Sign in to use this feature.

Years

Between: -

Subjects

remove_circle_outline
remove_circle_outline
remove_circle_outline
remove_circle_outline
remove_circle_outline
remove_circle_outline
remove_circle_outline
remove_circle_outline
remove_circle_outline

Journals

remove_circle_outline
remove_circle_outline
remove_circle_outline
remove_circle_outline
remove_circle_outline

Article Types

Countries / Regions

remove_circle_outline
remove_circle_outline
remove_circle_outline
remove_circle_outline

Search Results (263)

Search Parameters:
Keywords = branching-time properties

Order results
Result details
Results per page
Select all
Export citation of selected articles as:
21 pages, 6221 KB  
Article
Model of Mechanical Properties of Concrete in Western Saline Soil Regions Based on Grey Theory
by Deqiang Yang, Tian Su, Bangxiang Li, Xuefeng Mei and Fakai Dou
Coatings 2026, 16(1), 3; https://doi.org/10.3390/coatings16010003 - 19 Dec 2025
Viewed by 97
Abstract
Concrete structures in western saline soil regions are subjected to extreme environments with coupled dry-wet cycles and high concentrations of erosive ions such as Cl, SO42−, and Mg2+, leading to severe degradation of mechanical properties. This [...] Read more.
Concrete structures in western saline soil regions are subjected to extreme environments with coupled dry-wet cycles and high concentrations of erosive ions such as Cl, SO42−, and Mg2+, leading to severe degradation of mechanical properties. This study employed a simulated accelerated, high-concentration solution (Solution A, ~8× seawater salinity) similar to the composition of actual saline soil to perform accelerated dry-wet cycling corrosion tests on ordinary C40 concrete specimens for six corrosion ages (0, 5, 8, 10, 15, and 20 months). For each age, three replicate cube specimens were tested per property. The changes in cube compressive strength, splitting tensile strength, prism stress–strain full curves, and microstructure were systematically investigated. Results show that in the initial corrosion stage (0–5 months), strength exhibits a brief increase (compressive strength by 11.87%, splitting tensile strength by 9.23%) due to pore filling by corrosion products such as ettringite, gypsum, and Friedel’s salt. It then enters a slow deterioration stage (5–15 months), with significant strength decline by 20 months, where splitting tensile strength is most sensitive to corrosion. Long-term prediction models for key parameters such as compressive strength, splitting tensile strength, elastic modulus, peak stress, and peak strain were established based on grey GM(1,1) theory using the measured data from 0 to 20 months, achieving “excellent” accuracy (C ≤ 0.1221, p = 1). A segmented compressive constitutive model that considers the effect of corrosion time was proposed by combining continuous damage mechanics and the Weibull distribution. The ascending branch showed high consistency with the experimental curves. Life prediction indicates that under natural dry-wet cycling conditions, the service life of ordinary concrete in this region is only about 7.5 years when splitting tensile strength drops to 50% of initial value as the failure criterion, far below the 50-year design benchmark period. This study provides reliable theoretical models and a quantitative basis for durability design and life assessment of concrete structures in western saline soil regions. Full article
(This article belongs to the Section Environmental Aspects in Colloid and Interface Science)
Show Figures

Figure 1

25 pages, 2839 KB  
Article
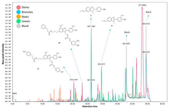
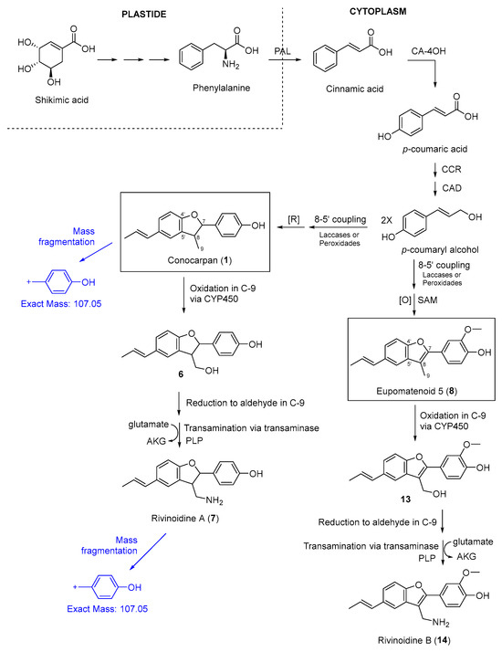
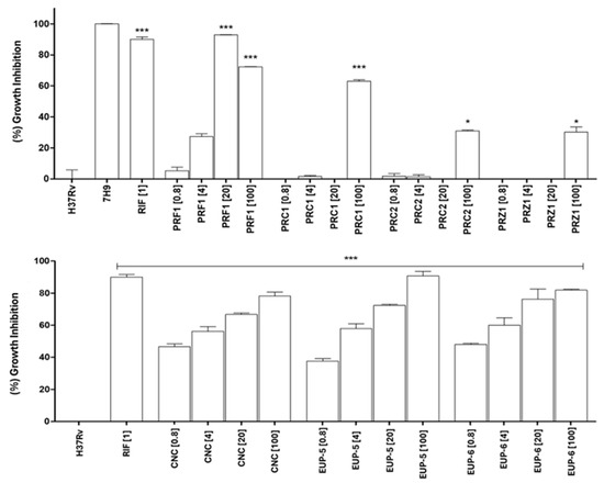
Organ-Specific Distribution of Antimycobacterial Neolignans in Piper rivinoides and UHPLC-HRMS/MS Analysis of Its Extracts
by Jéssica Sales Felisberto, Thayssa Ferreira Fagundes, Lorraynne Oliveira-Souza, Bruno Henrique Gomes de Souza, Daniel Machado de Brito, Jeferson Adriano Assunção, Samik Lourenço Massau, Marlon H. de Araújo, Michelle Frazão Muzitano, Sanderson Dias Calixto, Thatiana Lopes Biá Ventura Simão, Andre Mesquita Marques, Ygor Jessé Ramos and Davyson de Lima Moreira
Molecules 2025, 30(24), 4682; https://doi.org/10.3390/molecules30244682 - 6 Dec 2025
Viewed by 228
Abstract
This multidisciplinary study investigates Piper rivinoides, a Brazilian medicinal species, focusing on its chemical composition and antimycobacterial potential. UHPLC-HRMS/MS of leaves, stems, branches, and roots revealed 58 compounds, including neolignans, lignanamides, triterpenes, flavonoids, and carotenoids. Fourteen metabolites, notably benzofuran neolignans and pentacyclic [...] Read more.
This multidisciplinary study investigates Piper rivinoides, a Brazilian medicinal species, focusing on its chemical composition and antimycobacterial potential. UHPLC-HRMS/MS of leaves, stems, branches, and roots revealed 58 compounds, including neolignans, lignanamides, triterpenes, flavonoids, and carotenoids. Fourteen metabolites, notably benzofuran neolignans and pentacyclic triterpenes are annotated here for the first time. Quantitative analyses by HPLC-DAD-UV showed that eupomatenoid-5, eupomatenoid-6, and conocarpan were most abundant in leaves, reaching amounts approximately twice those found in branches and stems and about ten times higher than in roots, supporting the optimal defense theory and organ-specific accumulation of bioactive metabolites. Biological assays against Mycobacterium tuberculosis strains H37Rv and M299 revealed strong inhibitory activity for the leaf extract and isolated neolignans. Eupomatenoid-5 and eupomatenoid-6 achieved inhibition comparable to rifampicin, with low MIC50 values, while conocarpan exhibited moderate activity. Antimycobacterial effects were more pronounced against the H37Rv strain, although relevant inhibition was also observed for the hypervirulent M299 strain. These findings highlight P. rivinoides as a rich source of benzofuran neolignans and promising antimycobacterial properties. The integration of advanced mass spectrometric analyses with bioassays demonstrates the value of combining chemical and biological approaches to uncover novel natural products. The putative identification of new neolignans and triterpenes, along with the confirmation of potent antimycobacterial activity, provides a robust foundation for further studies on biosynthesis, structure–activity relationships, and potential biotechnological applications. Full article
(This article belongs to the Section Natural Products Chemistry)
Show Figures

Figure 1

27 pages, 2640 KB  
Article
An Exact Approach for Multitasking Scheduling with Two Competitive Agents on Identical Parallel Machines
by Xin Xin, Suxia Zhou and Jinsheng Gao
Appl. Sci. 2025, 15(22), 12111; https://doi.org/10.3390/app152212111 - 14 Nov 2025
Viewed by 382
Abstract
The cloud manufacturing (CMfg) platform serves as a centralized hub for allocating and scheduling tasks to distributed resources. It features a concrete two-agent model that addresses real-world industrial needs: the first agent handles long-term flexible tasks, while the second agent manages urgent short-term [...] Read more.
The cloud manufacturing (CMfg) platform serves as a centralized hub for allocating and scheduling tasks to distributed resources. It features a concrete two-agent model that addresses real-world industrial needs: the first agent handles long-term flexible tasks, while the second agent manages urgent short-term tasks, both sharing a common due date. The second agent employs multitasking scheduling, which allows for the flexible suspension and switching of tasks. This paper addresses a novel scheduling problem aimed at minimizing the total weighted completion time of the first agent’s jobs while guaranteeing the second agent’s due date. For single-machine cases, a polynomial algorithm provides an efficient baseline; for parallel machines, an exact branch-and-price approach is developed, where the polynomial method informs the pricing problem and structural properties accelerate convergence. Computational results demonstrate significant improvements: the branch-and-price solves large-sized instances (up to 40 jobs) within 7200 s, outperforming CPLEX, which fails to find solutions for instances with more than 15 jobs. This approach is scalable for industrial cloud manufacturing applications, such as automotive parts production, and is capable of handling both design validation and quality inspection tasks. Full article
Show Figures

Figure 1

43 pages, 1749 KB  
Hypothesis
The Origin of Life and Cellular Systems: A Continuum from Prebiotic Chemistry to Biodiversity
by Jaime Gómez-Márquez
Life 2025, 15(11), 1745; https://doi.org/10.3390/life15111745 - 13 Nov 2025
Viewed by 2215
Abstract
The origin of life remains one of the most profound and enduring enigmas in the biological sciences. Despite substantial advances in prebiotic chemistry, fundamental uncertainties persist regarding the precise mechanisms that enabled the emergence of the first cellular entity and, subsequently, the foundational [...] Read more.
The origin of life remains one of the most profound and enduring enigmas in the biological sciences. Despite substantial advances in prebiotic chemistry, fundamental uncertainties persist regarding the precise mechanisms that enabled the emergence of the first cellular entity and, subsequently, the foundational branches of the tree of life. After examining the core principles that define living systems, we propose that life emerged as a novel property of a prebiotically assembled system—formed through the integration of distinct molecular worlds, defined as sets of structurally and functionally related molecular entities that interact via catalytic, autocatalytic, and/or self-assembly processes. This emergence established a permanent system–process duality, wherein the system’s organization and its dynamic processes became inseparable. Upon acquiring the capacity to replicate and mutate its genetic program, this primordial organism initiated the evolutionary process, ultimately driving the diversification of life under the influence of evolutionary forces and leading to the formation of ecosystems. The challenge of uncovering the origin of life and the emergence of biodiversity is not solely scientific, it requires the integration of empirical evidence, theoretical insight, and critical reflection. This work does not claim certainty but proposes a perspective on how life and biodiversity may have arisen on Earth. Ultimately, time and scientific inquiry will determine the validity of this view. Full article
(This article belongs to the Special Issue 2nd Edition—Featured Papers on the Origins of Life)
Show Figures

Figure 1

20 pages, 328 KB  
Article
Resource Allocation and Minmax Scheduling Under Group Technology and Different Due-Window Assignments
by Li-Han Zhang and Ji-Bo Wang
Axioms 2025, 14(11), 827; https://doi.org/10.3390/axioms14110827 - 7 Nov 2025
Cited by 1 | Viewed by 245
Abstract
This article investigates single-machine group scheduling integrated with resource allocation under different due-window (DIFDW) assignment. Three distinct scenarios are examined: one with constant processing times, one with a linear resource consumption function, and one with a convex [...] Read more.
This article investigates single-machine group scheduling integrated with resource allocation under different due-window (DIFDW) assignment. Three distinct scenarios are examined: one with constant processing times, one with a linear resource consumption function, and one with a convex resource consumption function. The objective is to minimize the total cost comprising the maximum earliness/tardiness penalties, the due-window starting time cost, the due-window size cost, and the resource consumption cost. For each problem variant, we analyze the structural properties of optimal solutions and develop corresponding solution algorithms: a polynomial-time optimal algorithm for the case with constant processing times, heuristic algorithms for problems involving linear and convex resource allocation, and the branch-and-bound algorithm for obtaining exact solutions. Numerical experiments are conducted to evaluate the performance of the proposed algorithms. Full article
(This article belongs to the Special Issue Advances in Mathematical Optimization Algorithms and Its Applications)
17 pages, 4047 KB  
Article
Numerical Simulation of Tunnel Boring Machine (TBM) Disc Cutter Rock Breaking Based on Discrete Element Method
by Liang Liu, Zhili Yang, Wenxin Li, Panfei Liu, Fanbao Meng, Ruming Ma, Yuexing Yu, Ruitong Zhang, Mingyue Qiu, Xingyu Tao and Shuyang Yu
Processes 2025, 13(11), 3401; https://doi.org/10.3390/pr13113401 - 23 Oct 2025
Viewed by 497
Abstract
To address the issue that the current research on TBM disc cutter rock breaking insufficiently considers actual stratified rock masses, this study constructs numerical models of stratified rock masses with different bedding dip angles and bedding spacings based on the discrete element method [...] Read more.
To address the issue that the current research on TBM disc cutter rock breaking insufficiently considers actual stratified rock masses, this study constructs numerical models of stratified rock masses with different bedding dip angles and bedding spacings based on the discrete element method (DEM). The whole process of TBM disc cutter rock breaking is numerically simulated through the displacement loading mode. The research results show that the bedding dip angle has a significant impact on the crack propagation mode. When α = 45°, the bedding intersects with the contact point of the disc cutter, and cracks penetrate directly along the bedding without an obvious “crushed zone”, resulting in the minimum number of cracks. The bedding spacing regulates the rock-breaking effect in stages. When d = 45°, the “crushed zone” interacts with two beddings to form three branch cracks, reaching the peak number of cracks and achieving the optimal rock-breaking efficiency. The cracks generated by disc cutter rock breaking exhibit the characteristic of “slow initial growth and rapid later surge” with the increase in time steps, which is highly consistent with the actual mechanical process of rock breaking. This study reveals the influence mechanism of bedding properties on TBM disc cutter rock breaking, verifies the reliability of the DEM combined with PB and SJ models in the simulation of stratified rock mass breaking, and provides theoretical support and data references for the parameter optimization of TBM disc cutters and efficient tunneling under complex stratified geological conditions. Full article
Show Figures

Figure 1

18 pages, 6933 KB  
Article
Recycling of PBS and PBS Bio-Composites Containing Organic By-Product Waste
by Nadka Tz. Dintcheva, Giulia Infurna, Cristina Scolaro, Erika Alessia Di Liberto, Mariem Ltayef and Annamaria Visco
Polymers 2025, 17(19), 2577; https://doi.org/10.3390/polym17192577 - 24 Sep 2025
Cited by 1 | Viewed by 741
Abstract
The current work is driven by applying circular principles, and it investigated the potential recyclability of polybutylene succinate (PBS) containing brewer’s spent grain filler (BSGF, 30 wt%) in comparison to the recyclability of pure PBS. PBS is much more stable than the PBS/BSGF [...] Read more.
The current work is driven by applying circular principles, and it investigated the potential recyclability of polybutylene succinate (PBS) containing brewer’s spent grain filler (BSGF, 30 wt%) in comparison to the recyclability of pure PBS. PBS is much more stable than the PBS/BSGF composite during processing cycles. Typically, thermomechanical degradation induces radical formation and branching of the macromolecular chain in PBS. Furthermore, PBS becomes less hydrophilic (by 53%, reaching 84°, approaching the 90° threshold), and its surface roughness increases by about 38% after five processing cycles. BSGF increases the viscosity of the melt, especially at low frequencies, and stabilizes the melt in the PBS/BSGF, which has lower torque variations during processing compared to pure PBS. Furthermore, BSGF in r-PBS/BSGF increases both hydrophilicity (by about 15%, from 75° to 64°) and surface roughness (by about 17%) after five processing cycles of the solid bio-composite and limits the formation of carboxylic groups during thermomechanical degradation. PBS is recyclable five times because it maintains its properties unchanged during extrusion cycles. At least two reprocessing steps are required for PBS/BSGF to obtain an optimal dispersion of BSGF, which can be re-extruded approximately three times. PBS/BSGF after four and five extrusion steps shows increased rigidity (Et PBS/BSGF > Et PBS) and reduced ductility (εb PBS/BSGF < εbt PBS), which could limit the recyclability of the PBS-based composite. Full article
Show Figures

Graphical abstract

17 pages, 5738 KB  
Article
Three-Dimensional Time-Lapse Joint Inversion of Resistivity and Time-Domain Induced Polarization Methods
by Depeng Zhu, Huan Ma and Youxing Yang
Appl. Sci. 2025, 15(18), 10016; https://doi.org/10.3390/app151810016 - 13 Sep 2025
Viewed by 590
Abstract
The resistivity method and time-domain induced polarization (TDIP) method are two branches of electrical geophysical prospecting. In recent years, researchers have implemented time-lapse resistivity inversion and time-lapse TDIP inversion based on time-lapse constraint theory. Although time-lapse inversion ensures temporal continuity between inversion results [...] Read more.
The resistivity method and time-domain induced polarization (TDIP) method are two branches of electrical geophysical prospecting. In recent years, researchers have implemented time-lapse resistivity inversion and time-lapse TDIP inversion based on time-lapse constraint theory. Although time-lapse inversion ensures temporal continuity between inversion results obtained at distinct epochs, it may not only cause the results to deviate from the true subsurface conditions, but also result in significant structural discrepancies resistivity and TDIP inversion results, thereby reducing inversion accuracy. To address these issues, the joint inversion of time-lapse resistivity and TDIP data was implemented based on cross-gradient constraint theory and time-lapse constraint theory. Using synthetic data from the theoretical model, we conducted separate inversion, time-lapse inversion, and time-lapse joint inversion. Comparative analysis of the results from these inversion schemes reveals that, compared with separate inversion and time-lapse inversion, time-lapse joint inversion not only maintains the temporal continuity of inverted models across consecutive monitoring epochs but also enforces structural similarity among distinct physical property models. This approach significantly increases the accuracy of the inversion results and exhibits superior noise robustness. These findings confirm the stability, reliability, and superiority of the algorithm developed in this study, providing a novel approach for addressing geological monitoring challenges. Full article
Show Figures

Figure 1

18 pages, 6096 KB  
Article
SFGI-YOLO: A Multi-Scale Detection Method for Early Forest Fire Smoke Using an Extended Receptive Field
by Yueming Jiang, Xianglei Meng and Jian Wang
Forests 2025, 16(8), 1345; https://doi.org/10.3390/f16081345 - 18 Aug 2025
Cited by 1 | Viewed by 1004
Abstract
Forest fires pose a significant threat to human life and property. The early detection of smoke and flames can significantly reduce the damage caused by forest fires to human society. This article presents an SFGI-YOLO model based on YOLO11n, which demonstrates outstanding advantages [...] Read more.
Forest fires pose a significant threat to human life and property. The early detection of smoke and flames can significantly reduce the damage caused by forest fires to human society. This article presents an SFGI-YOLO model based on YOLO11n, which demonstrates outstanding advantages in detecting forest fires and smoke, particularly in the context of early fire monitoring. The main principles of the algorithm include the following: first, a small-object detection head P2 is added to better extract shallow feature information; a Feature Enhancement Module (FEM) is utilized to increase feature richness, expand the receptive field, and enhance detection capabilities for small objects across multiple scales; the lightweight GhostConv is employed to significantly reduce computational costs and decrease the number of parameters; and Inception DWConv is combined with a C3k2 module to utilize multiple parallel branches, thereby enlarging the receptive field. The improved algorithm achieved a mean Average Precision (mAP50) of 95.4% on a custom forest fire dataset, surpassing the YOLO11n model by 1.8%. This model offers more accurate detection of forest fires, reducing both missed detections and false positives and thereby meeting the high precision and real-time detection requirements in forest fire monitoring. Full article
(This article belongs to the Section Natural Hazards and Risk Management)
Show Figures

Figure 1

18 pages, 16179 KB  
Article
Barium Titanate-Based Glass–Ceramics Crystallized from Multicomponent Oxide Glasses: Phase Composition and Microstructure
by Ruzha Harizanova, Wolfgang Wisniewski, Dragomir M. Tatchev, Georgi Avdeev, Svetlozar Nedev and Christian Rüssel
Materials 2025, 18(16), 3783; https://doi.org/10.3390/ma18163783 - 12 Aug 2025
Viewed by 870
Abstract
The interest in synthesizing new dielectric materials is caused by their potential application in various electronic and sensor devices as well as in a large variety of electronic components. The present work reports the synthesis of glasses in the Na2O/Al2 [...] Read more.
The interest in synthesizing new dielectric materials is caused by their potential application in various electronic and sensor devices as well as in a large variety of electronic components. The present work reports the synthesis of glasses in the Na2O/Al2O3/BaO/ZrO2/TiO2/B2O3/SiO2 system prepared by melt-quenching. These glasses were then crystallized to glass–ceramics by a controlled thermal treatment. X-ray diffraction experiments reveal the precipitation of Ba2TiSi2O8 (fresnoite) and BaTiO3, which probably forms a BaZrxTi1−xO3 solid solution. The microstructure is studied by scanning electron microscopy and shows the presence of mulberry-shaped, crystallized structures with a densely-branching morphology. Microcomputed X-ray tomography is used to gather information on the volume fraction and average size of the crystallized volume as an effect of the applied temperature–time schedule. Longer annealing times lead to a higher volume fraction and increasing average size of the crystallization structures obtained. The dielectric properties analyzed by impedance spectroscopy are insulating and show relatively high dielectric constants ≥ 100 and moderate loss tangent values at 10 kHz. Full article
Show Figures

Figure 1

20 pages, 4234 KB  
Article
Study on the Flocculation Characteristics of Protein in Modified Chitosan Membrane and Mung Bean Vermicelli Wastewater
by Zhisheng Liu, Guang Li, Xiaoyu Zhang, Wenjing Li, Tianyi Yang, Zhijie Wang, Jinlong Zuo and Yuyang Wang
Coatings 2025, 15(7), 831; https://doi.org/10.3390/coatings15070831 - 16 Jul 2025
Viewed by 842
Abstract
This study addresses the challenge of chitosan (CS) being difficult to dissolve in water due to its highly ordered crystalline structure. Chitosan is modified with chloroacetic acid to reduce its crystallinity and enhance its water solubility. Through single-factor experiments, the optimal conditions for [...] Read more.
This study addresses the challenge of chitosan (CS) being difficult to dissolve in water due to its highly ordered crystalline structure. Chitosan is modified with chloroacetic acid to reduce its crystallinity and enhance its water solubility. Through single-factor experiments, the optimal conditions for preparing carboxymethyl chitosan film (CMCS) were determined: under conditions of 50 °C, a cellulose substrate (CS) concentration of 18.75 g/L, a NaOH concentration of 112.5 g/L, and a chloroacetic acid concentration of 18.75 g/L, the reaction proceeded for 5 h. Under these conditions, the resulting carboxymethyl chitosan film exhibited the best flocculation effect, forming chitosan films in water that had flocculation activity toward mung bean starch protein wastewater. The successful introduction of carboxyl groups at the N and O positions of the chitosan molecular chain, which reduced the crystallinity of chitosan and enhanced its water solubility, was confirmed through analysis using scanning electron microscopy (SEM), X-ray diffraction (XRD), and Fourier transform infrared spectroscopy (FTIR). The prepared carboxymethyl chitosan film (CMCS) was applied in the flocculation recovery of protein. Through single-factor and response surface experiments, the optimal process conditions for flocculating and recovering protein with CMCS were determined: a CMCS dosage of 1.1 g/L, a reaction time of 39.6 min, a reaction temperature of 42.7 °C, and a pH of 5.2. Under these conditions, the protein recovery rate reached 56.97%. The composition and amino acid profile of the flocculated product were analyzed, revealing that the mung bean protein flocculated product contained 62.33% crude protein. The total essential amino acids (EAAs) accounted for 52.91%, non-essential amino acids (NEAAs) for 47.09%, hydrophobic amino acids for 39.56%, and hydrophilic amino acids for 12.67%. The ratio of aromatic to branched-chain amino acids was 0.31, and the ratio of basic to acidic amino acids was 1.68. These findings indicate that the recovered product has high surface activity and good protein stability, foaming ability, and emulsifying properties. Full article
(This article belongs to the Section Environmental Aspects in Colloid and Interface Science)
Show Figures

Figure 1

18 pages, 6724 KB  
Article
Taxus baccata L. Under Changing Climate Conditions in the Steppe Zone of the East European Plain
by Vladimir Kornienko, Alyona Shkirenko, Valeriya Reuckaya, Besarion Meskhi, Dmitry Dzhedirov, Anastasiya Olshevskaya, Mary Odabashyan, Victoria Shevchenko, Dzhuletta Mangasarian and Natalia Kulikova
Plants 2025, 14(13), 1970; https://doi.org/10.3390/plants14131970 - 27 Jun 2025
Cited by 2 | Viewed by 850
Abstract
The aim of the work is to analyze the survival strategy of Taxus baccata L., one of the promising plants for landscaping and the creation of woodlands, in the changing ecological conditions of the steppe zone of the Donetsk ridge. In order to [...] Read more.
The aim of the work is to analyze the survival strategy of Taxus baccata L., one of the promising plants for landscaping and the creation of woodlands, in the changing ecological conditions of the steppe zone of the Donetsk ridge. In order to achieve this goal, we used biomechanics methods, which help to understand the relationship between the physical and mechanical properties of living tissues and the overall stability of trees during interactions with environmental factors such as temperature, snow and ice storms, cyclic freeze–thaw processes, wind loads, and others. The work was based both on experimental studies on the estimation of the tissue elasticity modulus in response to temperature changes, the mechanical stability of plants, the field collection of materials, and studies on the modeling of forest stand conditions of English yew. As a result of the conducted experiments, it was established for the first time that at the absolute wood moisture content of 77 ± 5.1%, the density of wood tissues in the conditions of Donetsk is 907 ± 43 kg m−3. The modulus of elasticity of living tissues depending on the temperature factor varied in the following range: 8.8 ± 0.31 GN m−2 (T = 288 K), 11.5 ± 0.55 GN m−2 (T = 255 K) and 6.9 ± 0.47 GN m−2 (t = 308 K). It was revealed that during the local thawing of skeletal branches and tables, the mechanical resistance of T. baccata is reduced by 20–22% and this critically affects the overall plant resistance. It was established for the first time that T. baccata in the conditions of the steppe zone has an adaptive strategy of preserving the integrity of the organism under the action of environmental factors with limited loads. The secret lies in the formation of the shape memory effect, under the influence of critical loads. The plant, thus, chooses not migration, not death, but adaptation to changes in environmental conditions, which can become a serious factor in the use of T. baccata in the landscaping of urban areas and the creation of artificial forests. Full article
(This article belongs to the Special Issue Forest Disturbance and Management)
Show Figures

Figure 1

18 pages, 3371 KB  
Article
Evaluating Parameter Value Identification Methods for Modeling of Nonlinear Stress Relaxation in Polyethylene
by Furui Shi and P.-Y. Ben Jar
Materials 2025, 18(13), 2960; https://doi.org/10.3390/ma18132960 - 23 Jun 2025
Cited by 1 | Viewed by 500
Abstract
Viscous properties play a major role in the time-dependent deformation behavior of polymers and have long been characterized using spring-dashpot models. However, such models face a bottleneck of having multiple sets of model parameter values that can all be used to simulate the [...] Read more.
Viscous properties play a major role in the time-dependent deformation behavior of polymers and have long been characterized using spring-dashpot models. However, such models face a bottleneck of having multiple sets of model parameter values that can all be used to simulate the same deformation behavior. As a result, these model parameters have not been widely used to quantify the viscous properties. In this study, a newly developed multi-relaxation-recovery test was used to obtain the variation in stress response to deformation of polyethylene (PE) and its pipes during relaxation, revealing the complexity of PE’s nonlinear viscous stress response to deformation. Using a three-branch spring-dashpot model with two Eyring’s dashpots, this study shows the possibility of determining the model parameter values using four different analysis methods, namely, the mode method, peak-point method, highest-frequency method, and best-five-fits method. Model parameter values from these methods are compared and discussed in this paper, to reach the conclusion that the best-five-fits method provides the most reliable and relatively unique set of model parameter values for characterizing the mechanical performance of PE and its pipes. The best-five-fits method is expected to enable the use of the model parameters to quantify PE’s viscous properties so that PE’s load-carrying performance can be properly characterized, even for long-term applications. Full article
Show Figures

Figure 1

27 pages, 660 KB  
Article
Integrating Group Setup Time Deterioration Effects and Job Processing Time Learning Effects with Group Technology in Single-Machine Green Scheduling
by Na Yin, Hongyu He, Yanzhi Zhao, Yu Chang and Ning Wang
Axioms 2025, 14(7), 480; https://doi.org/10.3390/axioms14070480 - 20 Jun 2025
Cited by 6 | Viewed by 577
Abstract
We study single-machine group green scheduling considering group setup time deterioration effects and job-processing time learning effects, where the setup time of a group is a general deterioration function on its starting setup time and the processing time of a job is a [...] Read more.
We study single-machine group green scheduling considering group setup time deterioration effects and job-processing time learning effects, where the setup time of a group is a general deterioration function on its starting setup time and the processing time of a job is a non-increasing function on its position. We focus on confirming the job schedule for each group and group schedule for minimizing the total weighted completion time. It is proved that this problem is NP-hard. According to the problem’s NP-hardness, we present some optimal properties (including lower and upper bounds) and then propose a branch-and-bound algorithm and two heuristic algorithms (including the modified Nawaz–Enscore–Ham algorithm and simulated annealing algorithm). Finally, numerical simulations are provided to indicate the effectiveness of these algorithms, which demonstrates that the branch-and-bound algorithm can solve random instances of 100 jobs and 14 groups within reasonable time and that simulated annealing is more accurate than the modified Nawaz–Enscore–Ham algorithm. Full article
(This article belongs to the Special Issue Advances in Mathematical Optimization Algorithms and Its Applications)
Show Figures

Figure 1

14 pages, 1936 KB  
Article
Analytical Approach to UAV Cargo Delivery Processes Under Malicious Interference Conditions
by Fazliddin Makhmudov, Andrey Privalov, Sergey Egorenkov, Andrey Pryadkin, Alpamis Kutlimuratov, Gamzatdin Bekbaev and Young Im Cho
Mathematics 2025, 13(12), 2008; https://doi.org/10.3390/math13122008 - 18 Jun 2025
Cited by 2 | Viewed by 546
Abstract
The instability of the geopolitical situation due to the high terrorist danger leads to the need to take into account at the planning stage the capabilities of intruders to perform UAV flight missions. A general method for analyzing the process of cargo delivery [...] Read more.
The instability of the geopolitical situation due to the high terrorist danger leads to the need to take into account at the planning stage the capabilities of intruders to perform UAV flight missions. A general method for analyzing the process of cargo delivery by UAVs (Unmanned Aerial Vehicles) to hard-to-reach areas during emergencies has been proposed. This method allows for the evaluation of UAV effectiveness based on the probability of successful cargo delivery within a specified time limit. The method is based on applying topological transformation techniques to stochastic networks. The cargo delivery process is modeled as a stochastic network, followed by the determination of its equivalent function and the use of Heaviside decomposition to calculate the distribution function and the expected delivery time. This presentation of the studied process for the first time made it possible to take into account the impact on the flight mission of the UAV of the destructive impact from the attacker. This approach allows the destructive effects on the UAV from malicious interference to be considered. The input data used for the analysis are parameters that characterize the properties of individual processes within the stochastic network, represented as branches, which are computed using methodologies published in earlier studies. It has been demonstrated that the resulting distribution function of the mission completion time can be accurately approximated by a gamma distribution with a level of precision suitable for practical applications. In this case, the gamma distribution parameters are determined using the equivalent function of the stochastic network. The proposed method can be used by flight planners when scheduling UAV operations in emergency zones, especially in scenarios where there is a risk of malicious interference. Full article
(This article belongs to the Special Issue Optimization Models for Supply Chain, Planning and Scheduling)
Show Figures

Figure 1

Back to TopTop