Sign in to use this feature.

Years

Between: -

Subjects

remove_circle_outline
remove_circle_outline
remove_circle_outline
remove_circle_outline
remove_circle_outline
remove_circle_outline
remove_circle_outline
remove_circle_outline
remove_circle_outline

Journals

remove_circle_outline
remove_circle_outline
remove_circle_outline
remove_circle_outline
remove_circle_outline
remove_circle_outline
remove_circle_outline
remove_circle_outline
remove_circle_outline
remove_circle_outline

Article Types

Countries / Regions

remove_circle_outline
remove_circle_outline
remove_circle_outline
remove_circle_outline
remove_circle_outline

Search Results (724)

Search Parameters:
Keywords = bounded gain

Order results
Result details
Results per page
Select all
Export citation of selected articles as:
20 pages, 4141 KB  
Article
A Data-Driven Predictive Fuzzy Adaptive Control for Nonlinearly Parameterized Systems with Unknown Disturbance
by Hongyun Yue, Dongpeng Xue, Yi Zhao and Jiaqi Wang
Mathematics 2026, 14(8), 1271; https://doi.org/10.3390/math14081271 (registering DOI) - 11 Apr 2026
Abstract
Problem: Controlling nonlinearly parameterized systems with unknown disturbances remains challenging because classical adaptive approaches rely on separation-of-variables and reparameterization techniques, leading to increased parameter dimensions, conservative stability bounds, and implementation complexity. Objective: This paper develops a data-driven predictive fuzzy adaptive control (DD-PFAC) framework [...] Read more.
Problem: Controlling nonlinearly parameterized systems with unknown disturbances remains challenging because classical adaptive approaches rely on separation-of-variables and reparameterization techniques, leading to increased parameter dimensions, conservative stability bounds, and implementation complexity. Objective: This paper develops a data-driven predictive fuzzy adaptive control (DD-PFAC) framework that eliminates the need for separation techniques while achieving superior tracking performance and formally certified stability. Novelty: The key innovation is a two-layer architecture. Layer 1 provides direct fuzzy approximation of composite nonlinear functions (system dynamics plus disturbance bound) without parameter reparameterization, reducing parameter complexity from O(qn) to O(nN). Layer 2 employs Hankel matrix-based predictive optimization to adaptively tune both control gains ci(k) and adaptation rates γi(k) online using 80–150 recent input–output samples. Methodology: A Lyapunov function augmented with a prediction-error term is used to prove uniform ultimate boundedness of all closed-loop signals. A projection-based recursive least-squares algorithm updates the gain parameters online while guaranteeing ci(k)cmin>0 at all times. Results: Comparative simulations demonstrate 31.4% reduction in integral square error, 27.8% reduction in mean absolute error, and 37.4% reduction in steady-state error versus traditional adaptive fuzzy control. A four-group ablation study confirms that adaptive gain scheduling contributes 27.7% and predictive compensation contributes 6.5% to the total MAE improvement. Robustness tests validate consistent 28–32% performance advantage across sinusoidal, pulse, step, and large-disturbance scenarios. Full article
16 pages, 2027 KB  
Article
An Improved H Tracking Controller for Uncertain Systems Based on DDPG with Improved Exploration Strategy
by Yujie Chen
Algorithms 2026, 19(4), 291; https://doi.org/10.3390/a19040291 - 9 Apr 2026
Abstract
This paper proposes an integrated robust–learning control framework for uncertain systems with external disturbances. An H state-feedback controller is first synthesized to ensure closed-loop stability and a prescribed disturbance attenuation level under norm-bounded uncertainties. Building on this robust baseline, the Deep Deterministic [...] Read more.
This paper proposes an integrated robust–learning control framework for uncertain systems with external disturbances. An H state-feedback controller is first synthesized to ensure closed-loop stability and a prescribed disturbance attenuation level under norm-bounded uncertainties. Building on this robust baseline, the Deep Deterministic Policy Gradient (DDPG) is used to refine the H feedback gains online to improve tracking and transient performance while reducing the conservatism of fixed robust gains. To improve the exploration process in reinforcement learning, a tracking-error-guided mechanism is developed. It adaptively adjusts the exploration intensity by means of tracking error energy, promoting reasonable exploration under steady-state conditions while suppressing excessive exploration during large transients, thereby improving both learning efficiency and system transient performance. The simulation results verify the effectiveness of the proposed method. Full article
Show Figures

Figure 1

22 pages, 2334 KB  
Article
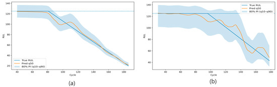
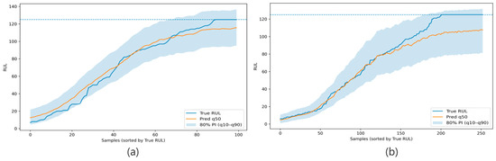
Turbofan Engine Remaining Useful Life Prediction with Reliable Prediction Intervals via LSTM-Based Quantile Regression and Conformal Calibration
by Runsheng Diao, Mingzhe Zhou, Guanglei Meng and Shanze Wang
Sensors 2026, 26(7), 2249; https://doi.org/10.3390/s26072249 - 5 Apr 2026
Viewed by 312
Abstract
To overcome the inability of point estimates to adequately characterize uncertainty and the unstable coverage of prediction intervals in turbofan engine remaining useful life (RUL) prediction, this study proposes an LSTM-based quantile regression framework (LSTM-QR). The framework generates a point prediction together with [...] Read more.
To overcome the inability of point estimates to adequately characterize uncertainty and the unstable coverage of prediction intervals in turbofan engine remaining useful life (RUL) prediction, this study proposes an LSTM-based quantile regression framework (LSTM-QR). The framework generates a point prediction together with upper and lower predictive bounds in a single forward pass, thereby directly constructing a prediction interval with a nominal coverage of 80%. During training, a weighted pinball loss and an overestimation penalty are introduced to improve the robustness of quantile estimation. During inference, Conformalized Quantile Regression (CQR) is further applied for post hoc interval calibration. Experiments on the NASA C-MAPSS dataset show that the proposed method maintains stable point-prediction performance while substantially improving interval reliability after calibration. Under the same operating condition, PICP increases from 0.590 ± 0.035 to 0.800 ± 0.026 for FD001 → FD001 and from 0.722 ± 0.050 to 0.793 ± 0.032 for FD002 → FD002, corresponding to gains of 21.0 and 7.1 percentage points, respectively, with calibrated RMSE values of 16.235 ± 1.297 and 18.323 ± 0.411. Under cross-condition transfer, where the raw intervals exhibit clear under-coverage, CQR further raises PICP from 0.696 ± 0.046 to 0.806 ± 0.032 for FD001 → FD002 and from 0.593 ± 0.071 to 0.803 ± 0.021 for FD002 → FD001, corresponding to gains of 11.0 and 21.0 percentage points, respectively, while preserving RMSE at 21.758 ± 1.208 and 17.562 ± 0.062. These results indicate that the proposed method provides more reliable and interpretable prediction intervals under varying operating conditions, thereby offering effective support for predictive maintenance decision-making. Full article
(This article belongs to the Section Industrial Sensors)
Show Figures

Figure 1

25 pages, 869 KB  
Article
Fostering Sustainable Learning via Embodied Intelligence: The E3-HOT Framework for Higher-Order Thinking in the AI Era
by Hanzi Zhu, Xin Jiang, Xiaolei Zhang, Huiying Xu, Deang Su, Zhendong Chen and Xinzhong Zhu
Sustainability 2026, 18(7), 3469; https://doi.org/10.3390/su18073469 - 2 Apr 2026
Viewed by 239
Abstract
Artificial intelligence (AI) can help students accelerate assignment completion, but it may also foster cognitive outsourcing and learning detached from authentic contexts. This paper presents E3-HOT, a conceptual framework that leverages embodied intelligence to sustain learners’ cognitive agency and higher-order thinking for sustainable [...] Read more.
Artificial intelligence (AI) can help students accelerate assignment completion, but it may also foster cognitive outsourcing and learning detached from authentic contexts. This paper presents E3-HOT, a conceptual framework that leverages embodied intelligence to sustain learners’ cognitive agency and higher-order thinking for sustainable learning, aligned with SDG 4 (Sustainable Development Goal 4) and its emphasis on inclusive and equitable quality education and lifelong learning. Using an iterative conceptual synthesis, we distill three embodied pathways—situational embedding, embodied participation, and cognitive creation—and translate them into a practical system design with a three-module E3 core. It includes a virtual–real integrated learning environment for rich scenarios, embodied interaction for action and sensing, and an intelligent core that provides bounded and teacher-controlled support. To facilitate equitable adoption across resource-diverse settings, we specify multi-fidelity enactment options and an auditable set of evidence artifacts for subsequent expert review and future validation studies. We further provide an illustrative university human–AI design project that outlines a week-by-week workflow and corresponding evidence plan, presented as a worked example rather than a report of an implemented study. E3-HOT offers a traceable design-and-evidence blueprint without claiming measured learning gains. Full article
(This article belongs to the Section Sustainable Education and Approaches)
Show Figures

Figure 1

31 pages, 1411 KB  
Review
Intelligent Optimization in Satellite Communication Protocols: Methods, Applications, and Practical Limits
by Georgi Tsochev
Electronics 2026, 15(7), 1473; https://doi.org/10.3390/electronics15071473 - 1 Apr 2026
Viewed by 377
Abstract
Satellite communication protocols are increasingly optimized in software-defined, multiorbital networks that combine broadband satellite systems, non-terrestrial 5G components, and inter-satellite transport. This review examines intelligent optimization across the physical, medium-access, network, and transport layers, with emphasis on what can be measured, what can [...] Read more.
Satellite communication protocols are increasingly optimized in software-defined, multiorbital networks that combine broadband satellite systems, non-terrestrial 5G components, and inter-satellite transport. This review examines intelligent optimization across the physical, medium-access, network, and transport layers, with emphasis on what can be measured, what can be controlled, and what can be safely deployed under standards and operational constraints. This paper first positions the literature across DVB/ETSI, 3GPP NTN, CCSDS/DTN, LEO routing, and recent AI and digital-twin research. It then links standards-defined control surfaces to layer-specific measurements, feedback delays, and safety constraints and compares optimization families using deployment-relevant criteria such as observability, runtime predictability, verification burden, and robustness. The review argues that the central challenge is not only a simulation-to-reality gap but an evidence gap between experimental gains and operational trust. To address this gap, this paper analyzes delayed observability, rare events, bounded onboard compute, action surface mismatch, certification, and security; formalizes a generic constrained optimization problem with delayed observations and standards-compliant actions; and proposes a digital-twin-assisted research methodology supported by a worked beam-hopping example. The main conclusion is that future progress is most likely to come from hybrid, standards-compliant, and twin-assisted optimization methods whose performance claims are tied to calibration, traceability, and explicit rollback logic. Full article
(This article belongs to the Special Issue Advances in Satellite/UAV Communications)
Show Figures

Figure 1

24 pages, 3302 KB  
Article
Lyapunov-Based Event-Triggered Fault-Tolerant Distributed Control for DC Microgrids with Communication Failures
by Ilhami Poyraz, Heybet Kilic and Mehmet Emin Asker
Mathematics 2026, 14(7), 1152; https://doi.org/10.3390/math14071152 - 30 Mar 2026
Viewed by 280
Abstract
Recently, distributed DC microgrids have gained prominence due to their modular design, scalability, and seamless integration with renewable energy sources. However, ensuring robust operation of distributed secondary control schemes remains challenging, particularly in the presence of unavoidable communication disruptions and parametric uncertainties encountered [...] Read more.
Recently, distributed DC microgrids have gained prominence due to their modular design, scalability, and seamless integration with renewable energy sources. However, ensuring robust operation of distributed secondary control schemes remains challenging, particularly in the presence of unavoidable communication disruptions and parametric uncertainties encountered in practice. Most existing control strategies either assume ideal communication networks or address fault tolerance and communication constraints separately, which limits their applicability in realistic networked environments. This paper proposes an event-triggered fault-tolerant distributed secondary control framework for DC microgrids operating under communication faults. An embedded averaged model is incorporated to support fault-tolerant decision-making and to guide event-triggered communication updates. In addition, an auxiliary recovery mechanism is introduced, enabling neighboring converters to cooperatively compensate for information loss during communication interruptions without centralized supervision. Lyapunov-based stability analysis establishes boundedness and practical convergence of the closed-loop system under event-triggered updates and bounded disturbances while explicitly excluding Zeno behavior. The simulation results under communication fault scenarios demonstrate that the proposed approach achieves accurate DC bus voltage regulation with steady-state deviations below 1% while restoring proportional power sharing with an averaged error within 5%. The embedded model error remains bounded throughout the fault interval, and fault-tolerant control actions are triggered sparsely with well-separated inter-event times on the order of tens of milliseconds, thereby significantly reducing the communication burden. These results confirm the effectiveness and robustness of the proposed framework for the resilient operation of distributed DC microgrids under practical communication constraints. Full article
(This article belongs to the Special Issue Dynamic Modeling and Simulation for Control Systems, 3rd Edition)
Show Figures

Figure 1

46 pages, 2125 KB  
Review
Big Data and Graph Deep Learning for Financial Decision Support from Social Networks: A Critical Review
by Leonidas Theodorakopoulos and Alexandra Theodoropoulou
Electronics 2026, 15(7), 1405; https://doi.org/10.3390/electronics15071405 - 27 Mar 2026
Viewed by 572
Abstract
Social network content is increasingly used as an auxiliary evidence stream for financial monitoring, risk assessment, and short-horizon decision support, yet many reported gains are hard to interpret because observability, timing, and attribution are handled inconsistently across studies. This review critically synthesizes the [...] Read more.
Social network content is increasingly used as an auxiliary evidence stream for financial monitoring, risk assessment, and short-horizon decision support, yet many reported gains are hard to interpret because observability, timing, and attribution are handled inconsistently across studies. This review critically synthesizes the end-to-end pipeline that transforms social posts, interaction traces, linked artifacts, and related signals into decision-facing indicators, emphasizing evidence provenance, sampling bias, conditioning (bot/spam filtering, entity linking, timestamp alignment), and the modeling blocks typically used (text, temporal, relational, and fusion components) under deployment constraints. Across sentiment, relational, and multimodal or cross-platform signals, the analysis finds that apparent improvements often depend more on alignment discipline and conservative attribution than on architectural novelty, and that performance can be inflated by attention confounds, temporal leakage, and visibility effects. Relational indicators are most defensible for monitoring coordination and propagation patterns, while multimodal gains require clear ablations and realistic missing-modality tests. To support decision readiness, the paper consolidates assurance requirements covering manipulation, degraded observability, calibration and traceability, and provides compact reporting checklists and failure-mode mitigations. Overall, the review supports bounded claims and argues for time-aware evaluation and auditable pipelines as prerequisites for operational use. Full article
(This article belongs to the Special Issue Deep Learning and Data Analytics Applications in Social Networks)
Show Figures

Figure 1

36 pages, 2965 KB  
Article
Fourier-Encoded Plücker Line Fields for Globally Bounded Inverse Velocity Mapping of Axisymmetric Parallel Mechanisms
by Yinghao Yuan and Jiang Liu
Machines 2026, 14(4), 370; https://doi.org/10.3390/machines14040370 - 27 Mar 2026
Viewed by 226
Abstract
To address inverse-velocity amplification and numerical instability of axisymmetric parallel mechanisms near dead-point regions, this paper proposes a low-dimensional feature representation and stable inverse-solving framework based on Fourier-encoded Plücker line fields. The limb axes are first represented by normalized Plücker line vectors, and [...] Read more.
To address inverse-velocity amplification and numerical instability of axisymmetric parallel mechanisms near dead-point regions, this paper proposes a low-dimensional feature representation and stable inverse-solving framework based on Fourier-encoded Plücker line fields. The limb axes are first represented by normalized Plücker line vectors, and the discrete rod-axis set is lifted to a circumferential continuous line field. A compact feature vector composed of first-order Fourier coefficients is then constructed, from which the continuous feature coefficients and the corresponding feature Jacobian are derived in closed form. Under constant-length constraints, feasible sensitivity and worst-case gain are introduced to characterize local inverse amplification, and a weighted damped KKT inverse solver is formulated to obtain globally bounded inverse solutions for feature velocities. Numerical results show that, in the ideal axisymmetric model, higher-order harmonics remain at numerical-residual levels and the first-order truncation stays dominant, while the most unfavorable amplification location is governed by the trough of feasible sensitivity. For fully reachable targets, the proposed solver reduces the peak generalized velocity by about 4.32%. For targets containing unreachable components, the damped KKT inverse introduces only a small additional residual while keeping the velocity bounded. Additional tests under mild geometric perturbations show that non-ideal errors mainly affect low-order fitting accuracy and higher-order spectral leakage, whereas the peak worst-case gain and the peak-shaving ratio remain largely stable. These results demonstrate that the proposed framework provides a unified description for inverse velocity mapping of axisymmetric parallel mechanisms with analytical interpretability, global boundedness, and robustness under mild geometric imperfections. Full article
(This article belongs to the Special Issue Mechanical Design of Parallel Manipulators)
Show Figures

Figure 1

24 pages, 5620 KB  
Article
AviaTAD-LGH: A Multi-Task Spatio-Temporal Action Detector with Lightweight Gradient Harmonization for Real-Time Avian Behavior Monitoring
by Zihui Xie, Haifang Jian, Wenhui Yang, Mengdi Fu, Wanting Peng, Markus Peter Eichhorn, Ramiro Daniel Crego, Xin Ning, Jun Du and Hongchang Wang
Sensors 2026, 26(7), 2088; https://doi.org/10.3390/s26072088 - 27 Mar 2026
Viewed by 452
Abstract
Fine-grained spatio-temporal action detection in continuous, unconstrained field videos remains a formidable challenge due to severe background clutter, high inter-class similarity, and the scarcity of domain-specific benchmarks. To address these limitations, we first introduce a large-scale Wintering-Crane Benchmark, providing dense, individual-level bounding box [...] Read more.
Fine-grained spatio-temporal action detection in continuous, unconstrained field videos remains a formidable challenge due to severe background clutter, high inter-class similarity, and the scarcity of domain-specific benchmarks. To address these limitations, we first introduce a large-scale Wintering-Crane Benchmark, providing dense, individual-level bounding box annotations for six complex behaviors across diverse habitat scenes. Leveraging this data, we propose AviaTAD-LGH, a real-time multi-task framework that incorporates auxiliary motion supervision into a dual-pathway 3D backbone to enhance feature discriminability. A critical bottleneck in such multi-task settings is the negative transfer caused by conflicting optimization objectives. To resolve this, we present Lightweight Gradient Harmonization (LGH), a plug-and-play optimization strategy that dynamically modulates task weights based on the cosine similarity of gradient directions. This mechanism effectively aligns optimization trajectories without introducing inference latency. Extensive experiments demonstrate that AviaTAD-LGH achieves a state-of-the-art mAP of 68.60%, surpassing strong public baselines by 7.44% and improving upon the single-task baseline by 2.80%, with significant gains observed on ambiguous dynamic classes. The proposed pipeline enables efficient, scalable ecological monitoring suitable for edge deployment. Full article
(This article belongs to the Special Issue Advanced Sensing Systems for Biological Monitoring)
Show Figures

Figure 1

21 pages, 1371 KB  
Article
H Control for Walking Robots Robust to the Bounded Uncertainties in the State and the Model
by Ahmad Aldaher and Sergei Savin
Robotics 2026, 15(4), 67; https://doi.org/10.3390/robotics15040067 - 25 Mar 2026
Viewed by 345
Abstract
In recent years, we have seen a constant increase in the capabilities of walking robots, leading to early cases of their practical use, and a much broader application is expected in the near future. However, creating a robust control design (in the presence [...] Read more.
In recent years, we have seen a constant increase in the capabilities of walking robots, leading to early cases of their practical use, and a much broader application is expected in the near future. However, creating a robust control design (in the presence of disturbances and model uncertainties) for walking robots still remains a challenge. One challenging source of uncertainty is the combination of the contact constraints and the lack of full state information, which can potentially lead to an offset (a steady-state error) in the robot’s position, interfering with tasks requiring high accuracy and deteriorating the overall performance of the robot. This is further exacerbated by the presence of multiplicative model uncertainties, common to mobile robots. In this work, we introduce an H control formulation designed to attenuate this type of disturbance. The proposed method can handle norm-bounded multiplicative uncertainties in the state, control, and disturbance matrices using a full-state static feedback control. The resulting control design procedure is a single semidefinite program which provides a large computational advantage over the alternative dynamic feedback controller methods. We demonstrate the effectiveness of the method in comparison with the alternative formulations in simulation. We demonstrate that the method can be effectively tuned using a regularization term in the cost function. We show that the upper bounds on the H gain of the closed-loop system can be effectively tightened post control design. Full article
(This article belongs to the Section Sensors and Control in Robotics)
Show Figures

Figure 1

27 pages, 10703 KB  
Article
WE-KAN: SAR Image Rotated Object Detection Method Based on Wavelet Domain Feature Enhancement and KAN Prediction Head
by Mingchun Li, Yang Liu, Qiang Wang and Dali Chen
Sensors 2026, 26(7), 2011; https://doi.org/10.3390/s26072011 - 24 Mar 2026
Viewed by 222
Abstract
Synthetic aperture radar (SAR) imagery plays a vital role in critical applications such as military reconnaissance and disaster monitoring. These applications require high detection accuracy. Therefore, rotated object detection has gained increasing attention. By predicting an object orientation angle, it offers advantages over [...] Read more.
Synthetic aperture radar (SAR) imagery plays a vital role in critical applications such as military reconnaissance and disaster monitoring. These applications require high detection accuracy. Therefore, rotated object detection has gained increasing attention. By predicting an object orientation angle, it offers advantages over horizontal bounding boxes, especially for elongated structures such as ships and bridges in SAR scenes. However, challenges such as speckle noise and complex backgrounds in SAR imagery still hinder high-precision detection. To address this, we propose WE-KAN, a novel rotated object detection framework based on wavelet features and Kolmogorov–Arnold network (KAN) prediction. First, we enhance the backbone by incorporating wavelet domain features from SAR grayscale images. The extracted wavelet domain features and image features are fused by a proposed attention module. Second, considering the sensitivity to angle prediction, we design a angle predictor based on KAN. This architecture provides a powerful and dedicated solution for accurate angle regression. Finally, for precise rotated bounding box regression, we employ a joint loss function combining a rotated intersection over union (RIoU) with a Gaussian distance loss function. These designs improve the model’s robustness to noise and its perception of fine object structures. When evaluated on the large-scale public RSAR dataset, our method achieves an AP50 of 70.1 and a mAP of 35.9 under the same training schedule and backbone network, significantly outperforming existing baselines. This demonstrates the effectiveness and robustness of our method for dense, small, and highly oriented objects in complex SAR scenes. Full article
(This article belongs to the Section Sensing and Imaging)
Show Figures

Figure 1

20 pages, 6053 KB  
Article
A Gain-Modulated Max Pressure Control for Port Collection and Distribution Road Networks
by Yifei Mao, Tunan Xu, Nuojia Pan, Weijie Chen, Hang Yang, Manel Grifoll, Markos Papageorgiou and Pengjun Zheng
Systems 2026, 14(3), 332; https://doi.org/10.3390/systems14030332 - 23 Mar 2026
Viewed by 274
Abstract
Freight-dominant port collection and distribution road networks exhibit strong spatial congestion, early spillback, and heterogeneous vehicle dynamics that challenge conventional traffic signal control strategies. Although Max-Pressure (MP) signal control provides strong decentralized stability properties, its classical queue-based formulation lacks sensitivity to incipient spatial [...] Read more.
Freight-dominant port collection and distribution road networks exhibit strong spatial congestion, early spillback, and heterogeneous vehicle dynamics that challenge conventional traffic signal control strategies. Although Max-Pressure (MP) signal control provides strong decentralized stability properties, its classical queue-based formulation lacks sensitivity to incipient spatial congestion and performs poorly when heavy-duty vehicles (HDVs) dominate traffic composition. This paper proposes a gain-modulated Max-Pressure (Gain-MP) control framework, in which conventional pressure computation is augmented by an occupancy-dependent feedback gain that dynamically adjusts phase priorities according to real-time spatial congestion states and current right-of-way conditions. Without altering the decentralized structure of MP, the proposed method introduces a nonlinear feedback mechanism that enhances system responsiveness to congestion formation while suppressing excessive phase switching. The approach is evaluated using microscopic simulation on a signalized grid network representing port access corridors under time-varying demand and high HDV penetration. Results demonstrate that the dynamic Gain-MP controller performs better than classical queue-based MP, PCU-weighted MP, and fixed-time control. Moreover, constant-demand experiments indicate that the dynamic Gain-MP controller maintains bounded vehicle accumulation over a wider empirical demand range than the benchmark MP-based methods under the tested settings. Full article
Show Figures

Figure 1

23 pages, 4704 KB  
Article
Crude Extract and Phenol-Rich Fractions from Vernonia amygdalina Leaves Ameliorates Streptozotocin-Induced Type 1 Diabetes in Rats by Mitigating Hepatic Injury, Dyslipidemia, and Production of Oxido-Inflammatory Markers
by Olawale Razaq Ajuwon, Damilola Rebecca Oladejo, Akinwunmi Oluwaseun Adeoye, John Adeolu Falode, Basiru Olaitan Ajiboye, Foluso Oluwagbemiga Osunsanmi and Babatunji Emmanuel Oyinloye
J. Xenobiot. 2026, 16(2), 53; https://doi.org/10.3390/jox16020053 - 20 Mar 2026
Viewed by 372
Abstract
Diabetes mellitus (DM) is a major disorder contributing to human mortality and morbidity globally. The use of medicinal plants in the management of diabetes is gaining global popularity due to their accessibility and cost-effectiveness. In this study, we evaluated the ameliorative potential of [...] Read more.
Diabetes mellitus (DM) is a major disorder contributing to human mortality and morbidity globally. The use of medicinal plants in the management of diabetes is gaining global popularity due to their accessibility and cost-effectiveness. In this study, we evaluated the ameliorative potential of Vernonia amygdalina leaves crude extract (CE), free phenol (FP), and bound phenol (BP) fractions (50 mg/kg body weight) in a rat model of streptozotocin (STZ)-induced type 1 diabetes (T1DM). The effects of these treatments for 28 days on glucose, insulin, glycated hemoglobin, hepatic injury indices, and lipid profile were assessed in the serum. Furthermore, redox biomarkers (liver) and inflammatory mediators (serum and liver) were analyzed. Our results indicated that CE, FP, and BP fractions of Vernonia amygdalina inhibited the deleterious effects of T1DM by attenuating hyperglycaemia, insulin deficiency, hepatic injury, and dyslipidemia. Also, CE, FP, and BP fractions differentially improved antioxidant enzymes activity and reduced oxidative and inflammatory markers production. Specifically, CE showed superior effects compared with FP, BP, and metformin across multiple biomarkers, including glycated hemoglobin, α-amylase, α-glucosidase, hepatic glycogen, total cholesterol, LDL-cholesterol, protein carbonyl, SOD, IL-1β, and IL-10. The antidiabetic effects produced by CE, FP, and BP fractions of Vernonia amygdalina may be ascribed to the presence of different bioactive phytochemicals as revealed by HPLC analysis. Overall, our data would suggest a potential therapeutic role for Vernonia amygdalina leaves extracts in addressing hepatic complications due to T1DM. Full article
Show Figures

Graphical abstract

21 pages, 739 KB  
Article
Feedback Control Design for Time-Delay Systems Based on the Manabe Polynomial Concept Under Unmodeled Input Delay
by Stefan Brock
AppliedMath 2026, 6(3), 51; https://doi.org/10.3390/appliedmath6030051 - 19 Mar 2026
Viewed by 275
Abstract
Time delays are inherent in modern motion-control and electric-drive loops due to sensing, filtering, sampling and computation, communication, and actuation scheduling. When such delays are only partially known, they can markedly reduce stability margins and narrow the admissible range of state-feedback gains, especially [...] Read more.
Time delays are inherent in modern motion-control and electric-drive loops due to sensing, filtering, sampling and computation, communication, and actuation scheduling. When such delays are only partially known, they can markedly reduce stability margins and narrow the admissible range of state-feedback gains, especially in high-bandwidth servo applications. This paper develops a design-oriented state-feedback framework for delay-affected plants based on the Manabe polynomial concept and the Coefficient Diagram Method (CDM). The plant is represented as a chain of integrators of order two to four with an effective input gain, and the feedback gain is synthesized for the nominal delay-free model by matching a standard Manabe/CDM characteristic polynomial using the classical CDM stability-index pattern. When an unmodeled input delay is present, the closed loop is governed by a delay-dependent characteristic equation. By introducing a normalized representation, the analysis yields explicit delay-stability limits that directly translate into a lower bound on the equivalent time constant used for tuning. The degradation of the phase margin and gain margin with increasing normalized delay is quantified as design charts, and a simple phase-margin-based inequality is proposed for selecting the tuning time constant, with gain-margin checks recommended as a verification step. Full article
Show Figures

Figure 1

25 pages, 2146 KB  
Article
Machine Learning-Based Predictive Modelling of Key Operating Parameters in an Industrial-Scale Wet Vertical Stirred Media Mill
by Okay Altun, Aydın Kaya, Ali Seydi Keçeli, Ece Uzun, Meltem Güler and Nurettin Alper Toprak
Minerals 2026, 16(3), 311; https://doi.org/10.3390/min16030311 - 16 Mar 2026
Viewed by 503
Abstract
To the authors’ knowledge, this is the first industrial machine learning (ML) study focused on wet vertical stirred media milling. The study develops and validates machine learning (ML) models to predict the key operating parameters, namely mill discharge product size, mill feed slurry [...] Read more.
To the authors’ knowledge, this is the first industrial machine learning (ML) study focused on wet vertical stirred media milling. The study develops and validates machine learning (ML) models to predict the key operating parameters, namely mill discharge product size, mill feed slurry flow rate, mill power draw, and the specific energy consumption of an industrial wet vertical stirred media mill operating at a copper plant. A physics-guided workflow was adapted, combining relief coefficient-based variable screening with fundamental stirred milling principles to define 20 different structured model input scenarios. In the scope, six regression approaches, linear regression (LR), fine tree regression (FTR), support vector regression (SVR), random forest regression (RFR), artificial neural network regression (ANN), and Gaussian process regression (GPR), were trained and validated using plant sensor data and evaluated using R2 and RMSE. Overall performance was reasonable, with GPR providing the highest predictive accuracy, followed by RFR/ANN, while LR, SVR, and FTR performed lower. The potential benefit of feed size was also assessed conceptually through an upper-bound sensitivity analysis, representing a best-case scenario where an online feed size measurement would be available. Because the feed size descriptor (F80) was not independently measured but derived from an energy–size relationship, the associated accuracy gains are reported as theoretical upper-bound indications rather than independent predictive capability. Overall, the findings support ML-based decision support in stirred milling operations and motivate future work using independently measured feed size (or reliable proxy sensing). Full article
(This article belongs to the Collection Advances in Comminution: From Crushing to Grinding Optimization)
Show Figures

Figure 1

Back to TopTop