Sign in to use this feature.

Years

Between: -

Subjects

remove_circle_outline
remove_circle_outline
remove_circle_outline
remove_circle_outline
remove_circle_outline
remove_circle_outline
remove_circle_outline
remove_circle_outline
remove_circle_outline

Journals

remove_circle_outline
remove_circle_outline
remove_circle_outline
remove_circle_outline

Article Types

Countries / Regions

remove_circle_outline
remove_circle_outline
remove_circle_outline
remove_circle_outline
remove_circle_outline

Search Results (449)

Search Parameters:
Keywords = balance heuristic

Order results
Result details
Results per page
Select all
Export citation of selected articles as:
28 pages, 12374 KB  
Article
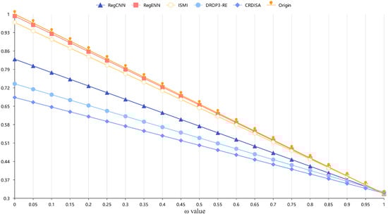
A Distributed Instance Selection Algorithm Based on Cognitive Reasoning for Regression Tasks
by Linzi Yin, Wendi Cai, Zhanqi Li and Xiaochao Hou
Appl. Sci. 2026, 16(2), 913; https://doi.org/10.3390/app16020913 - 15 Jan 2026
Viewed by 68
Abstract
Instance selection is a critical preprocessing technique for enhancing data quality and improving machine learning model efficiency. However, existing algorithms for regression tasks face a fundamental trade-off: non-heuristic methods offer high precision but suffer from sequential dependencies that hinder parallelization, while heuristic methods [...] Read more.
Instance selection is a critical preprocessing technique for enhancing data quality and improving machine learning model efficiency. However, existing algorithms for regression tasks face a fundamental trade-off: non-heuristic methods offer high precision but suffer from sequential dependencies that hinder parallelization, while heuristic methods support parallelization but often yield coarse-grained results susceptible to local optima. To address these challenges, we propose CRDISA, a novel distributed instance selection algorithm driven by a formalized cognitive reasoning logic. Unlike traditional approaches that evaluate subsets, CRDISA transforms each instance into an independent “Instance Expert” capable of reasoning about the global data distribution through a unique difference knowledge base. For regression tasks with continuous outputs, we introduce a soft partitioning strategy to define adaptive error boundaries and a bidirectional voting mechanism to robustly identify high-quality instances. Although the fine-grained reasoning implies high computational complexity, we implement CRDISA on Apache Spark using an optimized broadcast mechanism. This architecture provides linear scalability in wall-clock time, enabling scalable processing without sacrificing theoretical rigor. Experiments on 22 datasets demonstrate that CRDISA achieves an average compression rate of 31.7% while maintaining predictive accuracy (R2=0.681) comparable to or better than state-of-the-art methods, proving its superiority in balancing selection granularity and distributed efficiency. Full article
(This article belongs to the Special Issue Big Data Driven Machine Learning and Deep Learning)
Show Figures

Figure 1

50 pages, 3712 KB  
Article
Explainable AI and Multi-Agent Systems for Energy Management in IoT-Edge Environments: A State of the Art Review
by Carlos Álvarez-López, Alfonso González-Briones and Tiancheng Li
Electronics 2026, 15(2), 385; https://doi.org/10.3390/electronics15020385 - 15 Jan 2026
Viewed by 81
Abstract
This paper reviews Artificial Intelligence techniques for distributed energy management, focusing on integrating machine learning, reinforcement learning, and multi-agent systems within IoT-Edge-Cloud architectures. As energy infrastructures become increasingly decentralized and heterogeneous, AI must operate under strict latency, privacy, and resource constraints while remaining [...] Read more.
This paper reviews Artificial Intelligence techniques for distributed energy management, focusing on integrating machine learning, reinforcement learning, and multi-agent systems within IoT-Edge-Cloud architectures. As energy infrastructures become increasingly decentralized and heterogeneous, AI must operate under strict latency, privacy, and resource constraints while remaining transparent and auditable. The study examines predictive models ranging from statistical time series approaches to machine learning regressors and deep neural architectures, assessing their suitability for embedded deployment and federated learning. Optimization methods—including heuristic strategies, metaheuristics, model predictive control, and reinforcement learning—are analyzed in terms of computational feasibility and real-time responsiveness. Explainability is treated as a fundamental requirement, supported by model-agnostic techniques that enable trust, regulatory compliance, and interpretable coordination in multi-agent environments. The review synthesizes advances in MARL for decentralized control, communication protocols enabling interoperability, and hardware-aware design for low-power edge devices. Benchmarking guidelines and key performance indicators are introduced to evaluate accuracy, latency, robustness, and transparency across distributed deployments. Key challenges remain in stabilizing explanations for RL policies, balancing model complexity with latency budgets, and ensuring scalable, privacy-preserving learning under non-stationary conditions. The paper concludes by outlining a conceptual framework for explainable, distributed energy intelligence and identifying research opportunities to build resilient, transparent smart energy ecosystems. Full article
Show Figures

Figure 1

17 pages, 1173 KB  
Article
DiCo-EXT: Diversity and Consistency-Guided Framework for Extractive Summarization
by Yiming Wang and Jindong Zhang
Entropy 2026, 28(1), 88; https://doi.org/10.3390/e28010088 - 12 Jan 2026
Viewed by 128
Abstract
ROUGE is a common objective for extractive summarization because n-gram overlap aligns with sentence-level selection. However, models that focus only on ROUGE often choose sentences with similar content, and the resulting summaries contain redundant information. We propose DiCo-EXT, a training framework that integrates [...] Read more.
ROUGE is a common objective for extractive summarization because n-gram overlap aligns with sentence-level selection. However, models that focus only on ROUGE often choose sentences with similar content, and the resulting summaries contain redundant information. We propose DiCo-EXT, a training framework that integrates two new loss terms into a standard extractive model: a semantic consistency term and a diversity penalty. The consistency module encourages selected sentences to stay close to document-level meaning, and the diversity penalty reduces semantic overlap within the summary. Both components are fully differentiable and can be optimized together with the base loss, without extra heuristics or multi-stage post-processing. Experiments on CNN/DailyMail, XSum, and WikiHow show lower redundancy and higher lexical diversity, while ROUGE remains comparable to a strong baseline. These results indicate that simple training objectives can balance coverage and redundancy without increasing model size or architectural complexity. Full article
Show Figures

Figure 1

31 pages, 10290 KB  
Article
Enhanced Social Group Optimization Algorithm for the Economic Dispatch Problem Including Wind Power
by Dinu Călin Secui, Cristina Hora, Florin Ciprian Dan, Monica Liana Secui and Horea Nicolae Hora
Processes 2026, 14(2), 254; https://doi.org/10.3390/pr14020254 - 11 Jan 2026
Viewed by 154
Abstract
The economic dispatch (ED) problem is a major challenge in power system optimization. In this article, an Enhanced Social Group Optimization (ESGO) algorithm is presented for solving the economic dispatch problem with or without wind units, considering various characteristics related to valve-point effects, [...] Read more.
The economic dispatch (ED) problem is a major challenge in power system optimization. In this article, an Enhanced Social Group Optimization (ESGO) algorithm is presented for solving the economic dispatch problem with or without wind units, considering various characteristics related to valve-point effects, ramp-rate constraints, prohibited operating zones, and transmission power losses. The Social Group Optimization (SGO) algorithm models the social dynamics of individuals within a group—through mechanisms of collective learning, behavioral adaptation, and information exchange—and leverages these interactions to guide the population efficiently towards optimal solutions. ESGO extends SGO along three complementary directions: redefining the update relations of the original SGO, introducing stochastic operators into the heuristic mechanisms, and dynamically updating the generated solutions. These modifications aim to achieve a more robust balance between exploration and exploitation, enable flexible adaptation of search steps, and rapidly integrate improved-fitness solutions into the evolutionary process. ESGO is evaluated in six distinct cases, covering systems with 6, 40, 110, and 220 units, to demonstrate its ability to produce competitive solutions as well as its performance in terms of stability, convergence, and computational efficiency. The numerical results show that, in the vast majority of the analyzed cases, ESGO outperforms SGO and other known or improved metaheuristic algorithms in terms of cost and stability. It incorporates wind generation results at an operating cost reduction of approximately 10% compared to the thermal-only system, under the adopted linear wind power model. Moreover, relative to the size of the analyzed systems, ESGO exhibits a reduced average execution time and requires a small number of function evaluations to obtain competitive solutions. Full article
(This article belongs to the Section Energy Systems)
Show Figures

Figure 1

26 pages, 1012 KB  
Article
AoI-Aware Data Collection in Heterogeneous UAV-Assisted WSNs: Strong-Agent Coordinated Coverage and Vicsek-Driven Weak-Swarm Control
by Lin Huang, Lanhua Li, Songhan Zhao, Daiming Qu and Jing Xu
Sensors 2026, 26(2), 419; https://doi.org/10.3390/s26020419 - 8 Jan 2026
Viewed by 140
Abstract
Unmanned aerial vehicle (UAV) swarms offer an efficient solution for data collection from widely distributed ground users (GUs). However, incomplete environment information and frequent changes make it challenging for standard centralized planning or pure reinforcement learning approaches to simultaneously maintain global solution quality [...] Read more.
Unmanned aerial vehicle (UAV) swarms offer an efficient solution for data collection from widely distributed ground users (GUs). However, incomplete environment information and frequent changes make it challenging for standard centralized planning or pure reinforcement learning approaches to simultaneously maintain global solution quality and local flexibility. We propose a hierarchical data collection framework for heterogeneous UAV-assisted wireless sensor networks (WSNs). A small set of high-capability UAVs (H-UAVs), equipped with substantial computational and communication resources, coordinate regional coverage, trajectory planning, and uplink transmission control for numerous resource-constrained low-capability UAVs (L-UAVs) across power-Voronoi-partitioned areas using multi-agent deep reinforcement learning (MADRL). Specifically, we employ Multi-Agent Deep Deterministic Policy Gradient (MADDPG) to enhance H-UAVs’ decision-making capabilities and enable coordinated actions. The partitions are dynamically updated based on GUs’ data generation rates and L-UAV density to balance workload and adapt to environmental dynamics. Concurrently, a large number of L-UAVs with limited onboard resources perform self-organized data collection from GUs and execute opportunistic relaying to a remote access point (RAP) via H-UAVs. Within each Voronoi cell, L-UAV motion follows a weighted Vicsek model that incorporates GUs’ age of information (AoI), link quality, and congestion avoidance. This spatial decomposition combined with decentralized weak-swarm control enables scalability to large-scale L-UAV deployments. Experiments demonstrate that the proposed strong and weak agent MADDPG (SW-MADDPG) scheme reduces AoI by 30% and 21% compared to No-Voronoi and Heuristic-HUAV baselines, respectively. Full article
(This article belongs to the Section Communications)
Show Figures

Figure 1

17 pages, 1039 KB  
Article
An Adaptive Multi-Layer Heuristic Framework for Real-Time Energy Optimization in Smart Grids
by Atef Gharbi, Mohamed Ayari, Nasser Albalawi, Ahmad Alshammari, Nadhir Ben Halima and Zeineb Klai
Energies 2026, 19(2), 307; https://doi.org/10.3390/en19020307 - 7 Jan 2026
Viewed by 160
Abstract
Smart grids face significant challenges in coordinating demand-side management (DSM), dynamic pricing, data aggregation, and network feasibility in real time. To address this, we propose H-EMOS-Lite, an adaptive, multi-layer heuristic framework that integrates these components into a unified, real-time optimization loop. Evaluated on [...] Read more.
Smart grids face significant challenges in coordinating demand-side management (DSM), dynamic pricing, data aggregation, and network feasibility in real time. To address this, we propose H-EMOS-Lite, an adaptive, multi-layer heuristic framework that integrates these components into a unified, real-time optimization loop. Evaluated on fully reproducible generated demand, price, and grid datasets based on realistic residential energy systems, H-EMOS-Lite achieves a 2.1% reduction in peak load and completes a full 24 h (96-interval) optimization for 100 households in under 0.25 s, demonstrating its suitability for near-real-time residential energy systems. The framework outperforms three baselines—Independent DSM, Sequential Optimization, and Particle Swarm Optimization (PSO)—by effectively balancing energy cost, peak load reduction, and temporal smoothness of the aggregate load profile, while avoiding abrupt, unsynchronized load shifts that induce secondary peaks—common in uncoordinated approaches. By embedding physical feasibility and cross-layer feedback directly into the optimization loop, H-EMOS-Lite enables scalable, interpretable, and deployable coordination for smart distribution systems. Full article
(This article belongs to the Special Issue Smart Grid and Energy Storage)
Show Figures

Figure 1

36 pages, 16386 KB  
Article
MESPBO: Multi-Strategy-Enhanced Student Psychology-Based Optimization Algorithm for Global Optimization Problems and Feature Selection Problems
by Guolin Zhai and Sai Li
Biomimetics 2026, 11(1), 37; https://doi.org/10.3390/biomimetics11010037 - 5 Jan 2026
Viewed by 195
Abstract
Feature selection and continuous optimization are fundamental yet challenging tasks in machine learning and engineering design. To address premature convergence and insufficient population diversity in Student Psychology-Based Optimization (SPBO), this paper proposes a Multi-Strategy-Enhanced Student Psychology-Based Optimizer (MESPBO). The proposed method incorporates three [...] Read more.
Feature selection and continuous optimization are fundamental yet challenging tasks in machine learning and engineering design. To address premature convergence and insufficient population diversity in Student Psychology-Based Optimization (SPBO), this paper proposes a Multi-Strategy-Enhanced Student Psychology-Based Optimizer (MESPBO). The proposed method incorporates three complementary strategies: (i) a hybrid heuristic initialization scheme based on Latin Hypercube Sampling and Gaussian perturbation; (ii) an adaptive dual-learning position update mechanism to dynamically balance exploration and exploitation; (iii) a hybrid opposition-based reflective boundary control strategy to enhance search stability. Extensive experiments on the CEC2017 benchmark suite with 10, 30, and 50 dimensions demonstrate that MESPBO consistently outperforms 11 state-of-the-art metaheuristic algorithms. Specifically, MESPBO achieves the best Friedman mean ranks of 2.00, 1.67, and 1.67 under 10D, 30D, and 50D settings, respectively, indicating superior convergence accuracy, robustness, and scalability. In real-world feature selection tasks conducted on 10 benchmark datasets, MESPBO achieves the highest average classification accuracy on 9 datasets, reaching 100% accuracy on several datasets, while maintaining competitive performance on the remaining one. Moreover, MESPBO selects the smallest feature subsets on 7 datasets, typically retaining only 2–4 features without sacrificing classification accuracy. Compared with the original SPBO, MESPBO further reduces the fitness values on 7 out of 10 datasets, achieving an average improvement of approximately 10%. These results verify that MESPBO provides an effective trade-off between optimization accuracy and feature compactness, demonstrating strong adaptability and generalization capability for both global optimization and feature selection problems. Full article
Show Figures

Figure 1

30 pages, 2823 KB  
Article
A Fractional Calculus-Enhanced Multi-Objective AVOA for Dynamic Edge-Server Allocation in Mobile Edge Computing
by Aadel Mohammed Alatwi, Bakht Muhammad Khan, Abdul Wadood, Shahbaz Khan, Hazem M. El-Hageen and Mohamed A. Mead
Fractal Fract. 2026, 10(1), 28; https://doi.org/10.3390/fractalfract10010028 - 4 Jan 2026
Viewed by 123
Abstract
Dynamic edge-server allocation in mobile edge computing (MEC) networks is a challenging multi-objective optimization problem due to highly dynamic user demands, spatiotemporal traffic variations, and the need to simultaneously minimize service latency and workload imbalance. Existing heuristic and metaheuristic-based approaches for this problem [...] Read more.
Dynamic edge-server allocation in mobile edge computing (MEC) networks is a challenging multi-objective optimization problem due to highly dynamic user demands, spatiotemporal traffic variations, and the need to simultaneously minimize service latency and workload imbalance. Existing heuristic and metaheuristic-based approaches for this problem often suffer from premature convergence, limited exploration–exploitation balance, and inadequate adaptability to dynamic network conditions, leading to suboptimal edge-server placement and inefficient resource utilization. Moreover, most existing methods lack memory-aware search mechanisms, which restrict their ability to capture long-term system dynamics. To address these limitations, this paper proposes a Fractional-Order Multi-Objective African Vulture Optimization Algorithm (FO-MO-AVOA) for dynamic edge-server allocation. By integrating fractional-order calculus into the standard multi-objective AVOA framework, the proposed method introduces long-memory effects that enhance convergence stability, search diversity, and adaptability to time-varying workloads. The performance of FO-MO-AVOA is evaluated using realistic MEC network scenarios and benchmarked against several well-established metaheuristic algorithms. Simulation outcomes reveal that FO-MO-AVOA achieves 40–46% lower latency, 38–45% reduction in workload imbalance, and up to 28–35% reduction in maximum workload compared to competing methods. Extensive experiments conducted on real-world telecom network data demonstrate that FO-MO-AVOA consistently outperforms state-of-the-art multi-objective optimization algorithms in terms of convergence behaviour, Pareto-front quality, and overall system performance. Full article
(This article belongs to the Special Issue Fractional Dynamics and Control in Multi-Agent Systems and Networks)
Show Figures

Figure 1

22 pages, 2543 KB  
Article
A Hierarchical Spatio-Temporal Framework for Sustainable and Equitable EV Charging Station Location Optimization: A Case Study of Wuhan
by Yanyan Huang, Hangyi Ren, Zehua Liu and Daoyuan Chen
Sustainability 2026, 18(1), 497; https://doi.org/10.3390/su18010497 - 4 Jan 2026
Viewed by 240
Abstract
Deploying public EV charging infrastructure while balancing efficiency, equity, and implementation feasibility remains a key challenge for sustainable urban mobility. This study develops an integrated, grid-based planning framework for Wuhan that combines attention-enhanced ConvLSTM demand forecasting with a trajectory-derived, rank-based accessibility index to [...] Read more.
Deploying public EV charging infrastructure while balancing efficiency, equity, and implementation feasibility remains a key challenge for sustainable urban mobility. This study develops an integrated, grid-based planning framework for Wuhan that combines attention-enhanced ConvLSTM demand forecasting with a trajectory-derived, rank-based accessibility index to support equitable network expansion. Using large-scale charging-platform status observations and citywide ride-hailing mobility traces, we generate grid-level demand surfaces and an accessibility layer that helps reveal structurally connected yet underserved areas, including demand-sparse zones that may be overlooked by utilization-only planning. We screen feasible grid cells to construct a new-station candidate set and formulate expansion as a constrained three-objective optimization problem solved by NSGA-II: maximizing demand-weighted neighborhood service coverage, minimizing the Group Parity Gap between low-accessibility populations and the citywide population, and minimizing grid-connection friction proxied by road-network distance to the nearest power substation. Practical deployment plans for 15 and 30 sites are selected from the Pareto set using TOPSIS under an explicit weighting scheme. Benchmarking against random selection and single-objective greedy baselines under identical candidate pools, constraints, and evaluation metrics demonstrates a persistent coverage–equity–cost tension: coverage-driven heuristics improve demand capture but worsen parity, whereas equity-prioritizing strategies reduce gaps at the expense of coverage and feasibility. Full article
Show Figures

Figure 1

30 pages, 623 KB  
Article
Resource Allocation for Network Slicing in 5G/RSU Integrated Networks with Multi-User and Multi-QoS Services
by Kun Song, Hanxiao Jiang, Jining Liu and Wai Kin (Victor) Chan
Mathematics 2026, 14(1), 159; https://doi.org/10.3390/math14010159 - 31 Dec 2025
Viewed by 333
Abstract
Network slicing in 5G systems enables different Quality of Service (QoS) for heterogeneous Vehicle-to-Everything (V2X) applications, yet efficiently allocating resource blocks from both 5G base stations and roadside units (RSUs) across multiple slices remains challenging. Existing approaches either pre-assign users to slices or [...] Read more.
Network slicing in 5G systems enables different Quality of Service (QoS) for heterogeneous Vehicle-to-Everything (V2X) applications, yet efficiently allocating resource blocks from both 5G base stations and roadside units (RSUs) across multiple slices remains challenging. Existing approaches either pre-assign users to slices or rely on population-based metaheuristic algorithms that cannot guarantee deterministic real-time performance within the stringent 20 ms latency requirements of vehicular networks. This study formulates the resource allocation problem as an integer programming model that jointly optimizes slice selection and resource allocation to maximize weighted system transmission rate while satisfying heterogeneous QoS constraints. We develop a constructive heuristic algorithm that employs a hierarchical allocation strategy prioritizing 5G resources before RSU resources, coupled with a backfilling mechanism to exploit the remaining resource block capacity. Numerical experiments across abundant 5G and limited resource scenarios demonstrate the algorithm’s effectiveness. First, comparing against Random baseline validates the optimization model’s value, achieving 21.4–24.9% higher weighted throughput in an abundant 5G scenario and 42.5–51.0% improvement under a limited resource scenario. Second, performance evaluation with 500 users shows the proposed constructive heuristic achieves optimal solutions in abundant 5G resource scenarios and 3.5–5.7% optimality gaps in limited resource scenarios, while maintaining an execution time of under 20 ms, which satisfies real-time requirements and executes faster than Gurobi, Simulated Annealing and Round-Robin. Third, scalability analyses across 400–700 users demonstrate favorable performance scaling, as the optimality gap decreases from 5.3% to 3.4% with execution times consistently below 20 ms. The proposed heuristic achieves the highest service admission count while maintaining near-optimal system weighted transmission rate performance, ranking second only to Gurobi solver. Compared with other baseline algorithms, the proposed heuristic delivers a superior balance between solution quality and computational efficiency, confirming its real-time feasibility for large-scale V2X network deployments. Full article
Show Figures

Figure 1

19 pages, 3517 KB  
Article
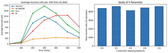
An Integrated MADQN–Heuristic Framework for Swarm Robotic Fire Detection and Extinguishing
by Andrei Dutceac and Constantin I. Vizitiu
Robotics 2026, 15(1), 5; https://doi.org/10.3390/robotics15010005 - 27 Dec 2025
Viewed by 192
Abstract
Wildfires pose a growing global threat, demanding rapid, scalable, and autonomous response strategies. This study proposes HG-MADQN (Heuristic-Guided Multi-Agent Deep Q-Network), a hybrid framework that integrates reinforcement learning with biologically inspired pheromone-based heuristics to achieve adaptive fire detection and suppression using drone swarms. [...] Read more.
Wildfires pose a growing global threat, demanding rapid, scalable, and autonomous response strategies. This study proposes HG-MADQN (Heuristic-Guided Multi-Agent Deep Q-Network), a hybrid framework that integrates reinforcement learning with biologically inspired pheromone-based heuristics to achieve adaptive fire detection and suppression using drone swarms. The system models a decentralized swarm operating in a grid-based environment, where each drone combines learned policies with heuristic guidance derived from a dual-pheromone mechanism (a fire-attraction field guiding suppression and a coverage-repulsion field promoting exploration). The proposed hybrid approach ensures efficient coordination, minimizes redundant movements, and maintains continuous area coverage without centralized control. Simulation experiments conducted on dynamic wildfire scenarios demonstrate that HG-MADQN significantly outperforms traditional heuristic, Lévy-Flight, and reinforcement learning (MADQN) algorithms. It achieves faster containment, reduced burned area, and lower resource consumption, while exhibiting strong robustness across multiple swarm sizes and fire configurations. The results confirm that hybridizing learned and heuristic decision models enables a balanced exploration–exploitation trade-off, leading to improved scalability and resilience in cooperative fire suppression missions. Full article
(This article belongs to the Special Issue Multi-Robot Systems for Environmental Monitoring and Intervention)
Show Figures

Figure 1

46 pages, 3751 KB  
Article
Wangiri Fraud Detection: A Comprehensive Approach to Unlabeled Telecom Data
by Amirreza Balouchi, Meisam Abdollahi, Ali Eskandarian, Kianoush Karimi Pour Kerman, Elham Majd, Neda Azouji and Amirali Baniasadi
Future Internet 2026, 18(1), 15; https://doi.org/10.3390/fi18010015 - 27 Dec 2025
Viewed by 356
Abstract
Wangiri fraud is a pervasive telecommunications scam that exploits missed calls to lure victims into dialing premium-rate numbers, resulting in significant financial losses for operators and consumers. This paper presents a comprehensive machine learning framework for detecting Wangiri fraud in highly imbalanced and [...] Read more.
Wangiri fraud is a pervasive telecommunications scam that exploits missed calls to lure victims into dialing premium-rate numbers, resulting in significant financial losses for operators and consumers. This paper presents a comprehensive machine learning framework for detecting Wangiri fraud in highly imbalanced and unlabeled Call Detail Record (CDR) datasets. We introduce a novel unsupervised labeling approach using domain-driven heuristics, coupled with advanced feature engineering to capture temporal, geographic, and behavioral patterns indicative of fraud. To address severe class imbalance, we evaluate multiple sampling strategies like the Synthetic Minority Over-sampling Technique (SMOTE) and undersampling, and also compare the performance of Logistic Regression, Decision Trees, Random Forest, XGBoost, and Multi-Layer Perceptron (MLP). Our results demonstrate that ensemble methods, particularly Random Forest and XGBoost, achieve near-perfect accuracy (e.g., Receiver Operating Characteristic Area Under the Curve (ROC-AUC) >0.99) on balanced data while maintaining interpretability. The proposed pipeline offers a scalable and practical solution for real-time fraud detection, providing telecom operators with an effective tool to mitigate Wangiri fraud risks. Full article
(This article belongs to the Special Issue Cybersecurity in the Age of AI, IoT, and Edge Computing)
Show Figures

Graphical abstract

24 pages, 3856 KB  
Article
MA-PF-AD3PG: A Multi-Agent DRL Algorithm for Latency Minimization and Fairness Optimization in 6G IoV-Oriented UAV-Assisted MEC Systems
by Yitian Wang, Hui Wang and Haibin Yu
Drones 2026, 10(1), 9; https://doi.org/10.3390/drones10010009 - 25 Dec 2025
Viewed by 267
Abstract
The rapid proliferation of connected and autonomous vehicles in the 6G era demands ultra-reliable and low-latency computation with intelligent resource coordination. Unmanned Aerial Vehicle (UAV)-assisted Mobile Edge Computing (MEC) provides a flexible and scalable solution to extend coverage and enhance offloading efficiency for [...] Read more.
The rapid proliferation of connected and autonomous vehicles in the 6G era demands ultra-reliable and low-latency computation with intelligent resource coordination. Unmanned Aerial Vehicle (UAV)-assisted Mobile Edge Computing (MEC) provides a flexible and scalable solution to extend coverage and enhance offloading efficiency for dynamic Internet of Vehicles (IoV) environments. However, jointly optimizing task latency, user fairness, and service priority under time-varying channel conditions remains a fundamental challenge.To address this issue, this paper proposes a novel Multi-Agent Priority-based Fairness Adaptive Delayed Deep Deterministic Policy Gradient (MA-PF-AD3PG) algorithm for UAV-assisted MEC systems. An occlusion-aware dynamic deadline model is first established to capture real-time link blockage and channel fading. Based on this model, a priority–fairness coupled optimization framework is formulated to jointly minimize overall latency and balance service fairness across heterogeneous vehicular tasks. To efficiently solve this NP-hard problem, the proposed MA-PF-AD3PG integrates fairness-aware service preprocessing and an adaptive delayed update mechanism within a multi-agent deep reinforcement learning structure, enabling decentralized yet coordinated UAV decision-making. Extensive simulations demonstrate that MA-PF-AD3PG achieves superior convergence stability, 13–57% higher total rewards, up to 46% lower delay, and nearly perfect fairness compared with state-of-the-art Deep Reinforcement Learning (DRL) and heuristic methods. Full article
(This article belongs to the Section Drone Communications)
Show Figures

Figure 1

24 pages, 440 KB  
Article
An Adaptive Switching Algorithm for Element Resource Scheduling in Digital Array Radars Based on an Improved Ant Colony Optimization
by Mengting Zhao, Hongye Jiang and Jing Ran
Electronics 2026, 15(1), 88; https://doi.org/10.3390/electronics15010088 - 24 Dec 2025
Viewed by 157
Abstract
To address the conflict between real-time performance and optimal resource allocation in large-scale digital array radars, this paper proposes a novel resource scheduling framework that integrates graph-theoretic modeling with an adaptive heuristic strategy. Unlike traditional methods, we formulate the multi-beam scheduling problem as [...] Read more.
To address the conflict between real-time performance and optimal resource allocation in large-scale digital array radars, this paper proposes a novel resource scheduling framework that integrates graph-theoretic modeling with an adaptive heuristic strategy. Unlike traditional methods, we formulate the multi-beam scheduling problem as a constrained connected subgraph optimization task. To solve this NP-hard problem, an Improved Ant Colony Optimization (I-ACO) algorithm is designed, incorporating pheromone boundary constraints and elite update strategies to effectively balance exploration and exploitation within complex solution spaces. Furthermore, a load-aware Adaptive Algorithm Switching (AAS) strategy is introduced. This mechanism dynamically transitions between the globally optimized I-ACO and a rapid, utility-guided greedy approach based on real-time system load, effectively resolving the trade-off between solution quality and response speed. Experimental results demonstrate that the proposed method reduces solution costs by up to 23.5% compared to greedy algorithms and increases the scheduling success rate to 99.2% under high-load conditions, while significantly improving long-term system load balancing by 41.5%. Full article
Show Figures

Figure 1

20 pages, 715 KB  
Article
Dynamic Multi-Core Task Scheduling for Real-Time Hybrid Simulation Model in Power Grid: A Deep Reinforcement Learning-Based Method
by Dingyu Hu, Zhi Wang, Qitao Liu, Jianbing Xu, Lu Zhang and Bo Shen
Appl. Sci. 2026, 16(1), 192; https://doi.org/10.3390/app16010192 - 24 Dec 2025
Viewed by 313
Abstract
With the increasing scale and complexity of power systems, the Security and Stability Control System (SSCS) plays a vital role in ensuring the safe operation of the grid. However, existing SSCS implementations still face many limitations in cross-regional coordination, control precision, and risk [...] Read more.
With the increasing scale and complexity of power systems, the Security and Stability Control System (SSCS) plays a vital role in ensuring the safe operation of the grid. However, existing SSCS implementations still face many limitations in cross-regional coordination, control precision, and risk prediction. Establishing the digital simulation model is an effective way to verify the control policy of SSCS. This paper proposes a neural heuristic task scheduling method based on deep reinforcement learning (DRL) to schedule the simulation tasks. It models the task dependencies of SSCS as a directed acyclic graph (DAG) and then dynamically optimizes task priorities and resource allocation through deep reinforcement learning. The method introduces multi-head attention and heterogeneous attention mechanisms to effectively capture complex dependencies among tasks, enabling efficient multi-core task scheduling. Simulation results show that the proposed algorithm significantly outperforms traditional scheduling methods in terms of makespan, load balancing, and resource utilization. It can also adapt to dynamic changes under different task scales and multi-core environments, demonstrating strong robustness and scalability. Full article
(This article belongs to the Section Computing and Artificial Intelligence)
Show Figures

Figure 1

Back to TopTop