Effect of Benzophenone Type UV Filters on Photodegradation of Co-existing Sulfamethoxazole in Water
Abstract
1. Introduction
2. Materials and Methods
2.1. Material
2.2. Chemical Actinometry Experiment
2.3. Photodegradation Experiments
2.4. Data Analysis
3. Results and Discussion
3.1. Effect of BP and BP3 on the Photodegradation of SMX
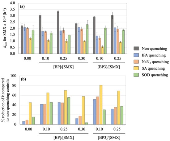
3.2. Effect of RIs in SMX Photodegradation with BP and BP3
4. Conclusions
Supplementary Materials
Author Contributions
Funding
Data Availability Statement
Acknowledgments
Conflicts of Interest
References
- Nakata, H.; Shinohara, R.I.; Nakazawa, Y.; Isobe, T.; Sudaryanto, A.; Subramanian, A.; Tanabe, S.; Zakaria, M.P.; Zheng, G.J.; Lam, P.K.S.; et al. Asia-Pacific mussel watch for emerging pollutants: Distribution of synthetic musks and benzotriazole UV stabilizers in Asian and US coastal waters. Mar. Pollut. Bull. 2012, 64, 2211–2218. [Google Scholar] [CrossRef] [PubMed]
- Garcia-Rodríguez, A.; Matamoros, V.; Fontàs, C.; Salvadó, V. The ability of biologically based wastewater treatment systems to remove emerging organic contaminants—A review. Environ. Sci. Pollut. Res. 2014, 21, 11708–11728. [Google Scholar] [CrossRef] [PubMed]
- Baena-Nogueras, R.M.; González-Mazo, E.; Lara-Martín, P.A. Degradation kinetics of pharmaceuticals and personal care products in surface waters: Photolysis vs biodegradation. Sci. Total Environ. 2017, 590–591, 643–654. [Google Scholar] [CrossRef] [PubMed]
- Ribeiro, A.R.L.; Moreira, N.F.F.; Puma, G.L.; Silva, A.M.T. Impact of water matrix on the removal of micropollutants by advanced oxidation technologies. Chem. Eng. J. 2019, 363, 155–173. [Google Scholar] [CrossRef]
- Castro, G.; Rodríguez, I.; Ramil, M.; Cela, R. Evaluation of nitrate effects in the aqueous photodegradability of selected phenolic pollutants. Chemosphere 2017, 185, 127–136. [Google Scholar] [CrossRef]
- Wang, Y.; Roddick, F.A.; Fan, L. Direct and indirect photolysis of seven micropollutants in secondary effluent from a wastewater lagoon. Chemosphere 2017, 185, 297–308. [Google Scholar] [CrossRef]
- Zhang, Y.; Zhang, J.; Xiao, Y.; Chang, V.W.C.; Lim, T.-T. Direct and indirect photodegradation pathways of cytostatic drugs under UV germicidal irradiation: Process kinetics and influences of water matrix species and oxidant dosing. J. Hazard. Mater. 2017, 324, 481–488. [Google Scholar] [CrossRef]
- Cédat, B.; de Brauer, C.; Métivier, H.; Dumont, N.; Tutundjan, R. Are UV photolysis and UV/H2O2 process efficient to treat estrogens in waters? Chemical and biological assessment at pilot scale. Water Res. 2016, 100, 357–366. [Google Scholar] [CrossRef]
- Sun, P.; Pavlostathis, S.G.; Huang, C.H. Photodegradation of veterinary ionophore antibiotics under UV and solar irradiation. Environ. Sci. Technol. 2014, 48, 13188–13196. [Google Scholar] [CrossRef]
- Yao, H.; Sun, P.; Minakata, D.; Crittenden, J.C.; Huang, C.H. Kinetics and modeling of degradation of ionophore antibiotics by UV and UV/H2O2. Environ. Sci. Technol. 2013, 47, 4581–4589. [Google Scholar] [CrossRef]
- Mouamfon, M.V.N.; Li, W.; Lu, S.; Qiu, Z.; Chen, N.; Lin, K. Photodegradation of sulphamethoxazole under UV-light irradiation at 254 nm. Environ. Technol. 2010, 31, 489–494. [Google Scholar] [CrossRef]
- Boscá, F.; Miranda, M.A. New Trends in Photobiology (Invited Review) Photosensitizing drugs containing the benzophenone chromophore. J. Photochem. Photobiol. B 1998, 43, 1–26. [Google Scholar] [CrossRef]
- Zhang, Y.N.; Zhou, Y.; Qu, J.; Chen, J.; Zhao, J.; Lu, Y.; Li, C.; Xie, Q.; Peijnenburg, W.J.G.M. Unveiling the important roles of coexisting contaminants on photochemical transformations of pharmaceuticals: Fibrate drugs as a case study. J. Hazard. Mater. 2018, 358, 216–221. [Google Scholar] [CrossRef]
- Zhou, Y.; Zhao, J.; Zhang, Y.N.; Qu, J.; Li, C.; Qin, W.; Zhao, Y.; Chen, J.; Peijnenburg, W.J.G.M. Trace amounts of fenofibrate acid sensitize the photodegradation of bezafibrate in effluents: Mechanisms, degradation pathways, and toxicity evaluation. Chemosphere 2019, 235, 900–907. [Google Scholar] [CrossRef]
- Canonica, S.; Hellrung, B.; Müller, P.; Wirz, J. Aqueous Oxidation of Phenylurea Herbicides by Triplet Aromatic Ketones. Environ. Sci. Technol. 2006, 40, 6636–6641. [Google Scholar] [CrossRef]
- Das, P.K.; Bhattacharyya, S.N. Laser flash photolysis study of electron transfer reactions of phenolate ions with aromatic carbonyl triplets. J. Phys. Chem. 1981, 85, 1391–1395. [Google Scholar] [CrossRef]
- Canonica, S.; Hellrung, B.; Wirz, J. Oxidation of Phenols by Triplet Aromatic Ketones in Aqueous Solution. J. Phys. Chem. A 2000, 104, 1226–1232. [Google Scholar] [CrossRef]
- Ramos, S.; Homem, V.; Alves, A.; Santos, L. Advances in analytical methods and occurrence of organic UV-filters in the environment—A review. Sci. Total Environ. 2015, 526, 278–311. [Google Scholar] [CrossRef] [PubMed]
- Chhabra, R.S. National Toxicology Program Technical Report on the Toxicity Studies of Benzophenone (CAS No. 119-61-9). Administered in Feed to F344/N Rats and B6C3F Mice; National Toxicology Program: Research Triangle Park, NC, USA, 2000.
- Mao, F.; You, L.; Reinhard, M.; He, Y.; Gin, K.Y.H. Occurrence and Fate of Benzophenone-Type UV Filters in a Tropical Urban Watershed. Environ. Sci. Technol. 2018, 52, 3960–3967. [Google Scholar] [CrossRef] [PubMed]
- Wu, M.H.; Li, J.; Xu, G.; Ma, L.D.; Li, J.J.; Li, J.S.; Tang, L. Pollution patterns and underlying relationships of benzophenone-type UV-filters in wastewater treatment plants and their receiving surface water. Ecotoxicol. Environ. Saf. 2018, 152, 98–103. [Google Scholar] [CrossRef]
- Guo, Q.; Wei, D.; Zhao, H.; Du, Y. Predicted no-effect concentrations determination and ecological risk assessment for benzophenone-type UV filters in aquatic environment. Environ. Pollut. 2020, 256, 113460. [Google Scholar] [CrossRef]
- Langford, K.H.; Reid, M.J.; Fjeld, E.; Øxnevad, S.; Thomas, K.V. Environmental occurrence and risk of organic UV filters and stabilizers in multiple matrices in Norway. Environ. Int. 2015, 80, 1–7. [Google Scholar] [CrossRef]
- Negreira, N.; Rodríguez, I.; Rubí, E.; Cela, R. Dispersive liquid–liquid microextraction followed by gas chromatography–mass spectrometry for the rapid and sensitive determination of UV filters in environmental water samples. Anal. Bioanal. Chem. 2010, 398, 995–1004. [Google Scholar] [CrossRef]
- Amar, S.K.; Goyal, S.; Mujtaba, S.F.; Dwivedi, A.; Kushwaha, H.N.; Verma, A.; Chopra, D.; Chaturvedi, R.K.; Ray, R.S. Role of type I & type II reactions in DNA damage and activation of Caspase 3 via mitochondrial pathway induced by photosensitized benzophenone. Toxicol. Lett. 2015, 235, 84–95. [Google Scholar] [CrossRef]
- Das, P.K.; Encinas, M.V.; Scaiano, J.C. Laser Flash Photolysis Study of the Reactions of Carbonyl Triplets with Phenols and Photochemistry of p-Hydroxypropiophenone. J. Am. Chem. Soc. 1981, 103, 4154–4162. [Google Scholar] [CrossRef]
- Das, P.K.; Bobrowski, K. Charge-transfer reactions of methoxybenzenes with aromatic carbonyl triplets. A laser flash photolytic study. J. Chem. Soc. Faraday Trans. 2 Mol. Chem. Phys. 1981, 77, 1009–1027. [Google Scholar] [CrossRef]
- Battacharyya, S.N.; Das, P.K. Photoreduction of benzophenone by amino acids, aminopolycarboxylic acids and their metal complexes. A laser-flash-photolysis study. J. Chem. Soc. Faraday Trans. 2 Mol. Chem. Phys. 1984, 80, 1107–1116. [Google Scholar] [CrossRef]
- Bhattacharyya, K.; Das, P.K. Nanosecond Transient Processes in the Triethylamlne Quenching of Benzophenone Triplets in Aqueous Alkaline Media. Substituent Effect, Ketyl Radical Deprotonation, and Secondary Photoreduction Kinetics. J. Phys. Chem. 1986, 90, 3987–3993. [Google Scholar] [CrossRef]
- Cohen, S.G.; Parola, A.; Parsons, G.H. Photoreduction by Amines. Chem. Rev. 1973, 73, 141–161. [Google Scholar] [CrossRef]
- Liu, H.; Liu, L.; Xiong, Y.; Yang, X.; Luan, T. Simultaneous determination of UV filters and polycyclic musks in aqueous samples by solid-phase microextraction and gas chromatography–mass spectrometry. J. Chromatogr. A 2010, 1217, 6747–6753. [Google Scholar] [CrossRef]
- Fent, K.; Zenker, A.; Rapp, M. Widespread occurrence of estrogenic UV-filters in aquatic ecosystems in Switzerland. Environ. Pollut. 2010, 158, 1817–1824. [Google Scholar] [CrossRef] [PubMed]
- Pedrouzo, M.; Borrull, F.; Marcé, R.M.; Pocurull, E. Stir-bar-sorptive extraction and ultra-high-performance liquid chromatography-tandem mass spectrometry for simultaneous analysis of UV filters and antimicrobial agents in water samples. Anal. Bioanal. Chem. 2010, 397, 2833–2839. [Google Scholar] [CrossRef] [PubMed]
- Román, I.P.; Alberto, A.C.; Canals, A. Dispersive solid-phase extraction based on oleic acid-coated magnetic nanoparticles followed by gas chromatography–mass spectrometry for UV-filter determination in water samples. J. Chromatogr. A 2011, 1218, 2467–2475. [Google Scholar] [CrossRef] [PubMed]
- Ho, Y.C.; Ding, W.H. Solid-phase extraction coupled simple on-line derivatization gas chromatography-tandem mass spectrometry for the determination of benzophenone-type UV filters in aqueous samples. J. Chin. Chem. Soc. 2012, 59, 107–113. [Google Scholar] [CrossRef]
- Wu, J.W.; Chen, H.C.; Ding, W.H. Ultrasound-assisted dispersive liquid–liquid microextraction plus simultaneous silylation for rapid determination of salicylate and benzophenone-type ultraviolet filters in aqueous samples. J. Chromatogr. A 2013, 1302, 20–27. [Google Scholar] [CrossRef] [PubMed]
- Grabicova, K.; Fedorova, G.; Burkina, V.; Steinbach, C.; Schmidt-Posthaus, H.; Zlabek, V.; Kroupova, H.K.; Grabic, R.; Randak, T. Presence of UV filters in surface water and the effects of phenylbenzimidazole sulfonic acid on rainbow trout (Oncorhynchus mykiss) following a chronic toxicity test. Ecotoxicol. Environ. Saf. 2013, 96, 41–47. [Google Scholar] [CrossRef]
- Gago-Ferrero, P.; Mastroianni, N.; Díaz-Cruz, M.S.; Barceló, D. Fully automated determination of nine ultraviolet filters and transformation products in natural waters and wastewaters by on-line solid phase extraction–liquid chromatography–tandem mass spectrometry. J. Chromatogr. A 2013, 1294, 106–116. [Google Scholar] [CrossRef]
- Tsui, M.M.P.; Leung, H.W.; Wai, T.C.; Yamashita, N.; Taniyasu, S.; Liu, W.; Lam, P.K.S.; Murphy, M.B. Occurrence, distribution and ecological risk assessment of multiple classes of UV filters in surface waters from different countries. Water Res. 2014, 67, 55–65. [Google Scholar] [CrossRef]
- Kameda, Y.; Kimura, K.; Miyazaki, M. Occurrence and profiles of organic sun-blocking agents in surface waters and sediments in Japanese rivers and lakes. Environ. Pollut. 2011, 159, 1570–1576. [Google Scholar] [CrossRef]
- Kawaguchi, M.; Ito, R.; Honda, H.; Endo, N.; Okanouchi, N.; Saito, K.; Seto, Y.; Nakazawa, H. Simultaneous analysis of benzophenone sunscreen compounds in water sample by stir bar sorptive extraction with in situ derivatization and thermal desorption–gas chromatography–mass spectrometry. J. Chromatogr. A 2008, 1200, 260–263. [Google Scholar] [CrossRef]
- Wick, A.; Fink, G.; Ternes, T.A. Comparison of electrospray ionization and atmospheric pressure chemical ionization for multi-residue analysis of biocides, UV-filters and benzothiazoles in aqueous matrices and activated sludge by liquid chromatography–tandem mass spectrometry. J. Chromatogr. A 2010, 1217, 2088–2103. [Google Scholar] [CrossRef]
- Kasprzyk-Hordern, B.; Dinsdale, R.M.; Guwy, A.J. The removal of pharmaceuticals, personal care products, endocrine disruptors and illicit drugs during wastewater treatment and its impact on the quality of receiving waters. Water Res. 2009, 43, 363–380. [Google Scholar] [CrossRef]
- Lindim, C.; van Gils, J.; Georgieva, D.; Mekenyan, O.; Cousins, I.T. Evaluation of human pharmaceutical emissions and concentrations in Swedish river basins. Sci. Total Environ. 2016, 572, 508–519. [Google Scholar] [CrossRef]
- Paíga, P.; Santos, L.H.M.L.M.; Ramos, S.; Jorge, S.; Silva, J.G.; Delerue-Matos, C. Presence of pharmaceuticals in the Lis river (Portugal): Sources, fate and seasonal variation. Sci. Total Environ. 2016, 573, 164–177. [Google Scholar] [CrossRef]
- Yan, Q.; Zhang, Y.X.; Kang, J.; Gan, X.M.; Xu-Y, P.; Guo, J.S.; Gao, X. A Preliminary Study on the Occurrence of Pharmaceutically Active Compounds in the River Basins and Their Removal in Two Conventional Drinking Water Treatment Plants in Chongqing, China. Clean 2015, 43, 794–803. [Google Scholar] [CrossRef]
- Wang, Z.; Zhang, X.H.; Huang, Y.; Wang, H. Comprehensive evaluation of pharmaceuticals and personal care products (PPCPs) in typical highly urbanized regions across China. Environ. Pollut. 2015, 204, 223–232. [Google Scholar] [CrossRef]
- Subedi, B.; Codru, N.; Dziewulski, D.M.; Wilson, L.R.; Xue, J.; Yun, S.; Braun-Howland, E.; Minihane, C.; Kannan, K. A pilot study on the assessment of trace organic contaminants including pharmaceuticals and personal care products from on-site wastewater treatment systems along Skaneateles Lake in New York State, USA. Water Res. 2015, 72, 28–39. [Google Scholar] [CrossRef]
- Patel, M.; Kumar, R.; Kishor, K.; Mlsna, T.; Pittman, C.U.; Mohan, D. Pharmaceuticals of emerging concern in aquatic systems: Chemistry, occurrence, effects, and removal methods. Chem. Rev. 2019, 119, 3510–3673. [Google Scholar] [CrossRef]
- Yang, J.; Lv, G.; Zhang, C.; Wang, Z.; Sun, X. Indirect photodegradation of sulfamethoxazole and trimethoprim by hydroxyl radicals in aquatic environment: Mechanisms, transformation products and eco-toxicity evaluation. Int. J. Mol. Sci. 2020, 21, 6276. [Google Scholar] [CrossRef]
- Zhou, L.; Deng, H.; Zhang, W.; Gao, Y. Photodegradation of sulfamethoxazole and photolysis active species in water under Uv-Vis light irradiation. Fresenius Environ. Bull. 2015, 24, 1685–1691. Available online: https://www.researchgate.net/publication/292391936 (accessed on 13 March 2023).
- Lin, X.; Zhou, W.; Li, S.; Fang, H.; Fu, S.; Xu, J.; Huang, J. Photodegradation of Sulfamethoxazole and Enrofloxacin under UV and Simulated Solar Light Irradiation. Water 2023, 15, 517. [Google Scholar] [CrossRef]
- Laszakovits, J.R.; Berg, S.M.; Anderson, B.G.; O’Brien, J.E.; Wammer, K.H.; Sharpless, C.M. P-Nitroanisole/pyridine and p-Nitroacetophenone/pyridine actinometers revisited: Quantum yield in comparison to ferrioxalate. Environ. Sci. Technol. Lett. 2017, 4, 11–14. [Google Scholar] [CrossRef]
- Zhang, S.; Chen, J.; Qiao, X.; Ge, L.; Cai, X.; Na, G. Quantum chemical investigation and experimental verification on the aquatic photochemistry of the sunscreen 2-phenylbenzimidazole-5-sulfonic acid. Environ. Sci. Technol. 2010, 44, 7484–7490. [Google Scholar] [CrossRef]
- Zhang, Y.N.; Wang, J.; Chen, J.; Zhou, C.; Xie, Q. Phototransformation of 2,3-Dibromopropyl-2,4,6-tribromophenyl ether (DPTE) in Natural Waters: Important Roles of Dissolved Organic Matter and Chloride Ion. Environ. Sci. Technol. 2018, 52, 10490–10499. [Google Scholar] [CrossRef] [PubMed]
- Liu, S.; Cui, Z.; Bai, Y.; Ding, D.; Yin, J.; Su, R.; Qu, K. Indirect photodegradation of ofloxacin in simulated seawater: Important roles of DOM and environmental factors. Front. Mar. Sci. 2023, 10, 351. [Google Scholar] [CrossRef]
- Delatour, T.; Douki, T.; D’Ham, C.; Cadet, J. Photosensitization of thymine nucleobase by benzophenone through energy transfer, hydrogen abstraction and one-electron oxidation. J. Photochem. Photobiol. B 1998, 44, 191–198. [Google Scholar] [CrossRef]
- Guo, Y.; Long, J.; Huang, J.; Yu, G.; Wang, Y. Can the commonly used quenching method really evaluate the role of reactive oxygen species in pollutant abatement during catalytic ozonation? Water Res. 2022, 215, 118275. [Google Scholar] [CrossRef]
- Musial, J.; Mlynarczyk, D.T.; Stanisz, B.J. Photocatalytic degradation of sulfamethoxazole using TiO2-based materials—Perspectives for the development of a sustainable water treatment technology. Sci. Total Environ. 2023, 856, 159122. [Google Scholar] [CrossRef]
- Lian, L.; Yao, B.; Hou, S.; Fang, J.; Yan, S.; Song, W. Kinetic Study of Hydroxyl and Sulfate Radical-Mediated Oxidation of Pharmaceuticals in Wastewater Effluents. Environ. Sci. Technol. 2017, 51, 2954–2962. [Google Scholar] [CrossRef]





Disclaimer/Publisher’s Note: The statements, opinions and data contained in all publications are solely those of the individual author(s) and contributor(s) and not of MDPI and/or the editor(s). MDPI and/or the editor(s) disclaim responsibility for any injury to people or property resulting from any ideas, methods, instructions or products referred to in the content. |
© 2023 by the authors. Licensee MDPI, Basel, Switzerland. This article is an open access article distributed under the terms and conditions of the Creative Commons Attribution (CC BY) license (https://creativecommons.org/licenses/by/4.0/).
Share and Cite
Kodikara, D.; Guo, Z.; Yoshimura, C. Effect of Benzophenone Type UV Filters on Photodegradation of Co-existing Sulfamethoxazole in Water. Photochem 2023, 3, 288-300. https://doi.org/10.3390/photochem3020017
Kodikara D, Guo Z, Yoshimura C. Effect of Benzophenone Type UV Filters on Photodegradation of Co-existing Sulfamethoxazole in Water. Photochem. 2023; 3(2):288-300. https://doi.org/10.3390/photochem3020017
Chicago/Turabian StyleKodikara, Dilini, Zhongyu Guo, and Chihiro Yoshimura. 2023. "Effect of Benzophenone Type UV Filters on Photodegradation of Co-existing Sulfamethoxazole in Water" Photochem 3, no. 2: 288-300. https://doi.org/10.3390/photochem3020017
APA StyleKodikara, D., Guo, Z., & Yoshimura, C. (2023). Effect of Benzophenone Type UV Filters on Photodegradation of Co-existing Sulfamethoxazole in Water. Photochem, 3(2), 288-300. https://doi.org/10.3390/photochem3020017

