Sign in to use this feature.

Years

Between: -

Subjects

remove_circle_outline
remove_circle_outline
remove_circle_outline
remove_circle_outline
remove_circle_outline
remove_circle_outline
remove_circle_outline
remove_circle_outline

Journals

Article Types

Countries / Regions

Search Results (20)

Search Parameters:
Keywords = berth coordination

Order results
Result details
Results per page
Select all
Export citation of selected articles as:
30 pages, 4255 KB  
Article
Logistics–Energy Coordinated Scheduling in Hybrid AC/DC Ship–Shore Interconnection Architecture with Enabling Peak-Shaving of Quay Crane Clusters
by Fanglin Chen, Xujing Tang, Hang Yu, Chengqing Yuan, Tian Wang, Xiao Wang, Shanshan Shang and Songbin Wu
J. Mar. Sci. Eng. 2026, 14(2), 230; https://doi.org/10.3390/jmse14020230 (registering DOI) - 22 Jan 2026
Abstract
With the gradual rise of battery-powered ships, the high-power charging demand during berthing is poised to exacerbate the peak-to-valley difference in the port grid, possibly leading to grid congestion and logistical disruption. To address this challenge, this paper proposes a bi-level coordinated scheduling [...] Read more.
With the gradual rise of battery-powered ships, the high-power charging demand during berthing is poised to exacerbate the peak-to-valley difference in the port grid, possibly leading to grid congestion and logistical disruption. To address this challenge, this paper proposes a bi-level coordinated scheduling scheme across both logistical operations and energy flow dispatch. Initially, by developing a refined model for the dynamic power characteristics of quay crane (QC) clusters, the surplus power capacity that can be stably released through an orderly QC operational delay is quantified. Subsequently, a hybrid AC/DC ship–shore interconnection architecture based on a smart interlinking unit (SIU) is proposed to utilize the QC peak-shaving capacity and satisfy the increasing shore power demand. In light of these, at the logistics level a coordinated scheduling of berths, QCs, and ships charging is performed with the objective of minimizing port berthing operational costs. At the energy flow level, the coordinated delay in QC clusters’ operations and SIU-enabled power dispatching are implemented for charging power support. The case studies demonstrate that, compared with the conventional independent operational mode, the proposed coordinated scheduling scheme enhances the shore power supply capability by utilizing the QC peak-shaving capability effectively. Moreover, as well as satisfying the charging demands of electric ships, the proposed scheme significantly reduces the turnaround time of ships and achieves a 39.29% reduction in port berthing operational costs. Full article
Show Figures

Figure 1

22 pages, 2732 KB  
Article
Coordinated Allocation of Channel-Tugboat-Berth Resources Under Tidal Constraints at Liquid Terminal
by Lingxin Kong, Hanbin Xiao, Yudong Wang, Keming Chen and Min Liu
Appl. Sci. 2025, 15(24), 13263; https://doi.org/10.3390/app152413263 - 18 Dec 2025
Viewed by 288
Abstract
Driven by the surging global demand for crude oil and its byproducts, liquid tanker vessels have undergone a marked shift toward ultra-large dimensions. This growth, while enhancing transport capacity, has also intensified congestion across many liquid terminals. As the Dead Weight Tonnage (DWT) [...] Read more.
Driven by the surging global demand for crude oil and its byproducts, liquid tanker vessels have undergone a marked shift toward ultra-large dimensions. This growth, while enhancing transport capacity, has also intensified congestion across many liquid terminals. As the Dead Weight Tonnage (DWT) of vessels rises, so does their draft, often requiring tide-dependent navigation for safe entry into ports. To address the resulting operational complexities, this study investigates the coordinated scheduling of three critical resources—channels, tugboats, and berths—at liquid terminals. A novel optimization framework, termed the Channel-Tugboat-Berth-Tide (CUBT) model, is proposed. The primary objective is to minimize the total operational cost over a planning horizon, accounting for anchorage waiting time, channel occupancy, tugboat utilization, and penalties from delayed departures. To solve this model efficiently, we adopt an enhanced variant of the Logistic-Hybrid-Adaptive Black Widow Optimization Algorithm (LHA-BWOA), incorporating Logistic-Sine-Cosine Chaotic Map (LSC-CM) initialization, hybrid reproduction mechanisms, and dynamic parameter adaptation. A series of case studies involving varying planning cycles are conducted to validate the model’s practical viability. Furthermore, sensitivity analyses are performed to evaluate the impact of channel choice, tugboat allocation, and vessel waiting time. Results indicate that tugboat operations account for the largest portion of the total costs. Notably, while two-way channels result in lower direct channel costs, they do not always yield the lowest overall expenditure. Among the service strategies evaluated, the First-In–First-Out (FIFO) rule is found to be the most cost-efficient. The results offer practical guidance for port improving the operational efficiency of liquid terminals under complex tidal and resource constraints. Full article
Show Figures

Figure 1

25 pages, 7269 KB  
Article
LP-DSG: A LiDAR Point-Based Docking Spot Generation System for Unmanned Surface Vehicles in Berthing Environments
by Seungbeom Seo, Jiwoo Jung, Jaemin Song, Jaehyun Kim and Yu-Cheol Lee
Appl. Sci. 2025, 15(22), 12290; https://doi.org/10.3390/app152212290 - 19 Nov 2025
Viewed by 515
Abstract
We propose a LiDAR point-based docking spot generation system for autonomous docking using point clouds from a low-density LiDAR sensor in berthing environments. The system consists of four key stages: scan matching, 3D object detection, long-term object perception, and docking spot generation. Scan [...] Read more.
We propose a LiDAR point-based docking spot generation system for autonomous docking using point clouds from a low-density LiDAR sensor in berthing environments. The system consists of four key stages: scan matching, 3D object detection, long-term object perception, and docking spot generation. Scan matching estimates the unmanned surface vehicle’s position within the global coordinate system using scan-to-map matching. In the 3D object detection stage, high-quality point clouds are generated from low-density LiDAR data to enhance detection performance, and detected object information is transformed into the global coordinate system. In the long-term object perception stage, object information beyond the LiDAR’s field of view is stored on the map for continuous environmental perception. Finally, the docking spot generation stage employs an algorithm to generate valid docking spots. Experimental validation in real-world environments demonstrates that the proposed system achieves an average 3D mAP improvement of 23.38 percentage points across multiple detection architectures. Notably, for small object detection, the average 3D AP improvement reaches 38.12 percentage points, demonstrating significant effectiveness in challenging scenarios. These improvements enhance long-term perception, object management, and docking spot generation stability. Full article
Show Figures

Figure 1

27 pages, 6764 KB  
Article
Multi-Objective Optimization of Energy Storage Configuration and Dispatch in Diesel-Electric Propulsion Ships
by Fupeng Sun, Yanlin Liu, Huibing Gan, Shaokang Zang and Zhibo Lei
J. Mar. Sci. Eng. 2025, 13(9), 1808; https://doi.org/10.3390/jmse13091808 - 18 Sep 2025
Cited by 1 | Viewed by 1251
Abstract
This study investigates the configuration of an energy storage system (ESS) and the optimization of energy management strategies for diesel-electric hybrid ships, with the goal of enhancing fuel economy and reducing emissions. An integrated mathematical model of the diesel generator set and the [...] Read more.
This study investigates the configuration of an energy storage system (ESS) and the optimization of energy management strategies for diesel-electric hybrid ships, with the goal of enhancing fuel economy and reducing emissions. An integrated mathematical model of the diesel generator set and the battery-based ESS is established. A rule-based energy management strategy (EMS) is proposed, in which the ship operating conditions are classified into berthing, maneuvering, and cruising modes. This classification enables coordinated power allocation between the diesel generator set and the ESS, while ensuring that the diesel engine operates within its high-efficiency region. The optimization framework considers the number of battery modules in series and the upper and lower bounds of the state of charge (SOC) as design variables. The dual objectives are set as lifecycle cost (LCC) and greenhouse gas (GHG) emissions, optimized using the Multi-Objective Coati Optimization Algorithm (MOCOA). The algorithm achieves a balance between global exploration and local exploitation. Numerical simulations indicate that, under the LCC-optimal solution, fuel consumption and GHG emissions are reduced by 16.12% and 13.18%, respectively, while under the GHG-minimization solution, reductions of 37.84% in fuel consumption and 35.02% in emissions are achieved. Compared with conventional algorithms, including Multi-Objective Particle Swarm Optimization (MOPSO), Non-dominated Sorting Dung Beetle Optimizer (NSDBO), and Multi-Objective Sparrow Search Algorithm (MOSSA), MOCOA exhibits superior convergence and solution diversity. The findings provide valuable engineering insights into the optimal configuration of ESS and EMS for hybrid ships, thereby contributing to the advancement of green shipping. Full article
(This article belongs to the Section Ocean Engineering)
Show Figures

Figure 1

57 pages, 3592 KB  
Review
From Heuristics to Multi-Agent Learning: A Survey of Intelligent Scheduling Methods in Port Seaside Operations
by Yaqiong Lv, Jingwen Wang, Zhongyuan Liu and Mingkai Zou
Mathematics 2025, 13(17), 2744; https://doi.org/10.3390/math13172744 - 26 Aug 2025
Cited by 4 | Viewed by 2152
Abstract
Port seaside scheduling, involving berth allocation, quay crane, and tugboat scheduling, is central to intelligent port operations. This survey reviews and statistically analyzes 152 academic publications from 2000 to 2025 that focus on optimization techniques for port seaside scheduling. The reviewed methods span [...] Read more.
Port seaside scheduling, involving berth allocation, quay crane, and tugboat scheduling, is central to intelligent port operations. This survey reviews and statistically analyzes 152 academic publications from 2000 to 2025 that focus on optimization techniques for port seaside scheduling. The reviewed methods span mathematical modeling and exact algorithms, heuristic and simulation-based approaches, and agent-based and learning-driven techniques. Findings show deterministic models remain mainstream (77% of studies), with uncertainty-aware models accounting for 23%. Heuristic and simulation approaches are most commonly used (60.5%), followed by exact algorithms (21.7%) and agent-based methods (12.5%). While berth and quay crane scheduling have historically been the primary focus, there is growing research interest in tugboat operations, pilot assignment, and vessel routing under navigational constraints. The review traces a clear evolution from static, single-resource optimization to dynamic, multi-resource coordination enabled by intelligent modeling. Finally, emerging trends such as the integration of large language models, green scheduling strategies, and human–machine collaboration are discussed, providing insights and directions for future research and practical implementations. Full article
Show Figures

Figure 1

30 pages, 4687 KB  
Article
A Multi-Agent Optimization Approach for Multimodal Collaboration in Marine Terminals
by Ilias Alexandros Parmaksizoglou, Alessandro Bombelli and Alexei Sharpanskykh
Logistics 2025, 9(3), 110; https://doi.org/10.3390/logistics9030110 - 8 Aug 2025
Cited by 1 | Viewed by 1503
Abstract
Background: The rapid growth of international maritime trade has intensified operational challenges at marine terminals due to increased interaction between vessels, trucks, and trains. Key issues include berth congestion, inefficient truck arrivals, and underutilization of terminal resources. Ensuring coordinated planning among transport modes [...] Read more.
Background: The rapid growth of international maritime trade has intensified operational challenges at marine terminals due to increased interaction between vessels, trucks, and trains. Key issues include berth congestion, inefficient truck arrivals, and underutilization of terminal resources. Ensuring coordinated planning among transport modes and fostering collaboration between stakeholders such as vessel operators, logistics providers, and terminal managers is critical to mitigating these inefficiencies. Methods: This study proposes a multi-agent, multi-objective coordination model that synchronizes vessel berth allocation with truck appointment scheduling. A solution method combining prioritized planning with a neighborhood search heuristic is introduced to explore Pareto-optimal trade-offs. The performance of this approach is benchmarked against well-established multi-objective evolutionary algorithms (MOEAs), including NSGA-II and SPEA2. Results: Numerical experiments demonstrate that the proposed method generates a greater number of Pareto-optimal solutions and achieves higher hypervolume indicators compared to MOEAs. These results show improved balance among objectives such as minimizing vessel waiting times, reducing truck congestion, and optimizing terminal resource usage. Conclusions: By integrating berth allocation and truck scheduling through a transparent, multi-agent approach, this work provides decision-makers with better tools to evaluate trade-offs in port terminal operations. The proposed strategy supports more efficient, fair, and informed coordination in complex multimodal environments. Full article
(This article belongs to the Section Maritime and Transport Logistics)
Show Figures

Figure 1

22 pages, 12260 KB  
Article
Improved Directional Mutation Moth–Flame Optimization Algorithm via Gene Modification for Automatic Reverse Parking Trajectory Optimization
by Yan Chen, Yi Chen, Yang Guo, Longda Wang and Gang Liu
Algorithms 2025, 18(6), 299; https://doi.org/10.3390/a18060299 - 22 May 2025
Viewed by 686
Abstract
Automatic reverse parking (ARP) faces challenges in finding ideal reference trajectories that avoid collisions, maintain smoothness, and minimize path length. To address this, we propose an improved directional mutation moth–flame optimization algorithm with gene modification (IDMMFO-GM). We develop a practical reference trajectory optimization [...] Read more.
Automatic reverse parking (ARP) faces challenges in finding ideal reference trajectories that avoid collisions, maintain smoothness, and minimize path length. To address this, we propose an improved directional mutation moth–flame optimization algorithm with gene modification (IDMMFO-GM). We develop a practical reference trajectory optimization model by combining cubic spline interpolation with a standardized parking plane coordinate system. To effectively address the infeasible solutions encountered when parking in a garage, we apply gene modification for collision avoidance and berthing tilt generated from the reference trajectory optimization to enhance the preservation of optimization information. Furthermore, we introduce a non-linear decreasing weight coefficient and a directional mutation strategy into the moth–flame optimization algorithm to significantly improve its overall optimization performance. Taking the automatic parking garage space No. 155 in Dalian Shell Museum as the actual vehicle test object, which is situated within Dalian Xinghai Square, test results demonstrate that the proposed algorithm achieves an accelerated optimization speed, enhanced precision in trajectory optimization, and superior tracking control performance. Full article
Show Figures

Graphical abstract

26 pages, 4000 KB  
Article
Collaborative Optimization of Shore Power and Berth Allocation Based on Economic, Environmental, and Operational Efficiency
by Zhiqiang Zhang, Yuhua Zhu, Jian Zhu, Daozheng Huang, Chuanzhong Yin and Jinyang Li
J. Mar. Sci. Eng. 2025, 13(4), 776; https://doi.org/10.3390/jmse13040776 - 14 Apr 2025
Cited by 6 | Viewed by 3445
Abstract
When vessels are docked at ports, traditional auxiliary engines produce substantial pollutants and noise, exerting pressure on the port environment. Shore power technology, as a green, energy-efficient, and emission-reducing solution, can effectively mitigate ship emissions. However, its widespread adoption is hindered by challenges [...] Read more.
When vessels are docked at ports, traditional auxiliary engines produce substantial pollutants and noise, exerting pressure on the port environment. Shore power technology, as a green, energy-efficient, and emission-reducing solution, can effectively mitigate ship emissions. However, its widespread adoption is hindered by challenges such as high costs, compatibility issues, and connection complexity. This study develops a multi-objective optimization model for the coordinated allocation of shore power and berth scheduling, integrating economic benefits, environmental benefits, and operational efficiency. The NSGA-III algorithm is employed to solve the model and generate a Pareto-optimal solution set, with the final optimal solution identified using the TOPSIS method. The results demonstrate that the optimized shore power distribution and berth scheduling strategy can significantly reduce ship emissions and port operating costs while enhancing overall port resource utilization efficiency. Additionally, an economically feasible shore power allocation scheme, based on 80% of berth capacity, is proposed. By accounting for variations in ship types, this study provides more targeted and practical optimization strategies. These findings offer valuable decision support for port management and contribute to the intelligent and sustainable development of green ports. Full article
(This article belongs to the Section Marine Environmental Science)
Show Figures

Graphical abstract

22 pages, 3686 KB  
Article
Simulation Modeling for Ships Entering and Leaving Port in Qiongzhou Strait Waters: A Multi-Agent Information Interaction Method
by Dong Han, Xiaodong Cheng, Hualong Chen, Changshi Xiao, Yuanqiao Wen and Zhongyi Sui
J. Mar. Sci. Eng. 2024, 12(9), 1560; https://doi.org/10.3390/jmse12091560 - 5 Sep 2024
Cited by 5 | Viewed by 3038
Abstract
Simulation technology has been extensively utilized in the study of ship entry and exit from ports, as well as navigation through waterways. It effectively mirrors the stochastic dynamic changes and interrelationships among various elements within the port system. This paper provides a comparative [...] Read more.
Simulation technology has been extensively utilized in the study of ship entry and exit from ports, as well as navigation through waterways. It effectively mirrors the stochastic dynamic changes and interrelationships among various elements within the port system. This paper provides a comparative analysis of the advantages and disadvantages of various modeling methods used in ship navigation simulations. It proposes a simulation modeling approach for ship–port systems based on multi-agent information interaction, which simulates the entire process of ships entering and exiting ports and navigating through complex waterways, achieving a precise and detailed simulation of the entire port entry and exit process in complex waters. Using the Qiongzhou Strait as a case study, the validity and accuracy of the model are verified. The model is employed to quantitatively identify port navigation elements, assess waterway capacity, and evaluate port operational capability. Furthermore, the model enables the analysis of coordination among port channels, berths, and anchorages. Based on simulation results and port development plans, recommendations are provided to enhance port service levels and promote scientific, rational development and efficient operation of ports. Full article
Show Figures

Figure 1

18 pages, 484 KB  
Article
Collaborative Scheduling for Yangtze Riverport Channels and Berths Using Multi-Objective Optimization
by Shiting Yang, Helong Shen, Zhenyang Zhong, Xiaobin Qian and Yufei Wang
Appl. Sci. 2024, 14(15), 6514; https://doi.org/10.3390/app14156514 - 25 Jul 2024
Cited by 8 | Viewed by 1773
Abstract
Efficient coordinated scheduling has long been a focal point in port research, complicated by the diverse optimization goals dictated by different port characteristics. This study focuses on Yangtze River ports, exploring coordinated scheduling amidst river–sea intermodal transportation. Our research aims to reduce berth [...] Read more.
Efficient coordinated scheduling has long been a focal point in port research, complicated by the diverse optimization goals dictated by different port characteristics. This study focuses on Yangtze River ports, exploring coordinated scheduling amidst river–sea intermodal transportation. Our research aims to reduce berth deviation costs and shorten the total scheduling time for ships, while maximizing berth utilization rates for ports. Initially, we analyzed the operational realities of Yangtze River ports and waterways. Subsequently, we innovatively introduced three key factors influencing scheduling: berth preferences, seagoing ship inspections, and planning cycles. Finally we proposed the optimized Non-dominated Sorting Genetic Algorithm III (NSGA-III). Evaluating the model using a seven-day dataset of vessel activities at Yangtze River ports revealed significant improvements: the optimized NSGA-III enhanced objective values by 30.81%, 13.73%, and 12.11% compared to the original scheduling approach, surpassing both conventional NSGA-III and NSGA-II algorithms. This study underscores the model’s efficacy in not only reducing operational costs through optimized ship and berth sequencing but also in enhancing clearance efficiency for relevant authorities. Full article
(This article belongs to the Special Issue Optimization and Simulation Techniques for Transportation)
Show Figures

Figure 1

23 pages, 1778 KB  
Article
Optimization of Berth-Tug Co-Scheduling in Container Terminals under Dual-Carbon Contexts
by Yan Wang and Tianyu Zou
J. Mar. Sci. Eng. 2024, 12(4), 684; https://doi.org/10.3390/jmse12040684 - 21 Apr 2024
Cited by 7 | Viewed by 2876
Abstract
In order to address the dynamic changes in vessel preferences for berth lines caused by the deployment of shore-based power equipment in major ports and the collaborative scheduling problem of berthing and towing assistance, this paper quantifies the environmental costs of pollutants from [...] Read more.
In order to address the dynamic changes in vessel preferences for berth lines caused by the deployment of shore-based power equipment in major ports and the collaborative scheduling problem of berthing and towing assistance, this paper quantifies the environmental costs of pollutants from the main engines of tugs and auxiliary engines of container ships using an environmental tax. Additionally, considering the economic costs such as vessel delay and shore power cable connection, a two-layer mixed-integer linear programming model is constructed using the task sequence mapping method. This model integrates the allocation of continuous berths at container terminals with coordinated towing scheduling for shore power selection. A solution approach is designed by combining the commercial solver (CPLEX) and the immune particle swarm optimization algorithm (IAPSO). The proposed scheme is validated using the example of the Nansha Phase IV Terminal at the Port of Guangzhou. The results show that compared to the traditional first-come-first-served and adjacent scheduling schemes, the collaborative scheduling scheme proposed in this paper reduces the total cost by 21.73%. By effectively utilizing berth resources and shore power equipment while densely arranging collaborative tasks and appropriately increasing the number of tugs, the port can convert the economic cost of leasing a small number of tugs (increased by 10.63%) into environmental benefits (decreased by 33.88%). This approach provides a reference for addressing nearshore pollution emissions in ports. Full article
(This article belongs to the Special Issue Smart Seaport and Maritime Transport Management)
Show Figures

Figure 1

18 pages, 10952 KB  
Article
The Coordinated Power Control of Flexible DC Microgrids in Sustainably Optimized Yacht Marinas
by Andrea Alessia Tavagnutti, Serena Bertagna, Marco Dalle Feste, Massimiliano Chiandone, Daniele Bosich, Vittorio Bucci and Giorgio Sulligoi
Energies 2024, 17(2), 521; https://doi.org/10.3390/en17020521 - 21 Jan 2024
Cited by 4 | Viewed by 1968
Abstract
Nowadays, the industrial world is undergoing a disruptive transformation towards more environmentally sustainable solutions. In the blue economy, this new approach is not only expressed in the domain of actual vessels, but also in the development of charging infrastructure, displaying a notable transition [...] Read more.
Nowadays, the industrial world is undergoing a disruptive transformation towards more environmentally sustainable solutions. In the blue economy, this new approach is not only expressed in the domain of actual vessels, but also in the development of charging infrastructure, displaying a notable transition towards more eco-friendly solutions. The key focus lies in adopting flexible power systems capable of integrating renewable energy sources and storage technologies. Such systems play a crucial role in enabling a shift towards low-emission maritime transport. The emissions reduction goal extends beyond onboard shipboard distribution systems, encompassing also the design of supplying platforms and marinas. This study explores the implementation of a controlled DC microgrid tailored to efficient management of power flows within a yacht marina. Once having established the interfaces for the vessels at berth, the integration between the vessels, the onshore photovoltaic plant and the battery storage unit is made possible thanks to the coordinated management of multiple power converters. The overarching goal is to curtail reliance on external energy sources. Within this DC microgrid framework, a centralized controller assumes a pivotal role in orchestrating the power sources and loads. This coordinated management is essential to achieve sustainable operations, ultimately leading to the reduction of emissions from both ships and onshore power plants. Full article
(This article belongs to the Special Issue Sustainable/Renewable Energy Systems Analysis and Optimization)
Show Figures

Figure 1

18 pages, 6989 KB  
Article
Sediment Resuspension Distribution Modelling Using a Ship Handling Simulation along with the MIKE 3 Application
by Jure Srše, Marko Perkovič and Aleksander Grm
J. Mar. Sci. Eng. 2023, 11(8), 1619; https://doi.org/10.3390/jmse11081619 - 19 Aug 2023
Cited by 4 | Viewed by 2487
Abstract
The environmental effects of ship propellers were not even close to fully examined before the current massive ships were introduced to sea trade. Larger ships, result in greater length, beam, draft and propulsion power. Of concern here is the under-keel clearance (UKC) and [...] Read more.
The environmental effects of ship propellers were not even close to fully examined before the current massive ships were introduced to sea trade. Larger ships, result in greater length, beam, draft and propulsion power. Of concern here is the under-keel clearance (UKC) and applied power, the most important parameters causing sea bottom sediment resuspension and, consequently, the transport and deposition of washed sediments. The problems are multifarious: shorelines could be contaminated with heavy metals, petroleum hydrocarbons and other organic chemicals, which are sometimes buried deep in the sediment bed. The effects of resuspension on marine life have been well documented by marine biologists. Further, a ship passing through a flow field may have a significant hydrodynamic effect on the shipping channel: waves generated by moving vessels can accelerate shoreline erosion; erosion around quay piles have a negative impact on sea flora. Waves can also affect other manoeuvring vessels or ships at berth. Available empirical models are applicable for a steady state condition, addressing velocity and, consequently, shears at the sea bottom for defined UKC and states of applied power. The idea here is to calculate material resuspension dynamically in the water column based on realistic manoeuvring conditions, which can be a matter of some complexity. During a manoeuvre, the pilot must bring the ship into or out of the harbour in the safest possible way, operating the telegraph, rudder, thrusters and possibly tugs, and also co-ordinating the work of the linesmen. The jet speed powering the vessel is not only a function of the speed of the propeller, but also of the present speed of the ship, which has an effect on the propeller’s constantly changing torque. Additionally, the bathymetry is constantly changing, and the streamlines hit not only the seabed, but also the bank and other structures of the harbour basin. The resuspended material remains in the column long after the ship has finished manoeuvring, moving slowly through the entire water column and being transported not only by the remaining streamlines of the ship but also by general currents. Realistic manoeuvring parameters can be obtained from real-time simulations with a real crew using state-of-the-art Full Mission Bridge Simulators (FMBS); eddies and the like contribute to the distribution and material resuspension and can be calculated by applying numerical modelling. In this paper, a container ship departure manoeuvre is simulated dynamically using Wartsila FMBS obtained data, which are postprocessed and coupled with the MIKE 3 FM hydrodynamic modelling application to which we add the precise port of Koper bathymetry to gain ship propeller spatial jet velocity distribution in specific time domains. Obtained jet velocity distribution is further coupled with the MIKE 3 MT particle tracking application to visualize total resuspended sediment transport patterns, etc. Container ships were selected to amplify the urgency of this phenomenon; they are the most intrusive in terms of resuspending and scouring the seabed given their powerful engines and larger propellers. Passenger ships could have been used, car carriers, or even tankers; but the fear among scientists is that the issue will not be taken seriously enough by certain stakeholders. Full article
(This article belongs to the Special Issue Sustainable and Safe Maritime Transportation)
Show Figures

Figure 1

17 pages, 3386 KB  
Article
A Tangent Release Manipulation Controlled by a Dual-Arm Space Robot
by Xiaoyi Wang and Jayantha Katupitiya
Actuators 2023, 12(8), 325; https://doi.org/10.3390/act12080325 - 14 Aug 2023
Cited by 4 | Viewed by 2616
Abstract
As people further develop space with advanced technology, space robots have played a significant role in on-orbit servicing missions. Space robots can carry out more risky and complicated missions with less cost than astronauts. Dual-arm space robots can perform complex on-orbit space missions [...] Read more.
As people further develop space with advanced technology, space robots have played a significant role in on-orbit servicing missions. Space robots can carry out more risky and complicated missions with less cost than astronauts. Dual-arm space robots can perform complex on-orbit space missions more effectively than single-arm space robots. Since the coupled dynamics between the free-floating base and the arms exist in space robots, accurate coordinate control of the base and the arms is essential. Spacecraft release missions have been proposed to berth/deberth a spacecraft to a space station. Based on the existing release missions, a tangent release strategy is introduced in this paper, which can release a space object in the tangent direction of the final link of a space manipulator. This strategy can control a dual-arm space robot to deploy cargo/spacecraft in variable directions in 3D space without thrusters and the associated fuel consumption. For instance, this tangent release operation can transport cargo or modules of large-scale spacecraft needing on-orbit assembly. Considering model uncertainties, robust controllers again model uncertainties that are used to control the dual-arm space robot with high accuracy. Hence, a robust sliding mode controller (SMC) is utilized to accurately control the space robot to carry out the proposed tangent release strategy. For comparison, we select a conventional computed torque control (CTC) implemented by a PD-type controller. In the simulations, the SMC performs better in tracking accuracy and robustness against the model uncertainties than the PD controller. Numerical simulations indicate the feasibility and effectiveness of the tangent release manipulation of a space object by a dual-arm space robot. Full article
(This article belongs to the Special Issue Advanced Spacecraft Structural Dynamics and Actuation Control)
Show Figures

Figure 1

20 pages, 3151 KB  
Article
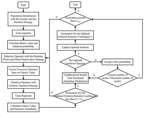
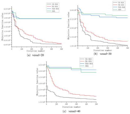
Multi-Terminal Berth and Quay Crane Joint Scheduling in Container Ports Considering Carbon Cost
by Meixian Jiang, Jiajia Feng, Jian Zhou, Lin Zhou, Fangzheng Ma, Guanghua Wu and Yuqiu Zhang
Sustainability 2023, 15(6), 5018; https://doi.org/10.3390/su15065018 - 12 Mar 2023
Cited by 15 | Viewed by 5537
Abstract
As container ports become increasingly important to the global supply chain, a growing number of ports are improving their competencies by consolidating multiple terminal resources internally. In addition, in the context of energy conservation and emission reduction, ports measure competitiveness not only in [...] Read more.
As container ports become increasingly important to the global supply chain, a growing number of ports are improving their competencies by consolidating multiple terminal resources internally. In addition, in the context of energy conservation and emission reduction, ports measure competitiveness not only in terms of terminal size, throughput and service level, but also in terms of low energy consumption and low pollution. Therefore, a nonlinear mixed-integer programming model considering the cost of carbon is developed for the multi-terminal berth and quay crane joint robust scheduling problem under uncertain environments to minimize the sum of expectation and variance of total cost under all randomly generated samples. The model considers the water depth and interference of quay cranes, etc. The expected vessel arrival time and the average operational efficiency plus relaxation are used as their actual values when scheduling. Finally, an improved adaptive genetic algorithm is developed by combining the simulated annealing mechanism, and numerical experiments are designed. The results show that the joint berth and quay crane scheduling with uncertainties and a multi-terminal coordination mechanism can effectively reduce the operating cost, including carbon costs and the vessel departure delay rate, and can improve resource utilization. Meanwhile, the scheduling with the multi-terminal coordination mechanism can obtain more significant improvement effects than the scheduling with uncertainties. Full article
Show Figures

Figure 1

Back to TopTop