Next Article in Journal
Integrated Management Strategies for Blackleg Disease of Canola Amidst Climate Change Challenges
Previous Article in Journal
Identification of Critical Candidate Genes Controlling Monokaryon Fruiting in Flammulina filiformis Using Genetic Population Construction and Bulked Segregant Analysis Sequencing
 
 
Font Type:
Arial Georgia Verdana
Font Size:
Aa Aa Aa
Line Spacing:
Column Width:
Background:
Article

The Response Characteristics of One Saccharomyces cerevisiae Strain Under Continuous Passage in Artificial Culture Medium

College of Life Sciences, Qingdao University, Qingdao 266071, China
*
Author to whom correspondence should be addressed.
These authors contributed equally to this work.
J. Fungi 2025, 11(7), 513; https://doi.org/10.3390/jof11070513
Submission received: 20 May 2025 / Revised: 21 June 2025 / Accepted: 27 June 2025 / Published: 9 July 2025

Abstract

Saccharomyces cerevisiae often undergoes strain degeneration during industrial serial subculturing, though this phenomenon remains understudied. This study first conducted strain screening and biological characterization through TTC (2,3,5-triphenyltetrazolium chloride) colorimetric assays, Durham tube fermentation gas production tests, and WL medium (Wallerstein Laboratory medium) cultivation. Subsequently, the changes in intergenerational biological traits after serial subculturing were investigated. Finally, transcriptomic analysis was employed to examine differential gene expression under high-glucose stress during continuous subculturing. The experimental results demonstrated that: (1) The S. cerevisiae QDSK310-Z-07 (GenBank: PP663884), isolated from farm soil, exhibited robust growth within a temperature range of 24–36 °C, with optimal growth observed at 28 °C. It thrived in a pH range of 4–5.5 and efficiently utilized various carbon and nitrogen sources; (2) After serial subculturing, the strain’s ethanol production capacity and fermentation rate partially declined and then stabilized, while maintaining strong tolerance to high ethanol concentrations and hyperosmotic stress; (3) Transcriptomic analysis revealed significant differential expression of genes related to lipid metabolism, amino acid metabolism, and other pathways under high-glucose stress following continuous subculturing. These findings elucidate the biological trait variations in S. cerevisiae during serial subculturing and provide key metabolic regulation candidate targets for its long-term adaptive evolution under high-glucose stress.

1. Introduction

Saccharomyces cerevisiae (S. cerevisiae), commonly known as brewer’s yeast, is a single-cell fungi. In 1996, Goffeau et al. completed its whole-genome sequencing, making it the first eukaryote to be fully sequenced [1]. Due to its clear genetic background, convenient molecular manipulation capabilities, and natural resistance to bacteriophage infections [2,3], S. cerevisiae is considered one of the most promising model chassis cells for industrial applications and fundamental research, widely used in various industries such as chemical engineering [4,5,6,7], food [8,9,10,11], and medical [12,13,14].
Excellent production strains must exhibit high ethanol yield, rapid fermentation, and robust stress tolerance to maximize efficiency and product quality [15,16,17,18]. During strain production and application, continuous subculturing is an inevitable process. Studies have demonstrated that serial passaging not only affects the genetic stability of strains but may also exert profound impacts on their metabolic characteristics [19]. During utilization, strains may exhibit degeneration phenomena, including alterations in original morphology, decreased nutrient utilization capacity, slowed growth rate, and weakened stress resistance [20,21,22]. These changes can subsequently manifest as consistently low yields during production and poor inter-batch reproducibility. Therefore, in-depth investigation of strain genetic stability holds significant theoretical and practical importance for maintaining the superior traits of original strains and ensuring stable, efficient industrial applications [23].
Current research on genetic stability during subculturing primarily focuses on probiotic strains. For instance, Wang et al. evaluated the genetic stability of Lactiplantibacillus plantarum P-8 through 100 generations of serial subculturing in MRS medium at 37 °C. Through morphological observation, carbohydrate utilization tests, and whole-genome sequencing analysis, they found no significant changes in cellular morphology or carbohydrate metabolism during passaging. Different generations maintained excellent genome collinearity with high similarity, demonstrating favorable genetic stability of L. plantarum P-8 during subculturing and establishing a genetic foundation for its industrial application (2023) [24]. Similarly, Liu et al. comprehensively assessed the genetic stability of Bifidobacterium animalis subsp. lactis V9 through phenotypic and genomic analyses. Their results showed no significant differences in cellular morphology or carbohydrate utilization across generations. Phylogenetic tree analysis revealed close genetic relationships between different passages, with no stably inherited mutation sites detected. These findings confirm that V9 maintains stable phenotypic and molecular genetic characteristics through 100 generations of continuous subculturing, providing crucial support for its further development and industrial-scale production (2023) [25].
However, current research on the genetic stability of yeast during serial subculturing remains relatively limited, highlighting the critical need for further investigation in this field. Strains of brewing yeast were isolated from farm soil, and after continuous subculturing, their biological characteristics were systematically characterized. Additionally, the transgenerational transcriptomic differences under high-sugar stress were elucidated, providing theoretical support for strain development and application. Compared to existing studies focusing on environmental stress responses in wild-type strains, these findings hold significant value for constructing microbial resource banks and exploring industrial potential.

2. Materials and Methods

2.1. Materials

The soil samples were collected from farm soils in Rizhao City, Shandong Province, China. YPD liquid medium, yeast agar, and WL medium were bought from Qingdao Hope Bio-Technology Co., Ltd., Qingdao, China. TTC medium was composed of upper and lower media layers. TTC upper medium comprised 5 g/L glucose (Sinopharm Chemical Reagent Co., Ltd., Shanghai, China), 0.5 g/L TTC (Shanghai Macleane Biochemical Technology Co., Ltd., Shanghai, China), and 15 g/L agar powder (Biosharp Biotechnology Co., Ltd., Anhui, China). TTC lower medium was composed of 10 g/L glucose, 1.5 g/L yeast extract (Sinopharm Chemical Reagent Co., Ltd., Shanghai, China), 2 g/L peptone (Beijing Oboxing Biotechnology Co., Ltd., Beijing, China), 0.4 g/L magnesium sulfate (Tianjin Beilian Fine Chemicals Development Co., Ltd., Tianjin, China), 1.0 g/L potassium dihydrogen phosphate (Sinopharm Chemical Reagent Co., Ltd.), and 20 g/L agar powder (pH 5.4–5.6). Anhydrous ethanol, galactose, lactose, soluble starch, citric acid, ethylamine hydrochloride, arginine, and ammonium chloride were all purchased from Sinopharm Chemical Reagent Co., Ltd. Glutathione was purchased from Shanghai Macleane Biochemical Technology Co., Ltd. Mannitol was purchased from Shanghai Aladdin Biochemical Technology Co., Ltd., Shanghai, China.

2.2. Methods

The experimental flow of this research is shown in Figure 1.

2.2.1. Selection and Identification of Strains

(1) Preliminary screening of yeast strains
The initial bacterial suspension was serially diluted with sterile water at a 10-fold gradient. The diluted samples were spread onto yeast agar and incubated in a 28 °C electrically heated incubator (DHP-9052, Qingdao Lantenn Science and Education Instrument and Equipment Co., Ltd., Qingdao, China) for 24–48 h. Isolation and purification were carried out following established protocols, and the resulting strains were numbered and preserved [26,27,28].
2,3,5-triphenyltetrazolium chloride (TTC) chromogenic experiments: Isolated yeast strains were streaked onto the lower layer of TTC medium and incubated at 28 °C for 3 days. After colony formation, the upper TTC medium was poured over the colonies and incubated at 28 °C in the dark for 3 h [29]. Strains with darker colony colors were selected for the gas production fermentation experiment [28].
Experiments on gas production by Durham tubule fermentation: By monitoring the gas-filling state of the Durham tube and the time required for complete gas accumulation, the fermentation rate and gas-producing capability of the strain can be evaluated [28,30]. An amount of 10 mL YPD liquid medium was aliquoted into 15 mL test tubes, inverted, and placed in Durham tubes. After sterilization (vertical autoclave, YXQ-LS-50SI, Shanghai Boxun Industrial Co., Ltd. Medical Equipment Factory, Shanghai, China), and cooling, a 5% inoculum was added, and the tubes were incubated at 28 °C. The gas volume and time required to fill the Durham tubes were recorded every 6 h [30]. Based on the preliminary screening results, strains with strong alcohol production, rapid fermentation, and high gas production were selected for further screening.
(2) Further screening of yeast strains
The selected strains were streaked onto WL medium and incubated at 28 °C for 3–5 days. After colony formation, the strains were preliminarily identified based on the colony morphology observed on the WL medium [31].
(3) Molecular biological identification of yeast strains
Single colonies isolated from culture media were subjected to DNA extraction. After successful extraction, PCR amplification and agarose gel electrophoresis were performed, and the product was sequenced. The sequencing results were compared with homologous sequences using the Basic Local Alignment Search Tool (BLAST) from the National Center for Biotechnology Information (NCBI). Finally, the phylogenetic tree of the strains was constructed using MEGA7.0.26.

2.2.2. Study of the Fermentation Characteristics of Strains

Yeast strains were cultured in YPD liquid medium (28 °C, 150 rpm) to measure OD600 values (ultraviolet spectrophotometer, UV-8000, Shanghai Yuanxi Instrument Co., Ltd., Shanghai, China) and generate growth curves. The ability of yeast strains to utilize various carbon sources (glucose, galactose, lactose, soluble starch, citric acid, and mannitol) and nitrogen sources (ethylamine hydrochloride, arginine, peptone, glutathione, and ammonium chloride) was evaluated by Durham tubes fermentation test. Strain adaptability was assessed across temperature gradients (20–40 °C) and pH ranges (3.5–5.5) [32,33].

2.2.3. Response Regularities of Strains Under Continuous Passage Conditions

The selected and identified strains were continuously passed up to 30 generations, designated G1, G2, and G30, respectively. The biological characteristics of G1, G5, G10, G15, G20, G25, and G30 were compared.
(1) Fermentation characteristics of the strain.
Durham tubule fermentation gas production experiment and TTC chromogenic experiment were used to explore the changes in fermentation ability of strains after passage.
(2) Tolerance of the strain.
Anhydrous ethanol was added to the YPD liquid medium at different concentrations (4%, 6%, 8%, 10%, and 12%). The medium was inoculated with 1% inoculum and incubated at 28 °C for 48 h, and the OD600 of the fermentation liquid was measured [17,34,35].
Based on the yeast strain’s utilization of different carbon and nitrogen sources, solutions of the most efficiently utilized carbon and nitrogen sources were prepared at 200 g/L, 250 g/L, 300 g/L, 350 g/L, and 400 g/L [36]. The experimental parameters were the same as those in the carbon and nitrogen source assimilation capacity study, and the OD600 of the fermentation liquid was measured.
(3) The regularity of transcriptome changes.
In view of the differences in the growth conditions of different generations of S. cerevisiae QDSK310-Z-07 at a glucose concentration of 400 g/L, transcriptome analysis of G1, G15, and G30 was carried out in this research. After obtaining all raw sequences from the second-generation, high-throughput sequencing platform, the sequences were processed to remove low-quality reads and adapter contamination, resulting in high-quality sequences. After the transcriptome data quality assessment was qualified, comprehensive analysis was performed using Gene Ontology (GO) and the Kyoto Encyclopedia of Genes and Genomes (KEGG) databases [37,38,39].

2.3. Data Analysis

All experiments were performed in triplicate replicates, the experimental data were analyzed and processed by SPSS 27.0 software, the one-way ANOVA was analyzed using Duncan’s test, and Origin2021 and MEGA 7.0.26 software generated the graphs.

3. Results

3.1. Screening and Identification of Strains

Following enrichment culture, isolation, and purification, 14 suspected yeast strains were obtained from farm soils samples. These strains were designated as Y1, Y2, Y3, Y4, Y5, Y6, Y7, Y8, Y9, Y10, Y11, Y12, Y13, and Y14.
The 14 strains obtained after isolation and purification were subjected to TTC colorimetric experiments. The results are shown in Table 1. Strains Y1, Y3, Y4, Y5, and Y7, which exhibited strong alcohol production capacity, were selected for the fermentation gas production experiment.
The results of the gas production test are shown in Table 2. At 12 h, strains Y5 and Y7 exhibited the highest gas accumulation in Durham tubes, followed by strains Y3 and Y4, while strain Y1 showed the least gas production. By 24 h, the Durham tubes for strains Y3, Y4, Y5, and Y7 had reached full gas saturation, whereas the Durham tube of strain Y1 remained incompletely filled. These findings indicate that strains Y3, Y4, Y5, and Y7 exhibit both superior fermentation capacity and faster gas production rates. According to the preliminary screening results, strains Y3, Y4, Y5, and Y7 with strong alcohol production and fermentation ability were selected for further screening.
As presented in Table 3, the morphological characteristics of the colonies of strains Y3, Y5, and Y7 on WL medium were similar to those of S. cerevisiae on WL medium in the literature, whereas strain Y4 displayed distinct morphological features [31]. Therefore, based on the results of both preliminary and re-screening tests, strain Y7, which has strong ethanol production and fermentation abilities, was chosen for molecular identification. The colonies of strain Y7 cultured on WL medium are shown in Figure 2A.
Phylogenetic tree (Figure 2B) revealed that strain Y7 clustered with S. cerevisiae NRRL Y-12632, indicating high homology. Strain Y7 was ultimately identified as S.cerevisiae, registered with GenBank under accession number PP663884, and renamed S. cerevisiae QDSK310-Z-07.

3.2. Fermentation Characteristics of S. cerevisiae QDSK310-Z-07

As illustrated in Figure 3A, the yeast strain was in the lag phase from 0 to 14 h, with slow growth. From 14 to 24 h, it entered the logarithmic growth phase, followed by the stationary phase from 24 to 64 h. After 64 h, the strain gradually entered the death phase. Moreover, S. cerevisiae QDSK310-Z-07 exhibited good growth between 24 °C and 36 °C, with optimal growth at 28 °C (Figure 3B). Growth was strongly inhibited at 40 °C. As the pH value decreased, making the environment more acidic, the growth of S. cerevisiae QDSK310-Z-07 was increasingly inhibited (Figure 3C).
Through Table 4, we can visually compare the gas production of S. cerevisiae QDSK310-Z-07 under different carbon and nitrogen sources, thereby elucidating the strain substrate utilization capacities. For example, when glucose is used as the only carbon source, there is gas in the Durham tube at 12 h, and the gas filling state is reached at 24 h, while when citric acid is used as the only carbon source, there is no gas in the Durham tube at 12 h, and there is only a small amount of gas at 24 h. Therefore, from Table 4, we can conclude that S. cerevisiae QDSK310-Z-07 has poor utilization of soluble starch and citric acid, while its assimilation of galactose and glucose is more significant compared to other carbon sources. Among nitrogen sources, yeast has the strongest degree of assimilation of peptone.

3.3. Response Regularities of S. cerevisiae QDSK310-Z-07 Under Continuous Passage Conditions

The changes in the fermentation ability and gas production rate of S. cerevisiae QDSK310-Z-07 after continuous passage were explored by Durham tube gas production experiment, and the greater the gas accumulation in the Durham tube within equivalent time intervals, the stronger the fermentation ability of the strain. After G5, the fermentation power of the strain slightly increased in G10 and G15, then gradually decreased (Table 5). The changes in alcohol production capacity of S. cerevisiae after continuous passage were explored by the degree of color development on the colony on TTC medium, and the darker the color rendering, the stronger the alcohol production ability. After G10, the ethanol production capacity of the strain slightly increased in G15 and then stabilized at a moderate level (Table 6).
As presented in Figure 4A, with increasing ethanol concentration, the growth of the strain was gradually inhibited. After successive passages, the strain growth was progressively suppressed, but the degree of inhibition varied across generations. For instance, G5 was more strongly inhibited at the same ethanol concentration than the others.
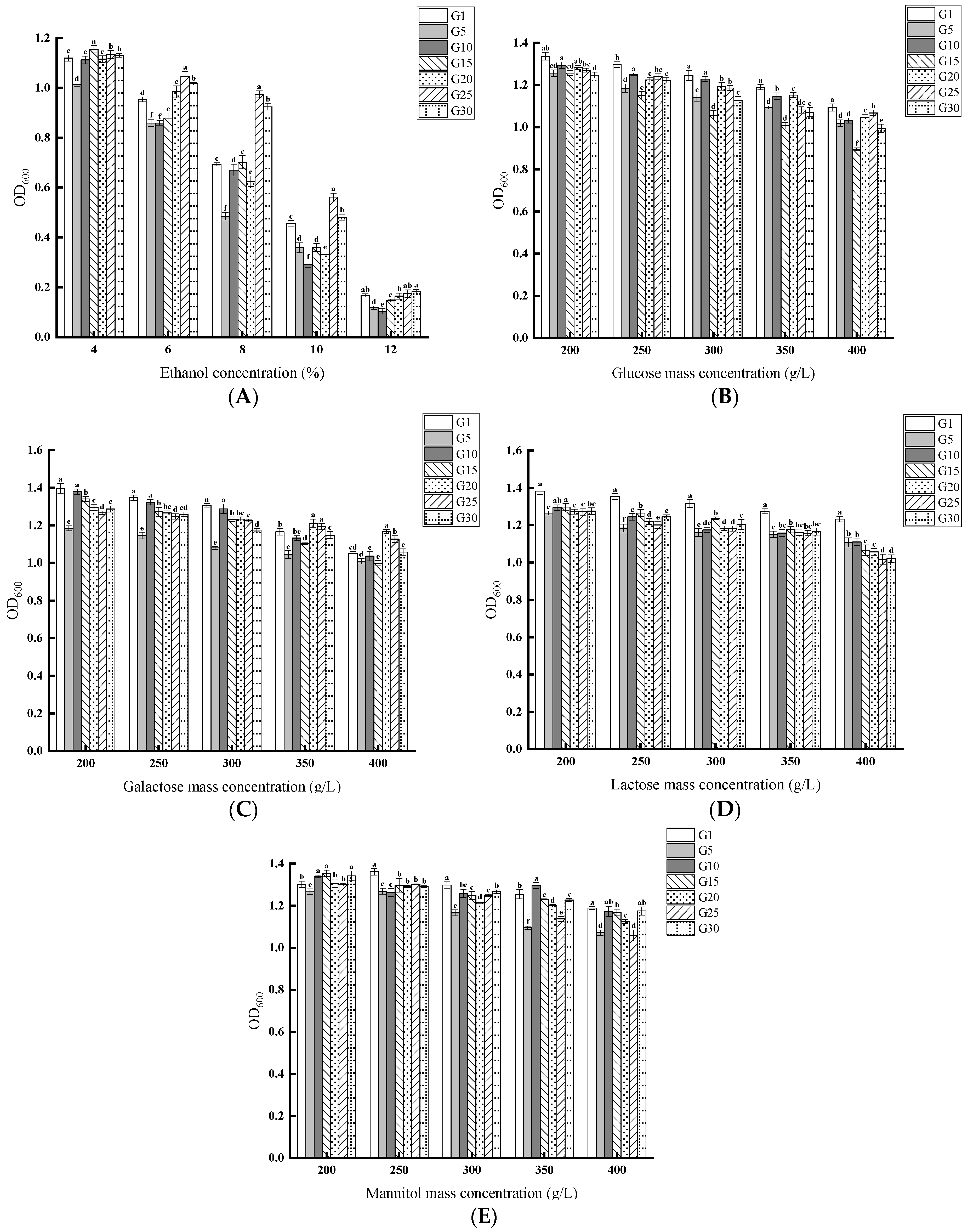
With increasing glucose concentration, the growth of the strain was progressively inhibited. After successive passages, the strain’s growth was progressively suppressed, but the degree of inhibition varied across generations. At the same concentration, G15 was more strongly inhibited by high glucose levels than others (Figure 4B). With increasing galactose concentration, the growth of the strain was progressively inhibited. At the same concentration, G5 was more strongly inhibited than others (Figure 4C). As lactose concentration increased, the growth of the yeast was progressively inhibited, and the degree of inhibition varied across different generations under the same concentration conditions (Figure 4D). As mannitol concentration increased, the growth of the yeast was progressively inhibited. Under the same concentration, G5 was more strongly inhibited, similarly to the phenomenon observed when galactose was the sole carbon source (Figure 4E).
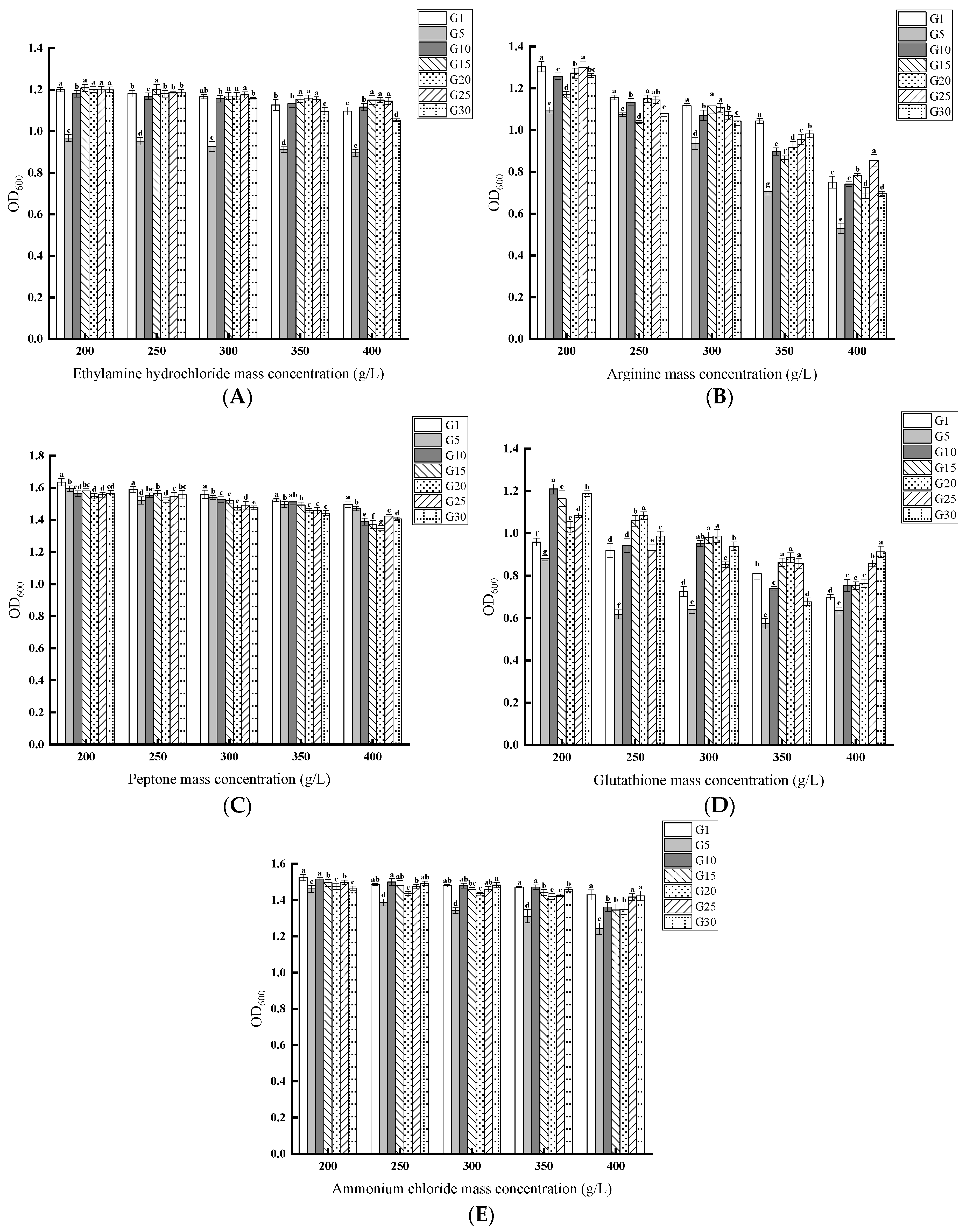
Yeast growth was not strongly inhibited at an ethylamine hydrochloride concentration of 200 g/L to 400 g/L. However, at the same concentration, G5 was more strongly inhibited than others (Figure 5A). As arginine concentration increased, the growth of the yeast was progressively inhibited. Under the same concentration, G5 was more strongly inhibited than others (Figure 5B). Yeast growth was not strongly affected at a 200 g/L to 400 g/L peptone concentration. Comparing OD600 across different nitrogen sources at the same concentration gradient, yeast growth was better when peptone was used as the nitrogen source (Figure 5C). As glutathione concentration increased, the growth of the yeast was progressively inhibited. Relative to other generations, G5 was more strongly inhibited under the same concentration conditions (Figure 5D). Within the range of ammonium chloride concentrations from 200 g/L to 400 g/L, yeast growth was not significantly inhibited. However, G5 experienced more pronounced inhibition under the same concentration conditions than other generations (Figure 5E).

3.4. Results of Transcriptomic Studies of S. cerevisiae

The GO functional annotation analysis revealed a multidimensional stress response mechanism of S. cerevisiae QDSK310-Z-07 under high-glucose stress (Figure 6A). At the molecular function (MF) level, genes associated with binding and catalytic activity predominated, indicating that cells cope with high-sugar stress by enhancing metabolic enzyme activity and molecular interactions. In the cellular component (CC) category, genes related to cellular anatomical entities and protein complexes were predominant, reflecting an active process of dynamic adjustment in organelle structures. Regarding biological processes (BP), the high frequency of genes involved in metabolic processes, cellular processes, and biological regulation unveiled a systemic cellular response in energy conversion and homeostasis regulation. Notably, the presence of stress-related terms, such as genes linked to detoxification and antioxidant activity, may suggest an adaptive mechanism in yeast cells induced by the high-glucose environment. As illustrated in Figure 6B, the KEGG annotation map reveals a multidimensional stress response mechanism in S. cerevisiae QDSK310-Z-07 cells under high-glucose stress. Metabolic Network Remodeling: Genes associated with carbohydrate metabolism, amino acid metabolism, and lipid metabolism pathways were frequently annotated, suggesting that cells may undergo metabolic flux redistribution to adapt to the high-sugar environment. Activation of Stress Defense Systems: The annotation of genes involved in energy metabolism, cofactors and vitamins metabolism pathways reflects an enhanced oxidative stress defense and coenzyme regeneration mechanism under high-glucose conditions. Maintenance of Genetic Information: The significant annotation of genes related to transcription, translation, protein folding and degradation, as well as DNA replication and repair pathways, indicates that cells may reinforce protein quality control to maintain functional homeostasis under high-glucose stress. Signal Regulation Network: The frequent annotation of genes associated with signal transduction and membrane transport pathways suggests an adaptive regulatory mechanism for sensing and transmitting high-glucose signals.
In comparison with G30, G1 had 37 upregulated genes and 32 downregulated genes (Figure 7A). Compared to G15, G1 had 19 upregulated and 19 downregulated genes (Figure 7B). Relative to G30, G15 had 2 upregulated and 8 downregulated genes (Figure 7C). Figure 5 contains a substantial number of genes without significant differential expression, indicating the stability of core metabolic pathways during serial passaging. The significantly differentially expressed genes require further inference through GO and KEGG enrichment analyses.
Relative to G30, the differential expression genes (DEGs) in G1 were significantly enriched in processes such as lipid biosynthesis and metabolism, amino acid biosynthesis and metabolism, organic acid metabolism, and secondary alcohol metabolism. In terms of cellular components, the DEGs showed significant enrichment in subcategories including the cell periphery, endoplasmic reticulum, and cytoplasmic stress granules. Regarding molecular functions, they were notably enriched in enzymatic activity (Figure 8A,B). In contrast to G15, the DEGs in G1 were significantly enriched in lipid biosynthesis and metabolism, amino acid biosynthesis and metabolism, cell wall organization or biogenesis, and secondary alcohol metabolism. For cellular components, the DEGs exhibited significant enrichment in membrane microdomains and the endoplasmic reticulum. As for molecular functions, they were markedly enriched in enzymatic activity (Figure 8C,D). When compared to G30, the DEGs in G15 were significantly enriched in processes such as cell wall organization or biogenesis. In cellular components, the DEGs were notably enriched in chitosomes, while in molecular functions, they were predominantly enriched in cell wall structural constituents (Figure 8E).
Relative to G30, the DEGs in G1 were significantly enriched in pathways including steroid biosynthesis, cysteine and methionine metabolism, sulfur metabolism, methane metabolism, and the biosynthesis of various secondary metabolites (Figure 9A,B). Unlike G15, the DEGs in G1 were significantly enriched in steroid biosynthesis, purine metabolism, and sulfur metabolism pathways (Figure 9C,D). In contrast to G30, the DEGs in G15 were significantly enriched in amino sugar and nucleotide sugar metabolism pathways (Figure 9E).

4. Discussion

Industrial S. cerevisiae used in production has many excellent characteristics, such as high ethanol production capacity, strong tolerance, and genetic stability [33,40,41,42,43]. Therefore, studying the characteristics of independently selected strains is particularly important. Carbon and nitrogen sources are essential substances for microbial life activities, and different carbon and nitrogen sources have varying effects on yeast. The ability of yeast to utilize different carbon and nitrogen sources also varies. Experiments showed that S. cerevisiae QDSK310-Z-07 has strong glucose, galactose, and peptone assimilation ability. In contrast, its ability to assimilate mannitol, ethylamine hydrochloride, glutathione, and ammonium chloride is moderate, and it has poor assimilation ability for soluble starch and citric acid. Aké et al. systematically investigated the assimilation and fermentation capabilities of multiple yeast strains toward six carbon sources: glucose, galactose, fructose, lactose, sucrose, and maltose. Unlike our study, all strains in the Aké et al. research could assimilate sucrose and glucose but could not assimilate lactose. Some strains, like Pichia kudriavzevii AR 2-32-2 and Pichia manshuurica RE 2-2, could not assimilate galactose (2019) [44]. Yeast prioritizes easily decomposed substances with lower ATP consumption when various carbon sources are present, supporting our findings from carbon source assimilation experiments [33,41].
Temperature affects the survival rate and fermentation rate of yeast, and the yeast strains used in fermentation should exhibit good thermal stability [45]. Our experimental results demonstrated that the S. cerevisiae QDSK310-Z-07 exhibited robust growth within the temperature range of 24–36 °C, with 28 °C identified as its optimal growth temperature. This thermal adaptation characteristic aligns with the findings of Zhang et al., whose studied yeast strain Y2 similarly showed optimal growth at 28 °C (2020) [28]. Notably, low pH conditions during fermentation were observed to significantly inhibit yeast growth and metabolic activity, ultimately leading to complete fermentation arrest. These findings underscore the importance of investigating pH adaptation characteristics for industrial applications of this strain. When the pH range was 3.5–5.5, and the yeast strain was cultured at 28 °C for 24 h, growth was gradually inhibited as the pH decreased. The trend of growth inhibition at different pH conditions was consistent with the results of Olee et al. (2022) [46]. In the laboratory, the TTC colorimetric method is commonly employed to assess the alcohol-producing capacity of yeast strains. The principle of this method lies in the reaction between the metabolic byproducts of yeast strains and the chromogenic agent TTC. A more intense coloration indicates higher respiratory enzyme activity in the yeast strain, which corresponds to greater alcohol production capability [29]. The colorimetric analysis on TTC medium revealed distinct ethanol production capacities among different generations of yeast strains. Strain G1 and G5 maintained high-yield ethanol production levels after continuous subculturing. Following G10, strain G15 exhibited a modest enhancement in ethanol production capacity, which subsequently stabilized at medium-yield levels. These findings demonstrate relatively stable ethanol-producing performance throughout the serial passaging process. Gas production experiments showed that fermentation capacity slightly increased in G10 and G15 after G5, but fermentation capacity gradually decreased with continuous subculturing. The specific reasons for this decline need further investigation at the metabolomic and transcriptomic levels.
Ethanol is a fermentation product of S. cerevisiae, but high ethanol concentrations can lead to protein denaturation, decreased cell viability, increased mortality, and subsequently affect the fermentation process [47,48]. The high ethanol tolerance of S. cerevisiae facilitates complete fermentation during the brewing process and increases the alcohol content of the product. We found that growth across different yeast generations gradually decreased as ethanol concentration increased. S. cerevisiae QDSK310-Z-07 showed strong growth in environments with ethanol concentrations of 4–8%, but growth significantly slowed at concentrations exceeding 10%. Therefore, the yeast strain exhibited ethanol tolerance up to 8%. This growth trend was consistent with the results of Long et al., and the ethanol tolerance of the strains screened in this research was better than that of the yeast strains screened by Long et al. (6% ethanol tolerance) (2024) [31]. Additionally, G5 and G10 showed more potent growth inhibition under the same ethanol concentration than other generations.
Current research on carbon and nitrogen sources for S. cerevisiae mainly focuses on utilizing different carbon and nitrogen sources, with limited exploration of yeast growth after continuous subculturing under varying concentrations of carbon and nitrogen sources. This research examined the growth of different yeast generations under different concentrations of carbon and nitrogen sources based on their utilization of these sources. Increased concentrations of carbon and nitrogen sources affected yeast growth to varying degrees, and the inhibitory effect on different yeast generations varied under the same carbon and nitrogen source concentration. For instance, generation G5 exhibited more significant inhibition under the same arginine concentration compared to other generations.
During fermentation, high glucose concentrations create a hyperosmotic environment, leading to yeast cell rupture, water loss, and reduced activity, inhibiting yeast growth, potentially altering metabolism, or making fermentation difficult [49,50,51]. As glucose concentration increased, the growth of different generations of S. cerevisiae QDSK310-Z-07 was increasingly inhibited. This trend is consistent with the findings of Long et al., where yeast strain LJM-4 growth was gradually inhibited as glucose concentration increased from 200 g/L to 350 g/L and then to 400 g/L (2024) [31]. However, under the same glucose concentration, the reasons for the different degrees of inhibition of different generations of strains need to be further explored.
Transcriptomics was used to study the gene expression differences of different generations of S. cerevisiae at a glucose concentration of 400 g/L. The proportion of genes in different functional categories reflects the metabolic or physiological biases under specific periods and conditions. The transcriptome results of G1, G15, and G30 showed that the expression of genes related to amino acid metabolism, amino sugar and nucleotide sugar metabolism, and lipid metabolism was significantly different in the continuous passage of S. cerevisiae QDSK310-Z-07 in a high glucose environment. Consistent with existing theories, our experimental results confirm that yeast cells counteract high-sugar stress through coordinated mechanisms, such as ergosterol metabolism, membrane permeability regulation, and signal transduction activation [38,52,53]. It was inferred that when the glucose concentration was 400 g/L, compared with G1 and G30, the growth of G15 was strongly inhibited, which was significantly related to the significant expression of differential genes. To further investigate the molecular mechanisms underlying this high-glucose tolerance, key DEGs (Table A1) identified from major metabolic pathways should be validated via quantitative real-time PCR (qPCR). This follow-up experiment would elucidate the relationship between the expression levels of these critical genes and the strain’s osmotolerant phenotype, providing deeper insights into its adaptive responses.
Based on the experimental results obtained in this research, future research could explore the following directions in greater depth:
(1) Regarding the environmental stress tolerance exhibited by S. cerevisiae QDSK310-Z-07, genetic engineering approaches could be employed to enhance the expression of stress-resistant genes. For instance, gene editing technologies could be utilized to precisely regulate the expression levels of stress-related genes, while adaptive laboratory evolution strategies could be integrated to develop superior strains with multi-stress tolerance. This would enable the strain to thrive in the complex conditions of industrial production, ultimately cultivating strains with higher industrial applicability.
(2) This study primarily examined the biological characteristics of S. cerevisiae QDSK310-Z-07 at G1, G5, G10, G15, G20, G25, and G30 generations. Building upon these findings, more detailed and in-depth investigations could be conducted to comprehensively assess the strain’s genetic stability and fermentation performance over prolonged serial passages. Such research would help evaluate its potential as a standard reference strain and lay a theoretical foundation for establishing a strain seed bank.

5. Conclusions

We isolated S. cerevisiae strains from farm soil and investigated their biological characteristics at both macroscopic and microscopic levels. The main findings are as follows:
(1) The farm soils were used as the isolation source, and the strain of S. cerevisiae QDSK310-Z-07 was independently screened. The strain exhibits broad adaptive growth characteristics: it grows well within a temperature range of 24–36 °C, with an optimal growth temperature of 28 °C. It maintains stable growth at pH 4.0–5.5 and demonstrates efficient utilization of various carbon and nitrogen sources. These findings offer novel microbial resources with potential industrial applications.
(2) The study investigated the changes in alcohol production capacity, fermentation rate, and tolerance to products and various substrates of the strain after subculturing. After continuous subculturing, the strain’s ethanol tolerance and fermentation capacity decreased, with ethanol production capacity gradually stabilizing at a medium level. With increase in concentration, the tolerance to various carbon and nitrogen sources and ethanol decreased to varying degrees. The results delineate the strain’s adaptive response patterns following serial passaging, offering novel research avenues for investigating genetic stability while establishing a robust foundation for developing strain seed banks and advancing yeast strain applications.
(3) Transcriptomics analysis revealed differences in gene expression related to lipid metabolism and amino acid metabolism in yeast strains sub-cultured under high-sugar environments. These findings provide a crucial theoretical foundation for the industrial application of this strain, while also offering clear guidance for subsequent strain improvement and fermentation process optimization.

Author Contributions

Conceptualization, H.S.; methodology, T.M. and H.Z.; software, T.M., H.Z., J.Y., Y.T. and W.Y.; validation, J.Y., Y.T. and W.Y.; formal analysis, T.M. and H.Z.; investigation, T.M.; resources, H.S.; data curation, T.M. and H.Z.; writing—original draft, T.M.; writing—review and editing, H.Z. and H.S.; visualization, T.M., H.Z., J.Y., Y.T., W.Y. and H.S.; supervision, H.S.; project administration, H.S.; funding acquisition, H.Z. All authors have read and agreed to the published version of the manuscript.

Funding

This research was funded by Natural Science Foundation of Qingdao Municipality (23-2-1-43-zyyd-jch).

Institutional Review Board Statement

Not applicable.

Informed Consent Statement

Not applicable.

Data Availability Statement

The original contributions presented in this study are included in the article. Further inquiries can be directed to the corresponding author.

Conflicts of Interest

The authors declare no conflicts of interest.

Abbreviations

The following abbreviations are used in this manuscript:
WL mediumWallerstein Laboratory medium
TTC2,3,5-triphenyltetrazolium chloride
YPD liquid mediumYeast extract peptone dextrose liquid medium
NCBINational Center for Biotechnology Information
BLASTBasic Local Alignment Search Tool
GOGene Ontology
KEGGKyoto Encyclopedia of Genes and Genomes
DEGsDifferential Expression Genes

Appendix A

Table A1. S. cerevisiae QDSK310-Z-07 at a glucose concentration of 400 g/L for some of the key DEGs. (padj < 0.05).
Table A1. S. cerevisiae QDSK310-Z-07 at a glucose concentration of 400 g/L for some of the key DEGs. (padj < 0.05).
Gene IDNameDescription
YNL192WCHS1chitin synthase CHS1
YGR060WERG25methylsterol monooxygenase
YHR007CERG11sterol 14-demethylase
YLR056WERG3C-5 sterol desaturase
YMR015CERG5C-22 sterol desaturase
YIR027CDAL1allantoinase
YNL141WAAH1adenine deaminase
YFR030WMET10sulfite reductase subunit alpha
YGR175CERG1squalene monooxygenase
YKL001CMET14adenylyl-sulfate kinase
YLR303WMET17bifunctional cysteine synthase/O-acetylhomoserine aminocarboxypropyltransferase MET17
YJR137CMET5sulfite reductase (NADPH) subunit beta
YNL277WMET2homoserine O-acetyltransferase
YDR502CSAM2methionine adenosyltransferase SAM2
YGL184CSTR3cystathionine beta-lyase STR3
YLR180WSAM1methionine adenosyltransferase SAM1
YHL008CYHL008Cuncharacterized protein
YKL152CGPM1phosphoglycerate mutase GPM1
YNL111CCYB5Cyb5p
YGL055WOLE1stearoyl-CoA 9-desaturase
YBR078WECM33Ecm33p
YPR194COPT2Opt2p
YPR192WAQY1Aqy1p
YPL036WPMA2H (+)-exporting P2-type ATPase PMA2
YPL265WDIP5dicarboxylic amino acid permease
YKL096W-ACWP2Cwp2p
YHR154WRTT107Rtt107p
YHR149CSKG6Skg6p
YGR279CSCW4putative family 17 glucosidase
YGR087CPDC6indolepyruvate decarboxylase 6
YIR028WDAL4allantoin permease
YIL166CSOA1Soa1p

References

  1. Goffeau, A.; Barrell, B.G.; Bussey, H.; Davis, R.W.; Dujon, B.; Feldmann, H.; Galibert, F.; Hoheisel, J.D.; Jacq, C.; Johnston, M.; et al. Life with 6000 genes. Science 1996, 274, 546–567. [Google Scholar] [CrossRef] [PubMed]
  2. Shen, B.; Zhou, P.; Jiao, X.; Yao, Z.; Ye, L.; Yu, H. Fermentative production of Vitamin E tocotrienols in Saccharomyces cerevisiae under cold-shock-triggered temperature control. Nat. Commun. 2020, 11, 5155. [Google Scholar] [CrossRef] [PubMed]
  3. Yao, Z.; Wang, Q.; Dai, Z. Recent advances in directed yeast genome evolution. J. Fungi 2022, 8, 635. [Google Scholar] [CrossRef] [PubMed]
  4. Mitsui, R.; Yamada, R.; Matsumoto, T.; Ogino, H. Bioengineering for the industrial production of 2, 3-butanediol by the yeast, Saccharomyces cerevisiae. World J. Microb. Biot. 2022, 38, 38. [Google Scholar] [CrossRef]
  5. Wang, J.; Chen, C.; Guo, Q.; Gu, Y.; Shi, T.-Q. Advances in Flavonoid and Derivative Biosynthesis: Systematic strategies for the construction of yeast cell factories. ACS Synth. Biol. 2024, 13, 2667–2683. [Google Scholar] [CrossRef]
  6. Zhou, D.; Yang, X.; Wang, H.; Jiang, Y.; Jiang, W.; Zhang, W.; Jiang, M.; Xin, F. Biosynthesis of astaxanthin by using industrial yeast. Biofuel Bioprod. Bior. 2023, 17, 602–615. [Google Scholar] [CrossRef]
  7. Wang, S.; Zhao, F.; Yang, M.; Lin, Y.; Han, S. Metabolic engineering of Saccharomyces cerevisiae for the synthesis of valuable chemicals. Crit. Rev. Biotechnol. 2024, 44, 163–190. [Google Scholar] [CrossRef]
  8. Parapouli, M.; Vasileiadis, A.; Afendra, A.-S.; Hatziloukas, E. Saccharomyces cerevisiae and its industrial applications. AIMS Microbiol. 2020, 6, 1–31. [Google Scholar] [CrossRef]
  9. Belda, I.; Ruiz, J.; Santos, A.; Van Wyk, N.; Pretorius, I.S.  Saccharomyces cerevisiae. Trends Genet. 2019, 35, 956–957. [Google Scholar] [CrossRef]
  10. Wauters, R.; Herrera-Malaver, B.; Schreurs, M.; Bircham, P.; Cautereels, C.; Cortebeeck, J.; Duffin, P.M.; Steensels, J.; Verstrepen, K.J. Novel Saccharomyces cerevisiae variants slow down the accumulation of staling aldehydes and improve beer shelf-life. Food Chem. 2023, 398, 133863. [Google Scholar] [CrossRef]
  11. Hittinger, C.T.; Steele, J.L.; Ryder, D.S. Diverse yeasts for diverse fermented beverages and foods. Curr. Opin. Biotechnol. 2018, 49, 199–206. [Google Scholar] [CrossRef] [PubMed]
  12. Deichmann, M.; Hansson, F.G.; Jensen, E.D. Yeast-based screening platforms to understand and improve human health. Trends Biotechnol. 2024, 42, 1258–1272. [Google Scholar] [CrossRef] [PubMed]
  13. Gastelum, S.; Michael, A.F.; Bolger, T.A. Saccharomyces cerevisiae as a research tool for RNA-mediated human disease. WIRES RNA. 2023, 15, e1814. [Google Scholar] [CrossRef] [PubMed]
  14. Jia, L.L.; Brough, L.; Weber, J.L. Saccharomyces cerevisiae yeast-based supplementation as a galactagogue in breastfeeding women? A review of evidence from animal and human studies. Nutrients 2021, 13, 727. [Google Scholar] [CrossRef]
  15. Banoth, C.; Kethavath, S.N.; Keshav, P.K.; Bhukya, B. Selection of stress tolerant Saccharomyces cerevisiae strains isolated from sloughing off soil for bioethanol production using Prosopis juliflora. Res. J. Biotechnol. 2020, 15, 1–13. [Google Scholar]
  16. Wang, H.; Peng, M.; Yang, S.; Cai, G.; Lu, J.; Yang, H. Study on breeding and fermentation characteristics of Saccharomyces cerevisiae for Malus asiatica wine. Eur. Food Res. Technol. 2024, 250, 1389–1400. [Google Scholar] [CrossRef]
  17. Wang, X.; Wang, Z.; Feng, T. Screening of Yeast in Various Vineyard Soil and Study on Its Flavor Compounds from Brewing Grape Wine. Molecules 2022, 27, 512. [Google Scholar] [CrossRef]
  18. Zhang, Q.; Shen, J.; Meng, G.; Wang, H.; Liu, C.; Zhu, C.; Zhao, G.; Tong, L. Selection of yeast strains in naturally fermented cured meat as promising starter cultures for fermented cured beef, a traditional fermented meat product of northern China. J. Sci. Food Agric. 2024, 104, 883–891. [Google Scholar] [CrossRef]
  19. Areai, B.; Wu, R.; Xiao, M.; Li, P.; Tan, C. Research progress in physiological function and mechanism of probiotics. Food Ferm. Ind. 2020, 46, 270–275. [Google Scholar]
  20. Saarela, M.; Virkajärvi, I.; Alakomi, H.-L.; Sigvart-Mattila, P.; Mättö, J. Stability and functionality of freeze-dried probiotic Bifidobacterium cells during storage in juice and milk. Int. Dairy J. 2006, 16, 1477–1482. [Google Scholar] [CrossRef]
  21. Sanders, M.E.; Klaenhammer, T.R. Invited review: The scientific basis of Lactobacillus acidophilus NCFM functionality as a probiotic. J. Dairy Sci. 2001, 84, 319–331. [Google Scholar] [CrossRef] [PubMed]
  22. Gibson, B.R.; Lawrence, S.J.; Leclaire, J.P.; Powell, C.D.; Smart, K.A. Yeast responses to stresses associated with industrial brewery handling. FEMS Microbiol. Rev. 2007, 31, 535–569. [Google Scholar] [CrossRef] [PubMed]
  23. Zheng, X.; Liu, K.; Huang, T.; Yao, G.; Zhang, H. Genetic stability of Lactobacillus casei Zhang during continuous passaging. J. Food Sci. Biotechnol. 2024, 12, 1673–1689. [Google Scholar]
  24. Wang, K.; Liu, X.; Li, W.; Liu, K.; Huang, T.; Sun, Z.; Zhang, H. Genetic stability of Lactiplantibacillus plantarum P-8 during continuous subculturing. Microbiol. China 2023, 50, 4154–4167. [Google Scholar]
  25. Liu, K.; Huang, T.; Liu, X.; Yu, X.; Yao, G. Evaluation of Genetic Stability during Continuous Passage of the Bifidobacterium animals subsp. lactis V9. J. Chin. Inst. Food Sci. Technol. 2023, 23, 12–22. [Google Scholar]
  26. Chen, Y.; Jiang, J.; Song, Y.; Zang, X.; Wang, G.; Pei, Y.; Song, Y.; Qin, Y.; Liu, Y. Yeast diversity during spontaneous fermentations and oenological characterisation of indigenous Saccharomyces cerevisiae for potential as wine starter cultures. Microorganisms 2022, 10, 1455. [Google Scholar] [CrossRef]
  27. Nieto-Sarabia, V.L.; Ballinas-Cesatti, C.B.; Melgar-Lalanne, G.; Cristiani-Urbina, E.; Morales-Barrera, L. Isolation, identification, and kinetic and thermodynamic characterization of a Pichia kudriavzevii yeast strain capable of fermentation. Food Bioprod. Process. 2022, 131, 109–124. [Google Scholar] [CrossRef]
  28. Zhang, Z.; Yin, J.; Meng, Y.; Chen, L.; Lu, H. Isolation and characterization of Saccharomyces cerevisiae in mulberry orchard. Food Ferm. Ind. 2020, 46, 148–155. [Google Scholar]
  29. Tanaka, J.; Kiyoshi, K.; Kadokura, T.; Suzuki, K.-i.; Nakayama, S. Elucidation of the enzyme involved in 2,3,5-triphenyl tetrazolium chloride (TTC) staining activity and the relationship between TTC staining activity and fermentation profiles in Saccharomyces cerevisiae. J. Biosci. Bioeng. 2021, 131, 396–404. [Google Scholar] [CrossRef]
  30. Suranska, H.; Vranova, D.; Omelkova, J. Isolation, identification and characterization of regional indigenous Saccharomyces cerevisiae strains. Braz. J. Microbiol. 2016, 47, 181–190. [Google Scholar] [CrossRef]
  31. Long, J.; Cai, J.; Gao, X.; Wang, Y.-C.; Huang, X.-M.; Zhu, L. Investigation on screening, identification, and fermentation characteristics of Yunnan olive in the fermented liquid utilizing five strains of Saccharomyces cerevisiae. Arch. Microbiol. 2024, 206, 164. [Google Scholar] [CrossRef] [PubMed]
  32. Sidari, R.; Ženišová, K.; Tobolková, B.; Belajová, E.; Cabicarová, T.; Bučková, M.; Puškárová, A.; Planý, M.; Kuchta, T.; Pangallo, D. Wine Yeasts Selection: Laboratory Characterization and Protocol Review. Microorganisms 2021, 9, 2223. [Google Scholar] [CrossRef]
  33. Wu, D.; Wu, Y.; Gu, Z.; Chen, X.; Liu, H.; Lu, J.; Xie, G. Multi-step screening of suitable Saccharomyces cerevisiae strain for lemon wine brewing. Food Biosci. 2023, 56, 103092. [Google Scholar] [CrossRef]
  34. Catallo, M.; Nikulin, J.; Johansson, L.; Krogerus, K.; Laitinen, M.; Magalhães, F.; Piironen, M.; Mikkelson, A.; Randazzo, C.L.; Solieri, L.; et al. Sourdough derived strains of Saccharomyces cerevisiae and their potential for farmhouse ale brewing. J. Insititute Brew. 2020, 126, 168–175. [Google Scholar] [CrossRef]
  35. Nikolaou, E.; Soufleros, E.H.; Bouloumpasi, E.; Tzanetakis, N. Selection of indigenous Saccharomyces cerevisiae strains according to their oenological characteristics and vinification results. Food Microbiol. 2006, 23, 205–211. [Google Scholar] [CrossRef] [PubMed]
  36. Ying, B.-B.; Cai, J.; Gao, X.; Zhang, L.-F.; Xu, Q.-F.; Xu, Q.-H.; Liu, W.-L.; Huang, X.-M.; Wang, Y.-C.; Zhu, L. Isolation, identification, and tolerance analysis of yeast during the natural fermentation process of Sidamo coffee beans. Arch. Microbiol. 2024, 206, 279. [Google Scholar] [CrossRef] [PubMed]
  37. Wang, C.; Lu, C.; Wang, J.; Liu, X.; Wei, Z.; Qin, Y.; Zhang, H.; Wang, X.; Wei, B.; Lv, W.; et al. Molecular mechanisms regulating glucose metabolism in quinoa (Chenopodium quinoa Willd.) seeds under drought stress. BMC Plant Biol. 2024, 24, 796. [Google Scholar] [CrossRef]
  38. Wang, H.; Tang, J.; Lv, J.; Wang, X.; Sun, H. Physiological andtranscriptomic insights into sugar stress resistance in osmophilic yeast Zygosaccharomyces rouxii. Food Microbiol. 2024, 117, 104395. [Google Scholar] [CrossRef]
  39. Pei, R.; Lv, G.; Guo, B.; Li, Y.; Ai, M.; He, B.; Wan, R. Physiological and transcriptomic analyses revealed the change of main flavor substance of Zygosaccharomyces rouxii under salt treatment. Front. Nutr. 2022, 9, 990380. [Google Scholar] [CrossRef]
  40. Kruasuwan, W.; Puseenam, A.; Am-in, S.; Trakarnpaiboon, S.; Sornlek, W.; Kocharin, K.; Jindamorakot, S.; Tanapongpipat, S.; Bai, F.-Y.; Roongsawang, N. Evaluation of thermotolerant and ethanol-tolerant Saccharomyces cerevisiae as an alternative strain for bioethanol production from industrial feedstocks. 3 Biotech 2023, 13, 23. [Google Scholar] [CrossRef]
  41. Moreira-Ramos, S.; Saavedra-Torrico, J.; G-Poblete, C.; Olivares, L.G.; Sangorrin, M.; Ganga, M.A. Screening of native Saccharomyces cerevisiae strains from Chile for beer production. Front. Microbiol. 2024, 15, 1345324. [Google Scholar] [CrossRef] [PubMed]
  42. Tian, T.; Wu, D.; Ng, C.-T.; Yang, H.; Sun, J.; Liu, J.; Lu, J. A multiple-step strategy for screening Saccharomyces cerevisiae strains with improved acid tolerance and aroma profiles. Appl. Microbiol. Biotechnol. 2020, 104, 3097–3107. [Google Scholar] [CrossRef]
  43. Yi, S.; Zhang, X.; Li, H.-X.; Du, X.-X.; Liang, S.-W.; Zhao, X.-H. Screening and mutation of Saccharomyces cerevisiae UV-20 with a high yield of second generation bioethanol and high tolerance of temperature, glucose and ethanol. Indian J. Microbiol. 2018, 58, 440–447. [Google Scholar] [CrossRef]
  44. Aké, M.D.F.; Amoikon, T.L.S.; Attchelouwa, C.K.; Assiri, T.A.-L.; Djéni, T.N.D. Aptitude of three yeast strains isolated from palm wine for citrus wine production. Int. J. Agric. Environ. Sci. 2019, 6, 172–179. [Google Scholar]
  45. Caspeta, L.; Coronel, J.; de Oca, A.M.; Abarca, E.; Gonzalez, L.; Martinez, A. Engineering high-gravity fermentations for ethanol production at elevated temperature with Saccharomyces cerevisiae. Biotechnol. Bioeng. 2019, 116, 2587–2597. [Google Scholar] [CrossRef] [PubMed]
  46. Olee, D.; Mahato, D.K.; Kumar, P.; Neupane, B.S.; Kharel, G.P. Identification of yeast and mould isolated from murcha in nepal for rice wine production. Braz Arch. Biol. Technol. 2022, 65, e22210285. [Google Scholar] [CrossRef]
  47. Ma, M.; Liu, Z.L. Mechanisms of ethanol tolerance in Saccharomyces cerevisiae. Appl. Microbiol. Biotechnol. 2010, 87, 829–845. [Google Scholar] [CrossRef] [PubMed]
  48. Sahana, G.R.; Balasubramanian, B.; Joseph, K.S.; Pappuswamy, M.; Liu, W.-C.; Meyyazhagan, A.; Kamyab, H.; Chelliapan, S.; Joseph, B.V. A review on ethanol tolerance mechanisms in yeast: Current knowledge in biotechnological applications and future directions. Process Biochem. 2024, 138, 1–13. [Google Scholar] [CrossRef]
  49. Chen, A.; Si, Q.; Xu, Q.; Pan, C.; Qu, T.; Chen, J. Evaluation of Stress Tolerance and Fermentation Performance in Commercial Yeast Strains for Industrial Applications. Foods 2025, 14, 142. [Google Scholar] [CrossRef]
  50. Wang, D.; He, M.; Zhang, M.; Yang, H.; Huang, J.; Zhou, R.; Jin, Y.; Wu, C. Food yeasts: Occurrence, functions, and stress tolerance in the brewing of fermented foods. Crit. Rev. Food Sci. Nutr. 2023, 63, 12136–12149. [Google Scholar] [CrossRef]
  51. Wan, Z.; Hu, H.; Liu, K.; Qiao, Y.; Guo, F.; Wang, C.; Xin, F.; Zhang, W.; Jiang, M. Engineering industrial yeast for improved tolerance and robustness. Crit. Rev. Biotechnol. 2024, 44, 1461–1477. [Google Scholar] [CrossRef] [PubMed]
  52. Saldaña, C.; Villava, C.; Ramírez-Villarreal, J.; Morales-Tlalpan, V.; Campos-Guillen, J.; Chávez-Servín, J.; García-Gasca, T. Rapid and reversible cell volume changes in response to osmotic stress in yeast. Braz. J. Microbiol. 2021, 52, 895–903. [Google Scholar] [CrossRef] [PubMed]
  53. Song, N.; Xia, H.; Yang, Q.; Zhang, X.; Yao, L.; Yang, S.; Chen, X.; Dai, J. Differential analysis of ergosterol function in response to high salt and sugar stress in Zygosaccharomyces rouxii. FEMS Yeast Res. 2022, 22, foac040. [Google Scholar] [CrossRef] [PubMed]
Figure 1. Experimental flow chart.
Figure 1. Experimental flow chart.
Jof 11 00513 g001
Figure 2. (A) Colony map of strain Y7 on WL medium. (B) Phylogenetic tree of S. cerevisiae QDSK310-Z-07 based on the 18S rRNA gene sequence.
Figure 2. (A) Colony map of strain Y7 on WL medium. (B) Phylogenetic tree of S. cerevisiae QDSK310-Z-07 based on the 18S rRNA gene sequence.
Jof 11 00513 g002
Figure 3. (A) Growth curve of S. cerevisiae QDSK310-Z-07. (B) Growth of S. cerevisiae QDSK310-Z-07 at different temperatures. (C) Growth of S. cerevisiae QDSK310-Z-07 at different pH levels.
Figure 3. (A) Growth curve of S. cerevisiae QDSK310-Z-07. (B) Growth of S. cerevisiae QDSK310-Z-07 at different temperatures. (C) Growth of S. cerevisiae QDSK310-Z-07 at different pH levels.
Jof 11 00513 g003
Figure 4. (A): Ethanol tolerance of S. cerevisiae QDSK310-Z-07 across different generations. Effect of different concentrations of carbon sources on different generations of S. cerevisiae QDSK310-Z-07. (B) Glucose; (C) Galactose; (D) Lactose; (E) Mannitol.
Figure 4. (A): Ethanol tolerance of S. cerevisiae QDSK310-Z-07 across different generations. Effect of different concentrations of carbon sources on different generations of S. cerevisiae QDSK310-Z-07. (B) Glucose; (C) Galactose; (D) Lactose; (E) Mannitol.
Jof 11 00513 g004
Figure 5. Effect of different concentrations of nitrogen sources on different generations of S. cerevisiae QDSK310-Z-07. (A) Ethylamine hydrochloride; (B) Arginine; (C) Peptone; (D) Glutathione; (E) Ammonium chloride.
Figure 5. Effect of different concentrations of nitrogen sources on different generations of S. cerevisiae QDSK310-Z-07. (A) Ethylamine hydrochloride; (B) Arginine; (C) Peptone; (D) Glutathione; (E) Ammonium chloride.
Jof 11 00513 g005
Figure 6. (A) GO annotation result graph of S. cerevisiae QDSK310-Z-07 under high glucose stress. (B) KEGG annotation result graph of S. cerevisiae QDSK310-Z-07 under high glucose stress.
Figure 6. (A) GO annotation result graph of S. cerevisiae QDSK310-Z-07 under high glucose stress. (B) KEGG annotation result graph of S. cerevisiae QDSK310-Z-07 under high glucose stress.
Jof 11 00513 g006
Figure 7. Volcano plot of differential expression genes under high glucose stress. (A) G30 vs. G1; (B) G15 vs. G1; (C) G30 vs. G15.
Figure 7. Volcano plot of differential expression genes under high glucose stress. (A) G30 vs. G1; (B) G15 vs. G1; (C) G30 vs. G15.
Jof 11 00513 g007
Figure 8. Bar chart of GO enrichment analysis for differential expression genes under high glucose stress. (A,B) G30 vs. G1; (C,D) G15 vs. G1; (E) G30 vs. G15. * indicates significant expression of genes corresponding to this pathway.
Figure 8. Bar chart of GO enrichment analysis for differential expression genes under high glucose stress. (A,B) G30 vs. G1; (C,D) G15 vs. G1; (E) G30 vs. G15. * indicates significant expression of genes corresponding to this pathway.
Jof 11 00513 g008
Figure 9. Bar chart of KEGG enrichment analysis for differential expression genes under high glucose stress. (A,B), G30 vs. G1; (C,D), G15 vs. G1; (E), G30 vs. G15. * indicates significant expression of genes corresponding to this pathway.
Figure 9. Bar chart of KEGG enrichment analysis for differential expression genes under high glucose stress. (A,B), G30 vs. G1; (C,D), G15 vs. G1; (E), G30 vs. G15. * indicates significant expression of genes corresponding to this pathway.
Jof 11 00513 g009
Table 1. Results of TTC chromogenic experiments.
Table 1. Results of TTC chromogenic experiments.
NumberColony ColoringNumberColony Coloring
Y1RedY8Light red
Y2Light pinkY9Pink
Y3RedY10Light red
Y4Deep redY11Pink
Y5RedY12Light pink
Y6Light pinkY13Pink
Y7Deep redY14Light pink
Table 2. Results of the gas production experiments.
Table 2. Results of the gas production experiments.
Strain Number12 h24 h
Y1++++
Y3++++++
Y4++++++
Y5+++++++
Y7+++++++
Note: +, ++, +++ indicate gas volumes occupying one-third, one-half, and four-fifths of the Durham tube, respectively. ++++ indicates the Durham tube is completely filled with gas.
Table 3. Colony characteristics of strains on WL medium.
Table 3. Colony characteristics of strains on WL medium.
Strain NumberColony Characteristics
Y3The colony edges are creamy white, the center is light green, and the surface is smooth.
Y4The colony surface is rough, and the colony appears
grayish-green.
Y5The colony surface is smooth, with spherical protrusions. The center is light green and creamy.
Y7The colony is relatively large, with creamy edges and a green center, and has a smooth surface.
Table 4. Gas production results for different carbon and nitrogen sources in S. cerevisiae QDSK310-Z-07.
Table 4. Gas production results for different carbon and nitrogen sources in S. cerevisiae QDSK310-Z-07.
Carbon Source12 h24 hNitrogen Source12 h24 h
Glucose ++++Ethylamine hydrochloride++++
Galactose·++++Arginine++++
Lactose++++Peptone·++++
Soluble starch+Glutathione++++
Citric acid+Ammonium chloride++++
Mannitol++++
Note: — indicates no gas production; · indicates a trace amount of gas; + indicates gas volume occupying one-fifth of the Durham tube; ++++ indicates the Durham tube is completely filled with gas.
Table 5. Gas production results of S. cerevisiae QDSK310-Z-07.
Table 5. Gas production results of S. cerevisiae QDSK310-Z-07.
Strain Algebra12 h24 h
G1+++++++
G5++++++
G10+··++++
G15+··++++
G20++++++
G25+++++
G30++++
Note: +, ++, +··, +++ indicate gas volumes occupying one-fifth, one-half, two-thirds, and four-fifths of the Durham tube, respectively; — indicates no gas production; ++++ indicates the Durham tube is completely filled with gas.
Table 6. Ethanol production results of S. cerevisiae QDSK310-Z-07.
Table 6. Ethanol production results of S. cerevisiae QDSK310-Z-07.
Strain AlgebraColony Coloring
G1Deep Red
G5Deep Red
G10Red
G15Deep Red
G20Red
G25Red
G30Red
Disclaimer/Publisher’s Note: The statements, opinions and data contained in all publications are solely those of the individual author(s) and contributor(s) and not of MDPI and/or the editor(s). MDPI and/or the editor(s) disclaim responsibility for any injury to people or property resulting from any ideas, methods, instructions or products referred to in the content.

Share and Cite

MDPI and ACS Style

Ma, T.; Zhu, H.; Yin, J.; Tian, Y.; Yan, W.; Sun, H. The Response Characteristics of One Saccharomyces cerevisiae Strain Under Continuous Passage in Artificial Culture Medium. J. Fungi 2025, 11, 513. https://doi.org/10.3390/jof11070513

AMA Style

Ma T, Zhu H, Yin J, Tian Y, Yan W, Sun H. The Response Characteristics of One Saccharomyces cerevisiae Strain Under Continuous Passage in Artificial Culture Medium. Journal of Fungi. 2025; 11(7):513. https://doi.org/10.3390/jof11070513

Chicago/Turabian Style

Ma, Tengyu, Hongguang Zhu, Jiajia Yin, Yu Tian, Wenjing Yan, and Haixin Sun. 2025. "The Response Characteristics of One Saccharomyces cerevisiae Strain Under Continuous Passage in Artificial Culture Medium" Journal of Fungi 11, no. 7: 513. https://doi.org/10.3390/jof11070513

APA Style

Ma, T., Zhu, H., Yin, J., Tian, Y., Yan, W., & Sun, H. (2025). The Response Characteristics of One Saccharomyces cerevisiae Strain Under Continuous Passage in Artificial Culture Medium. Journal of Fungi, 11(7), 513. https://doi.org/10.3390/jof11070513

Note that from the first issue of 2016, this journal uses article numbers instead of page numbers. See further details here.

Article Metrics

Back to TopTop