Next Article in Journal
The Interplay Between Non-Instantaneous Dynamics of mRNA and Bounded Extrinsic Stochastic Perturbations for a Self-Enhancing Transcription Factor
Previous Article in Journal
Word Sense Disambiguation with Wikipedia Entities: A Survey of Entity Linking Approaches
Previous Article in Special Issue
Sheath Formation in a Plasma with Regularized Kappa Distribution
 
 
Font Type:
Arial Georgia Verdana
Font Size:
Aa Aa Aa
Line Spacing:
Column Width:
Background:
Article

The Properties of Plasma Sheath Containing the Primary Electrons with a Cairns Distribution

Department of Physics, School of Science, Tianjin University, Tianjin 300072, China
*
Authors to whom correspondence should be addressed.
Entropy 2026, 28(2), 237; https://doi.org/10.3390/e28020237
Submission received: 15 December 2025 / Revised: 10 February 2026 / Accepted: 17 February 2026 / Published: 18 February 2026
(This article belongs to the Special Issue Nonextensive Statistical Mechanics in Astrophysics)

Abstract

We study the properties of a plasma sheath containing cold positive ions, secondary electrons, and primary electrons with a Cairns distribution (a non-thermal velocity distribution). We derive the generalized Bohm criterion and Bohm speed, the new floating potential at the wall, and the new critical secondary electron emission coefficient. We show that these properties of the plasma sheath depend significantly on the α-parameter in the non-thermal α-distribution, and so they are generally different from those of the plasma sheath if the primary electrons were assumed to be a Maxwellian distribution.

1. Introduction

When plasma is in contact with other objects, a narrow space positive charge region is formed near the contact interface. This region is called the plasma sheath, and its thickness is about ten Debye lengths. In the field of the materials industry, the study of the plasma sheath plays an extremely important role in guiding the improvement of material surface modification and etching technology. Meanwhile, the relevant theories of plasma sheath have been widely applied to magnetic fusion devices, Hall thrusters and other equipment [1,2,3].
Analyzing the Bohm criterion is a common way to study the properties of the plasma sheath. If ions can enter the sheath region, they need to satisfy the condition of minimum ion drift velocity, and a criterion based on this condition is called the Bohm criterion. In other words, the drift velocity of ions that can enter the sheath region must be greater than a certain minimum speed, which is called the Bohm speed. The Bohm criterion can not only be used to judge the stability of the plasma sheath, but also to study other properties of the sheath. Early in 1974 [4], it was pointed out that when the plasma sheath is formed in an electron-ion plasma, the drift speed of ions entering the sheath is no less than the ion sound speed.
Due to the complexity of plasma application environments, plasma can have different compositions in different situations, such as the presence of negative ions, secondary electrons and so on. Usually, the case is present in the plasma sheath that there is a charging phenomenon by the collisions between electrons and other objects, such as walls, workpieces, and dust particles, etc. Electron bombardment of other objects leads to secondary electron emission (SEE), and thus, the sheath contains the secondary electrons. The plasma compositions can affect properties of the sheath, such as the Bohm criterion, etc. It was shown that [5] electrons produced by SEE can significantly change the potential distribution of the sheath. The intensity of SEE is described by the SEE coefficient γ, defined as
γ = σ s σ p .
where σs is the SEE flux, and σp is the primary electron flux.
In addition to the fact that plasma components can change the sheath properties, the velocity distribution of charged particles can also change the sheath structure. Traditionally, most of the studies were based on the assumption that electrons in the plasma have a Maxwellian velocity distribution. However, due to the possible existence of non-thermal electrons, the velocity distributions often deviate from the Maxwellian one, which requires us to analyze the new properties of the plasma sheath with a non-Maxwellian velocity distribution. In recent years, various non-Maxwellian velocity distributions have been observed and applied to study new properties in nonequilibrium complex plasmas, such as the kappa distribution, the nonextensive q-distribution, the Cairns distribution, etc. Sharifian et al. [6] discussed the nonextensibility of electrons to study the floating potential of the plasma sheath. Hatami et al. used two types of sheath models with the nonextensive q-distributed electrons and thermal ions to study the sheath structure and Bohm criterion [7,8], and later studied the Debye length in the magnetic sheath model [9]. Borgohain et al. studied the plasma sheath with the nonextensive q-distributed two-temperature electrons [10] and the electronegative plasma sheath with the nonextensive q-distributed electrons [11]. Zhao et al. [12] studied the effect of the plasma sheath with the nonextensive q-distributed electrons on the SEE. In addition, Dhawan et al. [13] considered the q-distribution of electron, ion temperature and ion-neutral collision in the simulation. Ghani [14] et al. studied the dusty plasma sheath structure with superextensive electron and SEE effect. Bouzit et al. studied the sheath formation with the electrons following a Cairns–Tsallis distribution [15], and Asserghine et al. studied the effect of SEE on the plasma sheath with the nonextensive q-distributed electrons [16], etc.
Among the many models with non-Maxwellian distributions in complex plasmas, the non-thermal α-distribution (i.e., the Cairns distribution) is a typical nonequilibrium model that has been widely used to study new properties of the plasmas. As is known, the non-Maxwellian velocity distribution of primary electrons significantly affects the secondary electron emission (SEE) flux [17] and consequently alters the structure and properties of the plasma sheath. In this regard, the Cairns distribution offers a physically distinct and complementary description for non-thermal electrons. Unlike Tsallis-type distributions, which mainly modify the asymptotic high-energy behavior, the Cairns distribution introduces a controlled non-thermal population at finite velocities through the parameter α, resulting in a non-monotonic velocity profile. This characteristic has been shown to modify sheath properties considerably, even when the high-energy tail remains close to a Maxwellian one. For example, the fluid dynamics and numerical analyses of electrostatic plasma sheaths containing non-thermal electrons revealed that adopting a Cairns-type distribution leads to substantial changes in sheath potential, charge density profiles, and the Bohm criterion, particularly in the presence of multi-component ions, dust particles, or external fields [18]. Similar findings were also reported in the numerical studies of electrostatic sheaths with charged nanoparticles [19], where non-thermal electrons were found to enhance intermediate-energy transport and strongly influence sheath structure and stability.
Motivated by these results and the growing evidence that edge and near-wall plasmas may exhibit non-thermal features beyond simple power-law tails, in this work, we re-examine the fundamental sheath properties, including the Bohm velocity, the floating potential and the secondary electron emission by using the Cairns distribution. Our approach is to provide an alternative and complementary framework suitable for regimes where intermediate energy non-thermal populations play a dominant role. In this study, we examine several properties of the plasma sheath in the presence of non-thermal primary electrons with the Cairns distribution.
The paper is organized as follows: In Section 2, we introduce the basic theory of plasma sheath and the Cairns α-distribution. In Section 3, we study properties of the plasma sheath if the primary electrons are the Cairns α-distribution. In Section 4, we make numerical analyses, and in Section 5, we give the conclusions.

2. The Basic Theory of Plasma Sheath and the Cairns Distribution

For the convenience of discussion, we consider a plasma sheath to be in a stable state, the ions to be cold, and the plasma model to be a one-dimensional non-collision form. The boundary between the sheath and the neutral region of the plasma is the starting point of the one-dimensional coordinate, x = 0, and the position of the wall is set as x = xw (See Figure 1).
If vs and vi are the secondary electron velocity and the ion velocity respectively, ns and ni are the number density of the secondary electrons and ions respectively, e is the elementary charge, and φ is the electrostatic potential function, one can have the following hydrodynamics model of the plasma sheath [9]:
m e v s v s x = e φ x ,
n s v s x = 0 ,
m i v i v i x = e φ x ,
n i v i x = 0 .
By combining Equations (4) and (5), one obtains the number density of ions,
n i = n i 0 m i v i 0 2 m i v i 0 2 2 e φ ,
where me and mi are the mass of an electron and an ion, and ni0 and vi0 are respectively the number density and velocity of ions at the sheath boundary x = 0.
If one uses the subscripts j = s, p, and i to represent the secondary electrons, the primary electrons and the ions, respectively; σjw to represent the particle flux at the wall; and Φjw to represent the particle current flux at the wall, then the current flux is zero j Φ j w = 0 because the total charge is conserved at the wall, namely,
σ p w = σ s w + σ i w ,
where the particle fluxes are σ j = n j 0 v j 0 = n j v j .
If the secondary electron emission coefficient γ at the wall is defined as γ = σsw/σpw, combining Equation (7), we get
σ p w = 1 1 γ σ i w ,               σ s w = γ 1 γ σ i w .
From Equations (2) and (3), we can get
v s = v s w 2 + 2 m e φ w φ ,
where φw is the floating potential at the wall. From Equations (6)–(9), the particle number density of the secondary electron is obtained as
n s = n s w v s w v s = γ σ i w ( 1 γ ) v s = γ n i o v i o ( 1 γ ) v s = γ n i o 1 γ m e v i 0 2 2 e φ φ w + m e v s w 2 .
Conventionally, if the primary electrons are assumed to be a Maxwellian distribution, their number density is np = np0 exp (/kTp). And then, by using the quasi-neutral condition at the boundary of the sheath, np0 + ns0 = ni0, and Equations (6) and (10), one can derive that
n p = n i 0 n s 0 exp e φ k T p = n i 0 1 γ 1 γ m e v i 0 2 m e v s w 2 2 e φ w exp e φ k T p .
For the Poisson equation,
d 2 φ d x 2 = e ε 0 n p + n s n i ,
and if one makes a dimensionless transformation by using the following six parameters,
ξ = x λ D ,   θ j = v j u i , N j = n j n i 0 ,   ψ = e φ k T p ,   μ = m i m e ,   M 2 = m i v i 0 2 k T p ,
where λ D = ε 0 k T p / n i 0 e 2     is the Debye length, M is the Mach number,   u i = k T p / m i is the ion acoustic speed, and Tp is the primary electron temperature, then one has that
d 2 ψ d ξ 2 = N p + N s N i ,
where the dimensionless particle population densities are, respectively,
N i = 1 / 1 2 ψ M 2 ,
N s = γ 1 γ M 2 2 μ ψ ψ w + θ s w 2 ,
N p = 1 γ 1 γ M 2 θ s w 2 2 μ ψ w exp ψ ,
where θsw = vsw/ui is the dimensionless initial speed of SEE, and ψw is the floating potential at the wall.
Usually, one uses the Sagdeev potential to analyze the properties of quasi-particles. The Sagdeev potential V is defined [4] by
d 2 ψ d ξ 2 = d V ψ d ψ .
The configuration of the Sagdeev potential must be a potential well; therefore, the function value and first derivative of the Sagdeev potential at ψ = 0 are both zero, and the second derivative of the Sagdeev potential must be less than zero at ψ = 0. One has that
d 2 V d ψ 2 ψ = 0 0 .
And then, on the basis of Equations (14)–(19), one obtains the Bohm criterion [16],
M 2 1 1 γ 1 γ M 2 θ s w 2 2 ψ w μ μ γ 1 γ M 2 θ s w 2 2 ψ w μ 3 .
Equation (20) is an implicit inequality with the Mach number M appearing on both sides. When equality holds, it defines the critical Mach number Mc that satisfies the sheath formation condition, and its value has to be determined numerically. In the limit of no secondary electron emission (γ → 0) this inequality reduces to the classical Bohm criterion M ≥ 1.
In the above basic theory, the ions and the electrons (primary electrons and secondary electrons) in the plasma sheath were often assumed to have a Maxwellian velocity distribution. But in many plasma situations, such as astrophysical and space plasmas, non-Maxwellian velocity distributions of the particles are very common, among which there is a non-thermal velocity α-distribution. In 1995, Cairns et al. introduced a velocity α-distribution [20] inspired by the observation data of Freja and Viking satellites, called the Cairns distribution, which is non-thermal, written by
f α v = C α 1 + α m 2 v 4 k 2 T 2 exp m v 2 2 k T ,
where T is the temperature, k is the Boltzmann constant, m is the mass of the particle, α ≠ 0 is a non-thermal parameter which describes the amount of high-energy particles in the plasma, and Cα is a normalization constant,
C α = n 3 α + 1 m 2 π k T .
If one takes α = 0, the distribution function (21) returns to a Maxwellian distribution.

3. The Plasma Sheath with the Cairns Distribution

3.1. The Generalized Bohm Criterion

In the plasma sheath model, we assume the primary electrons to be the Cairns distribution. And when there is the potential φ(x), the Cairns distribution (21) can be written by [20]
f p , α v p , x = C α 1 + α m e v p 2 2 e φ 2 k 2 T p 2 exp m e v p 2 2 e φ 2 k T p ,
where the normalization constant is
C α = n p 0 3 α + 1 m e 2 π k T p .
Based on this distribution function, the number density of the primary electrons is derived as
n p , α x = n p 0 1 A α e φ k T p + A α e φ k T p 2 exp e φ k T p ,
where Aα = 4α/(3α + 1). Correspondingly, the dimensionless particle density (17) becomes
N p , α = 1 γ 1 γ M α 2 θ s w 2 2 μ ψ w 1 A α ψ + A α ψ 2 exp ψ .
On the basis of Equations (18) and (19) and Equations (13)–(16) and Equation (26), one can obtain the following inequation,
d d ψ 1 γ 1 γ M α 2 θ s w 2 2 μ ψ w 1 A α ψ + A α ψ 2 exp ψ + γ 1 γ M α 2 2 μ ψ ψ w + θ s w 2 M α 2 M 2 2 ψ ψ = 0 0 .
And then, from (27), one can derive a generalized Bohm criterion for the plasma sheath if the primary electrons have the Cairns distribution, that is
M α 2 1 1 A α 1 γ 1     γ M α 2 θ s w 2     2 ψ w μ μ γ 1     γ M α 2 θ s w 2     2 ψ w μ 3 .
Obviously, this Bohm criterion depends on the non-thermal α-parameter; when one takes α = 0, one has Aα = 0, and thus the generalized Bohm criterion (28) returns to the classical form (20). From the new criterion (28), we obtain a new equation for the critical Mach number Mc,α (i.e., the Bohm speed) with respect to the SEE coefficient γ and the floating potential ψw at the wall,
M c , α 2 1 A α 1 γ 1 γ M c , α 2 θ s w 2 2 ψ w μ μ γ 1 γ M c , α 2 θ s w 2 2 ψ w μ 3 = 1 .
This critical Mach number also depends on the non-thermal α-parameter, and we find that the generalized Bohm criterion can be written as MαMc,α.

3.2. The Floating Potential at the Wall

The concept of floating potential was once used to describe the potential on Langmuir probes. Because the probe is suspended in the plasma for detection, the potential energy on the suspended probe is also called suspended potential. When the net current flux on the probe surface is zero, a balance is achieved between the incoming current and the outgoing current, and then the potential energy state on the probe is in a suspended state. In fact, the potential on various objects such as electrodes, walls, workpieces, and dust grains that are immersed in or come into contact with the plasma with zero net electricity may be called the floating potential [21,22].
In order to study the generalized Bohm criterion (28), we need to analyze the floating potential ψw at the wall. At the same time, as an important part of the sheath potential structure, the property of floating potential at the wall is also very important. In the equilibrium condition (7) between the secondary electron flux σsw, the primary electron flux σpw and the ion flux σiw at the wall, the primary electron flux σpw at the wall is calculated on the basis of the Cairns α-distribution (23) by
σ p w = 0 f p , α v p , x d v p = C α 0 d v p 1 + α m e v p 2 2 e φ w 2 k 2 T p 2 exp m e v p 2 2 e φ w 2 k T p v p
= n p 0 3 α + 1   k T p 2 π m e   exp e φ w k T p 1 + 8 α 8 α e φ w k T p + 4 α e 2 φ w 2 k 2 T p 2 .
The ion flux and the secondary electron flux are respectively,
σ i w = n i w v i w = n i 0 v i 0 and   σ s w = γ 1 γ n i 0 v i 0 .
Then, based on the charge conservation Equation (7), we get that
n p 0 3 α + 1 k T p 2 π m e 1 + 8 α 8 α e φ w k T p + 4 α e 2 φ w 2 k 2 T p 2 exp e φ w k T p = n i 0 v i 0 1 γ .
By using the dimensionless transformation (13), Equation (32) is written as
μ 2 π 1 γ 1 γ M α θ s w 2 2 μ ψ w 1 3 α + 1 + 2 A α 2 A α ψ w + A α ψ w 2 exp ψ w = M α 1 γ .
This equation gives a relation between the floating potential at the wall and the other plasma physical quantities of the sheath if the primary electrons are non-thermal and have the Cairns α-distribution. This new relation depends on the non-thermal α-parameter: only when one takes α = 0, it returns the original relation when the primary electrons were assumed to be a Maxwellian velocity distribution [17],
μ 2 π 1 γ 1 γ M θ s w 2 2 μ ψ w exp ψ w = M 1 γ .

3.3. The Critical SEE Coefficient

We now study the critical SEE coefficient γc in the plasma sheath with the Cairns-distributed primary electrons. Hobbs and Wesson obtained an expression of the critical SEE coefficient [23], γ c 1 8.3 m e / m i . If the SEE effect is weak, then γ < γc; if the SEE effect is strong, then γ > γc; and if the SEE effect is moderate, then γ = γc. As we know that [5] when the SEE effect is weak, the SEE coefficient γ < γc; at this time, the potential distribution type of the sheath is a classical sheath, and the floating potential at the wall has a negative potential relative to the plasma. The electric field near the wall points to the wall, so all the secondary electrons emitted from the wall will enter the sheath and do not return. When the SEE effect is strong, the SEE coefficient γ > γc; at this time, the potential distribution type of the sheath is an inverse sheath. The floating potential of the wall has a positive potential relative to the plasma. The electric field near the wall points to the plasma region, and most of the secondary electrons will return to the wall. When the SEE effect is moderate, the SEE coefficient γ = γc; at this time, the potential distribution type of sheath is a space charge limited (SCL) transition sheath, and the sheath structure is such that its electric field near the wall is zero. γc is called the critical SEE coefficient. Mathematically, the SCL transition sheath corresponds to the special form of wall electric field being zero, and physically, the corresponding SEE effect intensity is relatively moderate. Therefore, we take the SCL transition sheath structure to study the critical SEE coefficient.
In order to find the critical SEE coefficient γc, by making use of the normalized form of the Poisson Equation (14), one finds that
d ψ d ξ d d ψ d ξ = ( N p , α + N s N i ) d ψ .
Making integral from Ψ0 to Ψw on both sides of Equation (35), one has
E 0 E w d ψ d ξ d d ψ d ξ = ψ 0 ψ w ( N p + N s N i ) d ψ ,
where the electric field at the boundary of the sheath is E0 = 0 and ψ0 = 0. In the SCL transition sheath, the electric field Ew = 0 at the wall (i.e., / = 0 at the wall), γ = γc, and so Equation (36) becomes
0 ψ w ( N p , α + N s N i ) d ψ = 0 .
Substituting Equations (15), (16) and (27) into Equation (37), one derives the equation of the critical SEE coefficient γc when the plasma sheath has the Cairns-distributed primary electrons,
1 M α γ c ( 1 γ c ) θ s w 2 2 ψ w μ A α ψ w 2 3 ψ w + 3 exp ψ w 3 A α + exp ψ w 1 + M α γ c ( 1 γ c ) μ θ s w θ s w 2 2 ψ w μ + M α M 2 2 ψ w M α = 0 .
This new equation depends on the non-thermal α-parameter, which can be used to solve the new critical SEE coefficient γc. When we take α = 0, it returns to the form if the primary electrons were a Maxwellian distribution [24], namely,
1 M γ c ( 1 γ c ) θ s w 2 2 ψ w μ exp ψ w 1 + M γ c 1 γ c μ θ s w θ s w 2 2 ψ w μ + M M 2 2 ψ w M = 0 .

4. Numerical Analyses

In order to show the properties of the plasma sheath being the non-thermal primary electrons with the Cairns α-distribution more clearly, we now make numerical analyses on the basis of the generalized Bohm criterion (28), the new floating potential (33) and the new critical SEE coefficient (38) of the plasma sheath. In numerical analyses, as an example, the plasma characteristic data are taken in an argon plasma containing secondary emission electrons [25], such as the mass ratio of an ion to an electron μ = 7.3334 × 104, the dimensionless exit speed of secondary electrons θsw = 20, the Mach number Mα = 1.4, the floating potential at the wall ψw = −3, and the SEE coefficient γ = 0.4. In addition, according to the Bohm criterion, Mα should be taken greater than the critical value Mc,α (the Bohm speed) when it is used as an independent variable.

4.1. The Generalized Bohm Criterion and Bohm Speed

The numerical analyses are performed for the critical Bohm speed Mc,α based on Equation (29). In Figure 2a,b, we illustrate the Bohm speed Mc,α as a function of the non-thermal α-parameter for three representative values of the SEE coefficient and the floating potential, respectively. Figure 2a shows results for three different SEE coefficients, γ = 0.1, 0.5 and 0.9, while Figure 2b presents results for three different floating potentials, ψw = −4, −3 and −2.
It is shown that the Bohm speed depends significantly on the non-thermal α-parameter, but it is almost unaffected by the SEE coefficient γ and the floating potential at the wall ψw, as evidenced by the near overlap of the curves in both panels. The Bohm speed Mc,α increases substantially with increasing α-parameter, where α = 0 corresponds to the classical case of a Maxwellian distribution. Thus, the Bohm speed Mc,α in a plasma sheath with non-thermal primary electrons described by the Cairns distribution is generally larger than that with a Maxwellian distribution.
Physically, an increase in the non-thermal α-parameter leads to a higher population of electrons in energetic states and the appearance of non-monotonic features in the velocity distribution. This enhances the electron flux toward the wall and allows more electrons to accumulate in the sheath region. Consequently, ions require greater kinetic energy to satisfy the generalized Bohm criterion at the sheath entrance, resulting in an increased Bohm speed.

4.2. The New Floating Potential at the Wall

The numerical analyses are made of the floating potential at the wall, ψw, based on Equation (33). In Figure 3a,b, we illustrate the floating potential ψw as a function of the SEE coefficient γ and the Mach number Mα, respectively, for three different values of the α-parameter, α = 0, 0.05, and 0.15. In Figure 3b, the starting value of Mach number Mα is taken as the critical value Mc,α to ensure the Bohm criterion Mα Mc,α. It is shown that the floating potential depends significantly on the non-thermal α-parameter, and it decreases with an increase in the non-thermal α-parameter, where α = 0 is the case of the plasma with a Maxwellian distribution. Thus, the floating potential in the plasma sheath having the non-thermal primary electrons with the Cairns distribution is generally less than that with a Maxwellian distribution.
In Figure 3a, we show that the floating potential ψw increases slowly with an increase in the SEE coefficient γ, but in Figure 3b, we show that it is almost unchanged with an increase in the Mach number Mα.
In the figures, we observed that the floating potential decreases (i.e., it becomes more negative) with an increase in the non-thermal parameter α. This may be understood through the following mechanism. With an increase in the non-thermal parameter α, the primary electrons in the high-energy tails are enhanced. This significantly increases the flux of the energetic electrons that can reach the wall against the retarding sheath potential. To maintain the fundamental condition of zero net current at the wall, the system has to compensate for this increased primary electron current by adjusting the floating potential to a more negative value. This adjustment restores balance in two key ways: (1) it attracts a greater flux of positive ions, and (2) it reflects the lower-energy portion of the primary electron population more effectively. The net effect reaches a new equilibrium where the increased influx of energetic electrons is counteracted, establishing a steady-state floating potential with a lower (more negative) value.

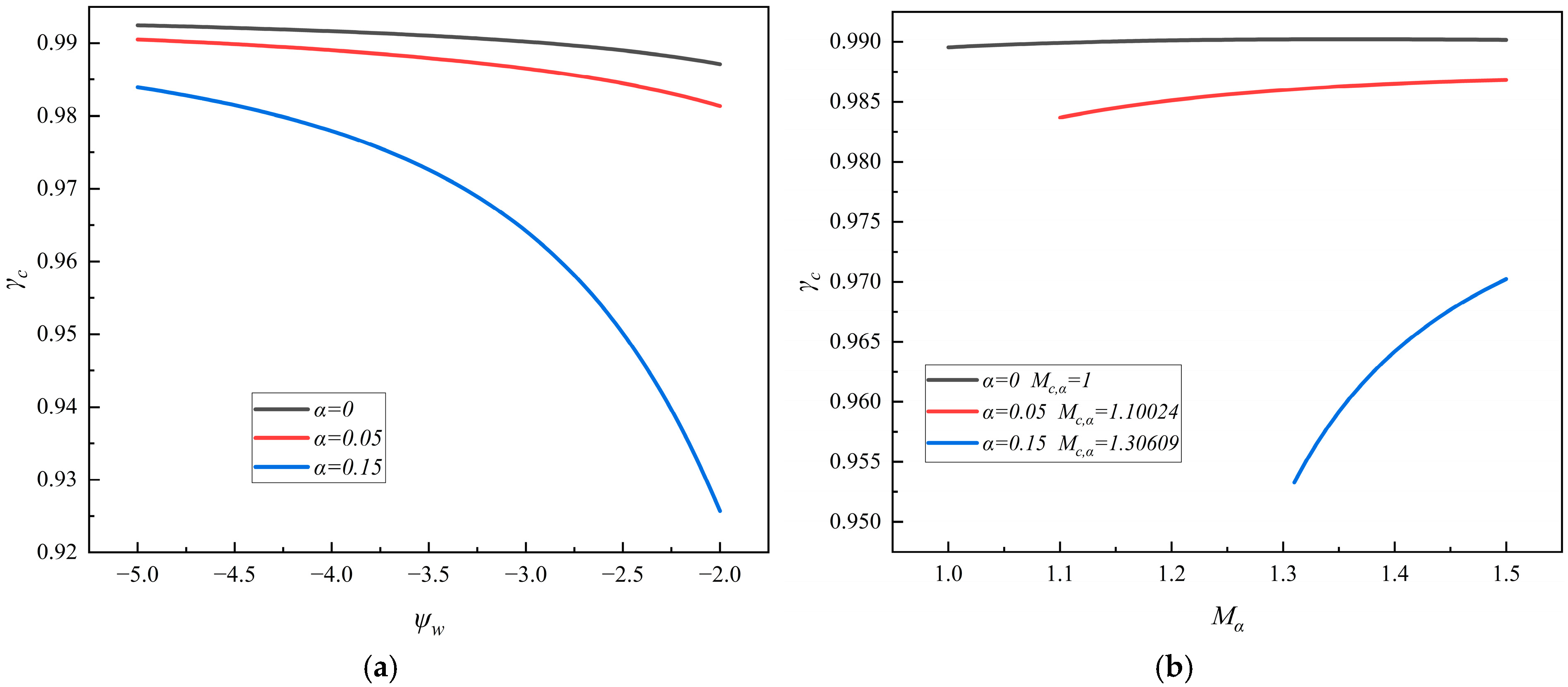
4.3. The New Critical SEE Coefficient

The numerical analyses are made of the critical SEE coefficient γc based on Equation (38). In Figure 4a,b, we illustrated the critical SEE coefficient γc as a function of the floating potential at the wall ψw and the Mach number Mα, respectively, for three different values of the non-thermal α-parameter, α = 0, 0.05, and 0.15. It is shown that the critical SEE coefficient depends significantly on the α-parameter, and it decreases with the increase in the α-parameter, where α = 0 is the case of the plasma with a Maxwellian distribution. Thus, the critical SEE coefficient in the plasma sheath having the non-thermal primary electrons with the Cairns distribution is generally more than that with a Maxwellian distribution.
In Figure 4a, we show that the critical SEE coefficient γc decreases with an increase in the floating potential ψw, but the speed at which it decreases depends significantly on the α-parameter. When α = 0, γc decreases very slowly with an increase in ψw, but with an increase in the α-parameter, γc begins to decrease quickly with an increase in ψw.
In Figure 4b, we show that the critical SEE coefficient γc increases with an increase in the Mach number Mα, but the speed at which it increases depends significantly on the α-parameter. When α = 0, γc increases very slowly with an increase in Mα, but with an increase in the α-parameter, γc begins to increase quickly with an increase in Mα.

5. Conclusions

In conclusion, we have studied the properties of the plasma sheath with secondary electrons and non-thermal primary electrons with a Cairns distribution, including the Bohm criterion, the floating potential and the SEE coefficient. We have derived the expression of a generalized Bohm criterion given by the inequality (28), Equation (33) of the floating potential ψw at the wall and Equation (38) of the critical SEE coefficient γc when the plasma sheath has non-thermal primary electrons with Cairns α-distribution. We also obtained Equation (29) of the Bohm speed Mc,α. These new relations are all related to the non-thermal α-parameter. When we take α = 0 , they all return to those forms in the plasma sheath with the Maxwell-distributed primary electrons.
We have made the numerical analyses to illustrate the Bohm speed, the floating potential at the wall and the critical SEE coefficient, respectively, for three different values of the α-parameter. The results showed that:
(a) The Bohm speed Mc,α depends significantly on the non-thermal α-parameter, but it is almost unaffected by the SEE coefficient and the floating potential at the wall. The Bohm speed increases with an increase in the α-parameter, so the Bohm speed of the plasma sheath having the non-thermal primary electrons with the Cairns distribution is generally more than that with a Maxwellian distribution.
(b) The floating potential ψw at the wall depends significantly on the non-thermal α-parameter, and it decreases with an increase in the non-thermal α-parameter. Therefore, the floating potential of the plasma sheath having the non-thermal primary electrons with the Cairns distribution is generally less than that with a Maxwellian distribution. The floating potential increases slowly with an increase in the SEE coefficient γ, but it is almost unchanged with an increase in the Mach number Mα.
(c) The critical SEE coefficient γc depends significantly on the α-parameter, and it decreases with the increase in the α-parameter. The critical SEE coefficient in the plasma sheath having the non-thermal primary electrons with the Cairns distribution is generally more than that with a Maxwellian distribution. The critical SEE coefficient decreases with an increase in the floating potential ψw, but the speed at which it decreases depends significantly on the α-parameter. When α = 0, γc decreases very slowly with an increase in ψw, but with an increase in the α-parameter, γc begins to decrease quickly with an increase in ψw. The critical SEE coefficient increases with an increase in the Mach number Mα, but the speed at which it increases depends significantly on the α-parameter. When α = 0, γc increases very slowly with an increase in Mα, but with an increase in the α-parameter, γc begins to increase quickly with an increase in Mα.

Author Contributions

Conceptualization, Y.Z.; Methodology, Y.Z.; Software, Y.Z.; Validation, Y.Z.; Formal analysis, Y.Z.; Investigation, Y.Z.; Data curation, Y.Z.; Writing—original draft, Y.Z.; Writing—review and editing, J.D.; Supervision, J.D.; Project administration, J.D.; Funding acquisition, J.D. All authors have read and agreed to the published version of the manuscript.

Funding

This research received no external funding.

Data Availability Statement

The data that support the findings of this study are available from the authors upon reasonable request.

Conflicts of Interest

The authors declare no conflict of interest.

References

  1. Raitses, Y.; Staack, D.; Smirnov, A.; Fisch, N. Space charge saturated sheath regime and electron temperature saturation in Hall thrusters. Phys. Plasmas 2005, 12, 073501. [Google Scholar] [CrossRef]
  2. Robertson, S. Sheaths in laboratory and space plasmas. Plasma Phys. Control. Fusion 2013, 55, 093001. [Google Scholar] [CrossRef]
  3. Vanraes, P.; Bogaerts, A. The essential role of the plasma sheath in plasma–liquid interaction and its applications—A perspective. J. Appl. Phys. 2021, 129, 220903. [Google Scholar] [CrossRef]
  4. Chen, F.F. Introduction to Plasma Physics; Plenum Press: New York, NY, USA, 1974. [Google Scholar]
  5. Wang, X.; Pilewskie, J.; Hsu, H.W.; Horányi, M. Plasma potential in the sheaths of electron-emitting surfaces in space. Geophys. Res. Lett. 2016, 43, 2015GL067175. [Google Scholar] [CrossRef]
  6. Sharifian, M.; Sharifinejad, H.R.; Zarandi, M.B.; Niknam, A.R. Effect of q-non-extensive distribution of electrons on the plasma sheath floating potential. J. Plasma Phys. 2014, 80, 565–575. [Google Scholar] [CrossRef]
  7. Hatami, M.M. Sheath structure in plasmas with nonextensively distributed electrons and thermal ions. Phys. Plasmas 2015, 22, 023511. [Google Scholar] [CrossRef]
  8. Hatami, M.M. Nonextensive statistics and the sheath criterion in collisional plasmas. Phys. Plasmas 2015, 22, 013508. [Google Scholar] [CrossRef]
  9. Hatami, M.M.; Tribeche, M.; Mamun, A.A. Debye length and electric potential in magnetized nonextensive plasma. Phys. Plasmas 2018, 25, 093703. [Google Scholar] [CrossRef]
  10. Borgohain, D.R.; Saharia, K.; Goswami, K.S. Behavior of plasma sheath with nonextensively distributed two-temperature electrons and isothermal ions. Phys. Plasmas 2016, 23, 123503. [Google Scholar] [CrossRef]
  11. Borgohain, D.R.; Saharia, K. Behavior of collisional sheath in electronegative plasma with q-nonextensive electron distribution. Phys. Plasmas 2018, 25, 033513. [Google Scholar] [CrossRef]
  12. Zhao, X.-Y.; Zhang, B.-K.; Wang, C.-X.; Tang, Y.-J. Effects of q-nonextensive distribution of electrons on secondary electron emission in plasma sheath. Acta Phys. Sin. 2019, 68, 185201. [Google Scholar] [CrossRef]
  13. Dhawan, R.; Malik, H.K. Modelling of electronegative collisional warm plasma for plasma-surface interaction process. Plasma Sci. Technol. 2021, 23, 045401. [Google Scholar] [CrossRef]
  14. El Ghani, O.; Driouch, I.; Chatei, H. Numerical investigation of secondary electron emission effect on the dusty plasma sheath with superextensive electrons. Phys. Plasmas 2020, 27, 083701. [Google Scholar] [CrossRef]
  15. Bouzit, O.; Gougam, L.A.; Tribeche, M. Screening and sheath formation in a nonequilibrium mixed Cairns-Tsallis electron distribution. Phys. Plasmas 2015, 22, 052115. [Google Scholar] [CrossRef]
  16. Asserghine, A.; Missaoui, A.; El Kaouini, M.; Chatei, H. Numerical study of the effect of secondary electron emission on the sheath characteristics in q-non-extensive plasma. Contrib. Plasma Phys. 2021, 62, e202100084. [Google Scholar] [CrossRef]
  17. Gong, J.; Du, J. Secondary electron emissions and dust charging currents in the nonequilibrium dusty plasma with power-law distributions. Phys. Plasmas 2012, 19, 063702. [Google Scholar] [CrossRef]
  18. Shaw, A.K.; Kar, S.; Subhash, P.V. Dynamics of a collisional magnetized plasma sheath with non-thermal electrons, multi-component positive ions and charged dust: A fluid model analysis. J. Plasma Phys. 2025, 91, E132. [Google Scholar] [CrossRef]
  19. Khalilpour, H.; Foroutan, V. Numerical study of an electrostatic plasma sheath with non-thermal electrons and charged nanoparticles. Contrib. Plasma Phys. 2019, 60, e201900060. [Google Scholar] [CrossRef]
  20. Cairns, R.; Mamum, A.; Bingham, R.; Boström, R.; Dendy, C.; Nairn, C.; Shukla, P. Electrostatic solitary structures in non-thermal plasmas. Geophys. Res. Lett. 1995, 22, 2709–2712. [Google Scholar] [CrossRef]
  21. Willis, C.T.; Coppins, M.; Bacharis, M.; Allen, J.E. Floating potential of large dust grains in a collisionless flowing plasma. Phys. Rev. E 2012, 85, 036403. [Google Scholar] [CrossRef]
  22. Amann, D.; Blaszczyk, A.; Of, G.; Steinbach, O. Simulation of floating potentials in industrial applications by boundary element methods. J. Math. Ind. 2014, 4, 13. [Google Scholar] [CrossRef]
  23. Hobbs, G.; Wesson, J. Heat flow through a Langmuir sheath in the presence of electron emission. Plasma Phys. 1967, 9, 85. [Google Scholar] [CrossRef]
  24. Seon, J.; Lee, E.; Choe, W.; Lee, H.J. One-dimensional solution to the stable, space-charge-limited emission of secondary electrons from plasma-wall interactions. Curr. Appl. Phys. 2012, 12, 737–741. [Google Scholar] [CrossRef]
  25. Griskey, M.; Stenzel, R. Secondary-electron-emission instability in a plasma. Phys. Rev. Lett. 1999, 82, 556–559. [Google Scholar] [CrossRef]
Figure 1. Schematic diagram of plasma sheath.
Figure 1. Schematic diagram of plasma sheath.
Entropy 28 00237 g001
Figure 2. (a) The generalized Bohm speed as a function of the Cairns α-parameter for three different ψw-parameters. (b) The generalized Bohm speed as a function of the Cairns α-parameter for three different γ-parameters.
Figure 2. (a) The generalized Bohm speed as a function of the Cairns α-parameter for three different ψw-parameters. (b) The generalized Bohm speed as a function of the Cairns α-parameter for three different γ-parameters.
Entropy 28 00237 g002
Figure 3. (a) The new floating potential as a function of the SEE coefficient for three different α-parameters. (b) The new floating potential as a function of the Mach number for three different α-parameters.
Figure 3. (a) The new floating potential as a function of the SEE coefficient for three different α-parameters. (b) The new floating potential as a function of the Mach number for three different α-parameters.
Entropy 28 00237 g003
Figure 4. (a) The new critical SEE coefficient as a function of the floating potential for three different values of the α-parameter. (b) The new critical SEE coefficient as a function of the Mach number for three different values of the α-parameters.
Figure 4. (a) The new critical SEE coefficient as a function of the floating potential for three different values of the α-parameter. (b) The new critical SEE coefficient as a function of the Mach number for three different values of the α-parameters.
Entropy 28 00237 g004
Disclaimer/Publisher’s Note: The statements, opinions and data contained in all publications are solely those of the individual author(s) and contributor(s) and not of MDPI and/or the editor(s). MDPI and/or the editor(s) disclaim responsibility for any injury to people or property resulting from any ideas, methods, instructions or products referred to in the content.

Share and Cite

MDPI and ACS Style

Zhang, Y.; Du, J. The Properties of Plasma Sheath Containing the Primary Electrons with a Cairns Distribution. Entropy 2026, 28, 237. https://doi.org/10.3390/e28020237

AMA Style

Zhang Y, Du J. The Properties of Plasma Sheath Containing the Primary Electrons with a Cairns Distribution. Entropy. 2026; 28(2):237. https://doi.org/10.3390/e28020237

Chicago/Turabian Style

Zhang, Yida, and Jiulin Du. 2026. "The Properties of Plasma Sheath Containing the Primary Electrons with a Cairns Distribution" Entropy 28, no. 2: 237. https://doi.org/10.3390/e28020237

APA Style

Zhang, Y., & Du, J. (2026). The Properties of Plasma Sheath Containing the Primary Electrons with a Cairns Distribution. Entropy, 28(2), 237. https://doi.org/10.3390/e28020237

Note that from the first issue of 2016, this journal uses article numbers instead of page numbers. See further details here.

Article Metrics

Back to TopTop