Sign in to use this feature.

Years

Between: -

Subjects

remove_circle_outline
remove_circle_outline
remove_circle_outline
remove_circle_outline
remove_circle_outline
remove_circle_outline
remove_circle_outline

Journals

Article Types

Countries / Regions

Search Results (10)

Search Parameters:
Keywords = benzophenone-type UV filters

Order results
Result details
Results per page
Select all
Export citation of selected articles as:
14 pages, 4192 KB  
Article
Nutshell Materials as a Potential Eco-Friendly Biosorbent for the Effective Extraction of UV Filters and Parabens from Water Samples
by Izabela Narloch, Grażyna Wejnerowska and Przemysław Kosobucki
Materials 2024, 17(20), 5128; https://doi.org/10.3390/ma17205128 - 21 Oct 2024
Cited by 1 | Viewed by 1073
Abstract
UV filters and parabens, as ingredients of cosmetics, are commonly occurring water pollutants. In our work, nutshells were used as biosorbents in the developed analytical procedure for the determination of UV filters and parabens in water samples. The shells obtained from walnuts, hazelnuts, [...] Read more.
UV filters and parabens, as ingredients of cosmetics, are commonly occurring water pollutants. In our work, nutshells were used as biosorbents in the developed analytical procedure for the determination of UV filters and parabens in water samples. The shells obtained from walnuts, hazelnuts, peanuts and pistachios were applied as biosorbents. The proposed analytical method can be used as a powerful alternative to other methods for the analysis of UV filters and parabens in water samples. A method of carrying out the sorption step and its parameters, i.e., the effect of time, pH, and salt addition, was developed. A method for the desorption of analytes was also developed, in which the type and volume of solvent, and the desorption time, were established. The recoveries were in the range of 59–117% for benzophenones and lower recoveries from 14 to 75% for parabens. The results showed that nutshells can be used as low-cost, efficient and eco-friendly biosorbents for the determination of parabens and UV filters in water samples. These materials can be used as a ‘greener’ replacement for the commercially available adsorbents for the extraction of cosmetic ingredients from the environment. Full article
Show Figures

Figure 1

13 pages, 1692 KB  
Article
Effect of Benzophenone Type UV Filters on Photodegradation of Co-existing Sulfamethoxazole in Water
by Dilini Kodikara, Zhongyu Guo and Chihiro Yoshimura
Photochem 2023, 3(2), 288-300; https://doi.org/10.3390/photochem3020017 - 1 Jun 2023
Cited by 2 | Viewed by 3195
Abstract
Benzophenones (BPs) frequently occur in water environments, and they are able to both screen UV light and to sensitize reactive intermediate (RI) production. However, BPs have largely been overlooked as a background water component when studying photodegradation of co-existing organic micropollutants (OMPs). Therefore, [...] Read more.
Benzophenones (BPs) frequently occur in water environments, and they are able to both screen UV light and to sensitize reactive intermediate (RI) production. However, BPs have largely been overlooked as a background water component when studying photodegradation of co-existing organic micropollutants (OMPs). Therefore, in this study, we investigated the influence of BP and its derivative oxybenzone (BP3) on the degradation of the co-existing model OMP sulfamethoxazole (SMX). A series of photodegradation experiments were conducted covering a range of BPs concentrations in μg/L levels, and the degradation of 1.00 μM of SMX was studied. The addition of BP at 0.10 μM, 0.25 μM, and 0.30 μM, and BP3 at 0.10 μM and 0.25 μM, significantly increased the first order degradation rate constant of 1.00 μM of SMX (kobs(BP)) by 36.2%, 50.0%, 7.3%, 31.5%, and 36.2% respectively, compared to that in the absence of any BPs. The maximum indirect photodegradation induced by BP and BP3 reached 33.8% and 27.7%, respectively, as a percentage of the observed SMX degradation rate at the [BPs]/[SMX] ratio of 0.25. In general, triplet excited dissolved organic matter (3SMX*, 3BP*, and 3BP3*) played the major role in the photosensitizing ability of BPs. The results further implied that the increase of SMX degradation at the molar ratio of 0.25 was possibly due to 3BP* for the mixture of SMX and BP. Overall, this study revealed the sensitizing ability of BP and BP3 on the co-existing OMP, SMX, in water for the first time. Our findings can be applied to other BP type UV filters which are similar to BP and PB3 in molecular structure. Full article
(This article belongs to the Special Issue Feature Papers in Photochemistry II)
Show Figures

Figure 1

9 pages, 3116 KB  
Article
Degradation of the UV Filter Benzophenone-4 by Ferrate (VI) in Aquatic Environments
by Rouyi Wang, Ping Sun, Zhicai Zhai, Hui Liu, Ruirui Han, Hongxia Liu and Yingsen Fang
Processes 2022, 10(9), 1829; https://doi.org/10.3390/pr10091829 - 10 Sep 2022
Cited by 2 | Viewed by 2771
Abstract
This work demonstrates the potential utility of ferrate(VI)-based advanced oxidation processes for the degradation of a representative UV filter, BP-4. The operational parameters of oxidant dose and temperature were determined with kinetic experiments. In addition, the effects of water constituents including anions (Cl [...] Read more.
This work demonstrates the potential utility of ferrate(VI)-based advanced oxidation processes for the degradation of a representative UV filter, BP-4. The operational parameters of oxidant dose and temperature were determined with kinetic experiments. In addition, the effects of water constituents including anions (Cl, HCO3, NO3, SO42−), cations (Na+, K+, Ca2+, Mg2+, Cu2+, Fe3+), and humic acid (HA) were investigated. Results suggested that the removal rate of BP-4 (5 mg/L) could reach 95% in 60 min, when [Fe(VI)]:[BP-4] = 100:1, T = 25 °C and pH = 7.0, The presence of K+, Cu2+ and Fe3+ could promote the removal of BP-4, but Cl, SO42−, NO3, HA and Na+ could significantly inhibit the removal of BP-4. Furthermore, this Fe(VI) oxidation processes has good feasibility in real water samples. These results may provide useful information for the environmental elimination of benzophenone-type UV filters by Fe(VI). Full article
(This article belongs to the Topic Advanced Oxidation Process: Applications and Prospects)
Show Figures

Graphical abstract

11 pages, 513 KB  
Article
Does Older Age Modify Associations between Endocrine Disrupting Chemicals and Fecundability?
by Anna Z. Pollack, Jenna R. Krall, Shanna H. Swan and Germaine M. Buck Louis
Int. J. Environ. Res. Public Health 2022, 19(13), 8074; https://doi.org/10.3390/ijerph19138074 - 30 Jun 2022
Cited by 7 | Viewed by 2664
Abstract
Urinary concentrations of several endocrine disrupting chemicals, including phthalate metabolites, bisphenol A (BPA), and benzophenone (BP)-type ultraviolet (UV) filters, have been associated with a longer time-to-pregnancy (TTP). Potential modification of these associations by couple’s age has not been studied. TTP was defined as [...] Read more.
Urinary concentrations of several endocrine disrupting chemicals, including phthalate metabolites, bisphenol A (BPA), and benzophenone (BP)-type ultraviolet (UV) filters, have been associated with a longer time-to-pregnancy (TTP). Potential modification of these associations by couple’s age has not been studied. TTP was defined as the number of prospectively observed menstrual cycles a couple attempted pregnancy until the occurrence of a human chorionic gonadotropic-detected pregnancy. Urinary concentrations of two BP-type UV filters and three phthalate metabolites were measured at baseline. Fecundability odds ratios (FORs) and 95% confidence intervals (CIs) were estimated for each chemical adjusting for age, body mass index, serum cotinine, creatinine, and accounting for right censoring and left truncation. Models evaluated effect modification between EDC concentrations and TTP by partner’s age, dichotomized at 35 years. Separate models were run for male and female partners. No significant effect modification was observed for any EDC for either partner, but data were suggestive of a longer TTP among females aged ≥35 years, particularly for BP-2 (FOR = 0.61, 95% CI 0.36, 1.05) and 4-hydroxybenzophenone (FOR = 0.71, 95% CI: 0.46, 1.09) reflecting 39% and 29% reductions in fecundability, respectively. We saw no evidence of effect modification by couples’ age on associations between TTP and urinary phthalate or BPA metabolite concentrations. Across the EDCs we examined, we found little evidence that age modifies TTP-exposure associations. Full article
Show Figures

Figure 1

23 pages, 6046 KB  
Review
Stability and Removal of Benzophenone-Type UV Filters from Water Matrices by Advanced Oxidation Processes
by Belma Imamović, Polonca Trebše, Elma Omeragić, Ervina Bečić, Andrej Pečet and Mirza Dedić
Molecules 2022, 27(6), 1874; https://doi.org/10.3390/molecules27061874 - 14 Mar 2022
Cited by 23 | Viewed by 6302
Abstract
Benzophenone (BP) type UV filters are common environmental contaminants that are posing a growing health concern due to their increasing presence in water. Different studies have evidenced the presence of benzophenones (BP, BP-1, BP-2, BP-3, BP-4, BP-9, HPB) in several environmental matrices, indicating [...] Read more.
Benzophenone (BP) type UV filters are common environmental contaminants that are posing a growing health concern due to their increasing presence in water. Different studies have evidenced the presence of benzophenones (BP, BP-1, BP-2, BP-3, BP-4, BP-9, HPB) in several environmental matrices, indicating that conventional technologies of water treatment are not able to remove them. It has also been reported that these compounds could be associated with endocrine-disrupting activities, genotoxicity, and reproductive toxicity. This review focuses on the degradation kinetics and mechanisms of benzophenone-type UV filters and their degradation products (DPs) under UV and solar irradiation and in UV-based advanced oxidation processes (AOPs) such as UV/H2O2, UV/persulfate, and the Fenton process. The effects of various operating parameters, such as UV irradiation including initial concentrations of H2O2, persulfate, and Fe2+, on the degradation of tested benzophenones from aqueous matrices, and conditions that allow higher degradation rates to be achieved are presented. Application of nanoparticles such as TiO2, PbO/TiO2, and Sb2O3/TiO2 for the photocatalytic degradation of benzophenone-type UV filters was included in this review. Full article
(This article belongs to the Special Issue Photodegradation of Pollutants)
Show Figures

Figure 1

14 pages, 1889 KB  
Article
Do Single-Component and Mixtures Selected Organic UV Filters Induce Embryotoxic Effects in Zebrafish (Danio rerio)?
by Jana Cahova, Jana Blahova, Lucie Plhalova, Zdenka Svobodova and Caterina Faggio
Water 2021, 13(16), 2203; https://doi.org/10.3390/w13162203 - 13 Aug 2021
Cited by 43 | Viewed by 4661
Abstract
UVs are important ingredients in common cosmetic products (e.g., sunscreens, hairsprays, soap). After their use, they can enter the aquatic ecosystem and negatively affect non-target aquatic organisms. The aim of our study was to evaluate acute embryotoxicity of selected organic UVs 2-phenylbenzimidazole-5-sulfonic acid [...] Read more.
UVs are important ingredients in common cosmetic products (e.g., sunscreens, hairsprays, soap). After their use, they can enter the aquatic ecosystem and negatively affect non-target aquatic organisms. The aim of our study was to evaluate acute embryotoxicity of selected organic UVs 2-phenylbenzimidazole-5-sulfonic acid (PBSA), ethylhexyl methoxycinnamate (EHMC), octocrylene (OC), 4-methylbenzylidene camphor (4-MBC) and benzophenone-3 (BP-3). The chemicals were tested both as a single substance and their mixtures. The types of mixtures were chosen as follows: the combination of OC and 4-MBC; the combination of PBSA, EHMC and BP-3 and the combination of all five UV filters. The embryotoxicity was evaluated using a modified method of the Fish Embryo Acute Toxicity Test-OECD guideline 236 and zebrafish (Danio rerio) was selected as a suitable fish model organism. The toxic effects were studied by assessing mortality, hatching and the occurrence of malformations at 24, 48, 72 and 96 h post fertilization. The obtained results indicate that especially the mixture of OC and 4-MBC presents a potential risk of embryotoxicity for zebrafish due to a significant increase in mortality, which was 41.7% in the experimental group exposed to 10 μg/L at 96 h post fertilization. Based on our results, the most effected sub-lethal endpoints were hatching and malformation (e.g., edema of pericard, bent spine, yolk edema), but with no statistically significant effect. These results differ within groups with single UVs and with their mixtures, suggesting the interaction of these substances when they are exposed together. Full article
(This article belongs to the Special Issue Aquatic Ecotoxicity Assessment)
Show Figures

Figure 1

20 pages, 5177 KB  
Article
Photostability Testing of a Third-Generation Retinoid—Tazarotene in the Presence of UV Absorbers
by Agata Kryczyk-Poprawa, István Zupkó, Péter Bérdi, Paweł Żmudzki, Justyna Popiół, Bożena Muszyńska and Włodzimierz Opoka
Pharmaceutics 2020, 12(9), 899; https://doi.org/10.3390/pharmaceutics12090899 - 22 Sep 2020
Cited by 7 | Viewed by 4665
Abstract
Exposure of a drug to UV irradiation could affect its physicochemical properties. Hence, photostability testing is essential for topically administered drugs. Tazarotene, a receptor-selective, third-generation retinoid, is commonly used to treat acne vulgaris and psoriasis. In the present study, an in-depth analysis of [...] Read more.
Exposure of a drug to UV irradiation could affect its physicochemical properties. Hence, photostability testing is essential for topically administered drugs. Tazarotene, a receptor-selective, third-generation retinoid, is commonly used to treat acne vulgaris and psoriasis. In the present study, an in-depth analysis of the photostability of tazarotene in ethanolic solution in the presence of zinc oxide and/or titanium dioxide as well as benzophenone-type UV filters was performed. Eleven presumed products were derived from the photocatalytic degradation of tazarotene using ultra-performance liquid chromatography–tandem mass spectrometry, and transformation pathways were proposed. The degradation process mainly affected the 4,4-dimethyl-3,4-dihydro-2H-thiopyran moiety. The fragments most susceptible to oxidation were the methyl groups and the sulfur atom. Moreover, in the presence of sulisobenzone, under UV irradiation, tazarotene was subjected to a degradation process, which resulted in two photodecomposition products. In silico studies performed by OSIRIS Property Explorer demonstrated that five of the degradation products could be harmful in terms of the reproductive effects, which are associated with 3,4-dihydro-6-methyl-2H-1-benzothiopyran 1,1-dioxide, while one of them demonstrated potential irritant activity. The cytotoxic properties of the degradation products of tazarotene were assessed by MTT assay on a panel of human adherent cancer cells. Time- and concentration-dependent growth inhibition was evidenced in ovary (A2780) and breast (MDA-MB-231) cancer cell lines. The potential implication of the outcomes of the present research requires further studies mainly concerning the photostability of tazarotene in the topical formulations. Full article
(This article belongs to the Section Physical Pharmacy and Formulation)
Show Figures

Graphical abstract

23 pages, 39496 KB  
Article
Insight into the Degradation of Two Benzophenone-Type UV Filters by the UV/H2O2 Advanced Oxidation Process
by Erdeng Du, Jiaqi Li, Siqi Zhou, Miao Li, Xiang Liu and Huajie Li
Water 2018, 10(9), 1238; https://doi.org/10.3390/w10091238 - 13 Sep 2018
Cited by 10 | Viewed by 6456
Abstract
Environmental problems caused by UV filters, a group of emerging contaminants, have attracted much attention. The removal of two typical UV filters benzophenone (BP) and 4,4′-dihydroxy-benzophenone (HBP) in water was investigated by the UV/H2O2 process. The response surface methodology (RSM) [...] Read more.
Environmental problems caused by UV filters, a group of emerging contaminants, have attracted much attention. The removal of two typical UV filters benzophenone (BP) and 4,4′-dihydroxy-benzophenone (HBP) in water was investigated by the UV/H2O2 process. The response surface methodology (RSM) and central composite design (CCD) were applied to investigate the effects of the process parameters on the degradation rate constants, including the initial contaminant concentration, H2O2 dose, and UV light intensity. BP is more easily degraded by the UV/H2O2 process. Both processes followed pseudo-first-order kinetics. The results obtained with the built RSM model are in accordance with the experimental results (adjusted coefficients R2(adj)= 0.9835 and 0.9778 for BP and HBP, respectively). For both processes, the initial contaminant concentration (exerting a negative effect) were the most important factors controlling the degradation, followed by H2O2 dose and UV intensity (exerting positive effects). A total of 15 BP degradation products and 13 HBP degradation products during the UV/H2O2 process were identified by LC/MS and GC/MS. A series of OH radical irritated reactions, including hydroxylation, carboxylation, and ring cleavage, led to the final degradation of BP and HBP. Degradation pathways of BP and HBP were also proposed. On the whole, this work is a unique contribution to the systematic elucidation of BP and HBP degradation by the UV/H2O2 process. Full article
(This article belongs to the Section Wastewater Treatment and Reuse)
Show Figures

Figure 1

12 pages, 1026 KB  
Article
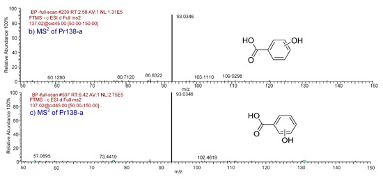
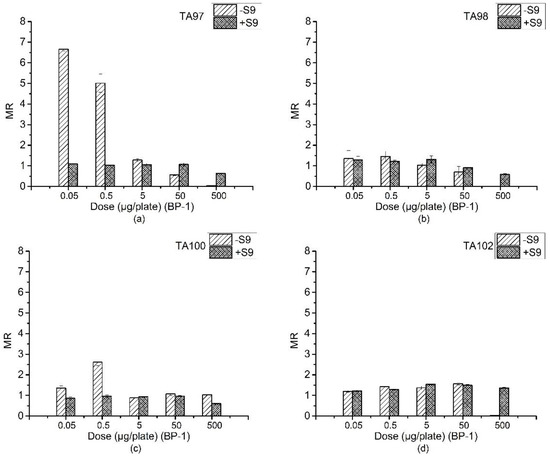
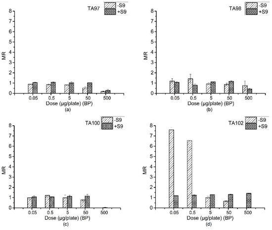
Evaluation by the Ames Assay of the Mutagenicity of UV Filters Using Benzophenone and Benzophenone-1
by Wen-Qian Wang, Hai-Xin Duan, Zhou-Tao Pei, Rou-Rou Xu, Ze-Tian Qin, Guang-Can Zhu and Li-Wei Sun
Int. J. Environ. Res. Public Health 2018, 15(9), 1907; https://doi.org/10.3390/ijerph15091907 - 2 Sep 2018
Cited by 28 | Viewed by 5531
Abstract
Ultraviolet absorbing chemicals (UV filters) are widely used in personal care products for protecting human skin and hair from damage by UV radiation. Although these substances are released into the environment during production and consumption processes, little is known about their genotoxicity effects. [...] Read more.
Ultraviolet absorbing chemicals (UV filters) are widely used in personal care products for protecting human skin and hair from damage by UV radiation. Although these substances are released into the environment during production and consumption processes, little is known about their genotoxicity effects. Our previous studies have shown that benzophenone-type UV filters exhibited acute toxicity on three species of aquatic organisms. Mutagenesis by benzophenone (BP) and benzophenone-1(BP-1) was tested in the present study by the Salmonella typhimurium/reverse mutation assay (Ames assay). All the positive reverse mutations occurred in the absence of the S9 liver extract system for both chemicals. From BP, positive mutation effects on the TA102 strain at doses of 0.05 μg/plate and 0.5 μg/plate were detected. From BP-1, positive mutation effects on the TA97 strain at doses of 0.05 μg/plate and 0.5 μg/plate, and on the TA100 strain at a dose of 0.5 μg/plate, were detected. A mixture of BP and BP-1 exhibited mutagenicity on the TA97 and TA100 strains. For the TA97 strain, the positive mutation results were detected at 10% and 50% of the mixture. For the TA100 strain, the results were detected when the mixture was at 5% and 10%. In the mixture at 5%, the concentrations of BP and BP-1 were 3.5 μg/plate and 14 μg/plate, respectively. In the 10% mixture, the doses of BP and BP-1 were 7 μg/plate and 28 μg/plate, respectively. In the 50% mixture, the doses of BP and BP-1 were 35 μg/plate and 140 μg/plate, respectively. The mixture test results suggested that there was antagonism in mutagenicity between BP and BP-1. Full article
(This article belongs to the Section Environmental Health)
Show Figures

Figure 1

12 pages, 1808 KB  
Article
Evaluating the Joint Toxicity of Two Benzophenone-Type UV Filters on the Green Alga Chlamydomonas reinhardtii with Response Surface Methodology
by Feijian Mao, Yiliang He and Karina Yew-Hoong Gin
Toxics 2018, 6(1), 8; https://doi.org/10.3390/toxics6010008 - 10 Jan 2018
Cited by 28 | Viewed by 5533
Abstract
The widespread occurrence of benzophenone-type ultraviolet (UV) filter has raised the public concerns over the ecotoxicological effects of these chemicals. The present study assessed the joint toxicity of two representative benzophenones, benzophenone-1 (BP-1) and benzophenone-3 (BP-3), on the green alga Chlamydomonas reinhardtii using [...] Read more.
The widespread occurrence of benzophenone-type ultraviolet (UV) filter has raised the public concerns over the ecotoxicological effects of these chemicals. The present study assessed the joint toxicity of two representative benzophenones, benzophenone-1 (BP-1) and benzophenone-3 (BP-3), on the green alga Chlamydomonas reinhardtii using response surface methodologies (RSM). Specific growth rate and photosynthetic pigments were used as endpoints to evaluate the toxic effects. Generally, exposure to the combined BP-1 and BP-3 negatively affected cell growth and pigments production, with higher inhibitions at higher exposure concentrations. The simultaneous reduction in growth rate and pigments contents indicated that BP-1 and BP-3 regulated the growth of the tested alga by affecting the photosynthesis process. Results also showed that second order polynomial regression models fitted well with experimental results for all endpoints. The obtained regression models further indicated that the effects of the combination stemmed significantly from the linear concentration of BP-1 and BP-3. The overall results demonstrated that RSM could be a useful tool in ecotoxicological studies. Full article
(This article belongs to the Special Issue Toxicity of Chemical Mixtures)
Show Figures

Figure 1

Back to TopTop