Sign in to use this feature.

Years

Between: -

Subjects

remove_circle_outline
remove_circle_outline
remove_circle_outline
remove_circle_outline
remove_circle_outline
remove_circle_outline

Journals

Article Types

Countries / Regions

Search Results (41)

Search Parameters:
Keywords = bohm potential

Order results
Result details
Results per page
Select all
Export citation of selected articles as:
13 pages, 1844 KB  
Article
The Properties of Plasma Sheath Containing the Primary Electrons with a Cairns Distribution
by Yida Zhang and Jiulin Du
Entropy 2026, 28(2), 237; https://doi.org/10.3390/e28020237 - 18 Feb 2026
Viewed by 314
Abstract
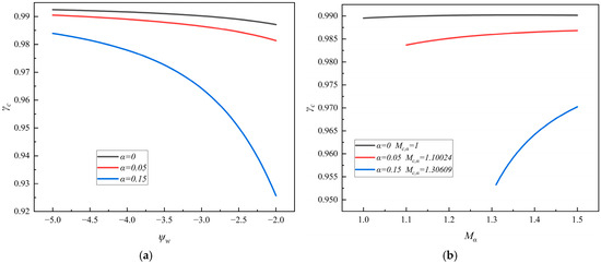
We study the properties of a plasma sheath containing cold positive ions, secondary electrons, and primary electrons with a Cairns distribution (a non-thermal velocity distribution). We derive the generalized Bohm criterion and Bohm speed, the new floating potential at the wall, and the [...] Read more.
We study the properties of a plasma sheath containing cold positive ions, secondary electrons, and primary electrons with a Cairns distribution (a non-thermal velocity distribution). We derive the generalized Bohm criterion and Bohm speed, the new floating potential at the wall, and the new critical secondary electron emission coefficient. We show that these properties of the plasma sheath depend significantly on the α-parameter in the non-thermal α-distribution, and so they are generally different from those of the plasma sheath if the primary electrons were assumed to be a Maxwellian distribution. Full article
(This article belongs to the Special Issue Nonextensive Statistical Mechanics in Astrophysics)
Show Figures

Figure 1

7 pages, 862 KB  
Article
Sheath Formation in a Plasma with Regularized Kappa Distribution
by Rui Huo
Entropy 2026, 28(2), 142; https://doi.org/10.3390/e28020142 - 27 Jan 2026
Viewed by 280
Abstract
Debye shielding in an electron–ion plasma with regularized kappa distribution is examined. An unmagnetized collisionless plasma sheath with regularized kappa distributed electrons is investigated and the modified Bohm criterion is derived. It is found that the variation of the electrostatic potential depends significantly [...] Read more.
Debye shielding in an electron–ion plasma with regularized kappa distribution is examined. An unmagnetized collisionless plasma sheath with regularized kappa distributed electrons is investigated and the modified Bohm criterion is derived. It is found that the variation of the electrostatic potential depends significantly on the superthermal index κ and cutoff parameter α. If κ < 3/2, a plasma sheath with a regularized kappa distribution exists. Our present work may be useful in understanding plasma processing and plasma sheaths in related plasma regions (i.e., Earth’s inner magnetosphere). Full article
(This article belongs to the Special Issue Nonextensive Statistical Mechanics in Astrophysics)
Show Figures

Figure 1

21 pages, 1435 KB  
Article
Electromagnetically Induced Transparency in a GaAs Coupled Quantum Dot-Ring
by R. V. H. Hahn, A. S. Giraldo-Neira, J. A. Vinasco, J. A. Gil-Corrales, A. L. Morales and C. A. Duque
Nanomaterials 2025, 15(18), 1455; https://doi.org/10.3390/nano15181455 - 22 Sep 2025
Cited by 1 | Viewed by 1123
Abstract
In this work, the ground and low-lying excited states in a GaAs coupled quantum dot-ring embedded in an AlGaAs cylindrical matrix are computed under the assumption of a finite confinement potential and an axisymmetric model by means of the finite element method and [...] Read more.
In this work, the ground and low-lying excited states in a GaAs coupled quantum dot-ring embedded in an AlGaAs cylindrical matrix are computed under the assumption of a finite confinement potential and an axisymmetric model by means of the finite element method and the effective mass approximation. The electron energy levels are studied as functions of the intensity of externally applied electric and magnetic fields. Electromagnetically induced transparency in the ladder configuration and linear optical absorption coefficient are calculated thereupon. Our results suggest that magnetic fields are more suitable than electric fields for controlling the optical properties of this nanostructure. Also, we found that the system’s response, however, exhibits a striking asymmetry: while the electromagnetically induced transparency is unexpectedly quenched under positive electric fields due to vanishing dipole transition matrix elements, this limitation is completely overcome by a magnetic field. Its application not only restores optical transparency across the full range of electric field values but also drives substantially larger energy level shifts and clear Aharonov–Bohm oscillations, making it a far more robust tool for controlling the optical properties of confined electrons in dot-ring coupled heterostructures. Full article
(This article belongs to the Section Nanoelectronics, Nanosensors and Devices)
Show Figures

Figure 1

13 pages, 302 KB  
Article
Unveiling the Role of Vector Potential in the Aharonov–Bohm Effect
by Masashi Wakamatsu
Symmetry 2025, 17(6), 935; https://doi.org/10.3390/sym17060935 - 12 Jun 2025
Viewed by 2101
Abstract
The most popular interpretation of the Aharonov–Bohm (AB) effect is that the electromagnetic potential locally affects the complex phase of a charged particle’s wave function in the magnetic field free region. However, since the vector potential is a gauge-variant quantity, multiple researchers suspect [...] Read more.
The most popular interpretation of the Aharonov–Bohm (AB) effect is that the electromagnetic potential locally affects the complex phase of a charged particle’s wave function in the magnetic field free region. However, since the vector potential is a gauge-variant quantity, multiple researchers suspect that it is just a convenient tool for calculating the force field. This motivates them to explain the AB effect without using the vector potential, which inevitably leads to some sort of non-locality. This frustrating situation is shortly summarized by the statement by Aharonov et al. that the AB effect may be due to a local gauge potential or due to non-local gauge-invariant fields. In the present paper, we shall give several convincing arguments which support the viewpoint that the vector potential is not just a convenient mathematical tool with little physical entity. Despite its gauge arbitrariness, the vector potential certainly contains a gauge-invariant piece, which solely explains the observed AB phase shift. Importantly, this component has a property such that it is basically unique and cannot be eliminated by any regular gauge transformations. To complete the discussion, we also discuss the role of remaining gauge arbitrariness still contained in the entire vector potential. Full article
(This article belongs to the Special Issue Feature Papers in 'Physics' Section 2025)
Show Figures

Figure 1

16 pages, 3441 KB  
Article
Magneto-Absorption Spectra of Laser-Dressed Coupled Quantum Dot–Double Quantum Ring
by Doina Bejan, Cristina Stan and Alina Petrescu-Niță
Nanomaterials 2025, 15(11), 869; https://doi.org/10.3390/nano15110869 - 5 Jun 2025
Cited by 1 | Viewed by 886
Abstract
We investigate 3D quantum dot–double quantum ring structures of GaAs/Al0.3Ga0.7As submitted to the combined action of a non-resonant intense laser and an axial magnetic field. We study three representative geometries with the dot height larger, comparable or lower than [...] Read more.
We investigate 3D quantum dot–double quantum ring structures of GaAs/Al0.3Ga0.7As submitted to the combined action of a non-resonant intense laser and an axial magnetic field. We study three representative geometries with the dot height larger, comparable or lower than the ring height. The intense laser field can change the confinement potential of the dot–double ring into dot–triple-ring or –multiple-ring potentials. Also, depending on the dot height, it increases/decreases the absorption of the structure. Under magnetic field, the energy spectra display Aharonov–Bohm oscillations characteristic of a single effective ring covering almost both rings, with a period controlled by the dot height. For large and medium dot height, the magnetic field lowers the absorption and leads to splitting and/or the apparition of two peaks, one that goes to red and the other to blue. In the presence of both fields, the spectra show different characteristics. The dot height and the external fields are thus proved to be efficient tools in controlling the absorption spectra, a useful feature in designing dot–double ring-based devices. Full article
(This article belongs to the Special Issue Linear and Nonlinear Optical Properties of Nanomaterials)
Show Figures

Figure 1

29 pages, 6769 KB  
Review
Remarks on the Study of the Electronic Properties and Photoionization Process in Rotating 2D Quantum Rings
by Carlos Magno O. Pereira, Frankbelson dos S. Azevedo and Edilberto O. Silva
Quantum Rep. 2024, 6(4), 677-705; https://doi.org/10.3390/quantum6040041 - 30 Nov 2024
Cited by 10 | Viewed by 2365
Abstract
The electronic and optical properties of a mesoscopic heterostructure of a two-dimensional quantum ring composed of Gallium Arsenide (GaAs) semiconductors are investigated. Using the confinement potential proposed by Tan and Inkson to describe the system under analysis, we conducted a numerical study of [...] Read more.
The electronic and optical properties of a mesoscopic heterostructure of a two-dimensional quantum ring composed of Gallium Arsenide (GaAs) semiconductors are investigated. Using the confinement potential proposed by Tan and Inkson to describe the system under analysis, we conducted a numerical study of the photoionization cross-section for a 2D quantum ring with and without rotation effects. The interior of the quantum ring is traversed by an Aharonov–Bohm (AB) flux. Our research aims to investigate how this mesoscopic structure’s electronic and optical properties respond to variations in the following parameters: average radius, AB flux, angular velocity, and incident photon energy. Under these conditions, we establish that optical transitions occur from the ground state to the next excited state in the conduction subband, following a specific selection rule. One of the fundamental objectives of this study is to analyze how these rules can influence the general properties of two-dimensional quantum rings. To clarify the influence of rotation on the photoionization process within the system, we offer findings that illuminate the effects of the pertinent physical parameters within the described model. We emphasize that, although this is a review, it provides critical commentary, analysis, and new perspectives on existing research. Some results presented in this paper can be compared with those in the literature; however, new physical parameters and quantum ring configurations are used. Full article
Show Figures

Figure 1

11 pages, 293 KB  
Article
A Kuramoto Model for the Bound State Aharonov–Bohm Effect
by Alviu Rey Nasir, José Luís Da Silva, Jingle Magallanes, Herry Pribawanto Suryawan and Roshin Marielle Nasir-Britos
Axioms 2024, 13(12), 828; https://doi.org/10.3390/axioms13120828 - 27 Nov 2024
Viewed by 1533
Abstract
The Aharonov–Bohm effect can be described as a phase difference in interfering charged particles that travel through two distinct pathways oppositely surrounding a perpendicularly-positioned solenoid. The magnetic field emanates from the solenoid but does not intersect the pathways. On the other hand, the [...] Read more.
The Aharonov–Bohm effect can be described as a phase difference in interfering charged particles that travel through two distinct pathways oppositely surrounding a perpendicularly-positioned solenoid. The magnetic field emanates from the solenoid but does not intersect the pathways. On the other hand, the Kuramoto model can be used to identify the synchronization conditions that lead to a particular phase difference by treating the phases as coupled oscillators. Starting with the overall wave function expression for the electron in an Aharonov–Bohm potential, we derive a version of the Kuramoto model describing the phase dynamics of the bound state of the quantum mechanical system. We show that the resulting synchronization condition of the model coincides with the allowable values of the flux parameter for our case to achieve an Aharonov–Bohm effect. Full article
(This article belongs to the Special Issue Recent Advances in Quantum Mechanics and Mathematical Physics)
Show Figures

Figure 1

35 pages, 4084 KB  
Article
Electrostatically Interacting Wannier Qubits in Curved Space
by Krzysztof Pomorski
Materials 2024, 17(19), 4846; https://doi.org/10.3390/ma17194846 - 30 Sep 2024
Cited by 6 | Viewed by 2052
Abstract
A derivation of a tight-binding model from Schrödinger formalism for various topologies of position-based semiconductor qubits is presented in the case of static and time-dependent electric fields. The simplistic tight-binding model enables the description of single-electron devices at a large integration scale. The [...] Read more.
A derivation of a tight-binding model from Schrödinger formalism for various topologies of position-based semiconductor qubits is presented in the case of static and time-dependent electric fields. The simplistic tight-binding model enables the description of single-electron devices at a large integration scale. The case of two electrostatically Wannier qubits (also known as position-based qubits) in a Schrödinger model is presented with omission of spin degrees of freedom. The concept of programmable quantum matter can be implemented in the chain of coupled semiconductor quantum dots. Highly integrated and developed cryogenic CMOS nanostructures can be mapped to coupled quantum dots, the connectivity of which can be controlled by a voltage applied across the transistor gates as well as using an external magnetic field. Using the anti-correlation principle arising from the Coulomb repulsion interaction between electrons, one can implement classical and quantum inverters (Classical/Quantum Swap Gate) and many other logical gates. The anti-correlation will be weakened due to the fact that the quantumness of the physical process brings about the coexistence of correlation and anti-correlation at the same time. One of the central results presented in this work relies on the appearance of dissipation-like processes and effective potential renormalization building effective barriers in both semiconductors and in superconductors between not bended nanowire regions both in classical and in quantum regimes. The presence of non-straight wire regions is also expressed by the geometrical dissipative quantum Aharonov–Bohm effect in superconductors/semiconductors when one obtains a complex value vector potential-like field. The existence of a Coulomb interaction provides a base for the physical description of an electrostatic Q-Swap gate with any topology using open-loop nanowires, with programmable functionality. We observe strong localization of the wavepacket due to nanowire bending. Therefore, it is not always necessary to build a barrier between two nanowires to obtain two quantum dot systems. On the other hand, the results can be mapped to the problem of an electron in curved space, so they can be expressed with a programmable position-dependent metric embedded in Schrödinger’s equation. The semiconductor quantum dot system is capable of mimicking curved space, providing a bridge between fundamental and applied science in the implementation of single-electron devices. Full article
(This article belongs to the Section Quantum Materials)
Show Figures

Figure 1

10 pages, 11612 KB  
Article
The Ultramorphology and Sexual Dimorphism of Antennae and Sensilla in the Pale Grass Blue, Pseudozizeeria maha (Lepidoptera: Lycaenidae)
by Qing-Xiao Chen, Ying Han and Ya-Fei Li
Insects 2024, 15(9), 698; https://doi.org/10.3390/insects15090698 - 14 Sep 2024
Cited by 1 | Viewed by 2369
Abstract
The pale grass blue, Pseudozizeeria maha, is a small lycaenid butterfly widely distributed across Asia. Due to its exclusively diurnal lifestyle and conspicuous sexual dimorphism in wing coloration, vision has traditionally been regarded as the primary sensory system driving various behaviors. However, [...] Read more.
The pale grass blue, Pseudozizeeria maha, is a small lycaenid butterfly widely distributed across Asia. Due to its exclusively diurnal lifestyle and conspicuous sexual dimorphism in wing coloration, vision has traditionally been regarded as the primary sensory system driving various behaviors. However, non-visual sensory systems related to sex-specific behavioral responses, such as antennae, have received far less attention. This study investigated the morphological characteristics and sensilla types of the antennae in adult P. maha using scanning electron microscopy, with a focus on potential sexual dimorphism. The antennae of adult P. maha are clavate, with no significant sexual differences in overall morphology. Six types of antennal sensilla were identified: Böhm bristles, sensilla squamiformia, sensilla trichodea, sensilla chaetica, sensilla basiconica, and sensilla coeloconica, with no sexual dimorphism observed in their morphological types or dimensions. Remarkably, the sensilla coeloconica exhibit significant sexual dimorphism, with a more prominent presence in females. This finding suggests that female P. maha may rely more on olfactory cues for some sex-specific behaviors, such as oviposition site selection. Full article
(This article belongs to the Section Insect Physiology, Reproduction and Development)
Show Figures

Figure 1

17 pages, 2885 KB  
Article
A Non-Relativistic 2D Quantum System and Its Thermo-Magnetic Properties with a Generalized Pseudo-Harmonic Oscillator
by Haifa I. Alrebdi, Akpan N. Ikot, Ridha Horchani and Uduakobong S. Okorie
Mathematics 2024, 12(17), 2623; https://doi.org/10.3390/math12172623 - 24 Aug 2024
Cited by 3 | Viewed by 1678
Abstract
In this work, we examine the thermo-magnetic characteristics and energy spectra of a system exposed to both magnetic and Aharonov–Bohm (AB) fields with the existence of an interaction potential that is pseudo-harmonic. Explicit calculations of the eigen-solutions are performed with the expanded Nikiforov–Uvarov [...] Read more.
In this work, we examine the thermo-magnetic characteristics and energy spectra of a system exposed to both magnetic and Aharonov–Bohm (AB) fields with the existence of an interaction potential that is pseudo-harmonic. Explicit calculations of the eigen-solutions are performed with the expanded Nikiforov–Uvarov formalism. The confluent Heun function is used to represent the equivalent wave functions. If the AB and magnetic fields are gone, quasi-degeneracy in the system’s energy levels is shown by a numerical analysis of the energy spectrum. Additionally, we provided a visual representation of how the AB and magnetic fields affected the system’s thermo-magnetic characteristics. Our results show a strong dependence of thermo-magnetic properties on temperature, screening parameters, external magnetic fields, and AB fields. Full article
(This article belongs to the Section E4: Mathematical Physics)
Show Figures

Figure 1

9 pages, 274 KB  
Article
Remarks on the Quantum Effects of Screw Dislocation Topology and Missing Magnetic Flux
by Knut Bakke
Condens. Matter 2024, 9(3), 33; https://doi.org/10.3390/condmat9030033 - 8 Aug 2024
Cited by 4 | Viewed by 1762
Abstract
We revisit the interaction between a point charge and an inhomogeneous magnetic field that yields the magnetic quantum dot system. This magnetic field is defined by filling the whole space, except for a region of radius r0. Then, we assume that [...] Read more.
We revisit the interaction between a point charge and an inhomogeneous magnetic field that yields the magnetic quantum dot system. This magnetic field is defined by filling the whole space, except for a region of radius r0. Then, we assume that there is an impenetrable potential wall located at r0 and discuss the quantum effects of screw dislocation topology and the missing magnetic flux. We first show that Landau levels can be achieved even though there is the presence of an impenetrable potential wall. We go further by discussing the confinement of a point charge to a cylindrical wire. In both cases, we show Aharonov–Bohm-type effects for bound states can be obtained from the influence of the screw dislocation topology and the missing magnetic flux. Later, we discuss the influence of the screw dislocation topology and the missing magnetic flux on the magnetization and the persistent currents. Full article
(This article belongs to the Section Condensed Matter Theory)
6 pages, 239 KB  
Communication
Rendering Maxwell Equations into the Compressible Inviscid Fluid Dynamics Form
by Peter Vadasz
Fluids 2023, 8(11), 284; https://doi.org/10.3390/fluids8110284 - 26 Oct 2023
Cited by 1 | Viewed by 2514
Abstract
Maxwell equations governing electromagnetic effects are being shown to be equivalent to the compressible inviscid Navier–Stokes equations applicable in fluid dynamics and representing conservation of mass and linear momentum. The latter applies subject to a generalized Beltrami condition to be satisfied by the [...] Read more.
Maxwell equations governing electromagnetic effects are being shown to be equivalent to the compressible inviscid Navier–Stokes equations applicable in fluid dynamics and representing conservation of mass and linear momentum. The latter applies subject to a generalized Beltrami condition to be satisfied by the magnetic field. This equivalence indicates that the compressible inviscid Navier–Stokes equations are Lorentz invariant as they derive directly from the Lorentz-invariant Maxwell equations subject to the same Beltrami condition, provided the pressure wave propagates at the speed of light, i.e., vo=co. In addition, the derivation and results provide support for the claim that electromagnetic potentials have physical significance as demonstrated by Aharonov–Bohm effect, and are not only a convenient mathematical formulation. Full article
15 pages, 10546 KB  
Article
Caloric Effect Due to the Aharonov–Bohm Flux in an Antidot
by Patricia Martínez-Rojas, M. Esperanza Benavides-Vergara, Francisco J. Peña and Patricio Vargas
Nanomaterials 2023, 13(19), 2714; https://doi.org/10.3390/nano13192714 - 6 Oct 2023
Cited by 1 | Viewed by 1662
Abstract
In this work, we report the caloric effect for an electronic system of the antidot type, modeled by combining a repulsive and attractive potential (parabolic confinement). In this system, we consider the action of a perpendicular external magnetic field and the possibility of [...] Read more.
In this work, we report the caloric effect for an electronic system of the antidot type, modeled by combining a repulsive and attractive potential (parabolic confinement). In this system, we consider the action of a perpendicular external magnetic field and the possibility of having an Aharonov–Bohm flux (AB-flux) generated by a current passing through a solenoid placed inside the forbidden zone for the electron. The energy levels are obtained analytically, and the model is known as the Bogachek and Landman model. We propose to control the caloric response of the system by varying only the AB-flux, finding that, in the absence of an external magnetic field, the maximization of the effect always occurs at the same AB-flux intensity, independently of the temperature, while fixing the external magnetic field at a non-zero value breaks this symmetry and changes the point where the caloric phenomenon is maximized and is different depending on the temperature to which the process is carried. Our calculations indicate that using an effective electron mass of GaAs heterostructures and a trap intensity of the order of 2.896 meV, the modification of the AB-flux achieves a variation in temperature of the order of 1 K. Our analysis suggests that increasing the parabolic confinement twofold increases the effect threefold, while increasing the antidot size generates the reverse effect, i.e., a strong decrease in the caloric phenomenon under study. Due to the great diversity in technological applications that have antidots in electronics, the possibility of controlling their thermal response simply by varying the intensity of the internal current inside the solenoid (i.e., the intensity of AB-flux) can be a platform of interest for experimental studies. Full article
Show Figures

Figure 1

8 pages, 258 KB  
Article
A Covariant Non-Local Model of Bohm’s Quantum Potential
by Roberto Mauri and Massimiliano Giona
Entropy 2023, 25(6), 915; https://doi.org/10.3390/e25060915 - 9 Jun 2023
Viewed by 1685
Abstract
Assuming that the energy of a gas depends non-locally on the logarithm of its mass density, the body force in the resulting equation of motion consists of the sum of density gradient terms. Truncating this series after the second term, Bohm’s quantum potential [...] Read more.
Assuming that the energy of a gas depends non-locally on the logarithm of its mass density, the body force in the resulting equation of motion consists of the sum of density gradient terms. Truncating this series after the second term, Bohm’s quantum potential and the Madelung equation are obtained, showing explicitly that some of the hypotheses that led to the formulation of quantum mechanics do admit a classical interpretation based on non-locality. Here, we generalize this approach imposing a finite speed of propagation of any perturbation, thus determining a covariant formulation of the Madelung equation. Full article
(This article belongs to the Special Issue Selected Featured Papers from Entropy Editorial Board Members)
22 pages, 4950 KB  
Article
Morphological Characterstics of the Sensilla in a Monophagous Insect: Agasicles hygrophila Selman and Vogt (Coleoptera: Chrysomelidae, Halticinae)
by Qianhui Chen, Shuang Li, Yingying Wang, Dong Jia, Yuanxin Wang and Ruiyan Ma
Insects 2023, 14(6), 501; https://doi.org/10.3390/insects14060501 - 30 May 2023
Cited by 10 | Viewed by 3329
Abstract
Agasicles hygrophila Selman and Vogt (Coleoptera: Chrysomelidae) is the key natural enemy of Alternanthera philoxeroides (Mart.) Griseb, an invasive weed worldwide. To understand the morphology of A. hygrophila and further explore the specific host localization mechanism, scanning electron microscopy was used to observe [...] Read more.
Agasicles hygrophila Selman and Vogt (Coleoptera: Chrysomelidae) is the key natural enemy of Alternanthera philoxeroides (Mart.) Griseb, an invasive weed worldwide. To understand the morphology of A. hygrophila and further explore the specific host localization mechanism, scanning electron microscopy was used to observe and study the morphological characteristics of sensilla on the head appendages, tarsi, and external genital segments of A. hygrophila. Twelve types and forty-six subtypes of sensilla were observed. These contain various types of head appendices, including sensilla chaetica, sensilla trichodea, sensilla basiconca, sensilla coeloconica, sensilla styloconica, Böhm bristles, sensilla campaniform, sensilla terminal, sensilla dome, sensilla digit-like, sensilla aperture, and many subtypes. A new type of sensor was reported for the first time, which may be related to host plant recognition. This sensor was located on the distal segment of the maxillary palps of A. hygrophila and was named as sensilla petal-shaped based on its morphological characteristics. Sensilla chaetica, sensilla trichodea, and sensilla basiconca are also found on the tarsi and external genital segments. In addition, sensilla basiconica 4, sensilla coeloconica 1 and 2, sensilla styloconica 2, Böhm bristles 2, and sensilla campaniform 1 were only found in females. On the contrary, sensilla styloconica 3, sensilla coeloconica 3, and sensilla dome were only found in males. Numbers and sizes of the sensilla were also different between males and females. The potential functions related to structure were discussed in comparison with previous investigations on beetles and other monophagous insects. Our results provide a microscopic morphological basis for further research on the localization and recognition mechanism of A. hygrophila and its obligate host. Full article
(This article belongs to the Section Other Arthropods and General Topics)
Show Figures

Figure 1

Back to TopTop