Study on the Flocculation Characteristics of Protein in Modified Chitosan Membrane and Mung Bean Vermicelli Wastewater
Abstract
1. Introduction
2. Materials and Methods
2.1. Materials Preparation
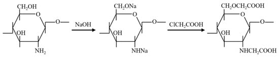
2.1.1. Preparation of CMCS
2.1.2. Preparation of Mung Bean Vermicelli Wastewater
2.2. Determination Method
2.2.1. Protein Determination
2.2.2. Protein Recovery Rate Calculation Method
- is the protein recovery rate (%);
- C0 is the initial concentration (g/L);
- C1 is the concentration after recovery (g/L).
2.3. Characterization
2.4. CMCS Recovery of Protein from Vermicelli Wastewater
2.5. Flocculation Product Analysis
2.5.1. Composition Analysis
2.5.2. Amino Acid Composition Determination
3. Results and Discussion
3.1. Optimization of CMCS Preparation Process
3.1.1. Effect of CS Amount
3.1.2. Effect of NaOH Amount
3.1.3. Effect of Chloroacetic Acid Amount
3.1.4. Effect of Reaction Time
3.2. CMCS Characterization
3.2.1. SEM: Scanning Electron Microscopy Analysis
3.2.2. FTIR: Fourier Transform Infrared Spectroscopy Analysis
3.2.3. XRD: X-Ray Diffraction Analysis
3.3. Research on the Protein Flocculation Process of Vermicelli Wastewater by CMCS
3.3.1. Effect of CMCS Dosage on Protein Recovery Rate
3.3.2. Effect of Reaction Time on Recovery Rate
3.3.3. Effect of Reaction Temperature on Recovery Rate
3.3.4. Effect of pH on Recovery Rate
3.3.5. Response Surface Methodology for CMCS Flocculation and Protein Recovery from Vermicelli Wastewater
- (1)
- Response Surface Experimental Design
- (2)
- Response Surface Experimental Design and Results
- (3)
- Regression Analysis
- (4)
- Optimization Model Response Surface Analysis
3.4. Flocculation Product Analysis
3.4.1. Composition Analysis of the Product
3.4.2. Amino Acid Composition Determination
4. Conclusions
Author Contributions
Funding
Institutional Review Board Statement
Informed Consent Statement
Data Availability Statement
Conflicts of Interest
References
- Abu-Saied, M.; Wycisk, R.; Abbassy, M.M.; El-Naim, G.A.; El-Demerdash, F.; Youssef, M.; Bassuony, H.; Pintauro, P.N. Sulfated chitosan/PVA absorbent membrane for removal of copper and nickel ions from aqueous solutions—Fabrication and sorption studies. Carbohydr. Polym. 2017, 165, 149–158. [Google Scholar] [CrossRef] [PubMed]
- Hahn, T.; Tafi, E.; Paul, A.; Salvia, R.; Falabella, P.; Zibek, S. Current state of chitin purification and chitosan production from insects. J. Chem. Technol. Biotechnol. 2020, 95, 2775–2795. [Google Scholar] [CrossRef]
- Xiang, W.; Cao, H.; Tao, H.; Jin, L.; Luo, Y.; Tao, F.; Jiang, T. Applications of chitosan-based biomaterials: From preparation to spinal cord injury neuro-prosthetic treatment. Int. J. Biol. Macromol. 2023, 230, 123447. [Google Scholar] [CrossRef] [PubMed]
- Kritchenkov, A.S.; Egorov, A.R.; Yagafarov, N.Z.; Volkova, O.V.; Zabodalova, L.A.; Suchkova, E.P.; Kurliuk, A.V.; Khrustalev, V.N. Efficient reinforcement of chitosan-based coatings for Ricotta cheese with non-toxic, active, and smart nanoparticles. Prog. Org. Coat. 2020, 145, 105707. [Google Scholar] [CrossRef]
- Lichtfouse, E.; Morin-Crini, N.; Fourmentin, M.; Zemmouri, H.; do Carmo Nascimento, I.O.; Queiroz, L.M.; Tadza, M.Y.; Picos-Corrales, L.A.; Pei, H.; Wilson, L.D.; et al. Chitosan for direct bioflocculation of wastewater. Environ. Chem. Lett. 2019, 17, 231–245. [Google Scholar] [CrossRef]
- Sun, Z.-H. Cardiovascular computed tomography in cardiovascular disease: An overview of its applications from diagnosis to prediction. J. Geriatr. Cardiol. 2024, 21, 550–576. [Google Scholar] [CrossRef] [PubMed]
- Sanjari, A.J.; Asghari, M. A Review on Chitosan Utilization in Membrane Synthesis. ChemBioEng Rev. 2016, 3, 134–158. [Google Scholar] [CrossRef]
- Zhou, Y.; Yang, Y.; Wang, D.; Liu, X. Preparation and Characterization of 6-Carboxychitosan. Chem. Lett. 2003, 32, 682–683. [Google Scholar] [CrossRef]
- Kurniasih, M.; Purwati; Cahyati, T.; Dewi, R.S. Carboxymethyl chitosan as an antifungal agent on gauze. Int. J. Biol. Macromol. 2018, 119, 166–171. [Google Scholar] [CrossRef] [PubMed]
- Boamah, P.O.; Huang, Y.; Hua, M.; Zhang, Q.; Wu, J.; Onumah, J.; Sam-Amoah, L.K. Sorption of heavy metal ions onto carboxylate chitosan derivatives—A mini-review. Ecotoxicol. Environ. Saf. 2015, 116, 113–120. [Google Scholar] [CrossRef] [PubMed]
- Diamond, M.; Luciano, A.; Johns, D.; Dunn, R.; Young, P.; Bieber, E. Reduction of postoperative adhesions by N,O-carboxymethylchitosan (NOCC): A pilot study. Fertil. Steril. 2002, 77, S10. [Google Scholar] [CrossRef]
- Shinde, U.; Ahmed, M.H.; Singh, K. Development of Dorzolamide Loaded 6-O-Carboxymethyl Chitosan Nanoparticles for Open Angle Glaucoma. J. Drug Deliv. 2013, 2013, 562727. [Google Scholar] [CrossRef] [PubMed]
- Liu, D.; Cheng, W.; Yu, J.; Ding, Y. Synthesis of carboxyl-introduced chitosan with C2 amine groups protected and its use in copper (II) removal. Water Sci. Technol. 2017, 76, 2095–2105. [Google Scholar] [CrossRef] [PubMed]
- Du, M.; Xie, J.; Gong, B.; Xu, X.; Tang, W.; Li, X.; Li, C.; Xie, M. Extraction, physicochemical characteristics and functional properties of Mung bean protein. Food Hydrocoll. 2018, 76, 131–140. [Google Scholar] [CrossRef]
- Hou, D.; Yousaf, L.; Xue, Y.; Hu, J.; Wu, J.; Hu, X.; Feng, N.; Shen, Q. Mung Bean (Vigna radiata L.): Bioactive Polyphenols, Polysaccharides, Peptides, and Health Benefits. Nutrients 2019, 11, 1238. [Google Scholar] [CrossRef] [PubMed]
- Huang, Z.; Li, Y.; Fan, M.; Qian, H.; Wang, L. Recent advances in mung bean protein: From structure, function to application. Int. J. Biol. Macromol. 2024, 273, 133210. [Google Scholar] [CrossRef] [PubMed]
- Wang, L.; Wang, S.; Luo, G.; Zhang, J.; Chen, Y.; Chen, H.; Cheng, X. Evaluation of the Production Potential of Mung Bean Cultivar “Zhonglv 5”. Agronomy 2022, 12, 707. [Google Scholar] [CrossRef]
- Tarahi, M.; Abdolalizadeh, L.; Hedayati, S. Mung bean protein isolate: Extraction, structure, physicochemical properties, modifications, and food applications. Food Chem. 2024, 444, 138626. [Google Scholar] [CrossRef] [PubMed]
- Qin, L.; Chen, S.; Xie, L.; Yu, Q.; Chen, Y.; Xie, J. Recent advances in Mung bean polysaccharides: Extraction, physicochemical properties and biological activities. Process Biochem. 2022, 121, 248–256. [Google Scholar] [CrossRef]
- Mohan Naik, G.; Abhirami, P.; Venkatachalapathy, N. Mung bean. In Pulses: Processing and Product Development; Springer Nature: Cham, Switzerland, 2020; pp. 213–228. [Google Scholar]
- Feng, Q.; Niu, Z.; Zhang, S.; Wang, L.; Qun, S.; Yan, Z.; Hou, D.; Zhou, S. Mung bean protein as an emerging source of plant protein: A review on production methods, functional properties, modifications and its potential applications. J. Sci. Food Agric. 2023, 104, 2561–2573. [Google Scholar] [CrossRef] [PubMed]
- Li, S.; Feng, X.; Hao, X.; Zhu, Y.; Zou, L.; Chen, X.; Yao, Y. A comprehensive review of mung bean proteins: Extraction, characterization, biological potential, techno-functional properties, modifications, and applications. Compr. Rev. Food Sci. Food Saf. 2023, 22, 3292–3327. [Google Scholar] [CrossRef] [PubMed]
- Yu, S.; Wu, Y.; Li, Z.; Wang, C.; Zhang, D.; Wang, L. Effect of different milling methods on physicochemical and functional properties of mung bean flour. Front. Nutr. 2023, 10, 1117385. [Google Scholar] [CrossRef] [PubMed]
- Li, Z.; Liu, W.; Shen, Q.; Zheng, W.; Tan, B. Properties and qualities of vermicelli made from sour liquid processing and centrifugation starch. J. Food Eng. 2007, 86, 162–166. [Google Scholar] [CrossRef]
- Nguyen, P.B.; Pham, V.T.; Viet Le, H.; Kumar, P.; Meraj, G. Pollution Mitigation in Vermicelli Wastewater: Integrated Fenton and Aerobic Sludge Treatment for Water Quality Improvement. Scientifica 2024, 2024, 8133617. [Google Scholar] [CrossRef] [PubMed]
- Kang, J.; Yang, W.; Shao, Y.; Xuan, N.; Geng, Y.; Bian, F.; Zhang, Y.; Zhang, Y.; Yue, M.; Cao, X.; et al. Feasibility of Using Yeast and Microalgae for Pea Vermicelli Wastewater Treatment: A Staged Process for Pollutant Removal and Resource Recovery. Available online: https://papers.ssrn.com/sol3/papers.cfm?abstract_id=5082771 (accessed on 6 June 2024).
- Liu, F.F.; Li, Y.Q.; Wang, C.Y.; Liang, Y.; Zhao, X.Z.; He, J.X.; Mo, H.Z. Physicochemical, functional and antioxidant properties of mung bean protein enzymatic hydrolysates. Food Chem. 2022, 393, 133397. [Google Scholar] [CrossRef] [PubMed]
- Shrestha, S.; van’t Hag, L.; Haritos, V.S.; Dhital, S. Lentil and Mungbean protein isolates: Processing, functional properties, and potential food applications. Food Hydrocoll. 2022, 135, 108142. [Google Scholar] [CrossRef]
- Moghadam, M.; Salami, M.; Mohammadian, M.; Khodadadi, M.; Emam-Djomeh, Z. Development of antioxidant edible films based on mung bean protein en-riched with pomegranate peel. Food Hydrocoll. 2020, 104, 105735. [Google Scholar] [CrossRef]
- Brishti, F.H.; Chay, S.Y.; Muhammad, K.; Ismail-Fitry, M.R.; Zarei, M.; Karthikeyan, S.; Saari, N. Effects of drying techniques on the physicochemical, functional, thermal, structural and rheological properties of mung bean (Vigna radiata) protein isolate powder. Food Res. Int. 2020, 138, 109783. [Google Scholar] [CrossRef] [PubMed]
- Hou, D.; Feng, Q.; Niu, Z.; Wang, L.; Yan, Z.; Zhou, S. Promising mung bean proteins and peptides: A comprehensive review of preparation technologies, biological activities, and their potential applications. Food Biosci. 2023, 55, 102972. [Google Scholar] [CrossRef]
- Ma, M.M.; Mu, T.H.; Sun, H.N. Research progress of nutritional and healthy potato food processing and high-value utilization of by-products. J. Food Saf. Qual. 2020, 11, 9154–9163. [Google Scholar]
- Liu, J.; Wu, S.; Lu, Y.; Liu, Q.; Jiao, Q.; Wang, X.; Zhang, H. An integrated electrodialysis-biocatalysis-spray-drying process for efficient recycling of keratin acid hydrolysis industrial wastewater. Chem. Eng. J. 2016, 302, 146–154. [Google Scholar] [CrossRef]
- Zheng, K.; Li, H.; Wang, S.; Wang, Y.; Li, A.; Feng, X.; Li, J. Enhanced proteins and amino acids production based on ammonia nitrogen assimilation and sludge increment by the integration of bioadsorption with anaerobic-anoxic-oxic (AAO) process. Chemosphere 2021, 280, 130721. [Google Scholar] [CrossRef] [PubMed]
- Soon, W.L. Valorization of Food Industrial Waste into Protein Amyloid Fibrils for Water and Energy Applications. 2023. Available online: https://dr.ntu.edu.sg/entities/publication/500e7d4a-b794-4221-b5e4-ce94eda28235 (accessed on 26 July 2024).
- Nguyen, P.B.; Le Hoang, V.; Pham, V.T. Treatment of Vermicelli Wastewater by a Combination of Advanced Oxidation and Biological Methods. In Proceedings of the International Conference on Civil and Environmental Engineering, Can Tho, Vietnam, 23–25 November 2023; Volume 19, pp. 496–503. [Google Scholar]
- Xiao, J.; Gu, C.; Zhu, D.; Huang, Y.; Luo, Y.; Zhou, Q. Development and characterization of an edible chitosan/zein-cinnamaldehyde nano-cellulose composite film and its effects on mango quality during storage. LWT 2021, 140, 110809. [Google Scholar] [CrossRef]
- Yan, J.; Guan, Z.Y.; Zhu, W.F.; Zhong, L.Y.; Qiu, Z.Q.; Yue, P.F.; Wu, W.T.; Liu, J.; Huang, X. Preparation of puerarin chitosan oral nanoparticles by ionic gelation method and its related kinetics. Pharmaceutics 2020, 12, 216. [Google Scholar] [CrossRef] [PubMed]
- Taqwa, S.P.; Djunaidi, M.C.; Lusiana, R.A. Synthesis of Chitosan Derivative Compounds Through Chloroacetic Acid and Heparin Grafting and Their Application as Membrane Materials with Polyvinyl Alcohol (PVA). J. Kim. Sains dan Apl. 2022, 25, 412–418. [Google Scholar] [CrossRef]
- Satrio, N.W.; Wardana, I.N.G. Hydrogen production from instant noodle wastewater by organic electrocatalyst coated on PVC surface. Int. J. Hydrogen Energy 2020, 45, 12859–12873. [Google Scholar] [CrossRef]
- Sridang, P.; Wongsawan, C.; Santisukkasaem, U.; Phantaweesub, N. Performance of up-flow anaerobic sludge blanket-membrane bioreactor (UASB-MBR) for treating rice vermicelli and flour wastewater. Desalination Water Treat. 2024, 320, 100705. [Google Scholar] [CrossRef]
- Zhang, S.; Li, J.; Li, J.; Du, N.; Li, D.; Li, F.; Man, J. Application status and technical analysis of chitosan-based medical dressings: A review. RSC Adv. 2020, 10, 34308–34322. [Google Scholar] [CrossRef] [PubMed]
- Zhao, M.; Huang, Z.; Wang, S.; Zhang, L. Ultrahigh efficient and selective adsorption of Au (III) from water by novel Chitosan-coated MoS2 biosorbents: Performance and mechanisms. Chem. Eng. J. 2020, 401, 126006. [Google Scholar] [CrossRef]
- Liu, X.Q.; Zhao, X.X.; Liu, Y.; Zhang, T.A. Review on preparation and adsorption properties of chitosan and chitosan composites. Polym. Bull. 2022, 79, 2633–2665. [Google Scholar] [CrossRef]
- Hu, T.L. Treatment of vermicelli wastewater by an acid-tolerant, starch-degrading yeast. Biol. Wastes 1989, 28, 163–174. [Google Scholar] [CrossRef]
- Sheng, Y.; Zhang, H.; Song, X.; Wang, Z.; Wang, X.; Li, Y. Comparative study on foaming and foam stability of multiple mixed systems of fluorocarbon, hydrocarbon, and amino acid surfactants. J. Surfactants Deterg. 2023, 26, 683–691. [Google Scholar] [CrossRef]
- Sá, A.G.; Pacheco, M.T.; Moreno, Y.M.; Carciofi, B.A. Cold-pressed sesame seed meal as a protein source: Effect of processing on the protein digestibility, amino acid profile, and functional properties. J. Food Compos. Anal. 2022, 111, 104634. [Google Scholar] [CrossRef]

















| Variable | CODE | Horizontal Coding | ||
|---|---|---|---|---|
| −1 | 0 | 1 | ||
| Dosage g/L | A | 0.75 | 1 | 1.25 |
| Reaction time/h | B | 30 | 40 | 50 |
| Reaction temperature/°C | C | 30 | 40 | 50 |
| pH | D | 4 | 5 | 6 |
| Experimental Factors | A. Dosage (g/L) | B. Reaction Time (min) | C. Reaction Temperature (°C) | D. pH | Recovery% |
|---|---|---|---|---|---|
| 1 | −1 | −1 | 0 | 0 | 51.63 |
| 2 | 1 | −1 | 0 | 0 | 54.25 |
| 3 | −1 | 1 | 0 | 0 | 49.62 |
| 4 | 1 | 1 | 0 | 0 | 53.53 |
| 5 | 0 | 0 | −1 | −1 | 47.73 |
| 6 | 0 | 0 | 1 | −1 | 50.61 |
| 7 | 0 | 0 | −1 | 1 | 54.19 |
| 8 | 0 | 0 | 1 | 1 | 53.9 |
| 9 | −1 | 0 | 0 | −1 | 46.41 |
| 10 | 1 | 0 | 0 | −1 | 51.46 |
| 11 | −1 | 0 | 0 | 1 | 51.98 |
| 12 | 1 | 0 | 0 | 1 | 53.7 |
| 13 | 0 | −1 | −1 | 0 | 53.24 |
| 14 | 0 | 1 | −1 | 0 | 53.04 |
| 15 | 0 | −1 | 1 | 0 | 53.41 |
| 16 | 0 | 1 | 1 | 0 | 52.45 |
| 17 | −1 | 0 | −1 | 0 | 50.98 |
| 18 | 1 | 0 | −1 | 0 | 52.6 |
| 19 | −1 | 0 | 1 | 0 | 50.17 |
| 20 | 1 | 0 | 1 | 0 | 55.43 |
| 21 | 0 | −1 | 0 | −1 | 48.71 |
| 22 | 0 | 1 | 0 | −1 | 49.79 |
| 23 | 0 | −1 | 0 | 1 | 54.43 |
| 24 | 0 | 1 | 0 | 1 | 53.22 |
| 25 | 0 | 0 | 0 | 0 | 55.94 |
| 26 | 0 | 0 | 0 | 0 | 56.96 |
| 27 | 0 | 0 | 0 | 0 | 55.73 |
| 28 | 0 | 0 | 0 | 0 | 56.74 |
| 29 | 0 | 0 | 0 | 0 | 56.49 |
| Item | Sum of Squares | Degree of Freedom | Mean Square | F | p | Significance |
|---|---|---|---|---|---|---|
| model | 199.28 | 14 | 14.23 | 53.19 | <0.0001 | Significant |
| A | 33.94 | 1 | 33.94 | 126.8 | <0.0001 | ** |
| B | 1.35 | 1 | 1.35 | 5.03 | 0.0416 | * |
| C | 1.46 | 1 | 1.46 | 5.47 | 0.0347 | * |
| D | 59.45 | 1 | 59.45 | 222.14 | <0.0001 | ** |
| AB | 0.42 | 1 | 0.42 | 1.55 | 0.2329 | |
| AC | 3.31 | 1 | 3.31 | 12.38 | 0.0034 | * |
| AD | 2.77 | 1 | 2.77 | 10.36 | 0.0062 | * |
| BC | 0.14 | 1 | 0.14 | 0.5395 | 0.4747 | |
| BD | 1.31 | 1 | 1.31 | 4.9 | 0.044 | * |
| CD | 2.51 | 1 | 2.51 | 9.39 | 0.0084 | * |
| A2 | 37.45 | 1 | 37.45 | 139.91 | <0.0001 | ** |
| B2 | 18.92 | 1 | 18.92 | 70.68 | <0.0001 | ** |
| C2 | 17.74 | 1 | 17.74 | 66.3 | <0.0001 | ** |
| D2 | 62.59 | 1 | 62.59 | 233.88 | <0.0001 | ** |
| Residual | 3.75 | 14 | 0.2676 | |||
| Misspecification | 2.65 | 10 | 0.2653 | 0.9701 | 0.5623 | Insignificant |
| Absolute error | 1.09 | 4 | 0.2735 | |||
| Sum | 203.03 | 28 |
| Composition | Crude Protein | Crude Starch | Moisture | Ash Content | Total Content |
|---|---|---|---|---|---|
| Content (%) | 62.33 | 9.26 | 6.89 | 21.52 | 100 |
| Amino Acid | Content of Recovered Product (%) |
|---|---|
| Asp | 14.97 |
| Thr | 5.42 |
| Ser | 2.72 |
| Glu | 19.43 |
| Pro | 2.40 |
| Gly | 1.90 |
| Ala | 3.76 |
| Cys | 0.64 |
| Val | 2.93 |
| Met | 0.58 |
| Ile | 1.05 |
| Leu | 1.25 |
| Tyr | 1.02 |
| Phe | 3.44 |
| Lys | 2.65 |
| His | 2.40 |
| Arg | 15.91 |
| EAAs | 52.91 |
| NEAAs | 47.09 |
| Total amino acids | 100 |
Disclaimer/Publisher’s Note: The statements, opinions and data contained in all publications are solely those of the individual author(s) and contributor(s) and not of MDPI and/or the editor(s). MDPI and/or the editor(s) disclaim responsibility for any injury to people or property resulting from any ideas, methods, instructions or products referred to in the content. |
© 2025 by the authors. Licensee MDPI, Basel, Switzerland. This article is an open access article distributed under the terms and conditions of the Creative Commons Attribution (CC BY) license (https://creativecommons.org/licenses/by/4.0/).
Share and Cite
Liu, Z.; Li, G.; Zhang, X.; Li, W.; Yang, T.; Wang, Z.; Zuo, J.; Wang, Y. Study on the Flocculation Characteristics of Protein in Modified Chitosan Membrane and Mung Bean Vermicelli Wastewater. Coatings 2025, 15, 831. https://doi.org/10.3390/coatings15070831
Liu Z, Li G, Zhang X, Li W, Yang T, Wang Z, Zuo J, Wang Y. Study on the Flocculation Characteristics of Protein in Modified Chitosan Membrane and Mung Bean Vermicelli Wastewater. Coatings. 2025; 15(7):831. https://doi.org/10.3390/coatings15070831
Chicago/Turabian StyleLiu, Zhisheng, Guang Li, Xiaoyu Zhang, Wenjing Li, Tianyi Yang, Zhijie Wang, Jinlong Zuo, and Yuyang Wang. 2025. "Study on the Flocculation Characteristics of Protein in Modified Chitosan Membrane and Mung Bean Vermicelli Wastewater" Coatings 15, no. 7: 831. https://doi.org/10.3390/coatings15070831
APA StyleLiu, Z., Li, G., Zhang, X., Li, W., Yang, T., Wang, Z., Zuo, J., & Wang, Y. (2025). Study on the Flocculation Characteristics of Protein in Modified Chitosan Membrane and Mung Bean Vermicelli Wastewater. Coatings, 15(7), 831. https://doi.org/10.3390/coatings15070831

