Sign in to use this feature.

Years

Between: -

Subjects

remove_circle_outline
remove_circle_outline
remove_circle_outline
remove_circle_outline
remove_circle_outline
remove_circle_outline
remove_circle_outline
remove_circle_outline
remove_circle_outline

Journals

remove_circle_outline
remove_circle_outline
remove_circle_outline
remove_circle_outline
remove_circle_outline
remove_circle_outline
remove_circle_outline
remove_circle_outline
remove_circle_outline

Article Types

Countries / Regions

remove_circle_outline
remove_circle_outline
remove_circle_outline
remove_circle_outline
remove_circle_outline
remove_circle_outline

Search Results (517)

Search Parameters:
Keywords = banking concentration

Order results
Result details
Results per page
Select all
Export citation of selected articles as:
34 pages, 3394 KB  
Article
Market Dynamics and Economic Drivers of Poland’s Foreign Trade in Goose Meat and Offal
by Monika Wereńska, Wawrzyniec Michalczyk and Andrzej Okruszek
Foods 2026, 15(8), 1353; https://doi.org/10.3390/foods15081353 - 13 Apr 2026
Cited by 1 | Viewed by 453
Abstract
Poland ranks among the world’s leading exporters of goose meat and edible offal, yet domestic consumption remains minimal, revealing a structural imbalance between production and internal demand. This study aims to provide a comprehensive economic assessment of Poland’s foreign trade in goose meat [...] Read more.
Poland ranks among the world’s leading exporters of goose meat and edible offal, yet domestic consumption remains minimal, revealing a structural imbalance between production and internal demand. This study aims to provide a comprehensive economic assessment of Poland’s foreign trade in goose meat and offal during 2020–2024, examining export specialization, price dynamics, and market resilience. Using official data from the Central Statistical Office (GUS), Eurostat, UN Comtrade, and the National Bank of Poland (NBP), trade flows were disaggregated by CN product codes, destination countries, and unit prices to identify key structural patterns. Results indicate that export volumes remained largely limited by price responsiveness despite sharp price increases and exchange rate fluctuations, confirming stable foreign demand. Exports were heavily concentrated in Germany, which absorbed over 70% of the total trade value, while domestic consumption stayed below 0.5 kg per capita annually. These findings demonstrate both the competitiveness and the fragility of Poland’s export-oriented trade model, characterized by dependence on a single market and limited domestic integration. The study concludes that long-term food system resilience requires diversification of export destinations, stimulation of domestic demand, and stronger alignment with sustainability goals. A forthcoming second part will address environmental impacts and consumer awareness. Full article
(This article belongs to the Section Food Security and Sustainability)
Show Figures

Figure 1

21 pages, 21329 KB  
Article
Topographic and Sedimentary Controls on Submarine Canyon-Channel Systems Along the Adélie Land Margin
by Hua Huang, Xiaoxia Huang and Fanchang Zeng
J. Mar. Sci. Eng. 2026, 14(8), 710; https://doi.org/10.3390/jmse14080710 - 11 Apr 2026
Viewed by 378
Abstract
Submarine canyon-channel systems play a critical role as potential conduits for warm-water upwelling around Antarctica, potentially influencing ice-sheet stability. Integrating multibeam bathymetry, seismic profiles, and morphometric analysis, this study identifies 29 canyon-channel systems along the Adélie Land margin and reveals clear morphological contrasts [...] Read more.
Submarine canyon-channel systems play a critical role as potential conduits for warm-water upwelling around Antarctica, potentially influencing ice-sheet stability. Integrating multibeam bathymetry, seismic profiles, and morphometric analysis, this study identifies 29 canyon-channel systems along the Adélie Land margin and reveals clear morphological contrasts between the Adélie Depression and the Adélie Bank. Systems in the Depression are elongated, slightly sinuous, and dendritic, with downstream increases in width-to-depth ratio, whereas those on the Bank are shorter, isolated, and single-branched, with irregular along-thalweg variations. Mann–Whitney U tests show significant differences in sinuosity and thalweg gradient (p < 0.01). These contrasts reflect the combined effects of shelf-slope topography, sediment supply, and ice-sheet dynamics. In the Depression, steep slopes, focused glacial sediment input from the Wilkes Subglacial Basin, and associated progradational wedges and mass transport deposits promote mass failures and turbidity-current incision. Strong correlations among canyon-channel length, width, and depth indicate coherent scaling under concentrated sediment supply. In contrast, gentler slopes and lower sediment input on the Bank produce simpler systems. These results highlight how glaciated-margin canyon morphology records coupled sedimentary and ice-sheet–ocean processes. Full article
(This article belongs to the Special Issue Advances in Sedimentology and Coastal and Marine Geology, 3rd Edition)
Show Figures

Figure 1

24 pages, 11712 KB  
Article
Reservoir Basin-Scale Landslide Susceptibility Assessment by Machine Learning Techniques: A Case Study of San Pietro Dam, Southern Italy
by Elias E. Chikalamo, Olga C. Mavrouli and Piernicola Lollino
Geosciences 2026, 16(4), 153; https://doi.org/10.3390/geosciences16040153 - 8 Apr 2026
Viewed by 399
Abstract
Research on landslides around reservoirs is necessitated to strengthen risk prevention and mitigation, as their occurrence has catastrophic consequences. For reservoir safety assessments, landslide susceptibility analysis is commonly concentrated on single reservoir bank slopes or individual landslides. However, focusing solely on bank slopes [...] Read more.
Research on landslides around reservoirs is necessitated to strengthen risk prevention and mitigation, as their occurrence has catastrophic consequences. For reservoir safety assessments, landslide susceptibility analysis is commonly concentrated on single reservoir bank slopes or individual landslides. However, focusing solely on bank slopes and individual landslides gives an incomplete picture of how safe the reservoir is from possible landslide related risks, since landslides from distant slopes can also adversely affect the reservoir in different ways. In this paper, landslide susceptibility assessment was conducted using machine learning models (Gradient Boosting Machine, XGBoost, Random Forest and Ensemble Stacking) in the area around the San Pietro Dam, an earth dam located in Southern Italy, in a region highly prone to landslide hazards. The landslide inventory for the area was used to generate landslide and non-landslide points for model training and testing. The area under curve (AUC) of a receiver operating characteristic (ROC) curve approach was used to evaluate, validate, and compare the performance of the four models. Results indicated that the ROC AUC values of the models ranged from 0.76 to 0.77, with the Random Forest, Gradient Boosting and Ensemble stacking models having AUC values of 0.77. All the models classified about 15–20% of the reservoir basin as highly susceptible to landslides. The generated basin-scale landslide susceptibility maps can be used to prioritize monitoring and maintenance in areas around the dam that have been identified as highly susceptible. Full article
Show Figures

Figure 1

41 pages, 8865 KB  
Article
Volatility Spillovers Between China’s Financial Markets and Strategic Metal Assets: Evidence from LLM Knowledge Distillation
by Dian Sheng, Jining Wang and Lei Wang
Systems 2026, 14(4), 406; https://doi.org/10.3390/systems14040406 - 7 Apr 2026
Viewed by 395
Abstract
This study employs a TVP-VAR-BK-DY framework to examine volatility spillovers between China’s financial markets and strategic metal assets. To capture retail investor sentiment, we construct a sentiment index using an LLM knowledge distillation framework. Building on this index, the analysis further incorporates economic [...] Read more.
This study employs a TVP-VAR-BK-DY framework to examine volatility spillovers between China’s financial markets and strategic metal assets. To capture retail investor sentiment, we construct a sentiment index using an LLM knowledge distillation framework. Building on this index, the analysis further incorporates economic policy uncertainty to investigate the joint effects of retail investor sentiment and economic policy uncertainty on cross-market volatility spillovers. The results show that: (1) Price movements in certain assets exhibit leading effects, while metals with stronger financial characteristics generate more pronounced spillover effects. (2) The spillover structure between China’s financial markets and strategic metal assets displays substantial heterogeneity across time horizons and frequency bands. In the 1–5-day frequency band, the stock market serves as a net transmitter of volatility to the banking sector, gold, and copper. In the frequency band exceeding five days, these three assets exert reverse net spillover effects on the stock market. (3) The effects of retail investor sentiment and economic policy uncertainty on volatility spillovers differ significantly. The impact of retail investor sentiment is primarily concentrated in the 1–5-day frequency band, whereas economic policy uncertainty exhibits significant spillover effects in the frequency band exceeding six months. Full article
Show Figures

Figure 1

14 pages, 1628 KB  
Article
Microbial Assessment of Reclosable Single-Day Use Ophtioles Containing Autologous Serum Eye Drops
by Frank Blaser, Daniel Barthelmes, Germaine Korner, Julia Bugajska, Oliver Nolte, Sandrine Anne Zweifel, Sadiq Said, Schneider Jana, Isabelle Meneau and Anahita Bajka
Bioengineering 2026, 13(4), 417; https://doi.org/10.3390/bioengineering13040417 - 2 Apr 2026
Viewed by 383
Abstract
Background: Autologous serum eye drops (ASEDs) are produced without preservatives and need to be stored at 2–8 °C while in use. This study aims to analyze the behavior of specific bacteria and fungi in the case of contamination during the usage of single-day [...] Read more.
Background: Autologous serum eye drops (ASEDs) are produced without preservatives and need to be stored at 2–8 °C while in use. This study aims to analyze the behavior of specific bacteria and fungi in the case of contamination during the usage of single-day use ophtioles containing ASED. Methods: This is a prospective experimental study conducted at the Department of Ophthalmology, University Hospital of Zurich (USZ), and a regulatory-licensed, independent, external laboratory. The laboratory performed microbial testing on the ASEDs with 11 microorganisms in 100% concentration or 50% diluted using the original 2.5 mL ASED ophtioles provided by the Eye Bank of the Department of Ophthalmology, USZ. Storage took place at 2–8 °C and 20–25 °C. The acceptance criterion was the absence of microbial growth between opening (T0), 24 h afterwards (T24), and 48 h afterwards (T48). Results: The acceptance criteria were met for all microorganisms for 2–8 °C. For seven microorganisms, the acceptance criteria were met for 2–8 °C and 20–25 °C. For four microorganisms, the acceptance criteria were only met for 2–8 °C. Conclusions: No relevant growth was observed in any of the test strains from T0 to T24 and T48 at 2–8 °C, demonstrating the microbiological safety of reclosable single-day use ophtioles containing unpreserved ASEDs when stored at 2–8 °C. Full article
(This article belongs to the Special Issue Bioengineering Strategies for Ophthalmic Diseases)
Show Figures

Figure 1

37 pages, 19817 KB  
Article
A New Exponential-Type Model Under Unified Progressive Hybrid Censoring: Computational Inference and Its Applications
by Refah Alotaibi and Ahmed Elshahhat
Mathematics 2026, 14(7), 1182; https://doi.org/10.3390/math14071182 - 1 Apr 2026
Viewed by 400
Abstract
A new odd exponential-type (NOT-Exp) distribution provides a flexible and analytically tractable framework for modeling lifetime data exhibiting non-constant hazard behaviors, including increasing, decreasing, bathtub-shaped, and unimodal forms, which are commonly observed in real-world reliability and survival studies. In this work, a comprehensive [...] Read more.
A new odd exponential-type (NOT-Exp) distribution provides a flexible and analytically tractable framework for modeling lifetime data exhibiting non-constant hazard behaviors, including increasing, decreasing, bathtub-shaped, and unimodal forms, which are commonly observed in real-world reliability and survival studies. In this work, a comprehensive inferential methodology is developed for the NOT-Exp model under a unified progressive Type-II hybrid censoring, allowing several traditional censoring designs to be treated as special cases within a single unified structure. The main advantages of the proposed model lie in its ability to capture complex risk dynamics while maintaining mathematical simplicity, making it particularly suitable for censored lifetime data. Classical inference is conducted via maximum likelihood estimation, along with two asymptotic confidence interval constructions based on normal and log-normal approximations for both model parameters and reliability characteristics. In addition, a Bayesian estimation framework is introduced using independent gamma priors and Markov chain Monte Carlo techniques to obtain posterior estimates, credible intervals, and highest posterior density regions. Extensive simulations demonstrate the accuracy, stability, and robustness of the proposed estimators under varying sample sizes, censoring intensities, and prior specifications. Applications to airborne toxicological variation data and bank customer waiting times highlight the practical importance of the methodology, where the NOT-Exp model consistently outperforms twelve competing lifetime distributions according to standard goodness-of-fit criteria. These results confirm that the suggested design gives a strong and versatile tool for analyzing complex censored lifetime data across environmental and service-system applications. Full article
(This article belongs to the Special Issue Statistical Inference: Methods and Applications)
Show Figures

Figure 1

23 pages, 6736 KB  
Article
Predicting Potential Habitat Suitability and Environmental Driving Mechanisms of Coral Reefs in the South China Sea Using MaxEnt Modeling
by Weijie Qin, Honglei Jiang, Biao Chen and Rongyong Huang
J. Mar. Sci. Eng. 2026, 14(7), 632; https://doi.org/10.3390/jmse14070632 - 30 Mar 2026
Viewed by 382
Abstract
Coral reefs in the South China Sea (SCS) are critical for regional marine biodiversity and ecosystem services but face escalating threats from climate change and anthropogenic stressors. However, a holistic evaluation of habitat suitability spanning the distinct environmental gradients from low-latitude deep-water atolls [...] Read more.
Coral reefs in the South China Sea (SCS) are critical for regional marine biodiversity and ecosystem services but face escalating threats from climate change and anthropogenic stressors. However, a holistic evaluation of habitat suitability spanning the distinct environmental gradients from low-latitude deep-water atolls to high-latitude marginal reefs remains limited. This study utilized high-resolution remote sensing data and the MaxEnt (Maximum Entropy) model combined with Principal Component Analysis (PCA) to systematically map potential habitat suitability and elucidate the multi-scale environmental drivers shaping the realized niche of SCS corals. The results revealed significant spatial heterogeneity characterized by a distinct “High South, Low North” latitudinal gradient, with Unsuitable areas dominating 85.5% of the study region, followed by Marginally Suitable habitats at 5.0%, while the northern Nansha Islands were identified as the core distribution area with the highest suitability and continuity. Minimum Phosphate (Min. Phos.) concentration and Sea Surface Temperature (SST) were identified as the core environmental factors determining the spatial distribution of coral reefs in the South China Sea. The optimal environmental ranges were identified as: SST between 28.52 °C and 29.41 °C, water depth shallower than 34 m, extremely low phosphate (0–0.005 mmol/m3), and low cumulative thermal stress (DHW < 0.83 °C-weeks). Crucially, PCA further quantified two potential climate refugia: low-latitude thermal refugia in the southern Nansha Islands, characterized by high environmental stability, and high-latitude marginal refugia in the Beibu Gulf, which offer physical buffering against warming, while necessitating targeted efforts to mitigate the risks of habitat degradation and eutrophication driven by intensifying anthropogenic activities These findings challenge the traditional conservation view relying solely on high-latitude migration, advocating for a climate-resilient spatial planning strategy that prioritizes strict protection of southern biodiversity source banks while enhancing the connectivity of northern marginal stepping stones. Full article
(This article belongs to the Section Marine Biology)
Show Figures

Figure 1

15 pages, 602 KB  
Article
Glycerol-Based Cryopreservation of CELT-Fat: Identification of the Optimal Concentration in a GMP-Compatible Protocol
by Lukas Prantl, Oliver Felthaus, Andreas Eigenberger, Dmytro Oliinyk and Tom Schimanski
Cells 2026, 15(7), 605; https://doi.org/10.3390/cells15070605 - 28 Mar 2026
Viewed by 589
Abstract
Background: Autologous fat grafting is widely used in reconstructive, aesthetic and regenerative surgery and often requires repeated applications. Cryopreservation of lipoaspirate enables autologous fat banking and off-the-shelf availability; however, its clinical implementation is limited by freezing-induced tissue injury, regulatory requirements and uncertainties regarding [...] Read more.
Background: Autologous fat grafting is widely used in reconstructive, aesthetic and regenerative surgery and often requires repeated applications. Cryopreservation of lipoaspirate enables autologous fat banking and off-the-shelf availability; however, its clinical implementation is limited by freezing-induced tissue injury, regulatory requirements and uncertainties regarding the optimal preservation protocol. Glycerol is a biocompatible cryoprotective agent with promising preliminary data. Nevertheless, the optimal concentration for lipoaspirate cryopreservation remains unknown. The aim of this study was to determine the optimal glycerol concentration for preservation of adipose tissue processed according to the Cell-Enriched Lipotransfer (CELT) protocol in clinically relevant volumes under GMP-compatible conditions. Methods: Lipoaspirates from 10 patients were processed by centrifugation according to the CELT protocol and allocated into experimental groups: fresh unfrozen control, frozen samples without cryoprotectant, frozen samples with PBS, and frozen samples supplemented with glycerol in concentrations ranging from 10% to 60%. Samples were cryopreserved using a controlled freezing rate at a temperature of −80 °C for 24 h. Large-volume cryopreservation was additionally performed with the best concentration of glycerol. Post-thaw tissue quality was assessed by resazurin assay of whole tissue, stromal vascular fraction (SVF) cell live/dead counting, and resazurin assay after short-term cell culture. Results: Glycerol supplementation improved post-thaw tissue viability compared with cryopreservation without cryoprotectant or with PBS alone. An optimal concentration range between 10% and 30% glycerol was identified, with highest preservation of metabolic activity and surviving cell yield observed at 20%. Higher glycerol concentrations resulted in a marked decline in tissue quality. Cryopreservation in large volume was feasible and did not impair post-thaw viability compared with small-volume samples. Conclusions: Glycerol-based cryopreservation allows effective and GMP-compatible preservation of human lipoaspirate. An optimal glycerol concentration range was identified, enabling large-volume fat banking without compromising tissue quality. This protocol provides a clinically applicable strategy for autologous fat storage and may facilitate repeated reconstructive and regenerative treatments. Full article
(This article belongs to the Section Tissues and Organs)
Show Figures

Figure 1

63 pages, 10026 KB  
Article
Critical Regimes of Systemic Risk: Flow Network Cascades in the U.S. Banking System
by Samuel Montañez Jacquez, Luis Alberto Quezada Téllez, Rodrigo Morales Mendoza, Ernesto Moya-Albor, Guillermo Fernández Anaya and Milagros Santos Moreno
Risks 2026, 14(4), 73; https://doi.org/10.3390/risks14040073 - 26 Mar 2026
Viewed by 535
Abstract
Systemic risk in banking systems arises from losses transmitted through networks of contractual exposures. Yet, most widely used measures rely on market-implied volatility and equity prices rather than structural balance sheet fragilities. This paper develops a flow network framework that models systemic risk [...] Read more.
Systemic risk in banking systems arises from losses transmitted through networks of contractual exposures. Yet, most widely used measures rely on market-implied volatility and equity prices rather than structural balance sheet fragilities. This paper develops a flow network framework that models systemic risk as a capacity-constrained loss-diffusion process governed by flow conservation, contractual seniority, and interbank topology. Using regulatory balance sheet data for four major U.S. banks across six quarters of the 2007–2008 financial crisis, we simulate millions of unit-consistent cascade scenarios to characterize the distribution of bank failures and aggregate losses. Despite severe macro-financial stress, the system remains in a subcritical contagion regime, exhibiting frequent single-bank failures, virtually no multi-bank cascades, and quasi-stationary aggregate losses concentrated around USD 420–430B.We extend the model to a stochastic setting in which the initial shock magnitude is randomized while propagation mechanics remain deterministic. The resulting loss distribution remains tightly concentrated and scales approximately linearly with shock size, suggesting that uncertainty in shock realizations does not induce nonlinear cascade amplification. Applying an efficient network benchmark, we estimate that 10–23% of expected systemic loss is attributable to suboptimal network architecture, implying potential gains from structural policy intervention. A comparison with SRISK reveals early divergence and convergence only at peak stress, highlighting the complementary roles of structural and market-based systemic risk measures. Finally, a graph neural network trained on synthetic flow network data fails to reproduce threshold-driven cascade dynamics, underscoring the importance of considering network structures vis-à-vis data-driven approaches. Full article
Show Figures

Graphical abstract

23 pages, 2673 KB  
Article
Autoencoder-Enhanced Hierarchical Mondrian Anonymization via Latent Representations
by Junpeng Hu, Tao Hu, Zhenwu Xu, Jinan Shen and Minghui Zheng
Entropy 2026, 28(4), 372; https://doi.org/10.3390/e28040372 - 25 Mar 2026
Viewed by 278
Abstract
Releasing structured microdata requires balancing utility and privacy under group-based disclosure risks. We propose AE-LRHMA, a hybrid anonymization framework that performs Mondrian-style hierarchical partitioning in an autoencoder-learned latent space and integrates local (k,e)-microaggregation. To explicitly control sensitive-value concentration and [...] Read more.
Releasing structured microdata requires balancing utility and privacy under group-based disclosure risks. We propose AE-LRHMA, a hybrid anonymization framework that performs Mondrian-style hierarchical partitioning in an autoencoder-learned latent space and integrates local (k,e)-microaggregation. To explicitly control sensitive-value concentration and diversity within each equivalence class, we introduce a tunable constraint set consisting of k, a maximum sensitive proportion threshold, and an optional sensitive-entropy threshold (used as a hard gate when enabled and otherwise as a soft term in split scoring). The anonymized output is generated via standard interval/set generalization in the original space. Experiments on Adult and Bank Marketing demonstrate that AE-LRHMA yields lower information loss and more stable group structures than representative baselines under comparable settings. We further report linkage-attack-oriented risk metrics to empirically characterize relative disclosure trends without claiming formal guarantees, such as differential privacy. Full article
(This article belongs to the Section Information Theory, Probability and Statistics)
Show Figures

Figure 1

24 pages, 7145 KB  
Article
Analysis of Influencing Factors of Ecosystem Service Value Based on Machine Learning—Evidence from the Huaihe River Ecological Economic Belt, China
by Xingyan Li, Zeduo Zou, Xiuyan Zhao and Chunshan Zhou
Land 2026, 15(3), 466; https://doi.org/10.3390/land15030466 - 14 Mar 2026
Viewed by 371
Abstract
By integrating multi-source data, this study systematically analyzes the evolution of land use structure, spatiotemporal differentiation characteristics of Ecosystem Service Value (ESV), and core driving mechanisms in the Huaihe River Ecological Economic Belt (HREEB) in eastern China from 2000 to 2020, based on [...] Read more.
By integrating multi-source data, this study systematically analyzes the evolution of land use structure, spatiotemporal differentiation characteristics of Ecosystem Service Value (ESV), and core driving mechanisms in the Huaihe River Ecological Economic Belt (HREEB) in eastern China from 2000 to 2020, based on the ESV equivalent accounting model and XGBoost-SHAP coupled framework. The main results are as follows: (1) The land use structure is dominated by cropland, construction land, and forest land. Over the 20-year period, cropland was continuously converted out, primarily transforming into construction land and forest land, while other land types remained relatively stable. (2) Temporally, the total ESV showed a fluctuating downward trend, first increasing and then decreasing from 2000 to 2020. Spatially, the ESV exhibited a corridor effect of “decreasing from the river channel center to both banks”. High-value areas were concentrated in the eastern river–sea linkage zone and the central-western inland rising zone, while extremely low-value areas in 2020 were located in the northern Huaihai Economic Zone (with dense construction land), indicating an overall medium service level. (3) The evolution of ESV was driven by both natural and human factors: among natural factors, water coverage, elevation, and slope had positive effects, while high temperature had an inhibitory effect; among human–economic factors, population density showed an “increase first and then decrease” effect, and urban expansion significantly weakened ESV in the later period. The spatial differentiation presented a pattern of “natural background support in the upper reaches and socioeconomic intervention in the lower reaches”. This study provides a scientific basis for the optimization of territorial space and ecological protection and restoration in the Huaihe River Ecological Economic Belt, and also offers a replicable research paradigm for ecosystem service management in similar river basin-type regions. Full article
Show Figures

Figure 1

10 pages, 436 KB  
Communication
Effects of Holder Pasteurization on 15-F2t-Isoprostane and Total Antioxidant Power in Donor Human Milk
by Valeria Bellisario, Samar El Sherbiny, Giulia Squillacioti, Alessia Spadavecchia, Elisabetta Punziano, Alessandra Coscia, Chiara Peila and Roberto Bono
Biomolecules 2026, 16(3), 437; https://doi.org/10.3390/biom16030437 - 13 Mar 2026
Viewed by 491
Abstract
Human milk is the optimal standard for neonatal nutrition, particularly for preterm infants. Several conditions associated with oxidative stress (OS) may be transmitted from mother to infant through milk, making the preservation of milk quality essential. When maternal milk is unavailable, donor human [...] Read more.
Human milk is the optimal standard for neonatal nutrition, particularly for preterm infants. Several conditions associated with oxidative stress (OS) may be transmitted from mother to infant through milk, making the preservation of milk quality essential. When maternal milk is unavailable, donor human milk (DM) is commonly used and treated with Holder pasteurization (HoP) to ensure microbiological safety, although this process may affect bioactive components. This study aimed to evaluate the impact of HoP on OS biomarkers, specifically total antioxidant power (TAP) and 15-F2t-isoprostane, using colorimetric and ELISA methods as cost-effective alternatives to analytical gold standards. Twenty paired DM and HoP samples from the Human Milk Bank of Sant’Anna Hospital (Turin, Italy) were analyzed. No significant differences were observed in TAP levels between DM and HoP samples. In contrast, 15-F2t-isoprostane concentrations were significantly lower in DM compared to pasteurized milk (3.16 (1.59–5.27) vs. 0.76 (0.62–1.54), p-value < 0.001). This reduction remained consistent after stratification by sampling day. These findings suggest that HoP may reduce oxidative stress markers in donor milk, potentially limiting neonatal exposure to maternal oxidative imbalance. Although this effect could offer protective benefits for vulnerable preterm infants, further studies are needed to clarify the clinical implications of HoP on redox status and neonatal outcomes. Full article
(This article belongs to the Section Biological Factors)
Show Figures

Figure 1

13 pages, 3772 KB  
Communication
Spatial Distribution and Composition of Solid Waste Pollution Along the Banks of the Amazon River, Brazil
by Gabriel dos Anjos Guimarães, Gysele Maria Morais Costa, Isreele Jussara de Azevedo Rodrigues, Manoel Henrique de Souza Neto, Gustavo Frigi Perotti, Bruno Sampaio Sant’Anna and Gustavo Yomar Hattori
Limnol. Rev. 2026, 26(1), 8; https://doi.org/10.3390/limnolrev26010008 - 5 Mar 2026
Viewed by 589
Abstract
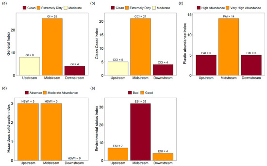
Pollution from solid waste results mainly from improper disposal and inadequate waste management, causing environmental degradation and risks to human health. This study characterized solid waste pollution along the left bank of the Amazon River within the urban segment of Itacoatiara, Brazil. Eleven [...] Read more.
Pollution from solid waste results mainly from improper disposal and inadequate waste management, causing environmental degradation and risks to human health. This study characterized solid waste pollution along the left bank of the Amazon River within the urban segment of Itacoatiara, Brazil. Eleven sampling points were established across upstream, midstream and downstream sections. Solid waste was present at densities ranging from 0 to 0.65 items·m−2, with a mean density of 0.15 ± 0.14 items·m−2. Higher concentrations were observed in the midstream sections of the left bank (0.21 ± 0.16 items·m−2), and statistical analyses showed significant differences among sections. Plastics predominated among all materials (0.50 ± 0.60 items·m−2), and statistical analyses showed significant differences among the types of solid waste, with fragments mainly originating from bags, bottles, and fibers. Plastics were recorded in most sampling sections, with particularly high abundance in the midstream sections of the river (0.98 ± 0.80 items·m−2) and statistical analyses showed significant differences among sections and across material types. According to the general index and the clean coast index, sampling areas ranged from “clean” to “extremely dirty”, with midstream sections most impacted. The plastic abundance index indicated high plastic contamination, and hazardous waste was more frequent in the upstream and midstream sections. The environmental status index classified all sections as both “good” and “bad”, indicating compromised environmental quality and ecological integrity. These results show human pressure on the Amazon River banks and degraded environmental quality, supporting waste management policies, mitigation, monitoring, and environmental education to protect ecosystems and reduce risks to riverside communities. Full article
Show Figures

Figure 1

23 pages, 499 KB  
Article
Artificial Intelligence Applications and Financial Forecasting Accuracy in Banking Platforms: Evidence from Jordan
by Abdalla Alassuli, Ahmed Eltweri, Nawaf Samah Thuneibat, Krayyem Al-Hajaya and Saad M. Ismail
Adm. Sci. 2026, 16(3), 122; https://doi.org/10.3390/admsci16030122 - 3 Mar 2026
Viewed by 1049
Abstract
The continued digitalisation of banking systems has raised a demand for more reliable data-based decision-making, in particular when referring to financial forecasts as covered by e-banking applications. This research also investigates the usage of AI-based decision-making systems to facilitate forecasting effectiveness in Jordanian [...] Read more.
The continued digitalisation of banking systems has raised a demand for more reliable data-based decision-making, in particular when referring to financial forecasts as covered by e-banking applications. This research also investigates the usage of AI-based decision-making systems to facilitate forecasting effectiveness in Jordanian commercial banks. Field research was carried out and 390 employees, working at 14 commercial banks in Jordan, responded to an organised questionnaire. Although the minimum required sample size was 384 respondents, a total of 390 valid responses were collected and used in the final analysis, thereby exceeding the minimum sample requirement. This research concentrates on three dominant categories of AI applications, including expert systems (ES), machine learning (ML), and Robotic Process Automation (RPA), which together are analysed for their effect on forecasting results in the context of customer churn, debt repayment, as well as investment analysis. The results of the multiple regression analysis indicate that AI applications contribute to improvements in forecasting accuracy, with machine learning and RPA showing relatively stronger effects. Expert systems were found to support investment analysis and debt repayment forecasting; however, their influence on customer churn prediction was more limited. In general, the findings indicate that AI applications are not confined to routine automation but are increasingly used as decision-support tools that assist financial analysis and forecasting activities in banking systems. Full article
Show Figures

Figure 1

19 pages, 548 KB  
Article
Using Credit Scores to Capture Regional Banks’ Portfolio Credit Risk: The Case of East Texas, USA
by Juan Castro, James Nguyen and Esther Castro
J. Risk Financial Manag. 2026, 19(2), 152; https://doi.org/10.3390/jrfm19020152 - 19 Feb 2026
Viewed by 676
Abstract
Credit scoring is the industry-standard methodology for quantifying the creditworthiness and default risk of individual loan applicants. However, assessing the risk at the portfolio level—across different branches or regions—requires more than just aggregating individual scores. This paper presents a simple, pragmatic model for [...] Read more.
Credit scoring is the industry-standard methodology for quantifying the creditworthiness and default risk of individual loan applicants. However, assessing the risk at the portfolio level—across different branches or regions—requires more than just aggregating individual scores. This paper presents a simple, pragmatic model for evaluating overall commercial bank portfolio risk by analyzing accumulated credit scores, facilitating effective inter-branch benchmarking. The proposed model is validated using credit score data from two distinct regions of the bank. Logistic regressions by region show that both northern and southern banks maintain low overall risk profiles due to strong portfolio credit scores. However, a nuanced analysis reveals regional discrepancies: the southern region appears riskier when segmented by credit score groupings (indicating a higher concentration of lower-tier borrowers), whereas the northern region exhibits higher risk when analyzed against a broader set of factors, such as approved amounts, maximum potential exposure, and approved versus book rates. This research suggests that portfolio risk is not one-dimensional; effective risk management requires analyzing both individual scores and the interaction of loan characteristics, particularly when comparing regional performance. Full article
(This article belongs to the Section Risk)
Show Figures

Figure 1

Back to TopTop