Evaluation by the Ames Assay of the Mutagenicity of UV Filters Using Benzophenone and Benzophenone-1
Abstract
1. Introduction
2. Materials and Methods
2.1. Chemicals
2.2. Salmonella Typhimurium Strains for the Ames Assay
2.3. Certification Test of the Characteristics of the TA Strains
2.4. Bacterial Inhibition Experiment of BP and BP-1
2.5. Ames Assay
2.6. Mixed BP and BP-1 for the Ames Assay
2.7. Analysis
3. Results
3.1. Negative Control and Positive Control Results
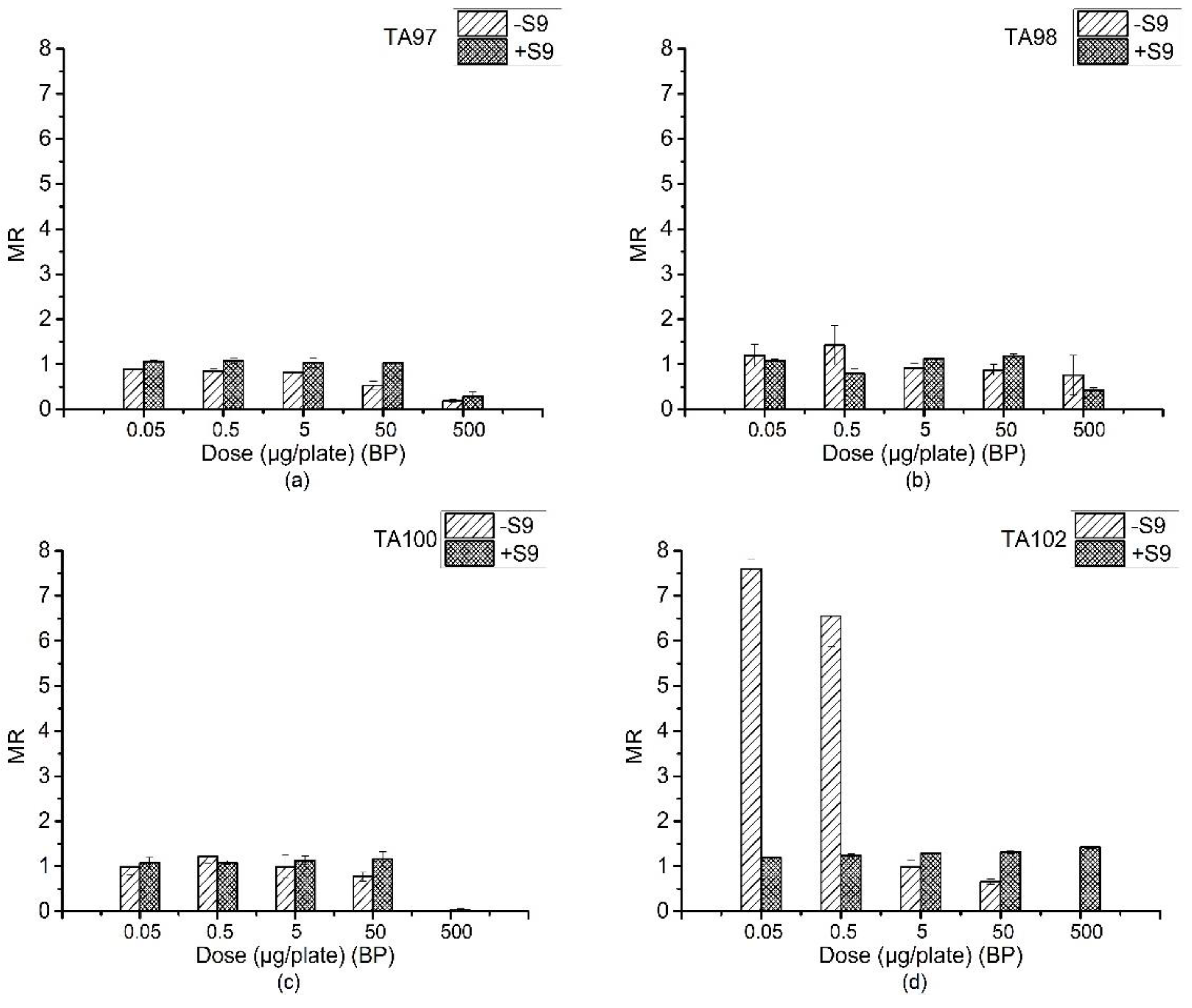
3.2. Ames Assay of BP
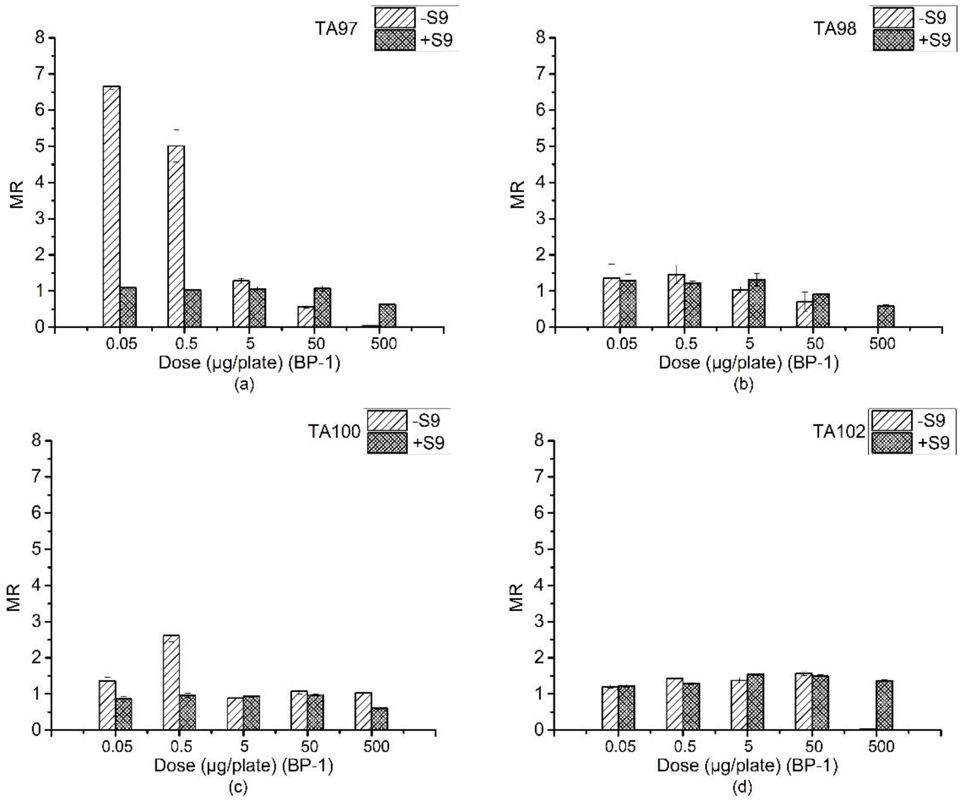
3.3. Ames Assay of BP-1
3.4. Ames Assay of Mixtures of BP and BP-1
4. Discussion
5. Conclusions
- (1)
- The mutagenicity of BP and BP-1 was detected by the Ames assay. All the positive mutagenicity of BP and BP-1 was detected in the system without S9.
- (2)
- In the separating tests with BP, positive mutations were detected in the TA102 strain at doses of 0.05 and 0.5 μg/plate.
- (3)
- In the separating tests with BP-1, positive mutations were detected in the TA97 strain at doses of 0.05 and 0.5 μg/plate. In addition, positive mutations in the TA100 strain at a dose of 0.5 μg/plate were detected.
- (4)
- In the mixed tests, the positive mutation results were found in strains TA97 and TA100. For the strain TA97, the positive mutation results were detected at 10% and 50%. For strain TA100, the positive mutation results were detected when the mixture was at 5% and 10%. All the mixture results showed antagonism in mutagenicity between BP and BP-1.
Author Contributions
Funding
Acknowledgments
Conflicts of Interest
Abbreviations
| BP | benzophenone |
| BP-1 | benzophenone-1 |
| PCPs | personal care products |
References
- Roberts, J.E. Ultraviolet radiation as a risk factor for cataract and macular degeneration. Eye Contact Lens Sci. Clin. Pract. 2011, 37, 246–249. [Google Scholar] [CrossRef] [PubMed]
- Kim, S.; Choi, K. Occurrences, toxicities, and ecological risks of benzophenone-3, a common component of organic sunscreen products: A mini-review. Environ. Int. 2014, 70, 143. [Google Scholar] [CrossRef] [PubMed]
- Sun, H.Q.; Du, Y.; Zhang, Z.Y.; Jiang, W.J.; Guo, Y.M.; Lu, X.W.; Zhang, Y.M.; Sun, L.W. Acute toxicity and ecological risk assessment of benzophenone and N, N-Diethyl-3 Methylbenzamide in personal care products. Int. J. Environ. Res. Public Health 2016, 13, 925. [Google Scholar] [CrossRef] [PubMed]
- Du, Y.; Wang, W.Q.; Pei, Z.T.; Fahmi, A.; Xu, R.R.; Yu, R.; Zhang, Y.M.; Sun, L.W. Acute Toxicity and ecological risk assessment of benzophenone-3 (BP-3) and benzophenone-4 (BP-4) in ultraviolet (UV)-filters. Int. J. Environ. Res. Public Health 2017, 14, 1414. [Google Scholar] [CrossRef] [PubMed]
- Sun, H.Q.; Jiang, W.J.; Guo, Y.M.; Du, Y.; Lu, X.W.; Sun, L.W. Progress in ecotoxicity and removal treatment of personal care products. Asian J. Ecotoxicol. 2016, 11, 94–102. [Google Scholar]
- Ekowati, Y.; Buttiglieri, G.; Ferrero, G.; Valle-Sistac, J.; Silvia, M.; Barceló, D.; Petrovic, M.; Villagrasa, M.; Kennedy, M.D.; Rodríguez-Roda, I. Occurrence of pharmaceuticals and UV filters in swimming pools and spas. Environ. Sci. Pollut. Res. 2016, 23, 14431–14441. [Google Scholar] [CrossRef] [PubMed]
- Wang, L.; Asimakopoulos, A.G.; Moon, H.B.; Nakata, H.; Kannan, K. Benzotriazole, benzothiazole, and benzophenone compounds in indoor dust from the United States and East Asian countries. Environ. Sci. Technol. 2013, 47, 4752–4759. [Google Scholar] [CrossRef] [PubMed]
- Weisbrod, C.J.; Kunz, P.Y.; Zenker, A.K.; Fent, K. Effects of the UV filter benzophenone-2 on reproduction in fish. Toxicol. Appl. Pharmacol. 2007, 225, 255–266. [Google Scholar] [CrossRef] [PubMed]
- Zenker, A.; Schmutz, H.; Fent, K. Simultaneous trace determination of nine organic UV-absorbing compounds (UV filters) in environmental samples. J. Chromatogr. A 2008, 1202, 64. [Google Scholar] [CrossRef] [PubMed]
- Zucchi, S.; Blüthgen, N.; Ieronimo, A.; Fent, K. The UV-absorber benzophenone-4 alters transcripts of genes involved in hormonal pathways in zebrafish (Danio rerio) eleuthero-embryos and adult males. Toxicol. Appl. Pharmacol. 2011, 250, 137–146. [Google Scholar] [CrossRef] [PubMed]
- Du, Y. Acute Toxicity and Ecological Risk Assessment of Personal Care Products. Master’s Thesis, Southeast University, Nanjing, China, 2018. [Google Scholar]
- Nakagawa, Y.; Suzuki, T.; Tayama, S. Metabolism and toxicity of benzophenone in isolated rat hepatocytes and estrogenic activity of its metabolites in MCF-7 cells. Toxicology 2000, 156, 27–36. [Google Scholar] [CrossRef]
- Kerdivel, G.; Guevel, R.L.; Habauzit, D.; Brion, F.; Ait-Aissa, S.; Pakdei, F. Estrogenic potency of benzophenone UV filters in breast cancer cells: Proliferative and transcriptional activity substantiated by docking analysis. PLoS ONE 2013, 8, e60567. [Google Scholar] [CrossRef] [PubMed]
- Kunz, P.Y.; Galicia, H.F.; Fent, K. Comparison of in vitro and in vivo estrogenic activity of UV filters in fish. Toxicol. Sci. 2006, 90, 349. [Google Scholar] [CrossRef] [PubMed]
- Kunisue, T.; Chen, Z.; Louis, G.M.; Sundaram, R.; Hediger, M.L.; Sun, L.; Kannan, K. Urinary concentrations of benzophenone-type UV filters in U.S. women and their association with endometriosis. Environ. Sci. Technol. 2012, 46, 4624–4632. [Google Scholar] [CrossRef] [PubMed]
- Yamamoto, T.; Nakajima, D.; Goto, S.; Onodera, S.; Yasuhara, A.; Sakai, S.; Soma, M. Mutagenicity of chlorination products of benzophenone and its derivatives. J. Environ. Chem. 2004, 14, 335–342. [Google Scholar] [CrossRef]
- Nakajima, D.; Asada, S.; Kageyama, S.; Asada, S.; Kageyama, S.; Yamamoto, T.; Kuramochi, H.; Tanaka, N.; Takeda, K.; Goto, S. Activity related to the carcinogenicity of plastic additives in the benzophenone group. J. UOEH 2006, 28, 143–156. [Google Scholar] [CrossRef] [PubMed]
- Kozumbo, W.J.; Rubin, R.J. Mutagenicity and metabolism of dimethyl phthalate and its binding to epidermal and hepatic macromolecules. J. Toxicol. Environ. Health 1991, 33, 29–46. [Google Scholar] [CrossRef] [PubMed]
- Safety and Technical Standards for Cosmetics. S. China Food and Drug Administration. Available online: http://samr.cfda.gov.cn/WS01/CL0087/140161.html (accessed on 23 December 2015).
- Ames, B.N.; Mccann, J.; Yamasaki, E. Methods for detecting carcinogens and mutagens with the Salmonella/mammalian-microsome mutagenicity test. Mutat. Res. 1975, 31, 347–363. [Google Scholar] [CrossRef]
- Maron, D.M.; Ames, B.N. Revised methods for the Salmonella mutagenicity test. Mutat. Res. 1983, 113, 173–215. [Google Scholar] [CrossRef]
- Müller, W.; Engelhart, G.; Herbold, B.; Jäckh, R.; Jung, R. Evaluation of mutagenicity testing with Salmonella typhimurium TA102 in three different laboratories. Environ. Health Perspect. 1993, 101, 33–36. [Google Scholar] [CrossRef] [PubMed]
- Lutz, W.K.; Vamvakas, S.; Koppschneider, A.; Schlatter, J.; Stopper, H. Deviation from additivity in mixture toxicity: Relevance of nonlinear dose-response relationships and cell line differences in genotoxicity assays with combinations of chemical mutagens and gamma-radiation. Environ. Health Perspect. 2002, 110, 915. [Google Scholar] [CrossRef] [PubMed]
- Balmer, M.E.; Buser, H.R.; Müller, M.D.; Poiger, T. Occurrence of some organic UV Filters in wastewater, in surface waters, and in fish from Swiss lakes. Environ. Sci. Technol. 2005, 39, 953–962. [Google Scholar] [CrossRef] [PubMed]


| Chemicals | Dose (μg/Plate) | TA97 | TA98 | TA100 | TA102 | ||||
|---|---|---|---|---|---|---|---|---|---|
| −S9 | +S9 | −S9 | +S9 | −S9 | +S9 | −S9 | +S9 | ||
| Blank | 0 | 144 ± 3 | 148 ± 7 | 33 ± 2 | 42 ± 2 | 157 ± 8 | 207 ± 5 | 227 ± 16 | 287 ± 6 |
| DMSO | 100 | 142 ± 3 | 144 ± 9 | 37 ± 3 | 38 ± 1 | 160 ± 10 | 195 ± 4 | 234 ± 15 | 287 ± 7 |
| Dexon | 50 | 1987 ± 203 * | - | 1065 ± 137 * | - | - | - | 586 ± 83 * | - |
| NaN3 | 1.5 | - | - | - | - | 912 ± 155 * | - | - | - |
| 2-AF | 10 | - | 1287 ± 168 * | - | 1186 ± 154 * | - | 896 ± 143 * | - | - |
| Dantron | 50 | - | - | - | - | - | - | - | 625 ± 71 * |
| Chemical | Dose (μg/Plate) | TA97 | TA98 | TA100 | TA102 | ||||
|---|---|---|---|---|---|---|---|---|---|
| −S9 | +S9 | −S9 | +S9 | −S9 | +S9 | −S9 | +S9 | ||
| BP | 0.05 | 123 ± 36 | 149 ± 4 | 36 ± 7 | 43 ± 13 | 156 ± 28 | 217 ± 25 | 1957 ± 57 * | 343 ± 7 |
| 0.5 | 119 ± 8 | 152 ± 8 | 43 ± 13 | 31 ± 4 | 190 ± 23 | 218 ± 8 | 1685 ± 173 * | 365 ± 8 | |
| 5 | 114 ± 10 | 146 ± 13 | 27 ± 3 | 44 ± 4 | 140 ± 42 | 228 ± 21 | 255 ± 38 | 371 ± 8 | |
| 50 | 74 ± 13 | 147 ± 6 | 26 ± 4 | 46 ± 2 | 122 ± 15 | 233 ± 32 | 169 ± 16 | 377 ± 10 | |
| 500 | 3 ± 3 | 40 ± 14 | 23 ± 13 | 17 ± 2 | 0 ± 0 | 6 ± 6 | 0 ± 0 | 407 ± 9 | |
| Chemical | Dose (μg/Plate) | TA97 | TA98 | TA100 | TA102 | ||||
|---|---|---|---|---|---|---|---|---|---|
| −S9 | +S9 | −S9 | +S9 | −S9 | +S9 | −S9 | +S9 | ||
| BP-1 | 0.05 | 925 ± 13 * | 151 ± 8 | 43 ± 13 | 51 ± 7 | 239 ± 17 | 174 ± 13 | 311 ± 12 | 350 ± 11 |
| 0.5 | 697 ± 56 * | 143 ± 10 | 46 ± 8 | 48 ± 2 | 458 ± 29 * | 193 ± 12 | 369 ± 18 | 369 ± 10 | |
| 5 | 185 ± 10 | 146 ± 10 | 33 ± 3 | 52 ± 7 | 153 ± 2 | 191 ± 8 | 355 ± 20 | 443 ± 8 | |
| 50 | 83 ± 6 | 149 ± 11 | 22 ± 9 | 36 ± 1 | 188 ± 15 | 196 ± 4 | 407 ± 16 | 429 ± 8 | |
| 500 | 6 ± 1 | 88 ± 20 | 0 ± 1 | 23 ± 2 | 181 ± 10 | 122 ± 4 | 7 ± 4 | 390 ± 10 | |
| Chemicals | Dose (Percentage %) | TA97 | TA98 | TA100 | TA102 | ||||
|---|---|---|---|---|---|---|---|---|---|
| −S9 | +S9 | −S9 | +S9 | −S9 | +S9 | −S9 | +S9 | ||
| BP + BP-1 70 + 280 μg/mL | 0.5 | 154 ± 8 | 159 ± 11 | 30 ± 8 | 39 ± 17 | 166 ± 9 | 178 ± 12 | 308 ± 31 | 284 ± 28 |
| 5 | 213 ± 19 | 146 ± 10 | 29 ± 5 | 23 ± 19 | 478 ± 27 * | 183 ± 6 | 298 ± 17 | 384 ± 19 | |
| 10 | 347 ± 21 * | 163 ± 7 | 23 ± 3 | 30 ± 3 | 550 ± 30 * | 190 ± 21 | 325 ± 18 | 398 ± 12 | |
| 50 | 450 ± 37 * | 172 ± 15 | 48 ± 20 | 42 ± 4 | 210 ± 12 | 208 ± 33 | 242 ± 9 | 392 ± 9 | |
| 100 | 167 ± 11 | 153 ± 23 | 21 ± 9 | 27 ± 13 | 233 ± 17 | 191 ± 18 | 250 ± 28 | 316 ± 18 | |
| Chemicals | Dose (μg/Plate) | t-Test Result | |||
|---|---|---|---|---|---|
| TA97 | TA98 | TA100 | TA102 | ||
| BP | 50 | − | − | − | − |
| 500 | + | − | + | + | |
| 1000 | + | + | + | + | |
| 2500 | ++ | ++ | ++ | ++ | |
| 5000 | ++ | ++ | ++ | ++ | |
| BP-1 | 50 | − | − | − | − |
| 500 | + | + | - | + | |
| 1000 | + | + | + | + | |
| 2500 | ++ | ++ | ++ | ++ | |
| 5000 | ++ | ++ | ++ | ++ | |
© 2018 by the authors. Licensee MDPI, Basel, Switzerland. This article is an open access article distributed under the terms and conditions of the Creative Commons Attribution (CC BY) license (http://creativecommons.org/licenses/by/4.0/).
Share and Cite
Wang, W.-Q.; Duan, H.-X.; Pei, Z.-T.; Xu, R.-R.; Qin, Z.-T.; Zhu, G.-C.; Sun, L.-W. Evaluation by the Ames Assay of the Mutagenicity of UV Filters Using Benzophenone and Benzophenone-1. Int. J. Environ. Res. Public Health 2018, 15, 1907. https://doi.org/10.3390/ijerph15091907
Wang W-Q, Duan H-X, Pei Z-T, Xu R-R, Qin Z-T, Zhu G-C, Sun L-W. Evaluation by the Ames Assay of the Mutagenicity of UV Filters Using Benzophenone and Benzophenone-1. International Journal of Environmental Research and Public Health. 2018; 15(9):1907. https://doi.org/10.3390/ijerph15091907
Chicago/Turabian StyleWang, Wen-Qian, Hai-Xin Duan, Zhou-Tao Pei, Rou-Rou Xu, Ze-Tian Qin, Guang-Can Zhu, and Li-Wei Sun. 2018. "Evaluation by the Ames Assay of the Mutagenicity of UV Filters Using Benzophenone and Benzophenone-1" International Journal of Environmental Research and Public Health 15, no. 9: 1907. https://doi.org/10.3390/ijerph15091907
APA StyleWang, W.-Q., Duan, H.-X., Pei, Z.-T., Xu, R.-R., Qin, Z.-T., Zhu, G.-C., & Sun, L.-W. (2018). Evaluation by the Ames Assay of the Mutagenicity of UV Filters Using Benzophenone and Benzophenone-1. International Journal of Environmental Research and Public Health, 15(9), 1907. https://doi.org/10.3390/ijerph15091907
