Numerical Simulation of Tunnel Boring Machine (TBM) Disc Cutter Rock Breaking Based on Discrete Element Method
Abstract
1. Introduction
2. Basic Principles of PFC
2.1. PB Model
2.2. SJ Model
3. Numerical Model, Calculation Scheme, and Parameters
3.1. Numerical Model and Calculation Parameters
3.2. Calculation Scheme
4. Numerical Simulation Results
4.1. Influence of Bedding Dip Angle on Rock-Breaking Law of TBM Disc Cutter
4.2. Influence of Bedding Spacing on Rock-Breaking Law of TBM Disc Cutter
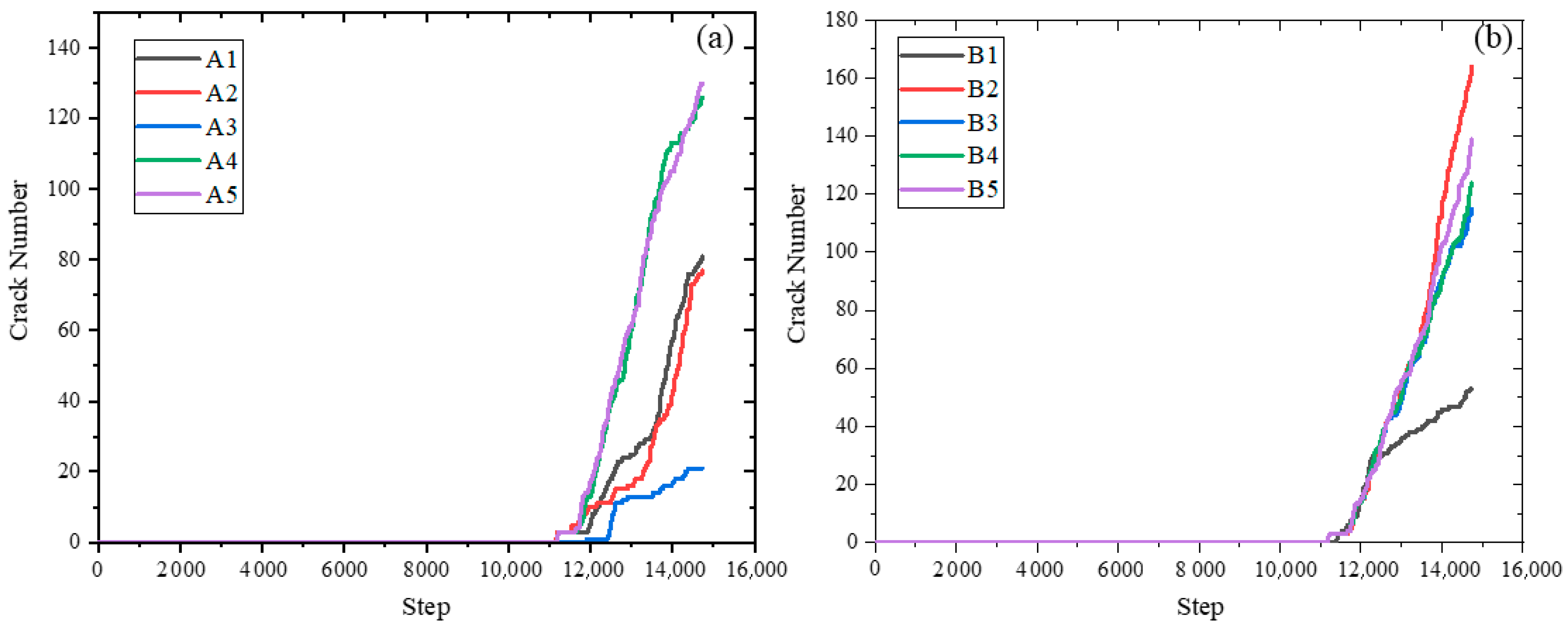
4.3. Crack–Time Step Curves Under Different Calculation Schemes
5. Discussion
5.1. Influence of Bedding Dip Angle on TBM Disc Cutter Rock-Breaking Mechanism
5.2. Influence of Bedding Spacing on TBM Disc Cutter Rock-Breaking Mechanism
5.3. Application Prospect of PFC in TBM Disc Cutter Rock-Breaking Simulation
5.4. Validation of the Numerical Simulation Results
5.5. Potential Limitations of 2D Simulation (PFC2D) Versus 3D
6. Conclusions
- (1)
- The bedding dip angle exerts a significant influence on the crack propagation mode and efficiency of TBM disc cutter rock breaking. When the bedding dip angle α = 0°, cracks first form a “crushed zone” and then generate “radial cracks” along the penetration direction. These radial cracks penetrate along the bedding when reaching it and propagate along the horizontal bedding. When α = 45°, the bedding intersects with the contact point of the disc cutter, and cracks penetrate directly along the bedding without an obvious “crushed zone”, resulting in the minimum number of cracks. When α = 60° and 75°, cracks all propagate along the bedding direction. This indicates that the bedding dip angle directly affects rock-breaking energy consumption and rock mass failure morphology by changing the dominant propagation path of cracks.
- (2)
- The regulatory effect of bedding spacing on the rock-breaking effect presents a phased characteristic. When the bedding spacing d = 30 mm, a single branch crack propagates along the bedding to cause rock mass failure. When d = 45 mm, the “crushed zone” interacts with two beddings to form three branch cracks, reaching the peak number of cracks and achieving the optimal rock-breaking effect. When d ≥ 60 mm, with the increase in spacing, the guiding effect of the bedding on cracks weakens. When d = 90 mm, the disc cutter does not contact the bedding, and only a single crack propagating radially is formed, leading to a decrease in rock-breaking efficiency. This confirms that there exists an optimal bedding spacing range to improve rock-breaking efficiency.
- (3)
- The discrete element method (DEM) combined with the PB and SJ models in PFC2D can accurately simulate the entire process of TBM disc cutter rock breaking in stratified rock masses. The PB model can effectively characterize the cementation between bedrock particles and the formation mechanism of the “crushed zone”, while the SJ model can accurately reproduce the mechanical responses of weak structural planes, such as sliding and separation of bedding planes. Additionally, the crack–time step curve with the characteristic of “slow initial growth and rapid later surge” obtained from the simulation is highly consistent with the actual mechanical process of rock breaking, which verifies the reliability of this numerical method in the study of rock-breaking mechanisms of stratified rock masses.
- (4)
- The influence mechanism of bedding properties revealed in this study provides key references for the parameter optimization and engineering application of TBM disc cutter rock breaking. For stratified rock masses with different bedding dip angles and spacings, the disc cutter parameters, such as penetration depth and cutter spacing, can be adjusted to adapt to the crack propagation path: for example, when encountering rock masses with α = 45° bedding, the disc cutter thrust can be reduced to lower energy consumption; when encountering rock masses with bedding spacing around d = 45 mm, the cutterhead rotational speed can be optimized to improve rock-breaking efficiency. This study provides theoretical support for efficient TBM tunneling and cutter design under complex stratified geological conditions.
Author Contributions
Funding
Data Availability Statement
Conflicts of Interest
References
- Wang, X.; Li, J.; Zhao, X.; Liang, Y. Propagation characteristics and prediction of blast-induced vibration on closely spaced rock tunnels. Tunn. Undergr. Space Technol. 2022, 123, 104416. [Google Scholar] [CrossRef]
- Wang, X.; Li, Z.; Li, W.; He, C.; Wang, Z. Analysis and prediction of dynamic stress concentration in jointed coal using boundary element method. Theor. Appl. Fract. Mech. 2025, 140, 105136. [Google Scholar] [CrossRef]
- Xiao, W. Analytical theory on instability sliding of surrounding rock blocks in tunnel roof under stress wave actions. Chin. J. Theor. Appl. Mech. 2024, 56, 183–197. [Google Scholar]
- Wang, X.; Zhang, X.; Li, W.; Jiang, Y.; Li, Z.; Wang, C. Analytical theoretical study on ultra-low friction characteristics of coal rock interfaces under stress wave action. J. China Coal Soc. 2024, 49, 4495–4507. [Google Scholar]
- Liu, P.; Li, S.; Jin, H.; Tian, X.; Liu, G. Shape parameterization method and hydrodynamic noise characteristics of low-noise toroidal propeller. Ocean Eng. 2025, 328, 121088. [Google Scholar] [CrossRef]
- Zhou, X.; Wang, L.; Berto, F.; Zhou, L. Comprehensive study on the crack tip parameters of two types of disc specimens under combined confining pressure and diametric concentrated forces. Theor. Appl. Fract. Mech. 2019, 103, 102317. [Google Scholar] [CrossRef]
- Han, X.; Xiao, Q.; Cui, K.; Lei, S.; Hu, X.; Chen, S. Comparison between some methods for predicting the fracture of hard rock in three-point bending tests. Theor. Appl. Fract. Mech. 2023, 123, 103689. [Google Scholar] [CrossRef]
- Zhang, K.; Xiao, S.; Liu, W.; Wang, D.; Zhang, G.; Sun, J. Analysis of the distributed laser-assisted rock breaking mechanism by TBM disc cutters—Based on microscopic scale scratch tests and macroscopic scale scaled-down disc cutter indenter penetration tests. Eng. Fract. Mech. 2025, 318, 110940. [Google Scholar] [CrossRef]
- Yang, Z.; Tao, M.; Yin, T.; Wu, X.; Xiang, G.; Xu, Y. Microwave-assisted TBM cutter for efficient hard rock fracturing in high stress environments. Eng. Fract. Mech. 2024, 310, 110479. [Google Scholar] [CrossRef]
- Gu, C.; Bao, W.; Zhang, X.; Chen, F.; Jiang, H.; Liu, S. The mechanism of rock-breaking using disc cutter assisted by pre-slotting. Eng. Fract. Mech. 2025, 322, 111165. [Google Scholar] [CrossRef]
- Zhang, K.; Xiao, S.; Liu, W.; Wang, D.; Zhang, G. Feasibility study of an adjustable-power laser cutting head for TBM applications: Focus on rock fragmentation efficiency and energy consumption. Tunn. Undergr. Space Technol. 2025, 155, 106155. [Google Scholar] [CrossRef]
- Qi, W.; Qu, C.; Yan, X.; Kang, Y.; Zhang, Q. Excavation load analysis and efficiency optimization of TBM by multi-disc cutter rotary rock-breaking. KSCE J. Civ. Eng. 2025, 29, 100249. [Google Scholar] [CrossRef]
- Liu, J.; Zhou, Z.; Pan, Y.; Liu, Q. Characterization of particle size distribution of rock chips and evaluation of rock breaking efficiency of TBM based on multifractal theory: A case study. Tunn. Undergr. Space Technol. 2025, 158, 106418. [Google Scholar] [CrossRef]
- Xia, Y.; Guo, B.; Cong, G.; Zhang, X.; Zeng, G. Numerical simulation of rock fragmentation induced by a single TBM disc cutter close to a side free surface. Int. J. Rock Mech. Min. Sci. Géoméch. Abstr. 2017, 91, 40–48. [Google Scholar] [CrossRef]
- Wen, S.; Zhang, C. Experimental and simulation study on rock-breaking efficiency of disc cutters on composite rocks. Int. J. Rock Mech. Min. Sci. Geéomeéch. Abstr. 2022, 153, 105089. [Google Scholar] [CrossRef]
- Hajivand Dastgerdi, R.; Salimi, M.; Wichtmann, T.; Malinowska, A. Peridynamic modeling of rock cutting under a TBM disc cutter using LS-DYNA. Simul. Model. Pract. Theory 2025, 143, 103146. [Google Scholar] [CrossRef]
- Zhang, K.; Liu, Q.; Zhang, Z. Simulation of Rock Breaking Based on FEM-CZM Method and Its Application in Disc Cutter Parameter Optimization. KSCE J. Civ. Eng. 2023, 27, 384–398. [Google Scholar] [CrossRef]
- Cai, C.; Zhang, P.; Xu, D.; Yang, X.; Zhou, Y. Composite rock-breaking of high-pressure CO2 jet & polycrystalline-diamond-compact (PDC) cutter using a coupled SPH/FEM model. Int. J. Min. Sci. Technol. 2022, 32, 1115–1124. [Google Scholar]
- Jiang, H.; Zhang, X.; Liu, S.; Cai, Z. Research on the mechanism and performance of free-surface rock breakage by a disc cutter. Eng. Fract. Mech. 2022, 264, 108336. [Google Scholar] [CrossRef]
- Wang, Z.; Tong, J.; Zhang, X.; Sheng, F.; Gao, Y.; Zheng, K.; Qiu, B. Modeling hard rock breakage behavior influenced by the tipped hob cutter’s tooth structure using the 2D discrete element (DE) model. Powder Technol. 2025, 449, 120361. [Google Scholar] [CrossRef]
- Liu, Z.; Su, S.; Zhao, S.; Zheng, Y. Experimental and numerical study on rock breaking characteristics of TBM disc cutter under coupled static-dynamic loading. Int. J. Rock Mech. Min. Sci. Géoméch. Abstr. 2025, 194, 106248. [Google Scholar] [CrossRef]
- Zhang, B.; Gamage, R.P.; Kong, L.; Zhang, C. Cross-scale proppants transport in the shale hydraulic fracture network: A hybrid CFD-DEM investigation. Eng. Geol. 2025, 354, 108160. [Google Scholar] [CrossRef]
- Dong, Q.; Wang, Y. Investigation of hydraulic fracture propagation patterns and hydro-mechanical coupling mechanisms through DEM analysis. Eng. Anal. Bound. Elem. 2025, 178, 106298. [Google Scholar] [CrossRef]
- Krzaczek, M.; Tejchman, J. Hydraulic fracturing process in rocks—Small-scale simulations with a novel fully coupled DEM/CFD-based thermo-hydro-mechanical approach. Eng. Fract. Mech. 2023, 289, 109424. [Google Scholar] [CrossRef]
- Zhai, S. Rock Fragmentation by TBM Cutters in Deep Complicated Formation; Chongqing University: Chongqing, China, 2017. [Google Scholar]







| Numerical Methods | Advantages | Disadvantages |
|---|---|---|
| Finite Element Method (FEM) | 1. Mature technology with high computational efficiency, suitable for parameter sweeping and design optimization; 2. Can naturally couple the dynamics of the cutterhead/entire machine, facilitating structural strength and system dynamics analysis; 3. Can approximately simulate the rock-breaking process through “element birth and death” or damage criteria. | 1. Essentially a continuous-medium method, making it difficult to handle discontinuous behaviors, such as large deformation and crack penetration; 2. Prone to the distortion problem of “excessive breaking under the cutter and insufficient breaking between cutters”; 3. Weak ability to describe weak structural planes, such as joints and complex fractures; 4. The mapping between the material constitutive model and on-site geological conditions requires extensive calibration, leading to general adaptability to complex geology. |
| Smoothed Particle Hydrodynamics (SPH) | 1. Meshless method that does not require mesh redivision, enabling adaptive handling of large deformation, fracture, and splashing; 2. Can be coupled with FEM to form a Lagrange–SPH framework; 3. High degree of agreement with experimental results in simulating cutter–rock impact and fracture morphology. | 1. Sensitive to failure threshold and contact handling, requiring strict parameter calibration; 2. Still faces challenges in computational efficiency and stability for multi-cutter and large-scale models. |
| Discrete Element Method (DEM) | 1. Can naturally describe discontinuous deformation, joints, and the entire rock-breaking process, explicitly tracking the initiation, propagation, and penetration of microcracks; 2. Mesoscopic parameters can be calibrated through laboratory tests, facilitating mechanism research; 3. Strong ability to describe the influence of structural planes (e.g., joints and beddings) on rock breaking. |
| Parameters of PB | Parameters of SJ | ||
|---|---|---|---|
| Emod (Pa) | 16 × 109 | Sj_kn | 80 × 108 |
| Pb_emod (Pa) | 16 × 109 | Sj_ks | 100 × 107 |
| Pb_ten (Pa) | 91 × 106 | Sj_fric | 0.8 |
| Pb_coh (Pa) | 109.2 × 106 | Sj_ten | 20 × 105 |
| Pb_fa (°) | 50 | Sj_coh | 20 × 105 |
| Schemes | Details | Schemes | Details |
|---|---|---|---|
| A1 | α = 0° | B1 | d = 30 mm |
| A2 | α = 30° | B2 | d = 45 mm |
| A3 | α = 45° | B3 | d = 60 mm |
| A4 | α = 60° | B4 | d = 75 mm |
| A5 | α = 75° | B5 | d = 90 mm |
Disclaimer/Publisher’s Note: The statements, opinions and data contained in all publications are solely those of the individual author(s) and contributor(s) and not of MDPI and/or the editor(s). MDPI and/or the editor(s) disclaim responsibility for any injury to people or property resulting from any ideas, methods, instructions or products referred to in the content. |
© 2025 by the authors. Licensee MDPI, Basel, Switzerland. This article is an open access article distributed under the terms and conditions of the Creative Commons Attribution (CC BY) license (https://creativecommons.org/licenses/by/4.0/).
Share and Cite
Liu, L.; Yang, Z.; Li, W.; Liu, P.; Meng, F.; Ma, R.; Yu, Y.; Zhang, R.; Qiu, M.; Tao, X.; et al. Numerical Simulation of Tunnel Boring Machine (TBM) Disc Cutter Rock Breaking Based on Discrete Element Method. Processes 2025, 13, 3401. https://doi.org/10.3390/pr13113401
Liu L, Yang Z, Li W, Liu P, Meng F, Ma R, Yu Y, Zhang R, Qiu M, Tao X, et al. Numerical Simulation of Tunnel Boring Machine (TBM) Disc Cutter Rock Breaking Based on Discrete Element Method. Processes. 2025; 13(11):3401. https://doi.org/10.3390/pr13113401
Chicago/Turabian StyleLiu, Liang, Zhili Yang, Wenxin Li, Panfei Liu, Fanbao Meng, Ruming Ma, Yuexing Yu, Ruitong Zhang, Mingyue Qiu, Xingyu Tao, and et al. 2025. "Numerical Simulation of Tunnel Boring Machine (TBM) Disc Cutter Rock Breaking Based on Discrete Element Method" Processes 13, no. 11: 3401. https://doi.org/10.3390/pr13113401
APA StyleLiu, L., Yang, Z., Li, W., Liu, P., Meng, F., Ma, R., Yu, Y., Zhang, R., Qiu, M., Tao, X., & Yu, S. (2025). Numerical Simulation of Tunnel Boring Machine (TBM) Disc Cutter Rock Breaking Based on Discrete Element Method. Processes, 13(11), 3401. https://doi.org/10.3390/pr13113401

