Sign in to use this feature.

Years

Between: -

Subjects

remove_circle_outline
remove_circle_outline
remove_circle_outline
remove_circle_outline
remove_circle_outline
remove_circle_outline
remove_circle_outline
remove_circle_outline
remove_circle_outline

Journals

remove_circle_outline
remove_circle_outline
remove_circle_outline
remove_circle_outline
remove_circle_outline
remove_circle_outline
remove_circle_outline
remove_circle_outline
remove_circle_outline
remove_circle_outline
remove_circle_outline

Article Types

Countries / Regions

remove_circle_outline
remove_circle_outline
remove_circle_outline
remove_circle_outline
remove_circle_outline

Search Results (1,224)

Search Parameters:
Keywords = automatic equipment

Order results
Result details
Results per page
Select all
Export citation of selected articles as:
9 pages, 620 KB  
Communication
Heart Girth as a Predictor of Body Weight in Lactating Cows
by Silvia Magro, Alberto Guerra, Pietro Sartor, Massimo De Marchi and Mauro Penasa
Animals 2026, 16(6), 938; https://doi.org/10.3390/ani16060938 - 17 Mar 2026
Abstract
Body weight (BW) is an important trait in dairy cows; however, large-scale direct measurements are challenging. Heart girth (HG) has been proposed as a practical indicator of BW, but limited information is available for lactating cows, especially for locally adapted breeds. This study [...] Read more.
Body weight (BW) is an important trait in dairy cows; however, large-scale direct measurements are challenging. Heart girth (HG) has been proposed as a practical indicator of BW, but limited information is available for lactating cows, especially for locally adapted breeds. This study aimed to develop equations to estimate BW from HG in lactating Holstein, Simmental, and Rendena cows. A total of 293 cows (94 Holstein, 52 Simmental, and 147 Rendena) were selected from 6 farms equipped with an automatic milking system located in northern Italy. Both HG and BW were recorded on the same day, with HG measured using a tape and BW using a scale integrated into the automatic milking system. For each breed, linear, quadratic, and cubic regressions of BW on HG were tested, adjusting for days in milk and parity effects. The coefficient of determination and the root mean square error were reported. The best predictive performance was obtained with models adjusted for both days in milk and parity, with the highest accuracy achieved for Holstein and Simmental cows. These results corroborate that HG is a reliable predictor of BW in lactating cows of these breeds. Full article
(This article belongs to the Section Cattle)
Show Figures

Figure 1

21 pages, 1652 KB  
Article
Research on Highly Suspected True Alarm Model for Fire Alarm Data Based on Deep Learning Method
by Xueming Shu, Cheng Li, Yixin Xu, Jingwu Wang, Yinuo Huo and Juanxia He
Fire 2026, 9(3), 124; https://doi.org/10.3390/fire9030124 - 13 Mar 2026
Viewed by 150
Abstract
With the widespread application of automatic fire alarm systems in various types of buildings, the problem of fire false alarms has gradually become prominent, which not only causes resource waste, but also may reduce users’ trust in the alarm system, thereby affecting the [...] Read more.
With the widespread application of automatic fire alarm systems in various types of buildings, the problem of fire false alarms has gradually become prominent, which not only causes resource waste, but also may reduce users’ trust in the alarm system, thereby affecting the efficiency of emergency response in actual fires. According to data from a certain fire cloud platform, 99.85% of the suspected fires predicted by its system are false alarms. Although existing models can recognize most fire accidents, the accuracy of fire alarm recognition is only 0.15%, due to loose judgment logic, which still requires a large amount of manpower to verify alarms. This article analyzes a large amount of false alarm data and explores the main causes of false alarms, including environmental interference, equipment failure, and improper human operation. By using a fire dynamics simulator (FDS) to establish fire simulation models under different data settings, horizontal and vertical multi-scene fire simulation data are obtained. The study combines simulation and platform data to form a fire and false alarm dataset using a one-dimensional convolutional neural network (1D-CNN) and deep neural network (DNN) deep learning techniques to learn the deductive rules of the fire scene, establish a two-stage judgment model, and gradually, accurately, judge the results. By quantifying the precision, recall, and F1 score of the model, a deep learning model designed to accurately identify genuine fire alarms while filtering out false ones is proposed that can significantly reduce the false alarm rate. The results indicate that the model can identify 1705 false alarms out of 2255 highly suspected true alarms identified by existing systems in multiple practical scenarios and eliminate 75.61% of false positive alarms. On the premise of ensuring an authenticity recognition rate greater than 98%, the accuracy of fire alarm recognition increased from 0.15% to 28.85%, which will significantly reduce the workload of staff verifying alerts, and has good practical value. Full article
Show Figures

Figure 1

11 pages, 581 KB  
Article
Experimental Study of Alien Crosstalk Limits in Densely Bundled Commodity 10GBASE-T Ethernet Cables
by Aleksei Demin, Viktoriia Vasileva and Dmitrii Chaikovskii
Network 2026, 6(1), 14; https://doi.org/10.3390/network6010014 - 9 Mar 2026
Viewed by 134
Abstract
In the realm of high-speed Ethernet networks, alien crosstalk (AXT) significantly undermines the integrity and efficiency of data transmission. While existing works mostly focus on modeling and physical-layer mitigation techniques such as PAM16/DSQ128 modulation and LDPC coding, there is a lack of experimental [...] Read more.
In the realm of high-speed Ethernet networks, alien crosstalk (AXT) significantly undermines the integrity and efficiency of data transmission. While existing works mostly focus on modeling and physical-layer mitigation techniques such as PAM16/DSQ128 modulation and LDPC coding, there is a lack of experimental evidence on how severe AXT affects commodity 10GBASE-T equipment in realistic, densely cabled installations. In this study, we assemble and evaluate the experimental testbed that emulates a highly adverse AXT environment by tightly bundling up to seven 60 m twisted-pair Ethernet cables and using only off-the-shelf 10GBASE-T network cards. We quantitatively characterize how increasing cable density leads to automatic speed downgrades, connection failures, and non-linear saturation of the aggregate throughput, and relate these effects to the observed link quality on individual ports. Our results demonstrate that, even in the presence of standard crosstalk mitigation and error-correction mechanisms, severe AXT can force commodity 10GBASE-T links to fall back from 10 Gbit/s to 1 Gbit/s or below. Based on these findings, we derive practical guidelines for dense-cabling deployments and identify key requirements for experimental testbeds that can more reliably quantify AXT severity and its impact on commodity 10GBASE-T link stability (rate fallback and link loss) under realistic conditions. Full article
Show Figures

Figure 1

26 pages, 6399 KB  
Article
The Development and Experimental Evaluation of a Non-Invasive Vein Visualization System Using a Near-Infrared Light Source and a Web Camera to Assist Medical Personnel in Radiology Contrast Administration and Venous Access
by Suphalak Khamruang Marshall, Jongwat Cheewakul, Natee Ina, Thirawut Rojchanaumpawan and Apidet Booranawong
Appl. Sci. 2026, 16(5), 2578; https://doi.org/10.3390/app16052578 - 7 Mar 2026
Viewed by 357
Abstract
Injection-related errors remain a common clinical issue and can cause patient discomfort, hematoma formation, and procedural inefficiencies. The visualization of subcutaneous veins using near-infrared (NIR) imaging has gained attention as an effective approach to reducing such errors, as blood exhibits a higher absorption [...] Read more.
Injection-related errors remain a common clinical issue and can cause patient discomfort, hematoma formation, and procedural inefficiencies. The visualization of subcutaneous veins using near-infrared (NIR) imaging has gained attention as an effective approach to reducing such errors, as blood exhibits a higher absorption of NIR light than surrounding tissue. In this study, a low-cost, non-invasive vein visualization system is presented to support safer and more accurate venous access. The proposed system integrates an NIR illumination source and a modified webcam within a compact equipment enclosure, allowing subjects to be conveniently examined by placing their arm inside the device. Vein images are automatically acquired using a laptop-based platform, followed by digital image processing techniques for vein enhancement and visualization. Laboratory-scale experiments were conducted on healthy volunteers to evaluate system performance under multiple conditions, including different vein locations (upper and lower arm regions), varying distances between the NIR light source and the arm (15 cm and 20 cm), and ambient illumination interference (light sources on and off). The experimental results demonstrate the successful implementation and reliable operation of the proposed system. Effective vein visualization was achieved across all test conditions, as confirmed by qualitative visual assessment and quantitative image quality metrics, including the Peak Signal-to-Noise Ratio (PSNR) and Mean Squared Error (MSE). Overall, the proposed system offers a practical, accessible, and cost-effective solution for vein visualization, showing strong potential for clinical and experimental applications aimed at reducing injection errors and improving venous access reliability. Full article
(This article belongs to the Section Biomedical Engineering)
Show Figures

Figure 1

27 pages, 5414 KB  
Article
Optimization Design of Marine Centrifugal Pump Blade Profile Based on Hybrid Clonal Selection Algorithm Integrating Slime Mold Algorithm and Tangent Flight Mechanism
by Ye Yuan, Qirui Chen and Shifeng Wang
J. Mar. Sci. Eng. 2026, 14(5), 488; https://doi.org/10.3390/jmse14050488 - 3 Mar 2026
Viewed by 258
Abstract
The marine centrifugal pump is one of the most energy-intensive pieces of equipment in ship auxiliary machinery, and the efficient design of its hydraulic components can effectively reduce the total energy consumption of the ship system. Aiming at the complex three-dimensional twisted blade [...] Read more.
The marine centrifugal pump is one of the most energy-intensive pieces of equipment in ship auxiliary machinery, and the efficient design of its hydraulic components can effectively reduce the total energy consumption of the ship system. Aiming at the complex three-dimensional twisted blade profile structure of the marine centrifugal pump, this paper optimized the clonal selection algorithm and constructed an automatic hydraulic optimization design method for the high-efficiency centrifugal pump impeller. Considering the multi-condition operation characteristics of the marine centrifugal pump, a performance test platform for the marine centrifugal pump was built, and the actual operating conditions of the model pump were tested to obtain its performance characteristics under operating conditions. The numerical simulation method was employed to capture and analyze the internal flow field and flow characteristics of the model pump. Addressing the design challenges of the marine centrifugal pump impeller, which involve multiple parameters with significant interactions, a traditional clonal selection algorithm was enhanced using a Slime Mold Algorithm, and a hybrid Clonal Selection Algorithm integrated with Slime Mold and Tangent Flight mechanisms was established. Based on the MATLAB and ANSYS platforms, an automated hydraulic optimization design framework for the centrifugal pump impeller was established. Using the optimized clonal selection algorithm, with the operational efficiency of the model pump as the optimization objective and controlling ten key geometric parameters of the blade profile through Bézier curves, the blade profile optimization design was achieved. The pump hydraulic efficiency under the rated flow condition increased by 7%. The unsteady internal flow efficiency of the optimized marine centrifugal pump was significantly improved. The blade optimization alleviated flow separation phenomena on the tangential surface of the impeller and in partial regions of the volute, reduced the flow loss area, and significantly decreased overall flow losses. Full article
(This article belongs to the Section Ocean Engineering)
Show Figures

Figure 1

25 pages, 6938 KB  
Article
A BIM-Centered Multi-Source Image Fusion Framework for Remote Client Site Visits
by Ren-Jye Dzeng, Chen-Wei Cheng and Yu-Hsiang Chen
Buildings 2026, 16(5), 994; https://doi.org/10.3390/buildings16050994 - 3 Mar 2026
Viewed by 245
Abstract
Clients need to visit project sites periodically during construction to visualize progress and identify deviations from expectations. However, physical site visits are time-consuming, costly, and potentially unsafe, especially for remote and overseas projects. More fundamentally, existing remote-site-visit solutions focus primarily on automatic recognition [...] Read more.
Clients need to visit project sites periodically during construction to visualize progress and identify deviations from expectations. However, physical site visits are time-consuming, costly, and potentially unsafe, especially for remote and overseas projects. More fundamentally, existing remote-site-visit solutions focus primarily on automatic recognition and visualization, while insufficiently addressing the scientific challenge of how heterogeneous, dynamic site data can be fused and operationalized to support timely, collaborative decision making. This research proposes a framework for clients’ remote site visits. It develops an RASE system that enables multi-source data fusion and real-time collaborative decision support by integrating UAVs, 360° cameras, BIM, and VR/AR technologies. RASE allows clients to synchronize real-world visual data with BIM models within predefined scenes, annotate issues directly on BIM components, and seamlessly switch among heterogeneous image-capture sources to maintain situational awareness in highly dynamic construction environments. The proposed framework emphasizes an operational data-fusion mechanism and an interaction paradigm that reduces the cognitive and coordination burdens of remote decision making. A case study shows that RASE reduces site-visit time by 78.0%, though initial equipment costs increase total expenses by 44.1%. Sensitivity analyses indicate that projects with greater remoteness or higher visit frequency significantly improve both time and cost effectiveness. The core contribution of RASE lies in enabling a scalable, operational data-fusion mechanism that supports collaboration for remote site visits, with the associated issues for the corresponding BIM components. Automatic image and voice recognition functionality may be incorporated with RASE to improve the efficiency of system control, textual input, and BIM association in the future. Full article
Show Figures

Figure 1

20 pages, 1894 KB  
Article
A Whale Optimization-Based Dynamic Compression ATPG Algorithm for Computer Interlocking Equipment Testing
by Zhiyang Yu, Lanxuan Jiang, Tianze Wu and Xiaoming Chen
Appl. Sci. 2026, 16(5), 2361; https://doi.org/10.3390/app16052361 - 28 Feb 2026
Viewed by 238
Abstract
High-speed railway signaling equipment constitutes safety-critical infrastructure, wherein hardware failures may directly compromise operational safety. During the hardware prototyping and verification stage, structural testing is essential to detect latent faults in digital logic circuits and to ensure compliance with stringent safety integrity requirements. [...] Read more.
High-speed railway signaling equipment constitutes safety-critical infrastructure, wherein hardware failures may directly compromise operational safety. During the hardware prototyping and verification stage, structural testing is essential to detect latent faults in digital logic circuits and to ensure compliance with stringent safety integrity requirements. However, conventional test generation methods often suffer from long generation times and excessive test vector volume. To address these challenges, this study proposes a whale optimization-based dynamic compression Automatic Test-Pattern Generation (ATPG) algorithm. The proposed method integrates a discrete whale optimization algorithm (WOA) with a deterministic PODEM framework to dynamically compress generated test vectors. Additionally, a multi-path-sensitized PODEM enhanced with desensitization techniques is introduced to reduce backtracking and improve search efficiency. The proposed algorithm has been applied to the computer interlocking golden model netlist for testing purposes, achieving an impressive fault coverage rate of 100%. Test results from the ISCAS-85 standard circuit indicate that our approach significantly reduces both the length of the vector set and the time required for test generation when compared to traditional PODEMs without vector compression and pseudo-random combined PODEM vector generation methods. This advancement effectively enhances overall vector generation efficiency while maintaining comprehensive fault coverage. Full article
Show Figures

Figure 1

24 pages, 3912 KB  
Article
Remaining Useful Life Prediction of Fracturing Truck Valve Bodies Based on the CB2-RUL Algorithm
by Xinyue Chen, Jishun Ren, Yang Wang, Jiquan He, Xuyou Guo and Gantailai Ye
Computation 2026, 14(2), 55; https://doi.org/10.3390/computation14020055 - 23 Feb 2026
Viewed by 283
Abstract
The triplex reciprocating drilling pump is a critical piece of equipment in drilling platforms, and the operational condition of its core component—the valve body—directly affects the pump’s performance and the stability of the entire system. Therefore, accurate prediction of the valve body’s Remaining [...] Read more.
The triplex reciprocating drilling pump is a critical piece of equipment in drilling platforms, and the operational condition of its core component—the valve body—directly affects the pump’s performance and the stability of the entire system. Therefore, accurate prediction of the valve body’s Remaining Useful Life (RUL) is of great significance for ensuring the safe operation of drilling pumps and enabling predictive maintenance. However, achieving this goal involves two major challenges: (1) The complex degradation process of the valve body, which involves strong impact loads, nonlinear wear, and coupling effects between fluid and mechanical systems, makes it difficult to establish a stable degradation model and achieve accurate RUL prediction. (2) There is a lack of publicly available real-world datasets for research purposes. To address these challenges, we propose CEEMDAN-BWO-optimized Bidirectional LSTM for Remaining Useful Life prediction (CB2-RUL). The method first applies Complete Ensemble Empirical Mode Decomposition with Adaptive Noise (CEEMDAN) to the raw vibration signals for decomposition and denoising, thereby improving signal stationarity and enhancing feature representation. Next, the Black Widow Optimization (BWO) algorithm is employed to automatically tune key hyperparameters of a Bidirectional Long Short-Term Memory (BiLSTM) network. Finally, the optimized BiLSTM captures the temporal evolution patterns of valve-body degradation and produces high-accuracy RUL estimates. Finally, to verify the effectiveness of the proposed approach, we constructed a real-world dataset named VB-Lifecycle, which comprises ten valve bodies from different positions within the equipment and spans the complete lifecycle from pristine condition to failure. Extensive experiments conducted on the VB-Lifecycle dataset demonstrate that the proposed method provides accurate RUL prediction for valve bodies. Full article
Show Figures

Figure 1

25 pages, 5932 KB  
Article
China Aerosol Raman Lidar Network (CARLNET)—Part II: Quality Assessment of Lidar Raw Data
by Zhichao Bu, Yaru Dai, Song Mao, Qin Wang, Zhenping Yin, Yubin Wei, Xuan Wang, Yubao Chen and Peng Zhang
Remote Sens. 2026, 18(4), 663; https://doi.org/10.3390/rs18040663 - 22 Feb 2026
Viewed by 438
Abstract
The China Aerosol Raman Lidar Network (CARLNET), developed by the China Meteorological Administration, currently comprises 49 multiwavelength polarization Raman lidars used for meteorological and atmospheric-environment monitoring. Timely and automatic quality assessment of the lidar raw signal is vital for a large atmospheric lidar [...] Read more.
The China Aerosol Raman Lidar Network (CARLNET), developed by the China Meteorological Administration, currently comprises 49 multiwavelength polarization Raman lidars used for meteorological and atmospheric-environment monitoring. Timely and automatic quality assessment of the lidar raw signal is vital for a large atmospheric lidar network. This study proposes a quality assessment method of lidar raw data for the CARLNET. By scoring three factors, signal saturation at near-range, Rayleigh fit and effective detection range, and weighting each influence factor according to its importance, each lidar raw data is tagged by a composite score. These scores reflect the quality of lidar raw data, as well as potential issues of lidar systems. Three lidars under three typical weather scenarios are used to analyze the impact of observation scenarios on lidar raw data, and the results show that the proposed method can effectively distinguish the lidar raw data quality under different scenarios. By analyzing the scores of lidar raw data, two potential hardware issues (optical-axis misalignment and signal-receiving issues) are identified, which provide guidance for equipment maintenance. In addition, we applied the method to one-year CARLNET measurement data. Temporally, five representative sites were selected for analysis of their annual data, revealing the seasonal and overall scores of the raw data. Spatially, the signals at the 355 nm, 532 nm, and 1064 nm channels of 49 nationwide distributed lidars were evaluated and categorized into six groups based on their scores, which provides support for lidar network data quality monitoring, operational applications, and scientific research. Full article
Show Figures

Figure 1

21 pages, 6127 KB  
Article
A Sensor-Based Magnetite Ore Sorting System Integrating Empirical Mode Decomposition and Convolutional Neural Network
by Yankui Ren, Yan Yang, Jipeng Wang, Chunrong Pan, Fenglian Yuan, Weiqian Chen and Jianzhao Wang
Minerals 2026, 16(2), 210; https://doi.org/10.3390/min16020210 - 19 Feb 2026
Viewed by 208
Abstract
To address the challenge of poor separation performance exhibited by conventional magnetic separation equipment when processing coarse-grained, low-grade magnetite ore, this paper proposes a novel ore recognition method that integrates empirical mode decomposition (EMD) with a convolutional neural network (CNN). First, the original [...] Read more.
To address the challenge of poor separation performance exhibited by conventional magnetic separation equipment when processing coarse-grained, low-grade magnetite ore, this paper proposes a novel ore recognition method that integrates empirical mode decomposition (EMD) with a convolutional neural network (CNN). First, the original signal undergoes standardization to suppress sensor baseline drift. Then, it is decomposed by using EMD to obtain a series of intrinsic mode functions (IMFs). Subsequently, based on scaling exponents and kurtosis values, IMFs containing significant feature information are selected and fused, resulting in a reconstructed signal with substantially reduced noise. To preserve effective features, the absolute values of the reconstructed signal are taken, followed by normalization and dimensional transformation to convert it into a two-dimensional matrix format, thereby constructing training, validation, and test sets. Finally, a CNN is designed and optimized to automatically extract discriminative features from the preprocessed samples, enabling accurate classification of magnetite ore grades. Experimental results demonstrate that the proposed comprehensive identification method achieves effective and stable classification performance across different ore grades. Specifically, the implementation of standardization and EMD-based denoising has been demonstrated to enhance the accuracy of CNNs in recognizing diverse ores. Full article
Show Figures

Figure 1

22 pages, 4591 KB  
Article
Software Cross-Platform Validation of Digital Control Strategies Using Texas Instruments C2000 Microcontrollers
by Diego Fernando Ramírez-Jiménez, Claudia Milena González-Arbeláez and P. A. Muñoz-Gutiérrez
Automation 2026, 7(1), 34; https://doi.org/10.3390/automation7010034 - 19 Feb 2026
Viewed by 321
Abstract
In a globalized world where data play a critical role in system operation, process automation, and decision-making, the development of real-time control systems is essential, as it enables operators and supervisors to monitor the current status of a process based on its physical [...] Read more.
In a globalized world where data play a critical role in system operation, process automation, and decision-making, the development of real-time control systems is essential, as it enables operators and supervisors to monitor the current status of a process based on its physical variables. Consequently, a wide range of software and hardware platforms is currently available for implementing real-time control systems, including Arduino, ESP32, and PIC microcontrollers. However, these platforms lack sufficiently robust hardware features for closed-loop control applications, as they were primarily designed for general-purpose use. To address the limitations of conventional embedded systems, this paper presents a novel approach for the implementation of digital controllers using Texas Instruments embedded systems applied to experimental plants designed with different control strategies. The proposed contribution focuses on the development of an experimental framework that integrates multi-platform programming, automatic code generation, and the use of dedicated real-time control modules, such as the Control Law Accelerator available in the LAUNCHXL-F28379D LaunchPad embedded system. The results highlight the capability of Texas Instruments microcontrollers to execute real-time control loops applied to different physical systems and operating under various control parameters. In conclusion, the findings demonstrate that Texas Instruments embedded systems equipped with advanced microcontroller architectures represent a promising alternative not only for scalable control applications but also for industrial-level control system development. Full article
(This article belongs to the Section Industrial Automation and Process Control)
Show Figures

Figure 1

30 pages, 2117 KB  
Article
Automated Structuring and Analysis of Unstructured Equipment Maintenance Text Data in Manufacturing Using Generative AI Models: A Comparative Study of Pre-Trained Language Models
by Yongju Cho
Appl. Sci. 2026, 16(4), 1969; https://doi.org/10.3390/app16041969 - 16 Feb 2026
Viewed by 462
Abstract
Manufacturing companies face significant challenges in leveraging artificial intelligence for equipment management due to high infrastructure costs and limited availability of labeled data for failures. While most manufacturing AI applications focus on structured sensor data, vast amounts of unstructured textual information containing valuable [...] Read more.
Manufacturing companies face significant challenges in leveraging artificial intelligence for equipment management due to high infrastructure costs and limited availability of labeled data for failures. While most manufacturing AI applications focus on structured sensor data, vast amounts of unstructured textual information containing valuable maintenance knowledge remain underutilized. This study presents a practical generative AI-based framework for structured information extraction that automatically converts unstructured equipment maintenance texts into predefined semantic fields to support predictive maintenance in manufacturing environments. We adopted and evaluated three representative generative models—Bidirectional and Auto-Regressive Transformers (BART) with KoBART, Text-to-Text Transfer Transformer (T5) with pko-t5-base, and the large language model Qwen—to generate structured outputs by extracting three predefined fields: failed components, failure types, and corrective actions. The framework enables the structuring of equipment management text data from Manufacturing Execution Systems (MES) to build predictive maintenance support systems. We validated the approach using a large-scale MES dataset consisting of 29,736 equipment maintenance records from a major automotive parts manufacturer, from which curated subsets were used for model training and evaluation. Our methodology employs Generative Pre-trained Transformer 4 (GPT-4) for initial dataset construction, followed by domain expert validation to ensure data quality. The trained models achieved promising performance when evaluated using extraction-aligned metrics, including exact match (EM) and token-level precision, recall, and F1-score, which directly assess field-level extraction correctness. ROUGE scores are additionally reported as a supplementary indicator of lexical overlap. Among the evaluated models, Qwen consistently outperformed BART and T5 across all extracted fields. The structured outputs are further processed through domain-specific dictionaries and regular expressions to create a comprehensive analytical database supporting predictive maintenance strategies. We implemented a web-based analytics platform enabling time-series analysis, correlation analysis, frequency analysis, and anomaly detection for equipment maintenance optimization. The proposed system converts tacit knowledge embedded in maintenance texts into explicit, actionable insights without requiring additional sensor installations or infrastructure investments. This research contributes to the manufacturing AI field by demonstrating a comprehensive application of generative language models to equipment maintenance text analysis, providing a cost-effective approach for digital transformation in manufacturing environments. The framework’s scalability and cloud-based deployment model present significant opportunities for widespread adoption in the manufacturing sector, supporting the transition from reactive to predictive maintenance strategies. Full article
Show Figures

Figure 1

22 pages, 4101 KB  
Article
Enhancing Peak Shaving Efficiency in Small Hydro Power Plants Through Machine Learning-Based Predictive Control
by Francesca Mangili, Marco Derboni, Lorenzo Zambon, Vincenzo Giuffrida and Matteo Salani
Energies 2026, 19(4), 985; https://doi.org/10.3390/en19040985 - 13 Feb 2026
Viewed by 222
Abstract
Small hydropower plants (HPPs) equipped with water storage play an important role in managing fluctuating energy demand. This article presents a real-world case study in which model predictive control (MPC), driven by energy-demand and water-inflow forecasts produced using the Light Gradient Boosting Machine [...] Read more.
Small hydropower plants (HPPs) equipped with water storage play an important role in managing fluctuating energy demand. This article presents a real-world case study in which model predictive control (MPC), driven by energy-demand and water-inflow forecasts produced using the Light Gradient Boosting Machine (LGBM), is applied to optimize the operation of a small hydropower plant for peak shaving. A comparative analysis is conducted between the current non-predictive control strategy, which relies on operator decisions for peak shaving, and a fully automatic controller that optimally schedules the utilization of available water resources based on ML predictions. Results show that the MPC can outperform the operator-based scheduling and that this has the potential to improve the peak shaving capabilities of small HPPs. Unlike previous studies that predominantly focus on large and complex hydropower systems or introduce new control formulations evaluated under idealized assumptions, this work offers a pragmatic solution to the underexplored context of peak shaving for small HPPs operated with limited data and resources, that small utilities can adopt with minimal effort using their own data. We show that even these small-scale hydropower operations have room for improvement through optimal scheduling. Full article
Show Figures

Figure 1

19 pages, 10048 KB  
Article
Design Method of Pick-Drum Gap Compensation Body Based on Surface Extrapolation
by Xueyi Li, Jialin Lv, Mingyang Li and Tong Yang
Appl. Sci. 2026, 16(4), 1840; https://doi.org/10.3390/app16041840 - 12 Feb 2026
Viewed by 171
Abstract
During the assembly process of the bolter miner cutting drum, the varying installation postures of the cutting picks result in unique and non-repetitive irregular gaps between the tooth seat bottom surface and the cylindrical rotating surface. Such gaps are constrained by dual-surface geometry [...] Read more.
During the assembly process of the bolter miner cutting drum, the varying installation postures of the cutting picks result in unique and non-repetitive irregular gaps between the tooth seat bottom surface and the cylindrical rotating surface. Such gaps are constrained by dual-surface geometry and lack batch statistical regularity, making traditional methods such as shim filling, selective assembly, or on-site welding inadequate for achieving high-precision fitting and reliable process implementation. To address this challenge, this paper proposes an automatic design method for compensation bodies based on computer-aided design, realizing a shift from experience dependence to algorithm-driven design. This method transforms the complex dual-surface gap filling problem into a serialized geometric modeling process: first, smooth extrapolation of the tooth seat bottom surface is achieved through a point sequence prediction model based on minimum mean square error; second, surface projection is simplified to boundary curve projection, enabling precise mapping onto the cylindrical surface and generating trimming surfaces; finally, a ruled surface is constructed to integrate the extended surface with the trimming surfaces, automatically generating a compensation body fully adapted to the gap morphology. Case verification demonstrates that this method can automatically and accurately generate compensation bodies that meet dual-surface fitting requirements, significantly improving geometric adaptability and weldability. This research not only resolves a critical technical bottleneck in the assembly of bolter miner cutting drums but also provides a universal and scalable computational framework for the intelligent compensation design of non-repetitive dual-surface gaps in complex equipment. Full article
(This article belongs to the Section Mechanical Engineering)
Show Figures

Figure 1

24 pages, 10247 KB  
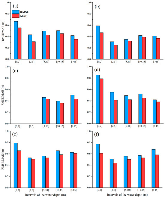
Article
A Segmented Adaptive Filtering Method for Nearshore Bathymetry Using ICESat-2 Dataset
by Yifu Chen, Ziqiang Wang, Wuxing Song, Yuan Le, Liqin Zhou, Haichao Guo, Lin Wu and Lin Yi
Remote Sens. 2026, 18(4), 568; https://doi.org/10.3390/rs18040568 - 11 Feb 2026
Viewed by 271
Abstract
Equipped with an Advanced Topographic Laser Altimeter System (ATLAS), ICESat-2 (Ice, Cloud and land Elevation Satellite-2) is a photon-counting laser altimetry mission with strong potential for nearshore bathymetry. In this study, a novel filtering and bathymetric method termed a segmented adaptive filtering bathymetry [...] Read more.
Equipped with an Advanced Topographic Laser Altimeter System (ATLAS), ICESat-2 (Ice, Cloud and land Elevation Satellite-2) is a photon-counting laser altimetry mission with strong potential for nearshore bathymetry. In this study, a novel filtering and bathymetric method termed a segmented adaptive filtering bathymetry has been proposed. Sea-surface photons are identified from peaks in the elevation-density histogram, enabling separation of surface and seafloor photons. The seafloor photons are then partitioned into along-track segments, where seafloor signal photons are extracted using an adaptive elliptical kernel whose parameters and orientation are determined from local density patterns and seafloor slope. The seafloor profile is obtained by polynomial fitting, and nearshore depth is estimated from the elevations of the surface and seafloor signal photons. To ensure and improve the accuracy and reliability of the proposed method, ICESat-2 data from Qilianyu Islands at the South China Sea and West Island at the Florida Keys of the United States were adopted to perform experiments. Furthermore, the bathymetric results obtained by ICESat-2 datasets at different experimental areas were compared with the reference bathymetry obtained by the airborne light detection and ranging (LiDAR) bathymetry (ALB) system. Finally, the bathymetric accuracy validation and assessment were performed. The highest accuracy of root mean square error (RMSE) and coefficient of determination (R2) has reached 0.37 m and 98%, respectively. The accuracy validation of bathymetric results at different study areas demonstrated that the method proposed in this study can automatically and effectively achieve high-precision nearshore bathymetry and topographic surveys. Full article
Show Figures

Figure 1

Back to TopTop