Sign in to use this feature.

Years

Between: -

Subjects

remove_circle_outline
remove_circle_outline
remove_circle_outline
remove_circle_outline
remove_circle_outline
remove_circle_outline
remove_circle_outline
remove_circle_outline
remove_circle_outline

Journals

remove_circle_outline
remove_circle_outline
remove_circle_outline
remove_circle_outline
remove_circle_outline
remove_circle_outline

Article Types

Countries / Regions

remove_circle_outline
remove_circle_outline
remove_circle_outline
remove_circle_outline

Search Results (202)

Search Parameters:
Keywords = best-worst-scale

Order results
Result details
Results per page
Select all
Export citation of selected articles as:
28 pages, 7508 KB  
Article
Intercomparison of Gauge-Based, Reanalysis and Satellite Gridded Precipitation Datasets in High Mountain Asia: Insights from Observations and Discharge Data
by Alessia Spezza, Guglielmina Adele Diolaiuti, Davide Fugazza, Maurizio Maugeri and Veronica Manara
Climate 2025, 13(12), 253; https://doi.org/10.3390/cli13120253 - 17 Dec 2025
Viewed by 372
Abstract
High Mountain Asia (25–40° N, 70–100° E) plays a critical role in sustaining water resources for nearly two billion people; however, the accurate estimation of precipitation remains challenging. Numerous gridded products have been developed, yet their performance across the region remains uncertain and [...] Read more.
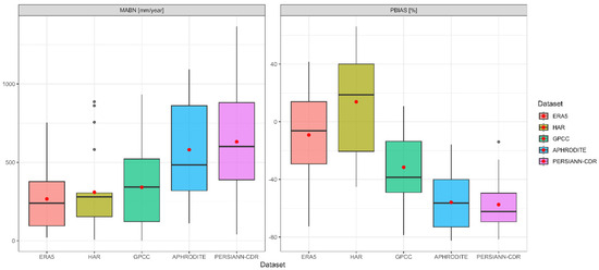
High Mountain Asia (25–40° N, 70–100° E) plays a critical role in sustaining water resources for nearly two billion people; however, the accurate estimation of precipitation remains challenging. Numerous gridded products have been developed, yet their performance across the region remains uncertain and is often analyzed only over small areas or short periods. This study provides a comprehensive evaluation of five major gridded precipitation datasets (ERA5, HARv2, GPCC, APHRODITE, and PERSIANN-CDR) over 1983–2007 throughout the entire domain through spatial intercomparison, validation against ground stations, and assessment against observed river discharge. Results show that reanalysis products (ERA5, HARv2) better capture spatial precipitation patterns, particularly along the Himalayas and Kunlun range, with HARv2 more accurately representing elevation-dependent gradients. Gauge-based (GPCC, APHRODITE) and satellite-derived (PERSIANN-CDR) datasets exhibit smoother fields and weaker orographic responses. In catchment-scale evaluations, reanalysis shows a superior performance, with ERA5 achieving the lowest bias, highest Kling–Gupta Efficiency, and best water-balance consistency. GPCC and PERSIANN-CDR underestimate discharge, and APHRODITE performs worst overall. No single dataset is optimal for all applications. Gauge-based datasets and PERSIANN-CDR are suitable for localized climatology in well-instrumented areas, while reanalysis products offer the best compromise between spatial realism and hydrological consistency for large-scale modelling in high-altitude regions where observations are limited. Full article
Show Figures

Figure 1

27 pages, 5053 KB  
Article
Effect of Basaltic Pumice Powder on the Mechanical and Thermal Resistance Properties of Sustainable Alkali-Activated Mortars
by Taha Salah Wahhab Al-Antaki and Anıl Niş
Sustainability 2025, 17(24), 11281; https://doi.org/10.3390/su172411281 - 16 Dec 2025
Viewed by 100
Abstract
In the research, the effect of basaltic pumice powder on the mechanical and thermal resistance properties of alkali-activated mortars (AAM) was studied. The class F fly ash, basaltic pumice powder (BPP), and ground granulated blast furnace slag were utilized as sustainable binder materials. [...] Read more.
In the research, the effect of basaltic pumice powder on the mechanical and thermal resistance properties of alkali-activated mortars (AAM) was studied. The class F fly ash, basaltic pumice powder (BPP), and ground granulated blast furnace slag were utilized as sustainable binder materials. The BPP was incorporated instead of fly ash and slag at concentrations of 10, 20, 30, 40, and 50%. In addition, the effects of different sodium hydroxide (NaOH) molarities (8, 12, 16 M) were investigated on the thermal resistance properties. The influence of curing time and its effects on different elevated temperatures (200, 400, and 600 °C) were also studied together at 7, 28, and 56 days on the AAMs. Flexural strength, compressive strength, weight change, and ultrasonic pulse velocity tests were carried out at the macro-scale. The microstructures of the AAM samples were analyzed using SEM and EDX spectroscopy. The results showed that dissolution of basaltic pumice particles requires a longer curing time. The 50% pumice-incorporated 8 M samples at 7 d exhibited the worst, whereas 16 M samples without pumice at 56 d performed the best in terms of mechanical strength and thermal durability. The optimal formulation for the best elevated temperature resistance is the 30% BPP and 16 M NaOH molarity. Full article
Show Figures

Figure 1

34 pages, 2758 KB  
Article
Innovative Indicator-Based Support Tools for High-Quality Participation in Disaster Risk Management and Urban Resilience Building
by Fabrizio Bruno, Ilenia Spadaro and Francesca Pirlone
Sustainability 2025, 17(22), 10031; https://doi.org/10.3390/su172210031 - 10 Nov 2025
Viewed by 501
Abstract
Despite broad consensus on the importance of participatory processes in disaster risk management and urban resilience building, substantial gaps persist, including scarce research on monitoring and evaluating participation, lack of comparative studies, underexplored policy and institutional roles. The paper provides methodological and empirical [...] Read more.
Despite broad consensus on the importance of participatory processes in disaster risk management and urban resilience building, substantial gaps persist, including scarce research on monitoring and evaluating participation, lack of comparative studies, underexplored policy and institutional roles. The paper provides methodological and empirical insights by developing and validating two indicator-based tools: one for ex ante assessment of institutional capacity and the other for supporting monitoring and ex post evaluation of participatory processes. The paper also tests them through a comparative study employing a standardizable and reproducible methodology and synthesizes findings from a systematic review of case studies and a semi-systematic review of grey literature to compile a comprehensive pool of criteria and indicators. These are screened, assigned a weight (either by Equal Weight or Best Worst Method) and are aggregated in the two innovative tools mentioned above. These are tested on four case studies: recent local-scale participatory processes aimed at reducing disaster risk and promoting urban resilience addressing multi-hazard scenarios. The research quali-quantitatively demonstrates how, in the four case studies, greater institutional capacity turns into a higher-quality participatory process. Furthermore, the paper improves practical knowledge on participatory processes in disaster risk management and urban resilience building and lays the foundation for evidence-based innovative guidelines for their planning a priori. Full article
(This article belongs to the Special Issue Urban Vulnerability and Resilience)
Show Figures

Figure 1

17 pages, 3346 KB  
Article
Development of Parameter-Tuned Algorithms for Chlorophyll-a Concentration Estimates in the Southern Ocean
by Mingxing Cha, Xiaoping Pang and David Antoine
Remote Sens. 2025, 17(21), 3595; https://doi.org/10.3390/rs17213595 - 30 Oct 2025
Viewed by 329
Abstract
Accurate estimates of Chlorophyll-a (Chl) concentration from satellite observations are critical for understanding large-scale phytoplankton variations, particularly in the context of climate change. However, existing operational Chl retrieval algorithms have been shown to perform poorly in the Southern Ocean (SO). To address this [...] Read more.
Accurate estimates of Chlorophyll-a (Chl) concentration from satellite observations are critical for understanding large-scale phytoplankton variations, particularly in the context of climate change. However, existing operational Chl retrieval algorithms have been shown to perform poorly in the Southern Ocean (SO). To address this issue, this study proposed improved Chl algorithms tailored to the SO. To this end, three Chl satellite products (MODIS, OC-CCI, and GlobColour) were evaluated against high-precision (high-performance liquid chromatography-derived, HPLC), long-term (1997–2021), and spatially widespread (south of 40°S) in situ Chl observations. Subsequently, OC3M-based empirical algorithms were improved using remote sensing reflectance (Rrs) data. Among the original products, OC-CCI exhibited the best overall performance (R2 = 0.36, Slope = 0.36), followed by GlobColour-AVW (R2 = 0.27, Slope = 0.21), whereas Aqua-MODIS showed the worst agreement (R2 = 0.18, Slope = 0.18) with in situ observations. All three products systematically underestimated Chl concentrations, with average biases of 43% (Aqua-MODIS), 24% (OC-CCI), and 36% (GlobColour-AVW), particularly at high Chl concentrations (>0.2 mg/m3 for Aqua-MODIS and GlobColour-AVW; >0.3 mg/m3 for OC-CCI). The parameter-tuned algorithms significantly reduced these biases to 1% (OC-CCI), 3% (GlobColour-AVW), and a slight overestimation of 2% (Aqua-MODIS). All products showed marked improvements in performance, with R2 increasing to 0.68–0.91, slopes approaching 1.0 (0.62–0.92), and notable reductions in MAE (1.39–1.42) and RMSE (1.49–1.51). These results offer enhanced capabilities for Chl retrieval in the data-sparse and optically complex waters of the SO. Full article
Show Figures

Graphical abstract

26 pages, 3429 KB  
Article
I-VoxICP: A Fast Point Cloud Registration Method for Unmanned Surface Vessels
by Qianfeng Jing, Mingwang Bai, Yong Yin and Dongdong Guo
J. Mar. Sci. Eng. 2025, 13(10), 1854; https://doi.org/10.3390/jmse13101854 - 25 Sep 2025
Cited by 1 | Viewed by 702
Abstract
The accurate positioning and state estimation of surface vessels are prerequisites to autonomous navigation. Recently, the rapid development of 3D LiDARs has promoted the autonomy of both land and aerial vehicles, which has attracted the interest of researchers in the maritime community. However, [...] Read more.
The accurate positioning and state estimation of surface vessels are prerequisites to autonomous navigation. Recently, the rapid development of 3D LiDARs has promoted the autonomy of both land and aerial vehicles, which has attracted the interest of researchers in the maritime community. However, in traditional maritime surface multi-scenario applications, LiDAR scan matching has low point cloud scanning and matching efficiency and insufficient positional accuracy when dealing with large-scale point clouds, so it has difficulty meeting the real-time demand of low-computing-power platforms. In this paper, we use ICP-SVD for point cloud alignment in the Stanford dataset and outdoor dock scenarios and propose an optimization scheme (iVox + ICP-SVD) that incorporates the voxel structure iVox. Experiments show that the average search time of iVox is 72.23% and 96.8% higher than that of ikd-tree and kd-tree, respectively. Executed on an NVIDIA Jetson Nano (four ARM Cortex-A57 cores @ 1.43 GHz) the algorithm processes 18 k downsampled points in 56 ms on average and 65 ms in the worst case—i.e., ≤15 Hz—so every scan is completed before the next 10–20 Hz LiDAR sweep arrives. During a 73 min continuous harbor trial the CPU temperature stabilized at 68 °C without thermal throttling, confirming that the reported latency is a sustainable, field-proven upper bound rather than a laboratory best case. This dramatically improves the retrieval efficiency while effectively maintaining the matching accuracy. As a result, the overall alignment process is significantly accelerated, providing an efficient and reliable solution for real-time point cloud processing. Full article
Show Figures

Figure 1

29 pages, 1132 KB  
Article
Generating Realistic Synthetic Patient Cohorts: Enforcing Statistical Distributions, Correlations, and Logical Constraints
by Ahmad Nader Fasseeh, Rasha Ashmawy, Rok Hren, Kareem ElFass, Attila Imre, Bertalan Németh, Dávid Nagy, Balázs Nagy and Zoltán Vokó
Algorithms 2025, 18(8), 475; https://doi.org/10.3390/a18080475 - 1 Aug 2025
Viewed by 1401
Abstract
Large, high-quality patient datasets are essential for applications like economic modeling and patient simulation. However, real-world data is often inaccessible or incomplete. Synthetic patient data offers an alternative, and current methods often fail to preserve clinical plausibility, real-world correlations, and logical consistency. This [...] Read more.
Large, high-quality patient datasets are essential for applications like economic modeling and patient simulation. However, real-world data is often inaccessible or incomplete. Synthetic patient data offers an alternative, and current methods often fail to preserve clinical plausibility, real-world correlations, and logical consistency. This study presents a patient cohort generator designed to produce realistic, statistically valid synthetic datasets. The generator uses predefined probability distributions and Cholesky decomposition to reflect real-world correlations. A dependency matrix handles variable relationships in the right order. Hard limits block unrealistic values, and binary variables are set using percentiles to match expected rates. Validation used two datasets, NHANES (2021–2023) and the Framingham Heart Study, evaluating cohort diversity (general, cardiac, low-dimensional), data sparsity (five correlation scenarios), and model performance (MSE, RMSE, R2, SSE, correlation plots). Results demonstrated strong alignment with real-world data in central tendency, dispersion, and correlation structures. Scenario A (empirical correlations) performed best (R2 = 86.8–99.6%, lowest SSE and MAE). Scenario B (physician-estimated correlations) also performed well, especially in a low-dimensions population (R2 = 80.7%). Scenario E (no correlation) performed worst. Overall, the proposed model provides a scalable, customizable solution for generating synthetic patient cohorts, supporting reliable simulations and research when real-world data is limited. While deep learning approaches have been proposed for this task, they require access to large-scale real datasets and offer limited control over statistical dependencies or clinical logic. Our approach addresses this gap. Full article
(This article belongs to the Collection Feature Papers in Algorithms for Multidisciplinary Applications)
Show Figures

Figure 1

20 pages, 1128 KB  
Article
Evaluating the Role of Food Security in the Context of Quality of Life in Underserved Communities: The ISAC Approach
by Terrence W. Thomas and Murat Cankurt
Nutrients 2025, 17(15), 2521; https://doi.org/10.3390/nu17152521 - 31 Jul 2025
Viewed by 724
Abstract
Background/Objectives: Quality of life (QOL) is a multifaceted concept involving a variety of factors which define the overall well-being of individuals. Food security, which implies a resilient food system, is one factor that is central to the calculus of the QOL status of [...] Read more.
Background/Objectives: Quality of life (QOL) is a multifaceted concept involving a variety of factors which define the overall well-being of individuals. Food security, which implies a resilient food system, is one factor that is central to the calculus of the QOL status of a community considering that food is a staple of life. Advancing food security as a strategy for attaining sustained improvement in community QOL hinges on recognizing that food security is embedded in a matrix of other factors that work with it to generate the QOL the community experiences. The lived experience of the community defines the community’s QOL value matrix and the relative position of food security in that value matrix. Our thesis is that the role of food security in the lived experience of low-income communities depends on the position food security is accorded relative to other factors in the QOL value matrix of the community. Methods: This study employed a multimethod approach to define the QOL value matrix of low-income Guilford County residents, identifying the relative position of the value components and demographic segments based on priority ranking. First, an in-depth interview was conducted and then a telephone survey (280 sample) was used for collecting data. The ISAC Analysis Procedure and Best–Worst Scaling methods were used to identify and rank components of the QOL value matrix in terms of their relative impact on QOL. Results: The analysis revealed that spiritual well-being is the most important contributor to QOL, with a weight of 0.23, followed by access to health services (0.21) and economic opportunities (0.16), while food security has a moderate impact with 0.07. Conclusions: These findings emphasize the need for targeted policy interventions that consider the specific needs of different demographic segments to effectively improve QOL and inform the design of resilient food systems that reflect the lived experiences of low-income communities. Food security policies must be integrated with broader quality of life interventions, particularly for unemployed, low-educated, and single individuals, to ensure that a resilient food system effectively reduces inequities and address community-specific vulnerabilities. Full article
(This article belongs to the Special Issue Sustainable and Resilient Food Systems)
Show Figures

Figure 1

25 pages, 2377 KB  
Article
Assessment of Storm Surge Disaster Response Capacity in Chinese Coastal Cities Using Urban-Scale Survey Data
by Li Zhu and Shibai Cui
Water 2025, 17(15), 2245; https://doi.org/10.3390/w17152245 - 28 Jul 2025
Viewed by 1173
Abstract
Currently, most studies evaluating storm surges are conducted at the provincial level, and there is a lack of detailed research focusing on cities. This paper focuses on the urban scale, using some fine-scale data of coastal areas obtained through remote sensing images. This [...] Read more.
Currently, most studies evaluating storm surges are conducted at the provincial level, and there is a lack of detailed research focusing on cities. This paper focuses on the urban scale, using some fine-scale data of coastal areas obtained through remote sensing images. This research is based on the Hazard–Exposure–Vulnerability (H-E-V) framework and PPRR (Prevention, Preparedness, Response, and Recovery) crisis management theory. It focuses on 52 Chinese coastal cities as the research subject. The evaluation system for the disaster response capabilities of Chinese coastal cities was constructed based on three aspects: the stability of the disaster-incubating environment (S), the risk of disaster-causing factors (R), and the vulnerability of disaster-bearing bodies (V). The significance of this study is that the storm surge capability of China’s coastal cities can be analyzed based on the results of the evaluation, and the evaluation model can be used to identify its deficiencies. In this paper, these storm surge disaster response capabilities of coastal cities were scored using the entropy weighted TOPSIS method and the weight rank sum ratio (WRSR), and the results were also analyzed. The results indicate that Wenzhou has the best comprehensive disaster response capability, while Yancheng has the worst. Moreover, Tianjin, Ningde, and Shenzhen performed well in the three aspects of vulnerability of disaster-bearing bodies, risk of disaster-causing factors, and stability of disaster-incubating environment separately. On the contrary, Dandong (tied with Qinzhou), Jiaxing, and Chaozhou performed poorly in the above three areas. Full article
(This article belongs to the Special Issue Advanced Research on Marine Geology and Sedimentology)
Show Figures

Figure 1

26 pages, 6762 KB  
Article
Temporal-Spatial Thermal Comfort Across Urban Blocks with Distinct Morphologies in a Hot Summer and Cold Winter Climate: On-Site Investigations in Beijing
by Tengfei Zhao and Tong Ma
Atmosphere 2025, 16(7), 855; https://doi.org/10.3390/atmos16070855 - 14 Jul 2025
Cited by 1 | Viewed by 725
Abstract
Urban outdoor thermal comfort (OTC) has become an increasingly critical issue under the pressures of urbanization and climate change. Comparative analyses of urban blocks with distinct spatial morphologies are essential for identifying OTC issues and proposing targeted optimization strategies. However, existing studies predominantly [...] Read more.
Urban outdoor thermal comfort (OTC) has become an increasingly critical issue under the pressures of urbanization and climate change. Comparative analyses of urban blocks with distinct spatial morphologies are essential for identifying OTC issues and proposing targeted optimization strategies. However, existing studies predominantly rely on microclimate numerical simulations, while comparative assessments of OTC from the human thermal perception perspective remain limited. This study employs the thermal walk method, integrating microclimatic measurements with thermal perception questionnaires, to conduct on-site OTC investigations across three urban blocks with contrasting spatial morphologies—a business district (BD), a residential area (RA), and a historical neighborhood (HN)—in Beijing, a hot summer and cold winter climate city. The results reveal substantial OTC differences among the blocks. However, these differences demonstrated great seasonal and temporal variations. In summer, BD exhibited the best OTC (mTSV = 1.21), while HN performed the worst (mTSV = 1.72). In contrast, BD showed the poorest OTC in winter (mTSV = −1.57), significantly lower than HN (−1.11) and RA (−1.05). This discrepancy was caused by the unique morphology of different blocks. The sky view factor emerged as a more influential factor affecting OTC over building coverage ratio and building height, particularly in RA (r = 0.689, p < 0.01), but its impact varied by block, season, and sunlight conditions. North–South streets generally perform better OTC than East–West streets, being 0.26 units cooler in summer and 0.20 units warmer in winter on the TSV scale. The study highlights the importance of incorporating more applicable physical parameters to optimize OTC in complex urban contexts and offering theoretical support for designing climate adaptive urban spaces. Full article
(This article belongs to the Section Biometeorology and Bioclimatology)
Show Figures

Figure 1

31 pages, 6084 KB  
Article
Reframing Smart Campus Assessment for the Global South: Insights from Papua New Guinea
by Ken Polin, Tan Yigitcanlar, Mark Limb, Tracy Washington, Fahimeh Golbababei and Alexander Paz
Sustainability 2025, 17(14), 6369; https://doi.org/10.3390/su17146369 - 11 Jul 2025
Cited by 1 | Viewed by 947
Abstract
Higher-education institutions are increasingly embracing digital transformation to meet the evolving expectations of students, academics, and administrators. The smart campus paradigm offers a strategic framework for this shift, yet most existing assessment models originate from high-income contexts and remain largely untested in the [...] Read more.
Higher-education institutions are increasingly embracing digital transformation to meet the evolving expectations of students, academics, and administrators. The smart campus paradigm offers a strategic framework for this shift, yet most existing assessment models originate from high-income contexts and remain largely untested in the Global South, where infrastructural and technological conditions differ substantially. This study addresses this gap by evaluating the contextual relevance of a comprehensive smart campus assessment framework at the Papua New Guinea University of Technology (PNGUoT). A questionnaire survey of 278 participants—students and staff—was conducted using a 5-point Likert scale to assess the perceived importance of performance indicators across four key dimensions: Smart Economy, Smart Society, Smart Environment, and Smart Governance. A hybrid methodology combining the Best–Worst Method (BWM) and Public Opinion (PO) data was used to prioritise framework components. The research hypothesises that contextual factors predominantly influence the framework’s relevance in developing countries and asks: To what extent is the smart campus assessment framework relevant and adaptable in the Global South? The study aims to measure the framework’s relevance and identify contextual influences shaping its application. The findings confirm its overall applicability while revealing significant variations in stakeholder priorities, emphasising the need for context-sensitive and adaptable assessment tools. This research contributes to the refinement of smart campus frameworks and supports more inclusive and responsive digital transformation strategies in developing country higher education institutions. Full article
Show Figures

Figure 1

29 pages, 666 KB  
Article
Hestenes–Stiefel-Type Conjugate Direction Algorithm for Interval-Valued Multiobjective Optimization Problems
by Rupesh Krishna Pandey, Balendu Bhooshan Upadhyay, Subham Poddar and Ioan Stancu-Minasian
Algorithms 2025, 18(7), 381; https://doi.org/10.3390/a18070381 - 23 Jun 2025
Cited by 2 | Viewed by 742
Abstract
This article investigates a class of interval-valued multiobjective optimization problems (IVMOPs). We define the Hestenes–Stiefel (HS)-type direction for the objective function of IVMOPs and establish that it has a descent property at noncritical points. An Armijo-like line search is employed to determine an [...] Read more.
This article investigates a class of interval-valued multiobjective optimization problems (IVMOPs). We define the Hestenes–Stiefel (HS)-type direction for the objective function of IVMOPs and establish that it has a descent property at noncritical points. An Armijo-like line search is employed to determine an appropriate step size. We present an HS-type conjugate direction algorithm for IVMOPs and establish the convergence of the sequence generated by the algorithm. We deduce that the proposed algorithm exhibits a linear order of convergence under appropriate assumptions. Moreover, we investigate the worst-case complexity of the sequence generated by the proposed algorithm. Furthermore, we furnish several numerical examples, including a large-scale IVMOP, to demonstrate the effectiveness of our proposed algorithm and solve them by employing MATLAB. To the best of our knowledge, the HS-type conjugate direction method has not yet been explored for the class of IVMOPs. Full article
Show Figures

Figure 1

23 pages, 847 KB  
Review
Carbon Flux Estimation for Potato Production: A Literature-Based Study
by Shu Zhang, Xiuquan Wang and Muhammad Awais
Atmosphere 2025, 16(7), 764; https://doi.org/10.3390/atmos16070764 - 21 Jun 2025
Viewed by 1240
Abstract
This study reviews and synthesizes published data to estimate the net carbon flux associated with the complete potato production process. It identifies the key components that contribute to this flux and explores potential mitigation strategies, including both cultivation and post-harvest storage. Data were [...] Read more.
This study reviews and synthesizes published data to estimate the net carbon flux associated with the complete potato production process. It identifies the key components that contribute to this flux and explores potential mitigation strategies, including both cultivation and post-harvest storage. Data were compiled from field-scale studies (primarily using eddy covariance) and life cycle assessment studies. The results indicate that potato production can act as a carbon sink or a carbon source, depending on the production scenario. In Scenario 1, which represents the worst-case scenario, potato production acts as a carbon source, with a carbon flux of 13,874.816 kg CO2 eq ha−1 season−1. In contrast, in Scenario 2, the best-case scenario, potato production acts a carbon sink with a carbon flux of −12,830.567 kg CO2 eq ha−1 season−1. Similarly, in Scenario 3, which is the average scenario, potato production acts as a carbon sink, though a minor one, with a carbon flux of −90.703 kg CO2 eq ha−1 season−1. Notably, the growing phase has the most significant impact on potato production’s overall carbon flux, as it is the period in which the highest levels of carbon sequestration and emissions occur. Fertilization is the primary carbon source among all potato production operations, averaging 1219.225 kg CO2 eq ha−1 season−1. Optimizing farming practices, including fertilization, irrigation, tillage methods, and cultivar selection, are essential to enhance carbon sequestration and reduce greenhouse gas emissions. Additionally, further research through controlled experiments is recommended to deepen the understanding of the relationships between various farming factors and carbon flux, ultimately supporting more sustainable potato production practices. Full article
(This article belongs to the Section Air Pollution Control)
Show Figures

Figure 1

25 pages, 2361 KB  
Article
Enhancing Bug Assignment with Developer-Specific Feature Extraction and Hybrid Deep Learning
by Geunseok Yang, Jinfeng Ji and Dongkyu Kim
Electronics 2025, 14(12), 2493; https://doi.org/10.3390/electronics14122493 - 19 Jun 2025
Viewed by 1050
Abstract
The increasing reliance on software in diverse domains has led to a surge in user-reported functional enhancements and unexpected bugs. In large-scale open-source projects like Eclipse and Mozilla, initial bug assignment frequently faces challenges, with approximately 50% of bug reports being reassigned due [...] Read more.
The increasing reliance on software in diverse domains has led to a surge in user-reported functional enhancements and unexpected bugs. In large-scale open-source projects like Eclipse and Mozilla, initial bug assignment frequently faces challenges, with approximately 50% of bug reports being reassigned due to the inability of the initially assigned developer to resolve the issue effectively. This reassignment process contributes to elevated software maintenance costs and delays in bug resolution. To address this, we propose a developer recommendation model that assigns the most suitable developer for a given bug report at the outset, thereby minimizing reassignment rates. Our approach combines a top-K feature selection algorithm tailored for each developer with a hybrid Convolutional Neural Network–Long Short-Term Memory (CNN–LSTM) architecture to capture the nuanced patterns in bug reports and developer expertise. The model was evaluated on prominent open-source projects, including Google Chrome, Mozilla Core, and Mozilla Firefox. Experimental results show that the proposed model significantly outperforms baseline approaches, with an improvement in developer recommendation accuracy of approximately 0.3582 when comparing the best-performing configuration to the worst-performing configuration of our model. Furthermore, the baseline difference was reduced by approximately 0.1343. A statistical analysis confirms the significant performance improvement achieved by the proposed method over existing baselines. These findings underscore the potential of our model to enhance efficiency in bug resolution workflows, reduce maintenance costs, and improve overall software quality in open-source ecosystems. Full article
(This article belongs to the Special Issue Feature Papers in "Computer Science & Engineering", 2nd Edition)
Show Figures

Figure 1

12 pages, 759 KB  
Article
Consumer Preferences for Low-Amylose Rice: A Sensory Evaluation and Best–Worst Scaling Approach
by Asato Mizuki and Hiroyuki Yasue
Foods 2025, 14(12), 2128; https://doi.org/10.3390/foods14122128 - 18 Jun 2025
Cited by 1 | Viewed by 1720
Abstract
This study investigates the influence of sensory evaluation results on consumer preference, specifically focusing on salted rice balls made from low-amylose rice, which is suitable for chilled rice applications. Sensory evaluations were conducted through home-use tests, and consumer behavior data were collected using [...] Read more.
This study investigates the influence of sensory evaluation results on consumer preference, specifically focusing on salted rice balls made from low-amylose rice, which is suitable for chilled rice applications. Sensory evaluations were conducted through home-use tests, and consumer behavior data were collected using the Best–Worst Scaling method. The results, analyzed via a conditional logit model, show that consumer preferences for new low-amylose rice varieties improved post-sensory evaluation, with stickiness and appearance exhibiting significant interaction effects. Although the preference for food waste reduction declined after the evaluation, positive responses remained consistently high both before and after the evaluation. The findings suggest that sensory characteristics may take precedence over other attributes in promoting processed rice products. Combining sensory evaluation with food experiences is crucial for understanding consumer preferences. Additionally, emphasizing the potential for shelf life extension and food loss reduction through low-amylose rice varieties can effectively raise consumer awareness. Full article
(This article belongs to the Special Issue Food Perception: Mechanism and Applications)
Show Figures

Figure 1

19 pages, 1325 KB  
Article
Identifying and Prioritizing Climate-Related Natural Hazards for Nuclear Power Plants in Korea Using Delphi
by Dongchang Kim, Shinyoung Kwag, Minkyu Kim, Raeyoung Jung and Seunghyun Eem
Sustainability 2025, 17(12), 5400; https://doi.org/10.3390/su17125400 - 11 Jun 2025
Viewed by 1007
Abstract
Climate change is projected to increase the intensity and frequency of natural hazards such as heat waves, extreme rainfall, heavy snowfall, typhoons, droughts, floods, and cold waves, potentially impacting the operational safety of critical infrastructure, including nuclear power plants (NPPs). Although quantitative indicators [...] Read more.
Climate change is projected to increase the intensity and frequency of natural hazards such as heat waves, extreme rainfall, heavy snowfall, typhoons, droughts, floods, and cold waves, potentially impacting the operational safety of critical infrastructure, including nuclear power plants (NPPs). Although quantitative indicators exist to screen-out natural hazards at NPPs, comprehensive methodologies for assessing climate-related hazards remain underdeveloped. Furthermore, given the variability and uncertainty of climate change, it is realistically and resource-wise difficult to evaluate all potential risks quantitatively. Using a structured expert elicitation approach, this study systematically identifies and prioritizes climate-related natural hazards for Korean NPPs. An iterative Delphi survey involving 42 experts with extensive experience in nuclear safety and systems was conducted and also evaluated using the best–worst scaling (BWS) method for cross-validation to enhance the robustness of the Delphi priorities. Both methodologies identified extreme rainfall, typhoons, marine organisms, forest fires, and lightning as the top five hazards. The findings provide critical insights for climate resilience planning, inform vulnerability assessments, and support regulatory policy development to mitigate climate-induced risks to Korean nuclear power plants. Full article
Show Figures

Figure 1

Back to TopTop