Sign in to use this feature.

Years

Between: -

Subjects

remove_circle_outline
remove_circle_outline
remove_circle_outline
remove_circle_outline
remove_circle_outline
remove_circle_outline
remove_circle_outline
remove_circle_outline
remove_circle_outline

Journals

Article Types

Countries / Regions

Search Results (19)

Search Parameters:
Keywords = azocasein

Order results
Result details
Results per page
Select all
Export citation of selected articles as:
16 pages, 3124 KB  
Article
Effects of Microgravity, Hypergravity, and Ionizing Radiation on the Enzymatic Activity of Proteinase K
by Bartosz Rybacki, Wojciech Wysocki, Tomasz Zajkowski, Robert Brodzik and Beata Krawczyk
Molecules 2026, 31(2), 229; https://doi.org/10.3390/molecules31020229 - 9 Jan 2026
Viewed by 616
Abstract
Space conditions offer new insights into fundamental biological and molecular mechanisms. The study aimed to evaluate the enzymatic activity of proteinase K (PK) under extreme conditions relevant to space environments: simulated microgravity, hypergravity, and gamma radiation. PK activity was tested using azocasein (AZO) [...] Read more.
Space conditions offer new insights into fundamental biological and molecular mechanisms. The study aimed to evaluate the enzymatic activity of proteinase K (PK) under extreme conditions relevant to space environments: simulated microgravity, hypergravity, and gamma radiation. PK activity was tested using azocasein (AZO) as a chromogenic substrate, with enzymatic reactions monitored spectrophotometrically at 450 nm. A rotating wall vessel (RWV) simulated microgravity, centrifugation at 1000× g (3303 rpm) generated hypergravity, and gamma radiation exposure used cesium-137 as the ionizing source. PK activity showed no remarkable changes under microgravity after 16 or 48 h; however, higher absorbance values after 96 h indicated enhanced AZO proteolysis compared to 1 g (Earth gravity) controls. In hypergravity, low PK concentrations exhibited slightly increased activity, while higher concentrations led to reduced activity. Meanwhile, gamma radiation caused a dose-dependent decline in PK activity; samples exposed to deep-space equivalent doses showed reduced substrate degradation. PK retained enzymatic activity under all tested conditions, though the type and duration of stress modulated its efficiency. The results suggest that enzyme-based systems may remain functional during space missions and, in some cases, exhibit enhanced activity. Nevertheless, their behavior must be evaluated in a context-dependent manner. These findings may be significant to advance biotechnology, diagnostics, and the development of enzyme systems for space applications. Full article
Show Figures

Graphical abstract

17 pages, 2048 KB  
Article
Isolation and Characterization of a Biocontrol Serine Protease from Pseudomonas aeruginosa FZM498 Involved in Antagonistic Activity Against Blastocystis sp. Parasite
by Fatimah Z. Almilad, Essam Kotb, Hanadi B. Baghdadi, Nehal Hosin, Hawra A. Alsaif and Ayman A. El-Badry
Biomolecules 2026, 16(1), 82; https://doi.org/10.3390/biom16010082 - 4 Jan 2026
Viewed by 313
Abstract
The intestine is considered a habitat for both bacteria and parasites. In this study, many fecal bacterial isolates and the protozoan Blastocystis sp. were recovered from stool samples of individuals with gastrointestinal conditions. Isolated bacteria were tested for extracellular protease production, and the [...] Read more.
The intestine is considered a habitat for both bacteria and parasites. In this study, many fecal bacterial isolates and the protozoan Blastocystis sp. were recovered from stool samples of individuals with gastrointestinal conditions. Isolated bacteria were tested for extracellular protease production, and the most potent producer was identified by 16SrDNA gene sequencing as P. aeruginosa FZM498. The enzyme was extracted and purified to electrophoretic homogeneity by the DEAE-Sepharose ion-exchanger and SDS-PAGE revealed a major band at 42.15 KDa. It exhibited maximal activity at 35 °C with thermostability at 60 °C (T1/2 = 200.04 min). It was most active at pH 8.0 and stable at 5.0–9.5. Enzymatic activity was greatly stimulated in the presence of Fe2+ ions, but was repressed by Zn2+ and Hg2+ ions. Inhibition by PMSF, TLCK, aprotinin, benzamidine, and SBTI protease reagents suggests a serine protease family. The Vmax and Km dynamic constants against azocasein were 36.232 U/mL and 0.0072 mM, respectively. It exhibited the lowest Km value against the synthetic substrate D-Val-Leu-Lys-pNA among all substrates, indicating a plasmin-like activity. Interestingly, when tested against Blastocystis sp., cysts appeared progressively shrunken, ruptured, and mycelial-like, indicating complete structural collapse with leakage of intracellular contents. The importance of this research is that it is the first study to test the anti-Blastocystis activity of an extracted bacterial serine protease from the gut. This could be a promising, eco-friendly, natural alternative as an anti-Blastocystis agent. The objective of this study was to isolate, purify, and biochemically characterize an extracellular serine protease produced by gut-associated bacteria, as well as to assess its in vitro anti-Blastocystis efficacy as a potential natural and ecologically friendly antiparasitic therapy. Full article
(This article belongs to the Section Biomacromolecules: Proteins, Nucleic Acids and Carbohydrates)
Show Figures

Figure 1

19 pages, 4942 KB  
Article
The Therapeutic Potential of Kiwi Extract as a Source of Cysteine Protease Inhibitors on DNCB-Induced Atopic Dermatitis in Mice and Human Keratinocyte HaCaT Cells
by Hye Ryeon Yang, Most Nusrat Zahan, Du Hyeon Hwang, Ramachandran Loganathan Mohan Prakash, Deva Asirvatham Ravi, Il-Hwa Hong, Woo Hyun Kim, Jong-Hyun Kim, Euikyung Kim and Changkeun Kang
Int. J. Mol. Sci. 2025, 26(4), 1534; https://doi.org/10.3390/ijms26041534 - 12 Feb 2025
Viewed by 2252
Abstract
The discovery of effective cysteine protease inhibitors with crude protein kiwi extracts (CPKEs) has created novel challenges and prospects for pharmaceutical development. Despite extensive research on CPKEs, limited research has been conducted on treating atopic dermatitis (AD). Therefore, the objective of this work [...] Read more.
The discovery of effective cysteine protease inhibitors with crude protein kiwi extracts (CPKEs) has created novel challenges and prospects for pharmaceutical development. Despite extensive research on CPKEs, limited research has been conducted on treating atopic dermatitis (AD). Therefore, the objective of this work was to investigate the anti-inflammatory effects of CPKEs on TNF-α activation in a HaCaT cell model and in a DNCB (1-chloro-2, 4-dinitrochlorobenzene)-induced atopic dermatitis animal model. The molecular weight of the CPKE was determined using SDS-PAGE under non-reducing (17 kDa and 22 kDa) and reducing conditions (25 kDa, 22 kDa, and 15 kDa), whereas gelatin zymography was performed to examine the CPKE’s inhibitory impact on cysteine protease (actinidin and papain) activity. Moreover, the CPKE remains stable at 60 °C, with pH levels varying from 4 to 11, as determined by the azocasein assay. CPKE treatment decreased the phosphorylation of mitogen-activated protein kinase (MAPK) and Akt, along with the activation of nuclear factor-kappa B (NF-κB)-p65 in tumor necrosis factor-α (TNF-α)-stimulated HaCaT cells. Five-week-old BALB/c mice were treated with DNCB to act as an AD-like animal model. The topical application of CPKE to DNCB-treated mice for three weeks substantially decreased clinical dermatitis severity and epidermal thickness and reduced eosinophil infiltration and mast cells into ear and skin tissues. These findings imply that CPKE derived from kiwifruit might be a promising therapy option for inflammatory skin diseases such as AD. Full article
(This article belongs to the Special Issue Mast Cells in Human Health and Diseases—3rd Edition)
Show Figures

Figure 1

11 pages, 1388 KB  
Protocol
Development and Validation of Micro-Azocasein Assay for Quantifying Bromelain
by Krishna Pillai, Javed Akhter, Ahmed H. Mekkawy, Sarah J. Valle and David L. Morris
Methods Protoc. 2024, 7(2), 25; https://doi.org/10.3390/mps7020025 - 15 Mar 2024
Cited by 1 | Viewed by 7154
Abstract
The proteolytic activity of enzymes may be evaluated by a colorimetric method with azocasein. Hence, we developed a micro-assay to quantify bromelain using azocasein. A total of 250 µL of 1.0% azocasein in dH2O was added to 250 µL of test [...] Read more.
The proteolytic activity of enzymes may be evaluated by a colorimetric method with azocasein. Hence, we developed a micro-assay to quantify bromelain using azocasein. A total of 250 µL of 1.0% azocasein in dH2O was added to 250 µL of test solution, vortexed and incubated at ambient room temperature/30 min. The reaction was terminated with 1500 µL of 5% trichloroacetic acid, vortexed and centrifuged. A total of 150 µL of 0.5M NaOH was added to 150 µL of supernatant in triplicates, and absorbance was recorded at 410 nm. The linearity of the calibration curve was tested with 200–800 µg/mL serial dilutions. The detection limit, precision, accuracy, and robustness were tested along with the substrate enzyme reaction time and solvent matrix effect. Good linearity was seen with serially diluted 200 µg/mL bromelain. The limit of quantification and limit of detection were 5.412 and 16.4 µg/mL, respectively. Intra-day and inter-day analyses showed a relative standard deviation below 2.0%. The assay was robust when tested over 400–450 nm wavelengths. The assays performed using dH2O or PBS diluents indicated a higher sensitivity in dH2O. The proteolytic activity of bromelain was enhanced with L-cysteine or N-acetylcysteine. Hence, this micro-azocasein assay is reliable for quantifying bromelain. Full article
(This article belongs to the Section Biochemical and Chemical Analysis & Synthesis)
Show Figures

Figure 1

15 pages, 2290 KB  
Article
Unveiling the Potent Fibrino(geno)lytic, Anticoagulant, and Antithrombotic Effects of Papain, a Cysteine Protease from Carica papaya Latex Using κ-Carrageenan Rat Tail Thrombosis Model
by Hye Ryeon Yang, Most Nusrat Zahan, Yewon Yoon, Kyuri Kim, Du Hyeon Hwang, Woo Hyun Kim, Il Rae Rho, Euikyung Kim and Changkeun Kang
Int. J. Mol. Sci. 2023, 24(23), 16770; https://doi.org/10.3390/ijms242316770 - 26 Nov 2023
Cited by 7 | Viewed by 4364
Abstract
While fibrinolytic enzymes and thrombolytic agents offer assistance in treating cardiovascular diseases, the existing options are associated with a range of adverse effects. In our previous research, we successfully identified ficin, a naturally occurring cysteine protease that possesses unique fibrin and fibrinogenolytic enzymes, [...] Read more.
While fibrinolytic enzymes and thrombolytic agents offer assistance in treating cardiovascular diseases, the existing options are associated with a range of adverse effects. In our previous research, we successfully identified ficin, a naturally occurring cysteine protease that possesses unique fibrin and fibrinogenolytic enzymes, making it suitable for both preventing and treating cardiovascular disorders linked to thrombosis. Papain is a prominent cysteine protease derived from the latex of Carica papaya. The potential role of papain in preventing fibrino(geno)lytic, anticoagulant, and antithrombotic activities has not yet been investigated. Therefore, we examined how papain influences fibrinogen and the process of blood coagulation. Papain is highly stable at pH 4–11 and 37–60 °C via azocasein assay. In addition, SDS gel separation electrophoresis, zymography, and fibrin plate assays were used to determine fibrinogen and fibrinolysis activity. Papain has a molecular weight of around 37 kDa, and is highly effective in degrading fibrin, with a molecular weight of over 75 kDa. Furthermore, papain-based hemostatic performance was confirmed in blood coagulation tests, a blood clot lysis assay, and a κ-carrageenan rat tail thrombosis model, highlighting its strong efficacy in blood coagulation. Papain shows dose-dependent blood clot lysis activity, cleaves fibrinogen chains of Aα, Bβ, and γ-bands, and significantly extends prothrombin time (PT) and activated partial thromboplastin time (aPTT). Moreover, the mean length of the infarcted regions in the tails of Sprague–Dawley rats with κ-carrageenan was shorter in rats administered 10 U/kg of papain than in streptokinase-treated rats. Thus, papain, a cysteine protease, has distinct fibrin and fibrinogenolytic properties, suggesting its potential for preventing or treating cardiovascular issues and thrombosis-related diseases. Full article
(This article belongs to the Special Issue The Role of Protease and Protease Inhibitors in Human Diseases)
Show Figures

Graphical abstract

31 pages, 6900 KB  
Article
Pictolysin-III, a Hemorrhagic Type-III Metalloproteinase Isolated from Bothrops pictus (Serpentes: Viperidae) Venom, Reduces Mitochondrial Respiration and Induces Cytokine Secretion in Epithelial and Stromal Cell Lines
by Dan E. Vivas-Ruiz, Paola Rosas, Alex Proleón, Daniel Torrejón, Fanny Lazo, Ana Belén Tenorio-Ricca, Francisco Guajardo, Cristopher Almarza, Víctor Andrades, Jessica Astorga, Daniel Oropesa, Jorge Toledo, María Jesús Vera, Jorge Martínez, Ramiro Araya-Maturana, Karen Dubois-Camacho, Marcela A. Hermoso, Valéria G. Alvarenga, Eladio Flores Sanchez, Armando Yarlequé, Luciana Souza Oliveira and Félix A. Urraadd Show full author list remove Hide full author list
Pharmaceutics 2023, 15(5), 1533; https://doi.org/10.3390/pharmaceutics15051533 - 18 May 2023
Cited by 7 | Viewed by 4212
Abstract
From the venom of the Bothrops pictus snake, an endemic species from Peru, we recently have described toxins that inhibited platelet aggregation and cancer cell migration. In this work, we characterize a novel P-III class snake venom metalloproteinase, called pictolysin-III (Pic-III). It is [...] Read more.
From the venom of the Bothrops pictus snake, an endemic species from Peru, we recently have described toxins that inhibited platelet aggregation and cancer cell migration. In this work, we characterize a novel P-III class snake venom metalloproteinase, called pictolysin-III (Pic-III). It is a 62 kDa proteinase that hydrolyzes dimethyl casein, azocasein, gelatin, fibrinogen, and fibrin. The cations Mg2+ and Ca2+ enhanced its enzymatic activity, whereas Zn2+ inhibited it. In addition, EDTA and marimastat were also effective inhibitors. The amino acid sequence deduced from cDNA shows a multidomain structure that includes a proprotein, metalloproteinase, disintegrin-like, and cysteine-rich domains. Additionally, Pic-III reduces the convulxin- and thrombin-stimulated platelet aggregation and in vivo, it has hemorrhagic activity (DHM = 0.3 µg). In epithelial cell lines (MDA-MB-231 and Caco-2) and RMF-621 fibroblast, it triggers morphological changes that are accompanied by a decrease in mitochondrial respiration, glycolysis, and ATP levels, and an increase in NAD(P)H, mitochondrial ROS, and cytokine secretion. Moreover, Pic-III sensitizes to the cytotoxic BH3 mimetic drug ABT-199 (Venetoclax) in MDA-MB-231 cells. To our knowledge, Pic-III is the first SVMP reported with action on mitochondrial bioenergetics and may offer novel opportunities for promising lead compounds that inhibit platelet aggregation or ECM–cancer-cell interactions. Full article
(This article belongs to the Section Biologics and Biosimilars)
Show Figures

Figure 1

18 pages, 3404 KB  
Article
The Anti-Biofilm Potential of Linalool, a Major Compound from Hedychium larsenii, against Streptococcus pyogenes and Its Toxicity Assessment in Danio rerio
by Sarath Praseetha, Swapna Thacheril Sukumaran, Mathew Dan, Akshaya Rani Augustus, Shunmugiah Karutha Pandian and Shiburaj Sugathan
Antibiotics 2023, 12(3), 545; https://doi.org/10.3390/antibiotics12030545 - 9 Mar 2023
Cited by 13 | Viewed by 3453
Abstract
The anti-biofilm and anti-virulence potential of the essential oil (E.O.) extracted from Hedychium larsenii M. Dan & Sathish was determined against Streptococcus pyogenes. A crystal violet assay was employed to quantify the biofilm. Linalool, a monoterpene alcohol from the E.O., showed concentration-dependent [...] Read more.
The anti-biofilm and anti-virulence potential of the essential oil (E.O.) extracted from Hedychium larsenii M. Dan & Sathish was determined against Streptococcus pyogenes. A crystal violet assay was employed to quantify the biofilm. Linalool, a monoterpene alcohol from the E.O., showed concentration-dependent biofilm inhibition, with a maximum of 91% at a concentration of 0.004% (v/v). The AlamarBlueTM assay also confirmed Linalool’s non-bactericidal anti-biofilm efficacy (0.004%). Linalool treatment impeded micro-colony formation, mature biofilm architecture, surface coverage, and biofilm thickness and impaired cell surface hydrophobicity and EPS production. Cysteine protease synthesis was quantified using the Azocasein assay, and Linalool treatment augmented its production. This suggests that Linalool destabilizes the biofilm matrix. It altered the expression of core regulons covRS, mga, srv, and ropB, and genes associated with virulence and biofilm formation, such as speB, dltA, slo, hasA, and ciaH, as revealed by qPCR analysis. Cytotoxicity analysis using human kidney cells (HEK) and the histopathological analysis in Danio rerio proved Linalool to be a druggable molecule against the biofilms formed by S. pyogenes. This is the first report on Linalool’s anti-biofilm and anti-virulence potential against S. pyogenes. Full article
(This article belongs to the Special Issue Novel Antimicrobial Agents to Inhibit Microbial Conglomerates)
Show Figures

Graphical abstract

21 pages, 11405 KB  
Article
Carboxymethyl Cellulose-Based Polymers as Promising Matrices for Ficin Immobilization
by Andrey V. Sorokin, Svetlana S. Goncharova, Maria S. Lavlinskaya, Marina G. Holyavka, Dzhigangir A. Faizullin, Maxim S. Kondratyev, Sergey V. Kannykin, Yuriy F. Zuev and Valeriy G. Artyukhov
Polymers 2023, 15(3), 649; https://doi.org/10.3390/polym15030649 - 27 Jan 2023
Cited by 13 | Viewed by 2712
Abstract
The present work is devoted to research on the interaction between carboxymethyl cellulose sodium salt and its derivatives (graft copolymer of carboxymethyl cellulose sodium salt and N,N-dimethyl aminoethyl methacrylate) with cysteine protease (ficin). The interaction was studied by FTIR and [...] Read more.
The present work is devoted to research on the interaction between carboxymethyl cellulose sodium salt and its derivatives (graft copolymer of carboxymethyl cellulose sodium salt and N,N-dimethyl aminoethyl methacrylate) with cysteine protease (ficin). The interaction was studied by FTIR and by flexible molecular docking, which have shown the conjugates’ formation with both matrices. The proteolytic activity assay performed with azocasein demonstrated that the specific activities of all immobilized ficin samples are higher in comparison with those of the native enzyme. This is due to the modulation of the conformation of ficin globule and of the enzyme active site by weak physical interactions involving catalytically valuable amino acids. The results obtained can extend the practical use of ficin in biomedicine and biotechnology. Full article
(This article belongs to the Special Issue Functional Cellulose/Chitosan Materials)
Show Figures

Figure 1

15 pages, 2004 KB  
Article
Heterologous Expression of Extracellular Proteinase pAsPs of Aspergillus pseudotamarii in Komagataella phaffii
by Andrey Valentinovich Zadorozhny, Mikhail Evgenyevich Voskoboev, Denis Vladimirovich Bochkov, Alexei Sergeyevich Rozanov, Elizaveta Dmitrievna Shedko, Irina Anatolyevna Mescheryakova, Alexander Gennadyevich Blinov, Anton Vladimirovich Korzhuk, Valeria Nikolayevna Shlyakhtun, Natalia Vladimirovna Bogacheva, Egor Vladimirovich Antonov, Svetlana Valerevna Bannikova, Tatiana Nikolayevna Goryachkovskaya and Sergey Evgenyevich Peltek
Int. J. Mol. Sci. 2022, 23(23), 15035; https://doi.org/10.3390/ijms232315035 - 30 Nov 2022
Cited by 4 | Viewed by 2455
Abstract
Neutral protease pAsPs gene was obtained by sequence optimization of NpI protease from Aspergillus pseudotamarii. pAsPs was for the first time integrated in the genome of yeast strain Komagataella phaffii T07, and then produced in a 5 L bioreactor with an enzyme yield [...] Read more.
Neutral protease pAsPs gene was obtained by sequence optimization of NpI protease from Aspergillus pseudotamarii. pAsPs was for the first time integrated in the genome of yeast strain Komagataella phaffii T07, and then produced in a 5 L bioreactor with an enzyme yield of 150,800 U/mL of culture liquid towards casein. The specific activity of the pAsPs was 7,657,000 U/mg toward casein, 2320 U/mg toward hemoglobin, and 25,344 U/mg toward azocasein per 1 mg of the protein. The enzyme was found to be inhibited by Cu2+. Optimal activity pH was shown in the range of pH 6.5–8.0, and optimal temperature—50–60 °C. The molecular mass of the recombinant protease pAsPs was shown to be 67.5 kDa. Mass-spectrometric analysis confirmed the identity of the amino acid sequence of the obtained pAsPs preparation with the predicted sequence, with 17% coverage and protein score 288. Thus, the novel neutral protease pAsPs is a promising candidate for large-scale use in manufacturing, including the food industry. Full article
(This article belongs to the Section Molecular Biology)
Show Figures

Figure 1

14 pages, 8200 KB  
Article
Design and Characterization of In-One Protease-Esterase PluriZyme
by Laura Fernandez-Lopez, Sergi Roda, Jose L. Gonzalez-Alfonso, Francisco J. Plou, Víctor Guallar and Manuel Ferrer
Int. J. Mol. Sci. 2022, 23(21), 13337; https://doi.org/10.3390/ijms232113337 - 1 Nov 2022
Cited by 13 | Viewed by 3506
Abstract
Proteases are abundant in prokaryotic genomes (~10 per genome), but their recovery encounters expression problems, as only 1% can be produced at high levels; this value differs from that of similarly abundant esterases (1–15 per genome), 50% of which can be expressed at [...] Read more.
Proteases are abundant in prokaryotic genomes (~10 per genome), but their recovery encounters expression problems, as only 1% can be produced at high levels; this value differs from that of similarly abundant esterases (1–15 per genome), 50% of which can be expressed at good levels. Here, we design a catalytically efficient artificial protease that can be easily produced. The PluriZyme EH1AB1 with two active sites supporting the esterase activity was employed. A Leu24Cys mutation in EH1AB1, remodelled one of the esterase sites into a proteolytic one through the incorporation of a catalytic dyad (Cys24 and His214). The resulting artificial enzyme, EH1AB1C, efficiently hydrolysed (azo)casein at pH 6.5–8.0 and 60–70 °C. The presence of both esterase and protease activities in the same scaffold allowed the one-pot cascade synthesis (55.0 ± 0.6% conversion, 24 h) of L-histidine methyl ester from the dipeptide L-carnosine in the presence of methanol. This study demonstrates that active sites supporting proteolytic activity can be artificially introduced into an esterase scaffold to design easy-to-produce in-one protease-esterase PluriZymes for cascade reactions, namely, the synthesis of amino acid esters from dipeptides. It is also possible to design artificial proteases with good production yields, in contrast to natural proteases that are difficult to express. Full article
Show Figures

Graphical abstract

10 pages, 2278 KB  
Article
Exploring the Fibrin(ogen)olytic, Anticoagulant, and Antithrombotic Activities of Natural Cysteine Protease (Ficin) with the κ-Carrageenan-Induced Rat Tail Thrombosis Model
by Hye Ryeon Yang, Du Hyeon Hwang, Ramachandran Loganathan Mohan Prakash, Jong-Hyun Kim, Il-Hwa Hong, Suk Kim, Euikyung Kim and Changkeun Kang
Nutrients 2022, 14(17), 3552; https://doi.org/10.3390/nu14173552 - 29 Aug 2022
Cited by 14 | Viewed by 3882
Abstract
Although fibrinolytic enzymes and thrombolytic agents help in cardiovascular disease treatment, those currently available have several side effects. This warrants the search for safer alternatives. Several natural cysteine protease preparations are used in traditional medicine to improve platelet aggregation and thrombosis-related diseases. Hence, [...] Read more.
Although fibrinolytic enzymes and thrombolytic agents help in cardiovascular disease treatment, those currently available have several side effects. This warrants the search for safer alternatives. Several natural cysteine protease preparations are used in traditional medicine to improve platelet aggregation and thrombosis-related diseases. Hence, this study aimed to investigate the effect of ficin, a natural cysteine protease, on fibrin(ogen) and blood coagulation. The optimal pH (pH 7) and temperature (37 °C) for proteolytic activity were determined using the azocasein method. Fibrinogen action and fibrinolytic activity were measured both electrophoretically and by the fibrin plate assay. The effect of ficin on blood coagulation was studied by conventional coagulation tests: prothrombin time (PT), activated partial thromboplastin time (aPTT), blood clot lysis assay, and the κ-carrageenan thrombosis model. The Aα, Bβ, and γ bands of fibrinogen are readily cleaved by ficin, and we also observed a significant increase in PT and aPTT. Further, the mean length of the infarcted regions in the tails of Sprague–Dawley rats was shorter in rats administered 10 U/mL of ficin than in control rats. These findings suggest that natural cysteine protease, ficin contains novel fibrin and fibrinogenolytic enzymes and can be used for preventing and/or treating thrombosis-associated cardiovascular disorders. Full article
(This article belongs to the Section Nutrition and Public Health)
Show Figures

Graphical abstract

12 pages, 2356 KB  
Article
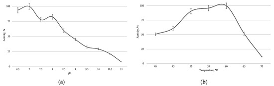
Characterization of the Proteolytic Activity of a Halophilic Aspergillus reticulatus Strain SK1-1 Isolated from a Solar Saltern
by Dawoon Chung, Woon-Jong Yu, Ji-Yeon Lim, Nam-Seon Kang, Yong-Min Kwon, Grace Choi, Seung-Sub Bae, Kichul Cho and Dae-Sung Lee
Microorganisms 2022, 10(1), 29; https://doi.org/10.3390/microorganisms10010029 - 24 Dec 2021
Cited by 14 | Viewed by 5336
Abstract
Salterns are hypersaline environments that are inhabited by diverse halophilic microorganisms, including fungi. In this study, we isolated a fungal strain SK1-1 from a saltern in the Republic of Korea, which was identified as Asperillus reticulatus. This is the first reported saline-environment-derived [...] Read more.
Salterns are hypersaline environments that are inhabited by diverse halophilic microorganisms, including fungi. In this study, we isolated a fungal strain SK1-1 from a saltern in the Republic of Korea, which was identified as Asperillus reticulatus. This is the first reported saline-environment-derived A. reticulatus that belongs to the Aspergillus penicillioides clade and encompasses xerophilic fungi. SK1-1 was halophilic, obligately requiring NaCl for growth, with a maximum radial growth of 6%–9% (w/v) NaCl. To facilitate the biotechnological application of halophilic fungi, we screened the SK1-1 strain for proteolytic activity. Proteases have widespread applications in food processing, detergents, textiles, and waste treatment, and halophilic proteases can enable protein degradation in high salt environments. We assessed the proteolytic activity of the extracellular crude enzyme of SK1-1 using azocasein as a substrate. The crude protease exhibited maximum activity at 40–50 °C, pH 9.5–10.5, and in the absence of NaCl. It was also able to retain up to 69% of its maximum activity until 7% NaCl. Protease inhibitor assays showed complete inhibition of the proteolytic activity of crude enzymes by Pefabloc® SC. Our data suggest that the halophilic A. reticulatus strain SK1-1 produces an extracellular alkaline serine protease. Full article
(This article belongs to the Special Issue Halophilic Microorganisms)
Show Figures

Graphical abstract

16 pages, 1761 KB  
Article
Use of a Sequential Fermentation Method for the Production of Aspergillus tamarii URM4634 Protease and a Kinetic/Thermodynamic Study of the Enzyme
by Rodrigo Lira de Oliveira, Emiliana de Souza Claudino, Attilio Converti and Tatiana Souza Porto
Catalysts 2021, 11(8), 963; https://doi.org/10.3390/catal11080963 - 11 Aug 2021
Cited by 8 | Viewed by 3819
Abstract
Microbial proteases are commonly produced by submerged (SmF) or solid-state fermentation (SSF), whose combination results in an unconventional method, called sequential fermentation (SF), which has already been used only to produce cellulolytic enzymes. In this context, the aim of the present study was [...] Read more.
Microbial proteases are commonly produced by submerged (SmF) or solid-state fermentation (SSF), whose combination results in an unconventional method, called sequential fermentation (SF), which has already been used only to produce cellulolytic enzymes. In this context, the aim of the present study was the development of a novel SF method for protease production using wheat bran as a substrate. Moreover, the kinetic and thermodynamic parameters of azocasein hydrolysis were estimated, thus providing a greater understanding of the catalytic reaction. In SF, an approximately 9-fold increase in protease activity was observed compared to the conventional SmF method. Optimization of glucose concentration and medium volume by statistical means allowed us to achieve a maximum protease activity of 180.17 U mL−1. The obtained enzyme had an optimum pH and temperature of 7.0 and 50 °C, respectively. Kinetic and thermodynamic parameters highlighted that such a neutral protease is satisfactorily thermostable at 50 °C, a temperature commonly used in many applications in the food industry. The results obtained suggested not only that SF could be a promising alternative to produce proteases, but also that it could be adapted to produce several other enzymes. Full article
(This article belongs to the Special Issue Enzymes and Biocatalysis)
Show Figures

Graphical abstract

7 pages, 642 KB  
Proceeding Paper
Test for the Production and Assay of the Proteolytic Activities of Halophilic Bacteria and Archaea Isolated from Algerian Hypersaline Environments
by Hania Benmebarek, Juan-José Escuder-Rodríguez, María-Isabel González-Siso and Karima Karroub
Proceedings 2020, 66(1), 12; https://doi.org/10.3390/proceedings2020066012 - 24 Dec 2020
Cited by 5 | Viewed by 5000
Abstract
: The present work was carried out on 133 halophilic strains isolated on MGM (Modified Growth Medium) medium with 12 and 23% (w/v) of salt. A screening of the extracellular proteolytic activities, carried out on the same medium supplemented with casein or gelatin [...] Read more.
: The present work was carried out on 133 halophilic strains isolated on MGM (Modified Growth Medium) medium with 12 and 23% (w/v) of salt. A screening of the extracellular proteolytic activities, carried out on the same medium supplemented with casein or gelatin at 1% (w/v), allowed us to select 24 bacterial and 21 archaeal strains presenting a precipitate around the colonies for casein and/or a translucent halo (after addition of Frazier’s reagent) for gelatin. The enzymatic test was performed on liquid medium in microculture in a 2 mL Eppendorf tube. The assay of the proteolytic activity, using Azocasein as substrate, followed two protocols—the first with PBS and the second with Tris HCl, with positive and negative controls—and demonstrated interesting results for 10 strains among the 45 tested including five bacteria and five archaea. These underwent morphological, physiological and molecular characterizations based on amplification and sequencing of the 16S ribosomal RNA gene. Full article
(This article belongs to the Proceedings of The 1st International Electronic Conference on Microbiology)
Show Figures

Figure 1

6 pages, 725 KB  
Proceeding Paper
Selection of the Optimal Medium for Adsorption of Plant Proteases
by Victoria Koroleva, Svetlana Olshannikova, Marina Holyavka, Alexander Pashkov and Valeriy Artyukhov
Chem. Proc. 2020, 2(1), 3; https://doi.org/10.3390/ECCS2020-07525 - 9 Nov 2020
Viewed by 1373
Abstract
Immobilized enzymes are the most sought-after preparations in the global market. They are used in medicine, veterinary medicine, the food industry, winemaking and brewing. The simplest method for immobilizing biocatalysts on insoluble carriers is the simple adsorption method. Its advantage is that it [...] Read more.
Immobilized enzymes are the most sought-after preparations in the global market. They are used in medicine, veterinary medicine, the food industry, winemaking and brewing. The simplest method for immobilizing biocatalysts on insoluble carriers is the simple adsorption method. Its advantage is that it preserves the natural conformation of the enzyme, which slightly reduces its catalytic ability compared to the native form. In our study, we carried out the selection of optimal conditions for adsorption immobilization of acid-soluble chitosan (Mr = 350 kDa) enzymes of plant origin (ficin, papain and bromelain) on a matrix. Ficin (EC 3.4.22.3), papain (EC 3.4.22.2) and bromelain (EC 3.4.22.4) (Sigma) were chosen as the objects of study, azocasein (Sigma) was used as a substrate for hydrolysis and an acid-soluble high-molecular-weight chitosan (350 kDa) was used as an immobilization matrix, synthesized by Bioprogress CJSC. Suitable buffer systems for immobilization were identified by the optimal ratio of protein content and total and specific activity. Ficin is immobilized on a chitosan matrix using glycine buffer with a pH of 8.6. Glycine buffer with a pH of 8.6–10.5 is an optimal medium for sorption of papain on chitosan. Bromelain is immobilized on a chitosan matrix under Tris-glycine buffer with pH 8.5 conditions. Full article
(This article belongs to the Proceedings of The 1st International Electronic Conference on Catalysis Sciences)
Show Figures

Figure 1

Back to TopTop