A Tangent Release Manipulation Controlled by a Dual-Arm Space Robot
Abstract
1. Introduction
- A tangent release strategy for a object in 3D space by a dual-arm space robot is addressed.
- The model uncertainties of the space robot system are considered. A robust SMC against the model uncertainties is developed for the space robot.
2. Model Description
2.1. Assumptions
- According to Figure 2, the dual-arm space robot incorporates a rigid base and two rigid symmetrical arms. Each manipulator has n links with n degrees of freedom.
- The orbital mechanics are ignored during the tangent release operation.
- An initial configuration is set up to keep from singular configurations of the manipulators during the tangent release manipulation.
- The space object is assumed as a rigid cuboid with an initial stationary status. The dual-arm space robot can grasp the two symmetric grasp points (A and B) of the space object and subsequently release the space object at a desired velocity.
- The thrusters will not be ignited during the operation due to the impulse caused by the ignition. Reaction wheels (RWs) can regulate the base attitude of the space robot by exchanging angular momentum with the base.
- There are negligible external forces or torques applied to the combined system, incorporating the space robot and the space object during the operation.
- Geometrical parameters and the motion of the space object can be observed and precisely estimated by sensors of the space robot before the operation.
2.2. Coordinate Systems
2.3. Nomenclature
| the i-th link of k-th arm, . | |
| the i-th joint of k-th arm, . | |
| position vector for the center of mass (CM) of the space robot in . | |
| position vector for the CM of the base of the space robot. | |
| position vector for the CM of . | |
| position vector for the CM of the k-th end-effector. | |
| position vector for the CM of the space object (also set as the origin of ). | |
| position vector for grasp point A of the space object in . | |
| position vector for grasp point b of the space object in . | |
| position vector for the CM of the combined system . | |
| position vector from CM of the base to Joint . | |
| length from to CM of . | |
| length and from CM of to . | |
| length from CM of the space object to grasp point A. | |
| length from CM of the space object to grasp point B. | |
| height of the space object. | |
| attitude vector of the base with respect to the inertial frame. | |
| mass of the base, Joint , and the space object, respectively. | |
| angular velocity of the combined system with respect to the inertial frame. | |
| rotational angle vector of the combined system with respect to the inertial frame. | |
| the control torque applied to the i-th joint of k-th arm, . | |
| the control torques from the three RWs to regulate the base attitude. |
2.4. Space Robot Model
3. Tangent Release Strategy
4. Control of the Dual-Arm Space Robot
Sliding Mode Controller
5. Numerical Simulation
5.1. Simulation Set-Up
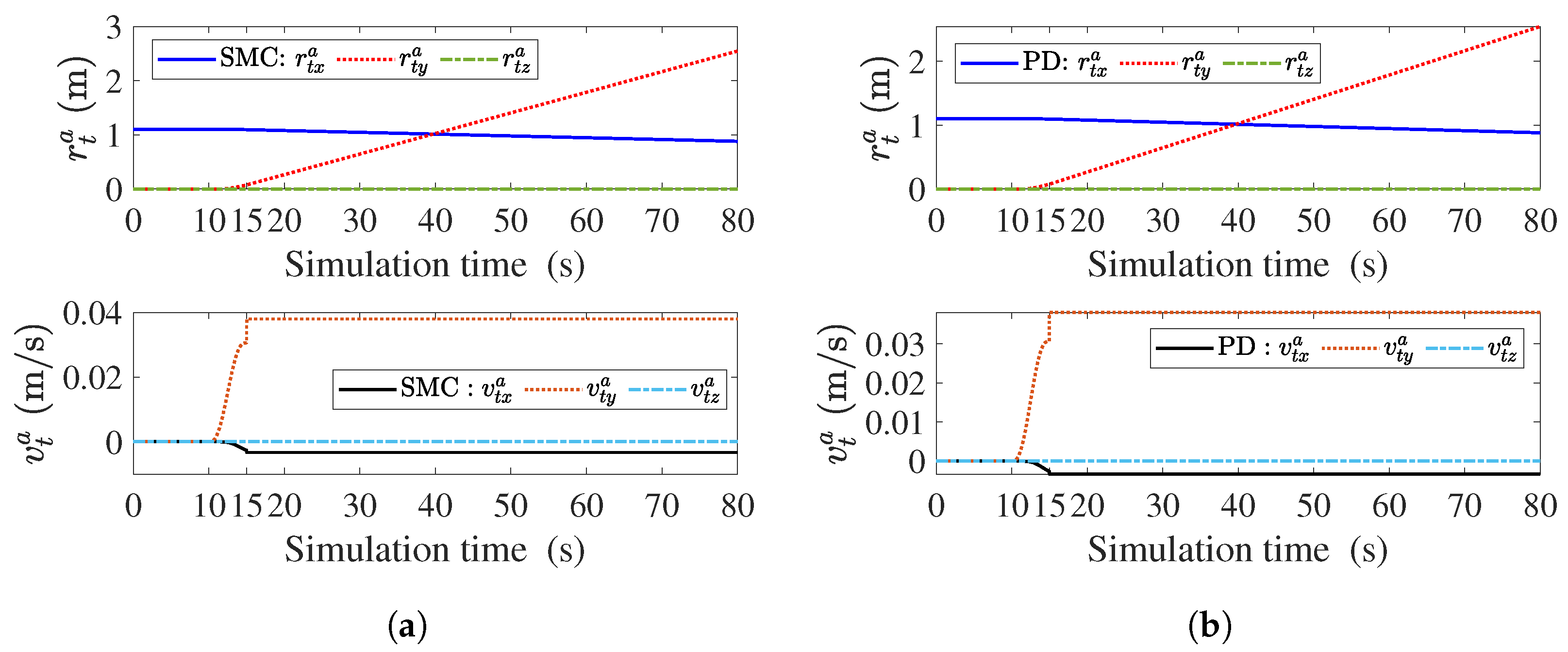
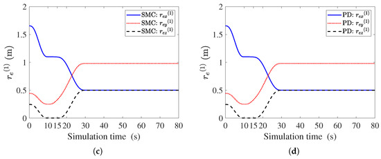
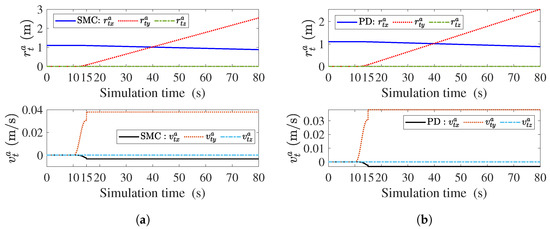
5.2. Simulation Results
5.3. Robustness against Model Uncertainties
6. Conclusions
Author Contributions
Funding
Institutional Review Board Statement
Informed Consent Statement
Data Availability Statement
Conflicts of Interest
References
- Moosavian, S.A.A.; Papadopoulos, E. Free-flying robots in space: An overview of dynamics modeling, planning and control. Robotica 2007, 25, 537–547. [Google Scholar] [CrossRef]
- Flores-Abad, A.; Ma, O.; Pham, K.; Ulrich, S. A review of space robotics technologies for on-orbit servicing. Prog. Aerosp. Sci. 2014, 68, 1–26. [Google Scholar] [CrossRef]
- Shi, L.; Yao, H.; Shan, M.; Gao, Q.; Jin, X. Robust control of a space robot based on an optimized adaptive variable structure control method. Aerosp. Sci. Technol. 2022, 120, 107267. [Google Scholar] [CrossRef]
- Ouyang, X.; Meng, D.; Wang, X.; Wang, C.; Liang, B.; Ding, N. Hybrid rigid-continuum dual-arm space robots: Modeling, coupling analysis, and coordinated motion planning. Aerosp. Sci. Technol. 2021, 116, 106861. [Google Scholar] [CrossRef]
- Guo, J.; Zhao, Y.; Xu, Y.; Zhang, G.; Yao, J. A novel modular deployable mechanism for the truss antenna: Assembly principle and performance analysis. Aerosp. Sci. Technol. 2020, 105, 105976. [Google Scholar] [CrossRef]
- Jin, R.; Rocco, P.; Geng, Y. Cartesian trajectory planning of space robots using a multi-objective optimization. Aerosp. Sci. Technol. 2021, 108, 106360. [Google Scholar] [CrossRef]
- Huang, Z.; Chen, G.; Shen, Y.; Wang, R.; Liu, C.; Zhang, L. An Obstacle-Avoidance Motion Planning Method for Redundant Space Robot via Reinforcement Learning. Actuators 2023, 12, 69. [Google Scholar] [CrossRef]
- Syromiatnikov, V.S. Manipulator system for module re docking on the Mir Orbital Complex. In Proceedings of the 1992 IEEE International Conference on Robotics and Automation. IEEE Computer Society, Nice, France, 12–14 May 1992; pp. 913–914. [Google Scholar]
- Yoshida, K.; Kurazume, R.; Umetani, Y. Dual arm coordination in space free-flying robot. In Proceedings of the ICRA, Citeseer, Sacramento, CA, USA, 9–11 April 1991; pp. 2516–2521. [Google Scholar]
- Control system for free-floating space manipulator based on nonlinear model predictive control (NMPC). J. Intell. Robot. Syst. 2017, 85, 491–509. [CrossRef]
- Yang, S.; Wen, H.; Hu, Y.; Jin, D. Coordinated motion control of a dual-arm space robot for assembling modular parts. Acta Astronaut. 2020, 177, 627–638. [Google Scholar] [CrossRef]
- Xu, W.; Meng, D.; Liu, H.; Wang, X.; Liang, B. Singularity-free trajectory planning of free-floating multiarm space robots for keeping the base inertially stabilized. IEEE Trans. Syst. Man Cybern. Syst. 2017, 49, 2464–2477. [Google Scholar] [CrossRef]
- Raina, D.; Shah, S.V. Impact modeling and estimation for multi-arm space robot while capturing tumbling orbiting objects. In Proceedings of the Advances in Robotics, New Delhi, India, 28 June–2 July 2017; pp. 1–6. [Google Scholar]
- Peng, J.; Xu, W.; Wang, Z.; She, Y. Dynamic analysis of the compounded system formed by dual-arm space robot and the captured target. In Proceedings of the 2013 IEEE International Conference on Robotics and Biomimetics (ROBIO), Shenzhen, China, 12–14 December 2013; pp. 1532–1537. [Google Scholar]
- Liu, E.; Yang, Y.; Yan, Y. Spacecraft attitude tracking for space debris removal using adaptive fuzzy sliding mode control. Aerosp. Sci. Technol. 2020, 107, 106310. [Google Scholar] [CrossRef]
- Shi, L.; Kayastha, S.; Katupitiya, J. Robust coordinated control of a dual-arm space robot. Acta Astronaut. 2017, 138, 475–489. [Google Scholar] [CrossRef]
- Wang, X.; Shi, L.; Katupitiya, J. Robust control of a dual-arm space robot for in-orbit screw-driving operation. Acta Astronaut. 2022, 200, 139–148. [Google Scholar] [CrossRef]
- Jia, Y.; Misra, A.K. Robust trajectory tracking control of a dual-arm space robot actuated by control moment gyroscopes. Acta Astronaut. 2017, 137, 287–301. [Google Scholar] [CrossRef]
- Jia, Y.H.; Hu, Q.; Xu, S.J. Dynamics and adaptive control of a dual-arm space robot with closed-loop constraints and uncertain inertial parameters. Acta Mech. Sin. 2014, 30, 112–124. [Google Scholar] [CrossRef]
- Yan, L.; Xu, W.; Hu, Z.; Liang, B. Multi-objective configuration optimization for coordinated capture of dual-arm space robot. Acta Astronaut. 2020, 167, 189–200. [Google Scholar] [CrossRef]
- Mohamed, A.; Saaj, C.; Seddaoui, A.; Eckersley, S. Controlling a non-linear space robot using linear controllers. In Proceedings of the 5th CEAS Conference on Guidance, Navigation and Control (EuroGNC), Milan, Italy, 3–5 April 2019; CEAS: Milan, Italy, 2019. [Google Scholar]
- Moradi, M. Self-tuning PID controller to three-axis stabilization of a satellite with unknown parameters. Int. J. Non-Linear Mech. 2013, 49, 50–56. [Google Scholar] [CrossRef]
- Tang, Z.; He, S.; Yang, M.; Pei, Z. Adaptive control based on neural network for uncertain space robot. In Proceedings of the 2011 International Conference on Photonics, 3D-Imaging, and Visualization. International Society for Optics and Photonics, Guangzhou, China, 16–19 May 2011; Volume 8205, p. 82052Z. [Google Scholar]
- Zubov, N.; Lapin, A.; Ryabchenko, V.; Proletarsky, A.; Selezneva, M.; Neusypin, K. A Robust Control Algorithm of a Descent Vehicle Angular Motion in the Earth’s Atmosphere. Appl. Sci. 2022, 12, 731. [Google Scholar] [CrossRef]
- He, G.; Cao, D. Dynamic Modeling and Attitude–Vibration Cooperative Control for a Large-Scale Flexible Spacecraft. Actuators 2023, 12, 167. [Google Scholar] [CrossRef]
- Zhang, X.; Liu, J.; Gao, Q.; Ju, Z. Adaptive robust decoupling control of multi-arm space robots using time-delay estimation technique. Nonlinear Dyn. 2020, 100, 2449–2467. [Google Scholar] [CrossRef]
- Feng, C.; Chen, W.; Shao, M.; Ni, S. Trajectory Tracking and Adaptive Fuzzy Vibration Control of Multilink Space Manipulators with Experimental Validation. Actuators 2023, 12, 138. [Google Scholar] [CrossRef]
- Slotine, J.J.E. The robust control of robot manipulators. Int. J. Robot. Res. 1985, 4, 49–64. [Google Scholar] [CrossRef]
- Wang, X.; Shi, L.; Katupitiya, J. A strategy to decelerate and capture a spinning object by a dual-arm space robot. Aerosp. Sci. Technol. 2021, 113, 106682. [Google Scholar] [CrossRef]
- Wang, X.; Shi, L.; Katupitiya, J. Coordinated Control of a Dual-arm Space Robot to Approach and Synchronise with the Motion of a Spinning Target in 3D Space. Acta Astronaut. 2020, 176, 99–110. [Google Scholar] [CrossRef]
- Shi, L.; Xiao, X.; Shan, M.; Wang, X. Force control of a space robot in on-orbit servicing operations. Acta Astronaut. 2022, 193, 469–482. [Google Scholar] [CrossRef]
- Hollerbach, J.M. A recursive lagrangian formulation of maniputator dynamics and a comparative study of dynamics formulation complexity. IEEE Trans. Syst. Man Cybern. 1980, 10, 730–736. [Google Scholar] [CrossRef]
- Bézier, P.E. How Renault Uses Numerical Control for Car Body Design and Tooling; Technical Report, SAE Technical Paper; SAE International: Warrendale, PA, USA, 1968. [Google Scholar]
- Yamawaki, T.; Yashima, M. Arm trajectory planning by controlling the direction of end-point position error caused by disturbance. In Proceedings of the 2008 IEEE/ASME International Conference on Advanced Intelligent Mechatronics, Xi’an, China, 2–5 July 2008; pp. 1120–1125. [Google Scholar]
- DeCarlo, R.A.; Zak, S.H.; Matthews, G.P. Variable structure control of nonlinear multivariable systems: A tutorial. Proc. IEEE 1988, 76, 212–232. [Google Scholar] [CrossRef]












| Body | a (m) | b (m) | h (m) | Mass (kg) | Inertia |
|---|---|---|---|---|---|
| () (kg·m) | |||||
| Base | - | - | 100 | (30, 30, 30) | |
| 0.25 | 0.25 | - | 8 | (0.2, 0.0064, 0.2) | |
| 0.5 | 0.5 | - | 10 | (0.008, 0.8, 0.8) | |
| 0.5 | 0.5 | - | 10 | (0.008, 0.8, 0.8) | |
| 0.25 | 0.25 | - | 8 | (0.2, 0.0064, 0.2) | |
| 0.5 | 0.5 | - | 10 | (0.008, 0.8, 0.8) | |
| 0.5 | 0.5 | - | 10 | (0.008, 0.8, 0.8) | |
| RWs | - | - | - | 5 | (0.3, 0.3, 0.3) |
| Space object | 0.25 | 0.25 | 1 | 42.75 | (20, 20, 15) |
| Body | Variable | Symbol | Value | Unit |
|---|---|---|---|---|
| FFSR | Position | m | ||
| Linear velocity | m/s | |||
| Angular velocity | rad/s | |||
| Base | Attitude | |||
| Linear velocity | m/s | |||
| Angular velocity | rad/s | |||
| Joint | Angle | |||
| Angle | ||||
| Angular velocity | rad/s | |||
| Angular velocity | rad/s | |||
| End-effectors | Position | m | ||
| m | ||||
| Space object frame | Position | m | ||
| Angular velocity | degree/s | |||
| Linear velocity | m/s | |||
| Attitude | ||||
| Grasp points | Position | m | ||
| m | ||||
| Combined system | Attitude | |||
| Angular velocity | degree/s |
Disclaimer/Publisher’s Note: The statements, opinions and data contained in all publications are solely those of the individual author(s) and contributor(s) and not of MDPI and/or the editor(s). MDPI and/or the editor(s) disclaim responsibility for any injury to people or property resulting from any ideas, methods, instructions or products referred to in the content. |
© 2023 by the authors. Licensee MDPI, Basel, Switzerland. This article is an open access article distributed under the terms and conditions of the Creative Commons Attribution (CC BY) license (https://creativecommons.org/licenses/by/4.0/).
Share and Cite
Wang, X.; Katupitiya, J. A Tangent Release Manipulation Controlled by a Dual-Arm Space Robot. Actuators 2023, 12, 325. https://doi.org/10.3390/act12080325
Wang X, Katupitiya J. A Tangent Release Manipulation Controlled by a Dual-Arm Space Robot. Actuators. 2023; 12(8):325. https://doi.org/10.3390/act12080325
Chicago/Turabian StyleWang, Xiaoyi, and Jayantha Katupitiya. 2023. "A Tangent Release Manipulation Controlled by a Dual-Arm Space Robot" Actuators 12, no. 8: 325. https://doi.org/10.3390/act12080325
APA StyleWang, X., & Katupitiya, J. (2023). A Tangent Release Manipulation Controlled by a Dual-Arm Space Robot. Actuators, 12(8), 325. https://doi.org/10.3390/act12080325

