, 105095. [Google Scholar] [CrossRef]
- Wang, X.; Zou, T.; Zhang, W.; Fan, Y.; Bai, Y. Vertical Binding Characteristics Between Dissolved Organic Matter and Heavy Metals in the Upper Reaches of the Yangtze River Using EEM-PARAFAC and 2D-FTIR-COS. Water 2025, 17, 1359. [Google Scholar] [CrossRef]
- Artz, R.R.; Chapman, S.J.; Robertson, A.J.; Potts, J.M.; Laggoun-Défarge, F.; Gogo, S.; Comont, S.; Disnar, J.R.; Francez, A.J. FTIR spectroscopy can be used as a screening tool for organic matter quality in regenerating cutover peatlands. Soil Biol. Biochem. 2008, 40, 515–527. [Google Scholar] [CrossRef]
- Peng, S.; Wang, F.; Wei, D.; Wang, C.; Ma, H.; Du, Y. Application of FTIR two-dimensional correlation spectroscopy (2D-COS) analysis in characterizing environmental behaviors of microplastics: A systematic review. J. Environ. Sci. 2025, 147, 200–216. [Google Scholar] [CrossRef] [PubMed]
- Koczoń, P.; Hołaj-Krzak, J.T.; Palani, B.K.; Bolewski, T.; Dąbrowski, J.; Bartyzel, B.J.; Gruczyńska-Sękowska, E. The analytical possibilities of FT-IR spectroscopy powered by vibrating molecules. Int. J. Mol. Sci. 2023, 24, 1013. [Google Scholar] [CrossRef] [PubMed]
- Park, Y.; Noda, I.; Jung, Y.M. Two-dimensional correlation spectroscopy in polymer study. Front. Chem. 2015, 3, 14. [Google Scholar] [CrossRef] [PubMed]
- Cha, H.G.; Hyun, B.; Jang, M.C.; Choi, K.H.; Shin, K.; Seo, J.Y.; Jang, P.G. Simulated Testing of the Characteristics and Environmental Impacts of Disinfection By-Products Generated by Ballast Water Management Systems in Ports during Phytoplankton Blooms. J. Mar. Sci. Eng. 2024, 12, 238. [Google Scholar] [CrossRef]
- International Maritime Organization (IMO). Methodology for Information Gathering and Conduct of Work of the GESAMP-BWWG. BWM.2/Circ.13/Rev.5. 2022. Available online: https://docs.imo.org/Shared/Download.aspx?did=138301 (accessed on 12 February 2026).
- Menden-Deuer, S.; Lessard, E.J. Carbon to volume relationships for dinoflagellates, diatoms, and other protist plankton. Limnol. Oceanogr. 2000, 45, 569–579. [Google Scholar] [CrossRef]
- Noda, I.; Ozaki, Y. Two-Dimensional Correlation Spectroscopy: Applications in Vibrational and Optical Spectroscopy; John Wiley & Sons: Hoboken, NJ, USA, 2004. [Google Scholar]
- Coates, J. Interpretation of infrared spectra, a practical approach. Encycl. Anal. Chem. 2000, 12, 10815–10837. [Google Scholar]
- de Souza Leite, L.; Daniel, L.A.; Bond, T. Algal organic matter as a disinfection by-product precursor during chlor(am)ination: A critical review. Environ. Sci. Water Res. Technol. 2023, 9, 2787–2802. [Google Scholar] [CrossRef]
- Abdulla, H.A.; Minor, E.C.; Dias, R.F.; Hatcher, P.G. Transformations of the chemical compositions of high molecular weight DOM along a salinity transect: Using two dimensional correlation spectroscopy and principal component analysis approaches. Geochim. Cosmochim. Acta 2013, 118, 231–246. [Google Scholar] [CrossRef]
- Eigemann, F.; Rahav, E.; Grossart, H.P.; Aharonovich, D.; Voss, M.; Sher, D. Phytoplankton producer species and transformation of released compounds over time define bacterial communities following phytoplankton dissolved organic matter pulses. Appl. Environ. Microbiol. 2023, 89, e00539-23. [Google Scholar] [CrossRef]
- Tomlinson, A.; Drikas, M.; Brookes, J.D. The role of phytoplankton as pre-cursors for disinfection by-product formation upon chlorination. Water Res. 2016, 102, 229–240. [Google Scholar] [CrossRef]
- Li, L.; Gao, N.; Deng, Y.; Yao, J.; Zhang, K. Characterization of intracellular & extracellular algae organic matters (AOM) of Microcystic aeruginosa and formation of AOM-associated disinfection byproducts and odor & taste compounds. Water Res. 2012, 46, 1233–1240. [Google Scholar] [CrossRef]
- Fang, J.; Yang, X.; Ma, J.; Shang, C.; Zhao, Q. Characterization of algal organic matter and formation of DBPs from chlor(am)ination. Water Res. 2010, 44, 5897–5906. [Google Scholar] [CrossRef] [PubMed]
- Liu, C.; Ersan, M.S.; Plewa, M.J.; Amy, G.; Karanfil, T. Formation of regulated and unregulated disinfection byproducts during chlorination of algal organic matter extracted from freshwater and marine algae. Water Res. 2018, 142, 313–324. [Google Scholar] [CrossRef] [PubMed]
- Villacorte, L.O.; Ekowati, Y.; Neu, T.R.; Kleijn, J.M.; Winters, H.; Amy, G.; Schippers, J.C.; Kennedy, M.D. Characterisation of algal organic matter produced by bloom-forming marine and freshwater algae. Water Res. 2015, 73, 216–230. [Google Scholar] [CrossRef] [PubMed]
- Forster, A.L.; Wiskur, S.L.; Richardson, S.D. Formation of eight classes of DBPs from chlorine, chloramine, and ozone: Mechanisms and formation pathways. Environ. Sci. Technol. 2025, 59, 15594–15611. [Google Scholar] [CrossRef]
- Bi, R.; Cao, Z.; Ismar-Rebitz, S.M.; Sommer, U.; Zhang, H.; Ding, Y.; Zhao, M. Responses of marine diatom-dinoflagellate competition to multiple environmental drivers: Abundance, elemental, and biochemical aspects. Front. Microbiol. 2021, 12, 731786. [Google Scholar] [CrossRef]
- Kroth, P.G.; Chiovitti, A.; Gruber, A.; Martin-Jezequel, V.; Mock, T.; Parker, M.S.; Stanley, M.S.; Kaplan, A.; Caron, L.; Weber, T.; et al. A model for carbohydrate metabolism in the diatom Phaeodactylum tricornutum deduced from comparative whole genome analysis. PLoS ONE 2008, 3, e1426. [Google Scholar] [CrossRef]
- Hildebrand, M.; Manandhar-Shrestha, K.; Abbriano, R. Effects of chrysolaminarin synthase knockdown in the diatom Thalassiosira pseudonana: Implications of reduced carbohydrate storage relative to green algae. Algal Res. 2017, 23, 66–77. [Google Scholar] [CrossRef]
- Finkel, Z.V.; Follows, M.J.; Liefer, J.D.; Brown, C.M.; Benner, I.; Irwin, A.J. Phylogenetic diversity in the macromolecular composition of microalgae. PLoS ONE 2016, 11, e0155977. [Google Scholar] [CrossRef]
- Peltomaa, E.; Hällfors, H.; Taipale, S.J. Comparison of diatoms and dinoflagellates from different habitats as sources of PUFAs. Mar. Drugs 2019, 17, 233. [Google Scholar] [CrossRef]
- Chen, W.; Teng, C.Y.; Qian, C.; Yu, H.Q. Characterizing properties and environmental behaviors of dissolved organic matter using two-dimensional correlation spectroscopic analysis. Environ. Sci. Technol. 2019, 53, 4683–4694. [Google Scholar] [CrossRef]
- Dong, F.; Lin, Q.; Li, C.; He, G.; Deng, Y. Impacts of pre-oxidation on the formation of disinfection byproducts from algal organic matter in subsequent chlor(am)ination: A review. Sci. Total Environ. 2021, 754, 141955. [Google Scholar] [CrossRef]
- Kim, H.S.; Kim, T.; Park, T.G.; Ki, J.S. Identification of Environmental and Phytoplankton Fluctuation Patterns in Jinhae Bay, South Sea: Focusing on Harmful Plankton from 2017 to 2022. Ocean Polar Res. 2024, 46, 43–53. [Google Scholar] [CrossRef]
- Kwon, O.Y.; Kang, J.H. Distribution of potential risky species on phytoplankton at ports in Korea. J. Korea Acad.-Ind. Coop. Soc. 2013, 14, 506–510. [Google Scholar] [CrossRef]
- Wetz, M.S.; Wheeler, P.A. Release of dissolved organic matter by coastal diatoms. Limnol. Oceanogr. 2007, 52, 798–807. [Google Scholar] [CrossRef]





| Parameter | DIN | DON | TRO | DOC | NH4+ | Salinity | pH |
|---|---|---|---|---|---|---|---|
| Unit | μM | μM | mg/L | mg/L | μM | psu | |
| 1SC-2B-3D0 | 6.96 ± 0.19 | 1.88 ± 0.14 | 4NA | 2.36 ± 0.03 | 3.99 ± 0.02 | 31.05 | 8.14 |
| SC-5H-D1 | 22.8 ± 0.59 | 25.1 ± 0.15 | 6.60 ± 0.70 | 5.01 ± 0.10 | 0.87 ± 0.01 | No data | |
| SC-H-D5 | 25.5 ± 0.44 | 24.1 ± 0.16 | 3.40 ± 0.04 | 3.93 ± 0.02 | 0.31 ± 0.03 | ||
| SC-L-D1 | 1.57 ± 0.43 | 10.0 ± 0.07 | 6.85 ± 0.11 | 4.83 ± 0.04 | 0.06 ± 0.01 | ||
| SC-L-D5 | 1.78 ± 0.07 | 11.6 ± 0.01 | 6.10 ± 0.12 | 4.41 ± 0.14 | 6 <MDL | ||
| AS-B-C0 | 10.0 ± 0.14 | 10.8 ± 0.40 | NA | 5.42 ± 0.07 | 4.02 ± 0.04 | 31.30 | 8.10 |
| AS-H-D1 | 4.56 ± 0.04 | 30.8 ± 0.05 | 0.90 ± 0.11 | 12.4 ± 0.10 | 2.39 ± 0.01 | No data | |
| AS-H-D5 | 5.02 ± 0.15 | 21.8 ± 0.30 | <MDL | 9.17 ± 0.11 | 2.44 ± 0.02 | ||
| AS-L-D1 | 25.9 ± 0.30 | 18.7 ± 0.21 | 5.50 ± 0.10 | 5.22 ± 0.01 | 3.36 ± 0.01 | ||
| AS-L-D5 | 22.9 ± 0.32 | 15.3 ± 0.44 | 2.70 ± 0.15 | 7.59 ± 0.13 | <MDL |
| Compound (Abbreviation) | 1SC-2B0 | SC-3H-4D1 | SC-H-D5 | SC-L-D1 | SC-L-D5 | AS-B0 | 1AS-H-D1 | AS-H-D5 | AS-L-D1 | AS-L-D5 |
|---|---|---|---|---|---|---|---|---|---|---|
| Trihalomethanes (THMs), μg/L | ||||||||||
| Dichloromethane (DCM) | 5ND | ND | ND | ND | ND | ND | 2.91 | 0.00 | 2.20 | 0.00 |
| Dichlorobromomethane (DCBM) | ND | ND | ND | ND | ND | ND | 2.02 | 2.24 | 0.00 | 2.09 |
| Dibromochloromethane (DBCM) | ND | 6.70 | 10.89 | 6.06 | 6.56 | ND | 13.82 | 14.71 | 3.96 | 4.24 |
| Bromoform | ND | 179.1 | 302.7 | 141.3 | 198.0 | ND | 286.8 | 290.1 | 95.1 | 109.0 |
| Σ THMs | ND | 185.8 | 313.6 | 147.4 | 204.6 | ND | 305.6 | 307.1 | 101.3 | 115.3 |
| Haloacetic acids (HAAs), μg/L | ||||||||||
| Monochloroacetic acid (MCAA) | ND | ND | ND | ND | ND | ND | 0.00 | 2.72 | 1.03 | 0.76 |
| Monobromoacetic acid (MBAA) | ND | 3.59 | 7.53 | 3.36 | 4.61 | ND | 1.47 | 8.27 | 1.40 | 1.24 |
| Trichloroacetic acid (TCAA) | ND | ND | ND | ND | ND | 3.19 | 0.45 | 0.28 | 0.17 | 0.17 |
| Bromochloroacetic acid (BCAA) | ND | 1.80 | 5.38 | 1.42 | 2.722 | 1.25 | 4.65 | 10.8 | 4.77 | 5.28 |
| Dibromochloroacetic acid (DBCA) | ND | 19.6 | 18.9 | 12.7 | 5.72 | 0.83 | 0.47 | 41.5 | 0.37 | 0.89 |
| Dibromoacetic acid (DBAA) | 2.18 | 41.9 | 100.8 | 35.9 | 50.6 | 1.61 | 62.3 | 107.3 | 39.9 | 5.97 |
| Dichlorobromoacetic acid (DCBA) | ND | 2.99 | 8.14 | 2.37 | 2.72 | ND | 1.86 | 7.95 | 1.05 | 1.53 |
| Tribromoacetic acid (TBAA) | 1.01 | 31.0 | 64.9 | 26.2 | 30.9 | ND | 11.22 | 48.7 | 7.49 | 8.52 |
| Σ HAAs | 3.19 | 286.8 | 519.3 | 229.4 | 301.9 | 6.88 | 82.4 | 227.6 | 56.2 | 24.4 |
| Haloacetonitriles (HANs), μg/L | ||||||||||
| Monochloroacetonitrile (MCAN) | ND | ND | ND | ND | ND | ND | 0.33 | 1.16 | 0.00 | 0.00 |
| Dichloroacetonitrile (DCAN) | ND | ND | ND | ND | ND | ND | 0.00 | 0.53 | 1.03 | 0.00 |
| Monobromoacetonitrile (MBAN) | ND | ND | ND | ND | ND | ND | 1.53 | 9.24 | 0.23 | 0.00 |
| Bromochloroacetonitrile (BCAN) | ND | 0.38 | 0.34 | 0.41 | 0.24 | ND | 0.00 | 0.95 | 0.48 | 0.53 |
| Dibromoacetonitrile (DBAN) | ND | 7.60 | 5.33 | 9.51 | 1.57 | ND | ND | ND | ND | ND |
| Σ HANs | ND | 7.98 | 5.67 | 9.92 | 1.81 | ND | 1.86 | 11.87 | 1.74 | 0.53 |
| ΣDBPs | 3.19 | 294.7 | 524.9 | 239.3 | 303.7 | 6.88 | 389.9 | 546.5 | 159.2 | 140.2 |
| 1Species | 2Band 1 | Band 2 | 3ν1 (cm−1) | ν2 (cm−1) | 4Φ (Synchronous) | Ψ (Asynchronous) |
|---|---|---|---|---|---|---|
| Skel-cult | Amide II | Amide I | 1540 | 1650 | 5+ | − |
| Skel-cult | Fingerprint-1 | Amide I | 1100 | 1650 | − | + |
| Skel-cult | Fingerprint-1 | Amide II | 1100 | 1540 | − | − |
| Skel-cult | Fingerprint-2 | Amide I | 1030 | 1650 | + | − |
| Skel-cult | Fingerprint-2 | Amide II | 1030 | 1540 | + | − |
| Skel-cult | Fingerprint-2 | Fingerprint-1 | 1030 | 1100 | − | + |
| Aka-cult | Amide II | Amide I | 1540 | 1650 | + | − |
| Aka-cult | Fingerprint-1 | Amide I | 1100 | 1650 | + | + |
| Aka-cult | Fingerprint-1 | Amide II | 1100 | 1540 | − | + |
| Aka-cult | Fingerprint-2 | Amide I | 1030 | 1650 | + | + |
| Aka-cult | Fingerprint-2 | Amide II | 1030 | 1540 | − | + |
| Aka-cult | Fingerprint-2 | Fingerprint-1 | 1030 | 1100 | + | + |
Disclaimer/Publisher’s Note: The statements, opinions and data contained in all publications are solely those of the individual author(s) and contributor(s) and not of MDPI and/or the editor(s). MDPI and/or the editor(s) disclaim responsibility for any injury to people or property resulting from any ideas, methods, instructions or products referred to in the content. |
© 2026 by the authors. Licensee MDPI, Basel, Switzerland. This article is an open access article distributed under the terms and conditions of the Creative Commons Attribution (CC BY) license.
Share and Cite
Cha, H.-G.; Hyun, B.; Seo, J.-Y.; Jang, M.-C.; Lee, W.-J.; Shin, K.; Jang, P.-G. Influence of Dominant Phytoplankton Species on Disinfection By-Product Formation During Active-Substance Ballast Water Treatment: Skeletonema costatum vs. Akashiwo sanguinea. J. Mar. Sci. Eng. 2026, 14, 372. https://doi.org/10.3390/jmse14040372
Cha H-G, Hyun B, Seo J-Y, Jang M-C, Lee W-J, Shin K, Jang P-G. Influence of Dominant Phytoplankton Species on Disinfection By-Product Formation During Active-Substance Ballast Water Treatment: Skeletonema costatum vs. Akashiwo sanguinea. Journal of Marine Science and Engineering. 2026; 14(4):372. https://doi.org/10.3390/jmse14040372
Chicago/Turabian StyleCha, Hyung-Gon, Bonggil Hyun, Jin-Young Seo, Min-Chul Jang, Woo-Jin Lee, Kyoungsoon Shin, and Pung-Guk Jang. 2026. "Influence of Dominant Phytoplankton Species on Disinfection By-Product Formation During Active-Substance Ballast Water Treatment: Skeletonema costatum vs. Akashiwo sanguinea" Journal of Marine Science and Engineering 14, no. 4: 372. https://doi.org/10.3390/jmse14040372
APA StyleCha, H.-G., Hyun, B., Seo, J.-Y., Jang, M.-C., Lee, W.-J., Shin, K., & Jang, P.-G. (2026). Influence of Dominant Phytoplankton Species on Disinfection By-Product Formation During Active-Substance Ballast Water Treatment: Skeletonema costatum vs. Akashiwo sanguinea. Journal of Marine Science and Engineering, 14(4), 372. https://doi.org/10.3390/jmse14040372

