Sign in to use this feature.

Years

Between: -

Subjects

remove_circle_outline
remove_circle_outline
remove_circle_outline
remove_circle_outline
remove_circle_outline
remove_circle_outline
remove_circle_outline
remove_circle_outline
remove_circle_outline

Journals

remove_circle_outline
remove_circle_outline
remove_circle_outline
remove_circle_outline
remove_circle_outline
remove_circle_outline
remove_circle_outline
remove_circle_outline
remove_circle_outline
remove_circle_outline
remove_circle_outline
remove_circle_outline
remove_circle_outline
remove_circle_outline
remove_circle_outline

Article Types

Countries / Regions

remove_circle_outline
remove_circle_outline
remove_circle_outline
remove_circle_outline
remove_circle_outline
remove_circle_outline
remove_circle_outline

Search Results (513)

Search Parameters:
Keywords = bio-guiding

Order results
Result details
Results per page
Select all
Export citation of selected articles as:
19 pages, 1351 KB  
Hypothesis
Mars Potato Cultivation: Analysis, Challenges, Sustainable Scientific Conceptions
by Bohao Yang and Yunjiang Liang
Life 2026, 16(2), 281; https://doi.org/10.3390/life16020281 - 5 Feb 2026
Abstract
As human space exploration advances towards establishing sustainable Martian habitats, achieving autonomous food production is a critical requirement. The potato (Solanum tuberosum L.), with its notable environmental resilience and nutritional efficiency, is a prime candidate crop. This study develops a conceptual framework [...] Read more.
As human space exploration advances towards establishing sustainable Martian habitats, achieving autonomous food production is a critical requirement. The potato (Solanum tuberosum L.), with its notable environmental resilience and nutritional efficiency, is a prime candidate crop. This study develops a conceptual framework for Martian potato cultivation by systematically analyzing the profound disparities between Martian conditions and plant physiology. We identify and evaluate seven fundamental challenges: atmospheric composition, extreme temperatures, water scarcity, soil properties, nutrient deficiencies, absent microbiota, and radiation/gravity effects. To address these challenges, we propose a phased, testable roadmap comprising four stages: (I) screening and bio-engineering of multi-stress-tolerant potato genotypes; (II) phased domestication via Earth-based analog experiments to define adaptability thresholds; (III) deployment of a controlled cultivation module within a Martian habitat, integrating targeted technological interventions; and (IV) conceptual exploration of extra-habitat agricultural potential. The primary contribution of this work is a structured set of hypotheses and key performance indicators for each stage, translating visionary goals into a defined research agenda to guide future empirical work in extraterrestrial agronomy. Full article
(This article belongs to the Section Astrobiology)
Show Figures

Figure 1

18 pages, 1524 KB  
Article
Metal Concentrations in Edible Leafy Vegetables and Their Potential Risk to Human Health
by Elizabeth Kola, Linton F. Munyai, Caswell Munyai, Sydney Moyo, Farai Dondofema, Naicheng Wu and Tatenda Dalu
Int. J. Environ. Res. Public Health 2026, 23(2), 188; https://doi.org/10.3390/ijerph23020188 - 31 Jan 2026
Viewed by 227
Abstract
Leafy green vegetables provide important nutrients for human growth; however, human health is highly compromised through consumption of vegetables contaminated by heavy metals. Therefore, the study aimed to investigate the bioaccumulation of heavy metals in five different leafy green vegetables and soils and [...] Read more.
Leafy green vegetables provide important nutrients for human growth; however, human health is highly compromised through consumption of vegetables contaminated by heavy metals. Therefore, the study aimed to investigate the bioaccumulation of heavy metals in five different leafy green vegetables and soils and determine the human health risks that may arise from consuming those vegetables from Tonga town in Mpumalanga province, South Africa. Soils and five edible leafy vegetables (i.e., lettuce, cabbage, rape, pumpkin leaves, and spinach) were assessed for bio-concentration factor, daily intake of metals, health risk, and target hazard quotient across the study sites. The Si, K, Na, Ca, Mg, Al, and Fe concentrations were high in the soils. In general, vegetables exhibited elevated Ca, Fe, Si, Al, and Sr levels, although spinach had high Na concentrations. The bioconcentration factor showed the following trends: Mg > B > Si > V for trace metals and Cr > Co > Mn > Ni > B for heavy metals in lettuce, spinach, and pumpkin leaves. The human risk index for all vegetables showed that all metals were not likely to induce any health hazards to humans, and the target hazard quotient for B, Si, V, Al, Cr, Mn, Fe, Ni, Zn, and Pb showed potential for substantial health risk hazard. The findings of this study generally reveal that the concentrations of the analysed metals exceeded the permissible limits established by the World Health Organisation and the Food and Agricultural Organisation. Given the high levels of metals detected in the soil and vegetables within the study area, it is important to investigate the potential implications for human health and mitigate both acute and chronic health challenges associated with heavy metal exposure. Furthermore, this study will guide policymakers in developing improved regulations and safety standards for agricultural practices and environmental protection, particularly for vulnerable peri-urban and rural communities. Full article
Show Figures

Figure 1

30 pages, 4522 KB  
Review
Research Progress and Prospects of Pyrolysis Oil from Corn Stover Lignin Extracted by Switchable Solvents
by Yuyang Zu, Jing Yu, Keda Wang, Liyuan Ma, Yuefeng Chang and Kelong Cao
Processes 2026, 14(3), 475; https://doi.org/10.3390/pr14030475 - 29 Jan 2026
Viewed by 144
Abstract
Amid global energy crises and environmental pollution, the valorization of renewable biomass resources like corn stover lignin is crucial. This review systematically examines the innovative application of switchable solvents (CO2-responsive, thermo-responsive, pH-responsive) for extracting lignin from corn stover and its subsequent [...] Read more.
Amid global energy crises and environmental pollution, the valorization of renewable biomass resources like corn stover lignin is crucial. This review systematically examines the innovative application of switchable solvents (CO2-responsive, thermo-responsive, pH-responsive) for extracting lignin from corn stover and its subsequent pyrolysis into bio-oil. We critically analyze the extraction mechanisms, key process parameters (e.g., solvent type, temperature, solid-to-liquid ratio), and their intricate effects on lignin yield and purity. Furthermore, we delve into the pyrolysis kinetics, product distribution influenced by conditions (temperature, atmosphere, catalysts), and comprehensive characterization of the resulting bio-oil. This review highlights the broad application prospects of pyrolysis oil in energy, chemical feedstocks, and niche markets, while frankly addressing current challenges: high costs, product quality issues, and technological immaturity. Finally, we propose future directions focusing on green solvent design, process intensification, multi-technique characterization protocols, and the imperative for integrated lifecycle and techno-economic assessments to guide sustainable industrialization. Full article
(This article belongs to the Section Chemical Processes and Systems)
Show Figures

Figure 1

33 pages, 4451 KB  
Article
Morphological and Performance Assessment of Commercial Menstrual and Incontinence Absorbent Hygiene Products
by Liesbeth Birchall, Millie Newmarch, Charles Cohen and Muhammad Tausif
Polymers 2026, 18(3), 318; https://doi.org/10.3390/polym18030318 - 24 Jan 2026
Viewed by 395
Abstract
Disposable absorbent hygiene products (AHPs) contain plastics that are challenging to recycle and not biodegradable, making a significant contribution to landfill. Decreasing the nonbiodegradable mass of products could reduce this burden. Despite this, public data on how AHP design and material selection relate [...] Read more.
Disposable absorbent hygiene products (AHPs) contain plastics that are challenging to recycle and not biodegradable, making a significant contribution to landfill. Decreasing the nonbiodegradable mass of products could reduce this burden. Despite this, public data on how AHP design and material selection relate to performance is limited. In this work, fifteen commercial AHPs were characterised using dimensional measurement, infrared spectroscopy, and imaging. Simulated urination, air permeability, and moisture management testing were used to assess expected leakage and user comfort. Sustainable materials currently in use were identified, and their performance compared to typical plastics, informing opportunities to replace or reduce nonbiodegradable materials. Polybutylene adipate terephthalate-based leakproof layers replaced polyolefins. Commercial alternatives to polyacrylate superabsorbent polymers (SAPs), with comparable absorption, were not seen. Although absorbency correlated with the mass of absorbants, SAPs reduced surface moisture after absorption and are known for high absorption capacity under pressure, preventing rewetting. Channels and side guards were observed to prevent side leakage and guide fluid distribution, potentially reducing the need for nonbiodegradable nonwoven and absorbant content by promoting efficient use of the full product mass. While synthetic nonwovens typically outperformed cellulosics, apertured and layered nonwovens were associated with improved moisture transport; polylactic acid rivalled typical thermoplastics as a bio-derived, compostable alternative. Although the need for biopolymer-based SAPs and foams remains, it is hoped that these findings will guide AHP design and promote research in sustainable materials. Full article
(This article belongs to the Section Polymer Analysis and Characterization)
Show Figures

Graphical abstract

34 pages, 3582 KB  
Review
Metalloprotein-Based Nanomedicines: Design Strategies, Functional Mechanisms, and Biomedical Applications
by Tingting Ma, Zhongwei Mao, Bin Xue, Yi Cao and Wei Sun
Int. J. Mol. Sci. 2026, 27(2), 1076; https://doi.org/10.3390/ijms27021076 - 21 Jan 2026
Viewed by 402
Abstract
Metalloprotein-based nanomedicines integrate the multifunctionality of metal centers with the engineerability of proteins to construct advanced nanoplatforms for targeted delivery, diagnostic imaging, and multimodal therapy. In these nanomedicines, metal ions or clusters act as functional cores, enabling imaging contrast enhancement, catalytic reactions, and [...] Read more.
Metalloprotein-based nanomedicines integrate the multifunctionality of metal centers with the engineerability of proteins to construct advanced nanoplatforms for targeted delivery, diagnostic imaging, and multimodal therapy. In these nanomedicines, metal ions or clusters act as functional cores, enabling imaging contrast enhancement, catalytic reactions, and modulation of pathological microenvironments, while protein frameworks provide structural stability, intrinsic biocompatibility, and programmable bio-interfaces. This review summarizes the design principles of three major metalloprotein-based nanomedicines, including native metalloproteins, engineered metalloproteins, and metal–protein hybrid nanostructures, with a focus on ferritin, transferrin, and heme/cytochrome proteins in the contexts of cancer therapy, imaging diagnostics, antimicrobial, and anti-resistance applications. Through discussion of representative metal- and metalloprotein-based nanomedicine candidates, this review highlights the current challenges and outlines opportunities brought by emerging technologies such as artificial intelligence-guided protein design. Collectively, these advances underscore metal- and metalloprotein-based nanomedicines as multifunctional, tunable, and clinically promising platforms that are poised to become an important pillar of future nanomedicine. Full article
(This article belongs to the Special Issue Nanoparticles in Molecular Pharmaceutics)
Show Figures

Figure 1

25 pages, 1343 KB  
Article
Nature-Based Health Interventions for People with Mild to Moderate Anxiety, Depression, and/or Stress: Identifying Target Groups, Professionals, Mechanisms, and Outcomes Through a Delphi Study
by Louise S. Madsen, Knud Ryom, Liv J. Nielsen, Dorthe V. Poulsen and Nanna H. Jessen
Int. J. Environ. Res. Public Health 2026, 23(1), 126; https://doi.org/10.3390/ijerph23010126 - 20 Jan 2026
Viewed by 308
Abstract
Nature-based health interventions (NBHIs) are increasingly used in the healthcare system to support people with anxiety, depression and/or stress, highlighting the need for systematic development and evaluation. This study aims to identify target group, professionals, mechanisms, and outcomes of NBHIs for people with [...] Read more.
Nature-based health interventions (NBHIs) are increasingly used in the healthcare system to support people with anxiety, depression and/or stress, highlighting the need for systematic development and evaluation. This study aims to identify target group, professionals, mechanisms, and outcomes of NBHIs for people with mild to moderate anxiety, depression, and/or stress. A Delphi-based study was conducted to explore core components of NBHIs in healthcare settings. Thirteen vs. eleven researchers with expertise related to the target group responded in two rounds. Respondents rated statements on a 7-point Likert scale and prioritised core components regarding target group, professionals, mechanisms, and outcomes. A thematic analysis was applied to synthesise qualitative responses. Consensus was achieved on 12 of 21 items across the four domains. Highest agreement concerned core mechanisms (nature interaction, social community, and physical activity), outcome priorities (mental wellbeing and quality of life), and professional competencies. Greater variation was observed regarding group composition and team delivery. Analysis of qualitative expert responses highlighted four key themes: (1) Balancing Group Composition, (2) Adapting Competencies to Context, (3) Core Mechanisms for Change, and (4) Weighing Perspectives in Outcome Selection. By setting out guiding principles for a programme theory, the study lays the foundation for the design and implementation of context-adapted NBHIs. The study underscores the need to approach NBHIs as complex interventions, thus contributing to a paradigm shift towards a new era of a bio-psycho-social health perspective. Full article
(This article belongs to the Section Behavioral and Mental Health)
Show Figures

Figure 1

14 pages, 1853 KB  
Article
Identification of Six Phytotoxic Compounds as Plant Growth Inhibitors from Afzelia xylocarpa Leaves
by Ramida Krumsri, Yuka Asato, Shunya Tojo, Toshiaki Teruya and Hisashi Kato-Noguchi
Sustainability 2026, 18(2), 995; https://doi.org/10.3390/su18020995 - 19 Jan 2026
Viewed by 218
Abstract
Plant-derived phytotoxins are widely investigated as sustainable alternatives to synthetic herbicides; however, a major limitation is the insufficient chemical characterization of active constituents in many promising candidate species, including Afzelia xylocarpa (Kurz) Craib. In this study, the phytotoxicity of A. xylocarpa leaves and [...] Read more.
Plant-derived phytotoxins are widely investigated as sustainable alternatives to synthetic herbicides; however, a major limitation is the insufficient chemical characterization of active constituents in many promising candidate species, including Afzelia xylocarpa (Kurz) Craib. In this study, the phytotoxicity of A. xylocarpa leaves and their phytotoxic compounds were investigated to evaluate their potential value as a bioherbicide. The results showed the A. xylocarpa leaf extracts suppressed the seedling growth of Lepidium sativum L., Lactuca sativa L., and Lolium multiflorum Lam. Six compounds were obtained from the A. xylocarpa leaf extracts using bio-guided fractionation and were identified as (+)-dehydrovomifoliol (1), (3R,6R,7E)-3-hydroxy-4,7-megastigmadien-9-one (2), (+)-3-hydroxy-β-ionone (3), (S)-N-(1-hydroxy-3-phenylpropan-2-yl) benzamide (4), isololiolide (5), and (+)-lariciresinol (6). Compounds 1 to 6 significantly reduced seed germination, seedling growth, and dry biomass accumulation into different extents (p < 0.05). L. sativum roots were more susceptible to all the obtained compounds than other growth parameters, except for compound 4. Based on the doses of six compounds required for 50% growth inhibition (defined as EC50 value), compound 3 (EC50 values = 227.4 to 582.3 µM) and compound 5 (EC50 values = 53.8 to 200.8 µM) were the most toxic against all the growth parameters of L. sativum and may be the principal active compounds of the A. xylocarpa leaf extracts. Such phytotoxic effects indicate that these six compounds could be candidates for bioherbicides. Full article
(This article belongs to the Special Issue Sustainable Agricultural Production and Crop Plants Protection)
Show Figures

Figure 1

28 pages, 11292 KB  
Article
Between Nature and City: Translating Nature’s Inspiration into Ecosystem Services Solutions for Hot Climate Resilience
by Ruaa M. Ismail, Merhan M. Shahda, Sara Eltarabily and Naglaa A. Megahed
Sustainability 2026, 18(2), 935; https://doi.org/10.3390/su18020935 - 16 Jan 2026
Viewed by 258
Abstract
The increasing challenges of urbanization and environmental degradation have led to a greater need for built environments that minimize ecological consequences while actively contributing to ecosystem services (ES). Bio-Inspired Design (BID) is a promising approach that translates natural-system ideas into architectural and urban [...] Read more.
The increasing challenges of urbanization and environmental degradation have led to a greater need for built environments that minimize ecological consequences while actively contributing to ecosystem services (ES). Bio-Inspired Design (BID) is a promising approach that translates natural-system ideas into architectural and urban solutions. This study investigates how BID can be used to deliver and improve ecosystem services, like climate regulation, air purification, and energy, in the built environment, focusing on applications in hot climates and at the meso scale. The study conducts a qualitative and integrative analysis of bio-inspired concepts derived from existing research and innovative practices. It examines specific ecosystem services—selected based on previous studies—and illustrates how these strategies can improve environmental performance in urban contexts. A conceptual framework for linking biological analogies to urban functions is proposed. The framework emphasizes the interdisciplinary relationships between architecture, urban design, material science, and environmental engineering. This provides a helpful guide for researchers and practitioners on how to use BID to enhance sustainability results. The study suggests that incorporating BID principles into urban design procedures can potentially transform built environments into active contributors to ecosystem functioning, enabling them to provide ES rather than merely consuming resources. While this conclusion is conceptual, the framework highlights pathways for more resilient and sustainable urban futures. Full article
(This article belongs to the Section Green Building)
Show Figures

Figure 1

17 pages, 2270 KB  
Article
Guided Implant Surgery in Oral Cancer Patients: Initial Clinical Experience from an Academic Point-of-Care Manufacturing Unit
by Manuel Tousidonis, Jose-Ignacio Salmeron, Santiago Ochandiano, Ruben Perez-Mañanes, Estela Gomez-Larren, Elena Aguilera-Jimenez, Carla de Gregorio-Bermejo, Diego Fernández-Acosta, Borja Gonzalez-Moure, Saad Khayat and Carlos Navarro-Cuellar
Medicina 2026, 62(1), 151; https://doi.org/10.3390/medicina62010151 - 12 Jan 2026
Viewed by 275
Abstract
Background and Objectives: Implant-supported rehabilitation after oral cancer surgery remains technically and biologically demanding due to altered anatomy, scar tissue, and prior radiotherapy. Digital workflows and hospital-based point-of-care (POC) manufacturing now enable personalized, prosthetically driven implant placement with static surgical guides fabricated [...] Read more.
Background and Objectives: Implant-supported rehabilitation after oral cancer surgery remains technically and biologically demanding due to altered anatomy, scar tissue, and prior radiotherapy. Digital workflows and hospital-based point-of-care (POC) manufacturing now enable personalized, prosthetically driven implant placement with static surgical guides fabricated within the clinical environment. This study reports the initial clinical experience of an academic POC manufacturing unit (UPAM3D) implementing static guided implant surgery in oral cancer patients and compares this approach with conventional outsourcing and dynamic navigation methods. Materials and Methods: A retrospective review of 30 consecutive cases (2021–2024) treated with POC-manufactured static guides was conducted using data from the UPAM3D registry. Each record included design, fabrication, and sterilization parameters compliant with ISO 13485 standards. Demographic, surgical, and prosthetic variables were analyzed, including anatomical site (maxilla or mandible), guide type, material, radiotherapy history, number of Ticare Implants®, and loading strategy. Results: All surgical guides were designed and 3D printed in-house using biocompatible resins (BioMed Clear, Dental SG, or LT Clear). The annual number of POC procedures increased progressively (2 → 6 → 6 → 16). Most cases involved oncologic reconstructions of the maxilla or mandible, including irradiated fields. When recorded, primary stability values (mean ISQ ≈ 79) allowed immediate or early loading (ISQ ≥ 70). No major intraoperative or postoperative complications occurred, and all guides met sterilization and traceability standards. Conclusions: Point-of-care manufacturing enables efficient, accurate, and patient-specific guided implant rehabilitation after oral cancer surgery, optimizing functional and esthetic outcomes while reducing procedural time and dependence on external providers. Integrating this process into clinical workflows supports personalized treatment planning and broadens access to advanced implant reconstruction within multidisciplinary oncology care. Full article
(This article belongs to the Special Issue Research on Oral and Maxillofacial Surgery)
Show Figures

Figure 1

22 pages, 5743 KB  
Article
The Advanced BioTRIZ Method Based on LTE and MPV
by Zhonghang Bai, Linyang Li, Yufan Hao and Xinxin Zhang
Biomimetics 2026, 11(1), 23; https://doi.org/10.3390/biomimetics11010023 - 1 Jan 2026
Viewed by 327
Abstract
While BioTRIZ is widely employed in biomimetic design to facilitate creative ideation and standardize workflows, accurately formulating domain conflicts and assessing design schemes during critical stages—such as initial concept development and scheme evaluation—remains a significant challenge. To address these issues, this study proposes [...] Read more.
While BioTRIZ is widely employed in biomimetic design to facilitate creative ideation and standardize workflows, accurately formulating domain conflicts and assessing design schemes during critical stages—such as initial concept development and scheme evaluation—remains a significant challenge. To address these issues, this study proposes an advanced BioTRIZ method. Firstly, the theory of technological evolution is integrated into the domain conflict identification stage, resulting in the development of a prompt framework based on patent analysis to guide large language models (LLMs) in verifying the laws of technological evolution (LTE). Building on these insights, domain conflicts encountered throughout the design process are formulated, and inventive principles with heuristic value, alongside standardized biological knowledge, are derived to generate conceptual solutions. Subsequently, a main parameter of value (MPV) model is constructed through mining user review data, and the evaluation of conceptual designs is systematically performed via the integration of orthogonal design and the fuzzy analytic hierarchy process to identify the optimal combination of component solutions. The optimization case study of a floor scrubber, along with the corresponding experimental results, demonstrates the efficacy and advancement of the proposed method. This study aims to reduce the operational difficulty associated with implementing BioTRIZ in product development processes, while simultaneously enhancing its accuracy. Full article
(This article belongs to the Special Issue Biologically-Inspired Product Development)
Show Figures

Figure 1

21 pages, 3341 KB  
Article
Phytochemical Characteristics, Antioxidant, and Antimicrobial Activities and In Silico Prediction of Bioactive Compounds from Cedrus atlantica Wood Tar
by Sadia Tina, Oussama Khibech, Ali Zourif, Samy Iskandar, Kettani Halabi Mohamed, Martin Ndayambaje, Balouch Lhousaine and Meryem El Jemli
Biophysica 2026, 6(1), 3; https://doi.org/10.3390/biophysica6010003 - 31 Dec 2025
Viewed by 353
Abstract
Cedrus atlantica wood tar (CAWT) is traditionally used as a medicinal product, especially in low- and middle-income countries. Despite its traditional use, scientific support for its efficacy remains limited. This study evaluated the biological properties of CAWT using an integrated approach that combined [...] Read more.
Cedrus atlantica wood tar (CAWT) is traditionally used as a medicinal product, especially in low- and middle-income countries. Despite its traditional use, scientific support for its efficacy remains limited. This study evaluated the biological properties of CAWT using an integrated approach that combined qualitative and quantitative phytochemical analysis, disc diffusion and microdilution tests for antimicrobial assays (disc diffusion and microdilution), antioxidant activity (DPPH and ferric-reducing power assays), in silico ADMET/toxicity, docking, and MD/MMGBSA and provided a balanced comparison with reference antioxidants. This study demonstrated that CAWT is rich in secondary metabolites linked to biological activity, including polyphenols (307.39 ± 58.45 mg GAE/g), tannins (124.42 ± 6.14 mg TAE/g), and flavonoids (15.62 ± 2.53 mg QE/g). For free radical scavenging, CAWT inhibited DPPH with an IC50 of 19.781 ± 2.51 µg/mL and showed ferric-reducing activity with an IC50 of 83.7 ± 2.88 µg/mL for its antimicrobial activity against Pseudomonas aeruginosa; inhibition zones reached 35.66 ± 0.58 mm. In silico analysis, Swiss ADMET and pkCSM predicted ≥94% intestinal absorption, no cytochrome P450 liabilities, and low acute toxicity for six dominant terpenoids. Docking pinpointed trans-cadina-1(6),4-diene and α/β-himachalene as high-affinity ligands of LasR and gyrase B (ΔG ≈ −8 kcal mol−1). A 100 ns GROMACS run confirmed stable hydrophobic locking of the lead LasR complex (RMSD 0.22 nm), while MM/GBSA calculated a dispersion-dominated binding free energy of −37 kcal mol−1. Overall, CAWT showed in vitro antioxidant activity (DPPH and ferric-reducing assays) and inhibitory effects in disc diffusion assays, while in silico predictions for major terpenoids suggested favorable oral absorption and low acute toxicity. However, chemical composition analysis and bio-guided fractionation are necessary to confirm the antimicrobial activity and to validate the compounds responsible for the observed effects. Full article
Show Figures

Figure 1

34 pages, 2842 KB  
Review
Emerging Smart and Adaptive Hydrogels for Next-Generation Tissue Engineering
by Soheil Sojdeh, Amirhosein Panjipour, Miranda Castillo, Zohreh Arabpour and Ali R. Djalilian
Bioengineering 2026, 13(1), 50; https://doi.org/10.3390/bioengineering13010050 - 31 Dec 2025
Viewed by 631
Abstract
Tissue engineering is entering a new era, one defined not by passive scaffolds but by smart, adaptive biomaterials that can sense, think, and respond to their surroundings. These next-generation materials go beyond simply providing structure; they interact with cells and tissues in real [...] Read more.
Tissue engineering is entering a new era, one defined not by passive scaffolds but by smart, adaptive biomaterials that can sense, think, and respond to their surroundings. These next-generation materials go beyond simply providing structure; they interact with cells and tissues in real time. Recent advances in mechanically responsive hydrogels and dynamic crosslinking have demonstrated how materials can adjust their stiffness, repair themselves, and transmit mechanical cues that directly influence cell behavior and tissue growth. Meanwhile, in vivo studies are demonstrating how engineered materials can harness the body’s own mechanical forces to activate natural repair programs without relying on growth factors or additional ligands, paving the way for minimally invasive, force-based therapies. The emergence of electroactive and conductive biomaterials has further expanded these capabilities, enabling two-way electrical communication with excitable tissues such as the heart and nerves, supporting more coordinated and mature tissue growth. Meanwhile, programmable bioinks and advanced bioprinting technologies now allow for precise spatial patterning of multiple materials and living cells. These printed constructs can adapt and regenerate after implantation, combining architectural stability with flexibility to respond to biological changes. This review brings together these cross-cutting advances, dynamic chemical design, mechanobiology-guided engineering, bioelectronic integration, and precision bio-fabrication to provide a comprehensive view of the path forward in this field. We discuss key challenges, including scalability, safety compliance, and real-time sensing validation, alongside emerging opportunities such as in situ stimulation, personalized electromechanical sites, and closed loop “living” implants. Taken together, these adaptive biomaterials represent a transformative step toward information-rich, self-aware scaffolds capable of guiding regeneration in patient-specific pathways, blurring the boundary between living tissue and engineered material. Full article
Show Figures

Graphical abstract

56 pages, 4487 KB  
Article
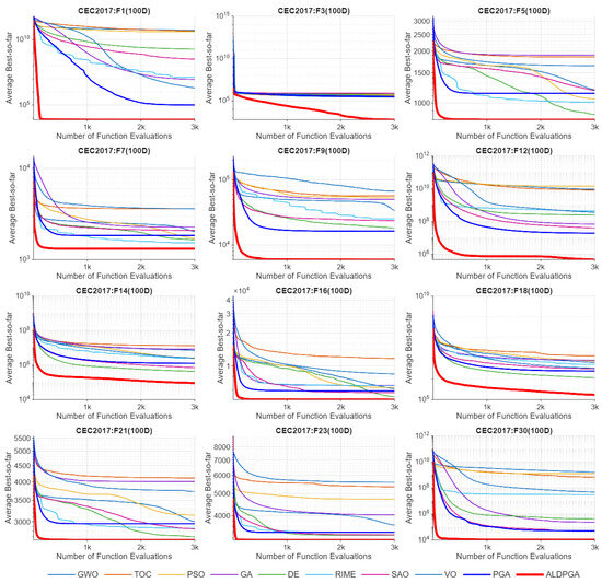
An Enhanced Plant Growth Algorithm with Adam Learning, Lévy Flight, and Dynamic Stage Control
by Yuhang Xie, Wei Li, Bin Qin and Shang Gao
Symmetry 2026, 18(1), 64; https://doi.org/10.3390/sym18010064 - 30 Dec 2025
Viewed by 226
Abstract
This study addresses the limitations of the traditional Plant Growth Algorithm (PGA), including insufficient local exploitation, premature convergence, and performance degradation in high-dimensional optimization. To enhance search efficiency, we propose the ALDPGA (Adam–Lévy Dynamic Plant Growth Algorithm), which incorporates Adam-based adaptive gradient learning, [...] Read more.
This study addresses the limitations of the traditional Plant Growth Algorithm (PGA), including insufficient local exploitation, premature convergence, and performance degradation in high-dimensional optimization. To enhance search efficiency, we propose the ALDPGA (Adam–Lévy Dynamic Plant Growth Algorithm), which incorporates Adam-based adaptive gradient learning, Lévy long-tailed perturbation, and a dynamic stage-control mechanism. The method strengthens directional refinement in the light region using gradient-assisted learning and a simulated-annealing rule, while staged hybrid perturbations and adaptive learning-rate scheduling expand early exploration in the shaded region. During the cell-elongation phase, Lévy-driven dynamic trajectories guide the transition from global search to fine-grained convergence. Notably, the light and shaded regions of the algorithm are designed symmetrically, balancing exploration and exploitation. The light region reflects phototropism, fostering growth towards optimal solutions, while the shaded region adapts to explore previously underexplored areas. Extensive experiments on CEC2017, CEC2020, and CEC2022 benchmarks demonstrate improvements in optimal solutions, convergence speed, and statistical stability. Wilcoxon tests confirm the significance of these gains, and ablation studies verify the contributions of each component. ALDPGA’s enhanced robustness and optimization efficiency make it well suited for complex, multimodal, and high-dimensional problems, offering new insights into bio-inspired optimization frameworks. Full article
(This article belongs to the Section Computer)
Show Figures

Figure 1

26 pages, 2448 KB  
Review
Green Aerogels for Atmospheric Water Harvesting: A PRISMA-Guided Systematic Review of Bio-Derived Materials and Pathways to 2035
by Ghassan Sonji, Nada Sonji, Afaf El Katerji and Mohamad Rahal
Polymers 2026, 18(1), 108; https://doi.org/10.3390/polym18010108 - 30 Dec 2025
Viewed by 393
Abstract
Atmospheric water harvesting (AWH) offers a decentralized and renewable solution to global freshwater scarcity. Bio-derived and hybrid aerogels, characterized by ultra-high porosity and hierarchical pore structures, show significant potential for high water uptake and energy-efficient, low-temperature regeneration. This PRISMA-guided systematic review synthesizes evidence [...] Read more.
Atmospheric water harvesting (AWH) offers a decentralized and renewable solution to global freshwater scarcity. Bio-derived and hybrid aerogels, characterized by ultra-high porosity and hierarchical pore structures, show significant potential for high water uptake and energy-efficient, low-temperature regeneration. This PRISMA-guided systematic review synthesizes evidence on silica, carbon, MOF-integrated, and bio-polymer aerogels, emphasizing green synthesis and circular design. Our analysis shows that reported water uptake reaches up to 0.32 g·g−1 at 25% relative humidity (RH) and 3.5 g·g−1 at 90% RH under static laboratory conditions. Testing protocols vary significantly across studies, and dynamic testing typically reduces these values by 20–30%. Ambient-pressure drying and solar-photothermal integration enhance sustainability, but performance remains highly dependent on device architecture and thermal management. Techno-economic models estimate water costs from USD 0.05 to 0.40 per liter based on heterogeneous assumptions and system boundaries. However, long-term durability and real-world environmental stressor data are severely underreported. Bridging these gaps is essential to move from lab-scale promise to scalable, commercially viable deployment. We propose a strategic roadmap toward 2035, highlighting the need for improved material stability, standardized testing protocols, and comprehensive life cycle assessments to ensure the global viability of green aerogel technologies. Full article
(This article belongs to the Section Circular and Green Sustainable Polymer Science)
Show Figures

Graphical abstract

26 pages, 865 KB  
Review
Bio-Inspired Reactive Approaches for Automated Guided Vehicle Path Planning: A Review
by Shiwei Lin, Jianguo Wang and Xiaoying Kong
Biomimetics 2026, 11(1), 17; https://doi.org/10.3390/biomimetics11010017 - 30 Dec 2025
Viewed by 393
Abstract
Automated guided vehicle (AGV) path planning aims to obtain an optimal path from the start point to the target point. Path planning methods are generally divided into classical algorithms and reactive algorithms, and this paper focuses on reactive algorithms. Reactive algorithms are classified [...] Read more.
Automated guided vehicle (AGV) path planning aims to obtain an optimal path from the start point to the target point. Path planning methods are generally divided into classical algorithms and reactive algorithms, and this paper focuses on reactive algorithms. Reactive algorithms are classified into swarm intelligence algorithms and artificial intelligence algorithms, and this paper reviews relevant studies from the past six years (2019–2025). This review involves 123 papers: 81 papers are about reactive algorithms, 44 are based on the swarm intelligence algorithm, and 37 are based on artificial intelligence algorithms. The main categories of swarm intelligence algorithms include particle swarm optimization, ant colony optimization, and genetic algorithms. Neural networks, reinforcement learning, and fuzzy logic represent the main trends in artificial intelligence–based algorithms. Among the cited papers, 45.68% achieve online implementations, and 33.33% address multi-AGV systems. Swarm intelligence algorithms are suitable for static or simplified dynamic environments with a low computational complexity and fast convergence, as 79.55% of papers are based on a static environment and 22.73% achieve online path planning. Artificial intelligence algorithms are effective for dealing with dynamic environments, which contribute 72.97% to online implementation and 54.05% to dynamic environments, while they face the challenge of robustness and the sim-to-real problem. Full article
(This article belongs to the Section Biological Optimisation and Management)
Show Figures

Graphical abstract

Back to TopTop