Sign in to use this feature.

Years

Between: -

Subjects

remove_circle_outline
remove_circle_outline
remove_circle_outline
remove_circle_outline
remove_circle_outline
remove_circle_outline
remove_circle_outline
remove_circle_outline
remove_circle_outline

Journals

remove_circle_outline
remove_circle_outline
remove_circle_outline
remove_circle_outline
remove_circle_outline

Article Types

Countries / Regions

remove_circle_outline
remove_circle_outline
remove_circle_outline

Search Results (225)

Search Parameters:
Keywords = bioprocess scaling up

Order results
Result details
Results per page
Select all
Export citation of selected articles as:
17 pages, 1317 KB  
Article
Development of the Efficient Electroporation Protocol for Leuconostoc mesenteroides
by Kseniya D. Bondarenko, Leonid A. Shaposhnikov, Aleksei S. Rozanov and Alexey E. Sazonov
Int. J. Mol. Sci. 2025, 26(24), 11933; https://doi.org/10.3390/ijms262411933 - 11 Dec 2025
Viewed by 114
Abstract
Leuconostoc mesenteroides is a key microorganism in food biotechnology, valued for its production of flavor-forming metabolites and exopolysaccharides, and its inclusion in starter cultures and biocatalytic systems. However, the application of advanced genetic tools to L. mesenteroides remains hindered by multiple barriers, including [...] Read more.
Leuconostoc mesenteroides is a key microorganism in food biotechnology, valued for its production of flavor-forming metabolites and exopolysaccharides, and its inclusion in starter cultures and biocatalytic systems. However, the application of advanced genetic tools to L. mesenteroides remains hindered by multiple barriers, including inefficient DNA transfer, elevated endogenous nuclease activity, and restriction–modification systems sensitive to plasmid methylation patterns. As a result, even widely accepted electroporation methodologies often yield inconsistent or irreproducible transformation results, limiting the strain’s amenability to metabolic engineering and synthetic biology applications. In this study, a reproducible electroporation protocol for the L. mesenteroides strain H32-02 Ksu is developed and experimentally validated. The protocol concept relies on the sequential optimization of key process steps: targeted weakening of the cell wall followed by osmotic protection, the development of a gentle electrical stimulus that ensures membrane permeability without critical damage, and the creation of recovery conditions that minimize loss of viability and degradation of incoming DNA. Matching plasmid methylation to the recipient’s restriction profile proved critical: choosing a source for plasmid DNA production with a compatible methylation pattern dramatically increased the likelihood of successful transformation. In our case, the selection of an E. coli strain with a more suitable methylation profile increased the yield of transformants by 3.5 times. It was also shown that reducing the pulse voltage increase transformant number by 3 times. The combined optimization resulted in an approximately 40-fold increase in transformation efficiency compared to the baseline level and, for the first time, provided consistently reproducible access to transformants of this strain. The highest transformation efficiency was achieved: 8 × 102 CFU µg−1 DNA. The presented approach highlights the strain-specificity of barriers in Leuconostoc and forms a technological basis for constructing strains with desired properties, expressing heterologous enzymes, and subsequently scaling up bioprocesses in food and related industries. The methodological principles embodied in the protocol are potentially transferable to other lactic acid bacteria with similar limitations. Full article
Show Figures

Figure 1

17 pages, 1252 KB  
Article
Optimization of an Automated Substrate Irrigation System Using the SAC Reinforcement Learning Agent
by Žydrūnas Kavaliauskas, Giedrius Blažiūnas and Igor Šajev
Appl. Sci. 2025, 15(23), 12715; https://doi.org/10.3390/app152312715 - 1 Dec 2025
Viewed by 206
Abstract
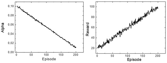
This study presents the optimization of an automated mushroom substrate irrigation system by integrating a Soft Actor-Critic (SAC) reinforcement learning agent with a recursive LSTM prediction model. The system, based on a Siemens S7-1200 PLC, CS650 dielectric sensors, and an Ethernet-based data architecture, [...] Read more.
This study presents the optimization of an automated mushroom substrate irrigation system by integrating a Soft Actor-Critic (SAC) reinforcement learning agent with a recursive LSTM prediction model. The system, based on a Siemens S7-1200 PLC, CS650 dielectric sensors, and an Ethernet-based data architecture, provides real-time control of humidity, temperature, and electrical conductivity. Experimental data analysis shows that the SAC agent increases the episodic reward from 20–32 to 90–100 units over 200 episodes, stably maintaining the substrate moisture in the range of 61–65%. The LSTM model achieved a Validation Loss of 0.016–0.022, accurately predicting the hydro-physical parameters. Compared to traditional PID controllers, the SAC-based system reduces humidity deviations by 35–40%, reduces the risk of overwatering and drying out, and increases mycelium colonization. The results confirm that the developed cyber-bioprocess platform increases the stability of the mushroom cultivation process, water use efficiency, and product quality and shows potential for industrial application, which must be validated in larger-scale trials. Full article
Show Figures

Figure 1

23 pages, 2706 KB  
Review
Sustainable Production of Alternative Proteins from Basidiomycetes: Valorization of Mycelial and Fruiting Body Biomass
by Amanda Rubia de Figueiredo Trindade, Isadora de Brito Hilario, Ederson Aparecido Gimenes da Rocha, Leonardo Antônio da Rosa Borges dos Santos, Cristina Giatti Marques de Souza, Marina Proença Dantas, Bruna Mayara Roldão Ferreira, Rúbia Carvalho Gomes Corrêa, Natália Ueda Yamaguchi, Adelar Bracht and Rosane Marina Peralta
Processes 2025, 13(11), 3746; https://doi.org/10.3390/pr13113746 - 20 Nov 2025
Viewed by 576
Abstract
Global population growth, climate change, and the environmental impact of livestock production have accelerated the search for sustainable and efficient protein sources. Fruiting bodies (mushrooms) and mycelial biomass have emerged as promising alternatives due to their high nutritional quality, low ecological footprint, and [...] Read more.
Global population growth, climate change, and the environmental impact of livestock production have accelerated the search for sustainable and efficient protein sources. Fruiting bodies (mushrooms) and mycelial biomass have emerged as promising alternatives due to their high nutritional quality, low ecological footprint, and compatibility with circular bioeconomy principles. This review highlights the nutritional, biotechnological, and environmental aspects of fungal proteins obtained from both fruiting bodies and mycelial biomass of Basidiomycetes. Emphasis is placed on amino acid composition, protein digestibility, and advances in cultivation and fermentation systems for large-scale production. Submerged and solid-state fermentation processes are analyzed in terms of scalability, resource efficiency, and integration with agro-industrial residues for sustainable bioprocessing. Comparative analyses reveal that mycelial biomass production achieves high protein yields with significantly reduced land, water, and energy requirements compared to conventional protein sources. Emerging fungal species such as Schizophyllum commune and Auricularia polytricha demonstrate strong potential for producing protein-rich mycelia applicable to functional and plant-based foods. Finally, the review discusses current technological innovations, regulatory frameworks, and market perspectives that position fungal biomass as a strategic component in the ongoing global protein transition. Full article
Show Figures

Figure 1

22 pages, 2899 KB  
Article
Integrated Bioprocess and Response Surface Methodology-Based Design for Hydraulic Conductivity Reduction Using Sporosarcina pasteurii
by Şule Eryürük, Kağan Eryürük and Arata Katayama
Minerals 2025, 15(11), 1215; https://doi.org/10.3390/min15111215 - 18 Nov 2025
Viewed by 361
Abstract
This study examines key bioprocess parameters influencing the reduction in hydraulic conductivity in porous media via Microbially-Induced Calcite Precipitation (MICP), highlighting its relevance to environmental engineering applications such as bio-barriers and landfill liners. Sporosarcina pasteurii was utilized as the ureolytic bacterium to induce [...] Read more.
This study examines key bioprocess parameters influencing the reduction in hydraulic conductivity in porous media via Microbially-Induced Calcite Precipitation (MICP), highlighting its relevance to environmental engineering applications such as bio-barriers and landfill liners. Sporosarcina pasteurii was utilized as the ureolytic bacterium to induce calcium carbonate precipitation under controlled laboratory conditions. Experimental variables included bacterial cell density (OD600), diameter of glass beads, concentrations of precipitation solution, bentonite, and yeast extract. A total of 42 experimental runs were conducted based on a custom design in Design-Expert software. Hydraulic conductivity was selected as the response variable to evaluate treatment performance. Response surface methodology (RSM) was applied to develop a second-order polynomial model, with statistical analyses indicating a strong model fit (R2 = 0.948, adjusted R2 = 0.929, predicted R2 = 0.868). ANOVA confirmed the significance of the main effects and interactions, particularly those involving glass bead diameter and OD600. Among the tested factors, the precipitation solution exhibited the strongest individual effect, while bentonite and yeast extract demonstrated supportive roles. Optimization revealed that a balanced combination of microbial density and chemical inputs minimized hydraulic conductivity to 0.0399 cm/s (≈95% reduction), with an overall desirability score of 1.000. Laboratory-scale experiments demonstrated field-scale applicability, underscoring the potential of biotechnological soil treatment and empirical modeling for developing sustainable low-permeability barriers. Full article
(This article belongs to the Section Biomineralization and Biominerals)
Show Figures

Figure 1

14 pages, 2854 KB  
Article
Enhanced Bioprocess Performance and β-Glucosidase Productivity of a Novel Komagataella phaffii Strain Generated by Intraspecific Crossing
by Edgar Velastegui, Johan Quezada, Belén Ponce, Cristóbal Adrián, Benjamin Offei, Kenneth H. Wolfe, Julio Berríos and Stephanie Braun-Galleani
Fermentation 2025, 11(11), 634; https://doi.org/10.3390/fermentation11110634 - 7 Nov 2025
Viewed by 771
Abstract
This research characterized a novel Komagataella phaffii strain generated through intraspecific crossing between a wild isolate and a laboratory strain. This segregant, called S467, expressed 2.2-fold more secreted recombinant β-glucosidase than its parental strains in microtiter scale, which suggested that S467 could be [...] Read more.
This research characterized a novel Komagataella phaffii strain generated through intraspecific crossing between a wild isolate and a laboratory strain. This segregant, called S467, expressed 2.2-fold more secreted recombinant β-glucosidase than its parental strains in microtiter scale, which suggested that S467 could be an attractive host for bioprocess optimization. S467 was grown alongside the laboratory strain CBS7435 expressing β-glucosidase (CBS_BGL9), as a control, in a 1.5 L bioreactor to determine kinetics parameters, and similar cell growth rate (0.12 h−1) but higher recombinant protein activity, measured as enzymatic activity, was observed in S467. The effect of specific cell growth rate was studied using continuous cultures (chemostat) at different dilution rates, identifying conditions that provided up to a twofold increase in enzymatic activity in S467. RT-qPCR was conducted on key genes associated with the genetic background of S467, in order to clarify differences at the transcriptomic level that render S467 as a potential superior host for recombinant protein production. Overall, this study provides quantitative evidence of the positive effect of the natural isolate IRA1 allele for the generation of recombinant β-glucosidase and highlights the usability of natural genetic diversity in K. phaffii. Full article
(This article belongs to the Special Issue Yeast Fermentation, 2nd Edition)
Show Figures

Figure 1

19 pages, 1890 KB  
Article
Mathematical Modeling of a Continuous Multistage Ethanol Production Bioprocess on an Industrial Scale
by Samuel C. Oliveira, Rafael H. Gonçalves and Ivan Ilich Kerbauy Veloso
Biomass 2025, 5(4), 65; https://doi.org/10.3390/biomass5040065 - 20 Oct 2025
Viewed by 527
Abstract
In this study, a mathematical model was proposed for a continuous, multistage, industrial-scale alcoholic fermentation process, comprising four vats in series with volumes equal to 600 m3, with separation, acid treatment, and cell recycling from the fourth to the first vat. [...] Read more.
In this study, a mathematical model was proposed for a continuous, multistage, industrial-scale alcoholic fermentation process, comprising four vats in series with volumes equal to 600 m3, with separation, acid treatment, and cell recycling from the fourth to the first vat. The system was operated daily under variable volumetric flow rates and substrate concentrations in the feed stream, i.e., F0 = 93–127 m3/h and S0 = 210–238 g/L. The mathematical model consisted of mass balance equations for cells, substrate, and product in the vats, the separator, and the acid treatment unit. An unsegregated and unstructured approach was used to describe the microbial population, with the kinetics of cell growth, substrate consumption, and product formation represented by equations generally adopted for alcoholic fermentation. The model parameters were estimated by nonlinear regression, providing typical values for alcoholic fermentation. Model predictions agreed well with both the experimental data used in the parameter estimation step and those used in the model validation step. Full article
Show Figures

Graphical abstract

22 pages, 1899 KB  
Review
Integrated Bioprocesses for Urban Food Waste: Insights into Biological Pathways, Process Integration, and Circular Economy Perspectives
by Sophia Bezerra da Silva, Rayssa Karla Silva, Íthalo Barbosa Silva de Abreu, Maria Helena de Sousa, Emmanuel Damilano Dutra, Allan Almeida Albuquerque, Marcos Antonio de Morais Junior and Rafael Barros de Souza
Recycling 2025, 10(5), 188; https://doi.org/10.3390/recycling10050188 - 2 Oct 2025
Viewed by 1145
Abstract
Food waste (FW) presents a critical issue, representing an environmental liability and a largely untapped resource. Its heterogeneity and low valorization rate among main-stream alternative treatments challenge its integration into economically and environmentally sustainable bioprocesses. We explore biorefineries as a solution that can [...] Read more.
Food waste (FW) presents a critical issue, representing an environmental liability and a largely untapped resource. Its heterogeneity and low valorization rate among main-stream alternative treatments challenge its integration into economically and environmentally sustainable bioprocesses. We explore biorefineries as a solution that can address the complexity of urban food waste through biological strategies capable of converting food waste into valuable products. Exploring the current landscape of FW biorefineries, this study focused on the interplay between feedstock heterogeneity, pretreatment strategies, microbial dynamics, and integration potential. We propose a framework distinguishing between robust fermentations that can use minimally treated FW and tailored fermentations, which require refined media pretreatment and/or supplementation to yield higher-value compounds. Drawing on recent techno-economic and life cycle assessments, this article evaluates process viability and environmental impacts across multiple scales, reinforcing the need for robust analysis to support decision-making. Real-world initiatives and policy frameworks are analyzed to contextualize technological advances within regulatory and infrastructural realities. By linking practical constraints to biochemical and operational strategies, this work outlines how food waste biorefineries can contribute meaningfully to circular economy goals. Instead of treating FW as an intractable problem, it is seen as a versatile feedstock that demands integration, investment, and adaptive process design. Full article
Show Figures

Figure 1

22 pages, 402 KB  
Review
Influence of Culture Conditions on Bioactive Compounds in Cordyceps militaris: A Comprehensive Review
by Hye-Jin Park
Foods 2025, 14(19), 3408; https://doi.org/10.3390/foods14193408 - 1 Oct 2025
Viewed by 3056
Abstract
Cordyceps militaris (C. militaris) is a medicinal fungus renowned for its diverse therapeutic properties, largely attributed to bioactive compounds such as cordycepin, polysaccharides, adenosine, D-mannitol, carotenoids, and ergosterol. However, the production and composition of these metabolites are highly influenced by cultivation [...] Read more.
Cordyceps militaris (C. militaris) is a medicinal fungus renowned for its diverse therapeutic properties, largely attributed to bioactive compounds such as cordycepin, polysaccharides, adenosine, D-mannitol, carotenoids, and ergosterol. However, the production and composition of these metabolites are highly influenced by cultivation conditions, highlighting the need for systematic optimization strategies. This review synthesizes current findings on how nutritional factors—including carbon and nitrogen sources, their ratios, and trace elements—and environmental parameters such as oxygen availability, pH, temperature, and light regulate C. militaris metabolite biosynthesis. The impacts of solid-state fermentation (using grains, insects, and agro-industrial residues) and liquid state fermentation (submerged and surface cultures) are compared, with attention to their roles in mycelial growth, fruiting body formation, and secondary metabolite production. Special emphasis is placed on mixed grain–insect substrates and light regulation, which have emerged as promising methods to enhance cordycepin accumulation. Beyond summarizing advances, this review also identifies key knowledge gaps that must be addressed: (i) the incomplete understanding of metabolite regulatory networks, (ii) the absence of standardized cultivation protocols, and (iii) unresolved challenges in scale-up, including oxygen transfer, foam control, and downstream processing. We propose that future research should integrate multi-omics approaches with bioprocess engineering to overcome these limitations. Collectively, this review highlights both current progress and remaining challenges, providing a roadmap for advancing the sustainable, scalable, and application-driven production of bioactive compounds from C. militaris. Full article
(This article belongs to the Special Issue Mushrooms and Edible Fungi as Future Foods)
Show Figures

Figure 1

16 pages, 1260 KB  
Article
Trichoderma harzianum Enzyme Production in Stirred Solid-State Bioreactors as a Strategy for Valorizing Water Hyacinth
by Nohemi López-Ramírez, Ernesto Favela-Torres, Tania Volke-Sepúlveda and Fernando Méndez-González
Waste 2025, 3(4), 30; https://doi.org/10.3390/waste3040030 - 25 Sep 2025
Viewed by 860
Abstract
Water hyacinth is an invasive weed that can valorize through the production of hydrolytic enzymes via solid-state culture. This study explores the application of Trichoderma harzianum in producing xylanases and endoglucanases on water hyacinth beds. Laboratory-scale packed-bed column bioreactors (PBCBs) with a capacity [...] Read more.
Water hyacinth is an invasive weed that can valorize through the production of hydrolytic enzymes via solid-state culture. This study explores the application of Trichoderma harzianum in producing xylanases and endoglucanases on water hyacinth beds. Laboratory-scale packed-bed column bioreactors (PBCBs) with a capacity of 8 grams of dry mass (gdm) were used to evaluate the effects of temperature (28–36 °C) and initial moisture content (65–80%) on microbial growth and enzyme production. High yields of biomass and enzymes were produced at 30 °C. Moreover, xylanase activity was enhanced in cultures with a moisture content of 65% (~71.24 U/gdm), and endoglucanase activity at 75–80% moisture (~20.13 U/gdm). The operational conditions identified for xylanase production were applied to 6 L bench-scale cross-flow internally stirred bioreactors, packed to 40% capacity with 450 gdm. Two stirring regimes were tested: intermittent and continuous. The results showed that continuous stirring promotes both microbial growth and xylanase activity. In fact, xylanase activity in continuous stirring conditions was comparable to that achieved in PBCBs. Consequently, continuous stirring enables a 56-fold increase in bioreactor capacity without compromising xylanase production. The approaches developed in this study can support the design of large-scale bioprocesses for the valorization of water hyacinth. Full article
Show Figures

Graphical abstract

20 pages, 7280 KB  
Article
Optimisation of Enzyme Lignin Degradation Using Response Surface Methodology for Sustainable Lignocellulosic By-Products Management
by Alexandra Burlacu (Grigoraș), Aglaia Popa and Florentina Israel-Roming
AgriEngineering 2025, 7(10), 314; https://doi.org/10.3390/agriengineering7100314 - 23 Sep 2025
Viewed by 825
Abstract
The efficient degradation of lignin from agricultural by-products is a critical step in the development of sustainable bioprocessing technologies for waste valorisation. Enzymatic degradation of kraft lignin performed with lignin peroxidase (LiP), manganese peroxidase (MnP), and laccase (Lac) was investigated. A response surface [...] Read more.
The efficient degradation of lignin from agricultural by-products is a critical step in the development of sustainable bioprocessing technologies for waste valorisation. Enzymatic degradation of kraft lignin performed with lignin peroxidase (LiP), manganese peroxidase (MnP), and laccase (Lac) was investigated. A response surface methodology (RSM) based on a Box–Behnken Design (BBD) was employed in order to optimise key process parameters including enzyme concentration, lignin concentration, pH, incubation temperature, and activator concentration. The surface plots were used to determine the best conditions for each enzyme in order to better degrade kraft lignin. Therefore, LiP needed a stronger acidic environment and moderate temperature, MnP needed an almost neutral pH and moderate temperature, and Lac needed a neutral pH and higher temperature. This work contributes to the development of smart agricultural waste management practices by combining enzymatic treatments with statistical modelling for process optimisation. This study provides a framework for lignin degradation that can be used as a starting point for diverse lignocellulosic by-product fragmentation, thus supporting a circular bioeconomy initiative in accordance with today’s trends. The optimised enzymatic parameters could help enhance efficiency, enable process standardisation across feedstocks, and support economically and environmentally sustainable industrial-scale lignin valorisation in integrated biorefineries. Full article
(This article belongs to the Section Sustainable Bioresource and Bioprocess Engineering)
Show Figures

Figure 1

32 pages, 4308 KB  
Review
Harnessing Microbial Power for a Sustainable Future Food System
by Andreea Loredana Birgovan (Rhazzali), Elena Simina Lakatos, Lucian Ionel Cioca, Natalia Lorela Paul, Sorin Daniel Vatca, Erzsebeth Kis and Roxana Lavinia Pacurariu
Microorganisms 2025, 13(9), 2217; https://doi.org/10.3390/microorganisms13092217 - 22 Sep 2025
Cited by 1 | Viewed by 1303
Abstract
Microorganisms are transforming the way we address sustainability across agriculture, food production, waste remediation, bioenergy, and industrial bioprocessing, offering novel solutions for the food systems of tomorrow. This systematic review examines literature from the last twenty years in order to identify key advances, [...] Read more.
Microorganisms are transforming the way we address sustainability across agriculture, food production, waste remediation, bioenergy, and industrial bioprocessing, offering novel solutions for the food systems of tomorrow. This systematic review examines literature from the last twenty years in order to identify key advances, challenges, and future directions in harnessing microbial systems for sustainable applications, especially those underpinning a resilient future food system. The selected documents allowed a mapping of the most important trends: innovations based on metabolic engineering and omics, the use of integrated biorefineries, and digital monitoring platforms are emerging as catalysts for the transition, while high scaling costs, regulatory challenges, and low public acceptance continue to limit large-scale implementation. The analysis highlights both the major advantages (reducing ecological impact, valorizing waste, diversifying food sources) and the current limits of these technologies, proposing a multi-stakeholder roadmap to accelerate the transition to a circular bioeconomy and a low-carbon and climate-resilient food system. Full article
(This article belongs to the Special Issue Harnessing Microbial Power for a Sustainable Future)
Show Figures

Figure 1

26 pages, 1203 KB  
Review
Recent Advances on Seaweed-Derived Pigments for FoodApplication and Current Legal Framework
by Elsa F. Vieira, Lígia Rebelo Gomes, Clara Grosso and Cristina Delerue-Matos
Foods 2025, 14(18), 3265; https://doi.org/10.3390/foods14183265 - 20 Sep 2025
Cited by 1 | Viewed by 1686
Abstract
The increasing demand for natural and health-promoting food ingredients has spotlighted seaweed-derived pigments as promising alternatives to synthetic colorants. This review explores the potential of chlorophylls, carotenoids, and phycobiliproteins extracted from various seaweed species for use in the food industry. These pigments offer [...] Read more.
The increasing demand for natural and health-promoting food ingredients has spotlighted seaweed-derived pigments as promising alternatives to synthetic colorants. This review explores the potential of chlorophylls, carotenoids, and phycobiliproteins extracted from various seaweed species for use in the food industry. These pigments offer not only a wide range of colors but also exhibit bioactivities such as antioxidant, anti-inflammatory, and anticancer effects. The paper discusses recent advancements in sustainable aquaculture practices, extraction, purification, and stabilization techniques, including green and microencapsulation methods, to enhance pigment yield and shelf life. Furthermore, it highlights the regulatory landscape in the European Union and the United States, identifying key differences and challenges regarding pigment approval and commercialization. Despite their potential, large-scale industrial adoption remains constrained by technical, economic, and regulatory hurdles. Bridging these gaps through optimized bioprocesses and safety assessments is essential to fully leverage seaweed pigments in food systems. Full article
Show Figures

Figure 1

29 pages, 1718 KB  
Review
Bacillus Pectinases as Key Biocatalysts for a Circular Bioeconomy: From Green Extraction to Process Optimization and Industrial Scale-Up
by Fatima Zohra Kaissar, Khelifa Bouacem, Mohammed Lamine Benine, Sondes Mechri, Shubha Rani Sharma, Vishal Kumar Singh, Mahfoud Bakli, Seif El Islam Lebouachera and Giovanni Emiliani
BioTech 2025, 14(3), 74; https://doi.org/10.3390/biotech14030074 - 19 Sep 2025
Cited by 1 | Viewed by 1561
Abstract
Pectins are high-value plant cell-wall polysaccharides with extensive applications in the food, pharmaceutical, textile, paper, and environmental sectors. Traditional extraction and processing methodologies rely heavily on harsh acids, high temperatures, and non-renewable solvents, generating substantial environmental and economic costs. This review consolidates recent [...] Read more.
Pectins are high-value plant cell-wall polysaccharides with extensive applications in the food, pharmaceutical, textile, paper, and environmental sectors. Traditional extraction and processing methodologies rely heavily on harsh acids, high temperatures, and non-renewable solvents, generating substantial environmental and economic costs. This review consolidates recent advances across the entire Bacillus–pectinase value chain, from green pectin extraction and upstream substrate characterization, through process and statistical optimization of enzyme production, to industrial biocatalysis applications. We propose a practical roadmap for developing high-efficiency, low-environmental-footprint enzyme systems that support circular bioeconomy objectives. Critical evaluation of optimization strategies, including submerged versus solid-state fermentation, response surface methodology, artificial neural networks, and design of experiments, is supported by comparative data on strain performance, fermentation parameters, and industrial titers. Sector-specific case studies demonstrate the efficacy of Bacillus pectinases in fruit-juice clarification, textile bio-scouring, paper bio-bleaching, bio-based detergents, coffee and tea processing, oil extraction, animal feed enhancement, wastewater treatment, and plant-virus purification. Remaining challenges, including enzyme stability in complex matrices, techno-economic scale-up, and structure-guided protein engineering, are identified. Future directions are charted toward CRISPR-driven enzyme design and fully integrated circular-economy bioprocessing platforms. Full article
(This article belongs to the Section Industry, Agriculture and Food Biotechnology)
Show Figures

Graphical abstract

17 pages, 1473 KB  
Article
Cascade Oxygen Control Enhances Growth of Nicotiana benthamiana Cell Cultures in Stirred-Tank Bioreactors
by Fuensanta Verdú-Navarro, Juan Antonio Moreno-Cid, Julia Weiss and Marcos Egea-Cortines
Plants 2025, 14(18), 2879; https://doi.org/10.3390/plants14182879 - 16 Sep 2025
Viewed by 953
Abstract
Plant cell cultures offer a promising platform for producing valuable biomolecules, yet their use in bioreactors remains under-optimized. Compared to animal or microbial cells, plant cells grow more slowly, limiting productivity. A common bioprocess strategy to improve yields involves controlling dissolved oxygen (DO) [...] Read more.
Plant cell cultures offer a promising platform for producing valuable biomolecules, yet their use in bioreactors remains under-optimized. Compared to animal or microbial cells, plant cells grow more slowly, limiting productivity. A common bioprocess strategy to improve yields involves controlling dissolved oxygen (DO) levels. However, little research has focused on combining agitation and aeration to regulate oxygen in plant cell cultures within bioreactors. The aim of this study was to evaluate the impact of an oxygen cascade mixing agitation and aeration on plant cell growth in stirred-tank systems. By maintaining 30% DO through this approach, the specific growth rate (µ) increased from 0.082 d−1 to 0.144 d−1 on average in Nicotiana benthamiana cultures at the 2 L scale, decreasing batch lengths from 21 to 10 days. These conditions were successfully replicated in a 7 L stainless-steel pilot bioreactor using previous values of geometry, kLa and NRE as scale-up criteria, obtaining a µ of 0.161 d−1. These results demonstrate that plant cell cultures’ efficiency can be enhanced by using standard bioprocess parameters. While this work confirms the feasibility of cascade oxygen control for improvements in growth, further studies are needed to evaluate its specific impact on biomolecule production across different systems. Full article
Show Figures

Figure 1

30 pages, 1548 KB  
Review
Innovations, Challenges, and Regulatory Pathways in Cultured Meat for a Sustainable Future
by Imad Khan, Jiage Sun, Wanmei Liang, Rui Li, Kit-Leong Cheong, Zehua Qiu and Qiuyu Xia
Foods 2025, 14(18), 3183; https://doi.org/10.3390/foods14183183 - 12 Sep 2025
Cited by 1 | Viewed by 2815
Abstract
Cultured meat is produced through cellular agriculture and tissue engineering and has emerged as a promising alternative to conventional animal-based meat production. Cultured meat, produced through cellular agriculture and tissue engineering, offers a sustainable alternative to conventional meat production. This review outlines the [...] Read more.
Cultured meat is produced through cellular agriculture and tissue engineering and has emerged as a promising alternative to conventional animal-based meat production. Cultured meat, produced through cellular agriculture and tissue engineering, offers a sustainable alternative to conventional meat production. This review outlines the potential of diverse stem cell sources, including satellite cells, embryonic stem cells, and induced pluripotent stem cells, for producing muscle and adipose tissue. Advances in bioprocess development, biomaterials, and bioreactor design are discussed, with an emphasis on scalability, cost reduction, and regulatory considerations. Despite progress, key challenges remain: replicating the nutritional composition and sensory qualities of conventional meat, developing serum-free media, and ensuring consistent large-scale production. Recent studies report cost reductions of up to 90% in culture media and successful bioreactor expansions beyond 50 L, yet industrial translation is still limited. Consumer acceptance and clear regulatory frameworks are also critical for commercialization. Future work should focus on integrating cellular innovations with scalable technologies to overcome current bottlenecks and accelerate market readiness. Full article
Show Figures

Graphical abstract

Back to TopTop