Optimization Design of Marine Centrifugal Pump Blade Profile Based on Hybrid Clonal Selection Algorithm Integrating Slime Mold Algorithm and Tangent Flight Mechanism
Abstract
1. Introduction
2. Materials and Methods
2.1. Marine Centrifugal Pump Model
2.2. Experimental Devices and Methods
2.3. Numerical Simulation Methodology

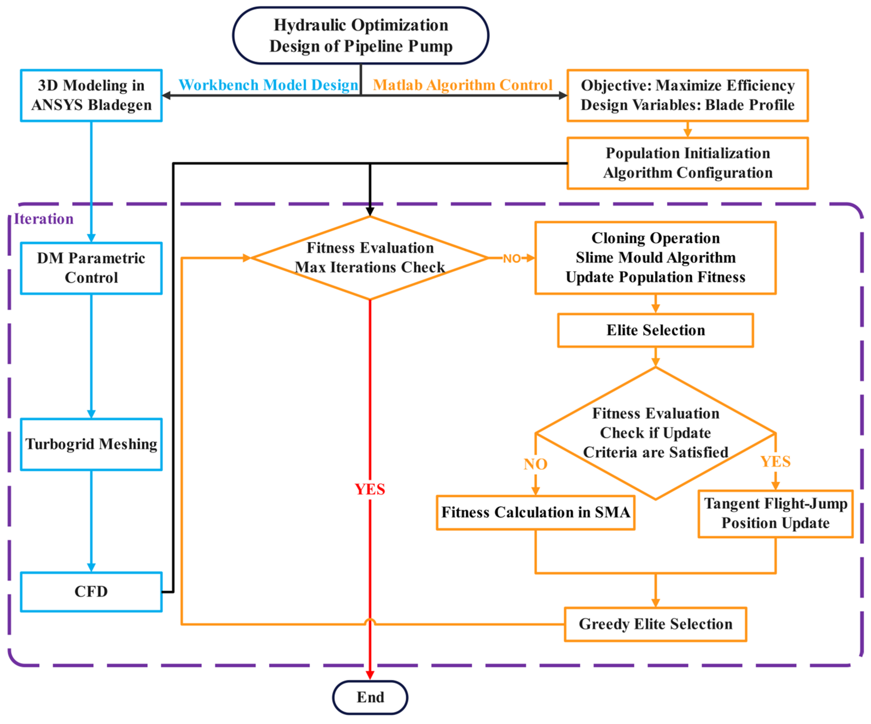
3. Optimization of the Blade Profile for a Marine Centrifugal Pump
3.1. Clonal Selection Algorithm Integrating Slime Mold and Tangent Flight
3.1.1. Position Update Strategy of Slime Mold Algorithm
3.1.2. Tangent Flight Jump Exploration Strategy
3.1.3. Validation and Comparison of the Optimization Algorithm
3.2. Marine Centrifugal Pump Impeller Blade Profile Optimization
4. Results and Discussion
4.1. Optimization of Model Pump Blade Profile
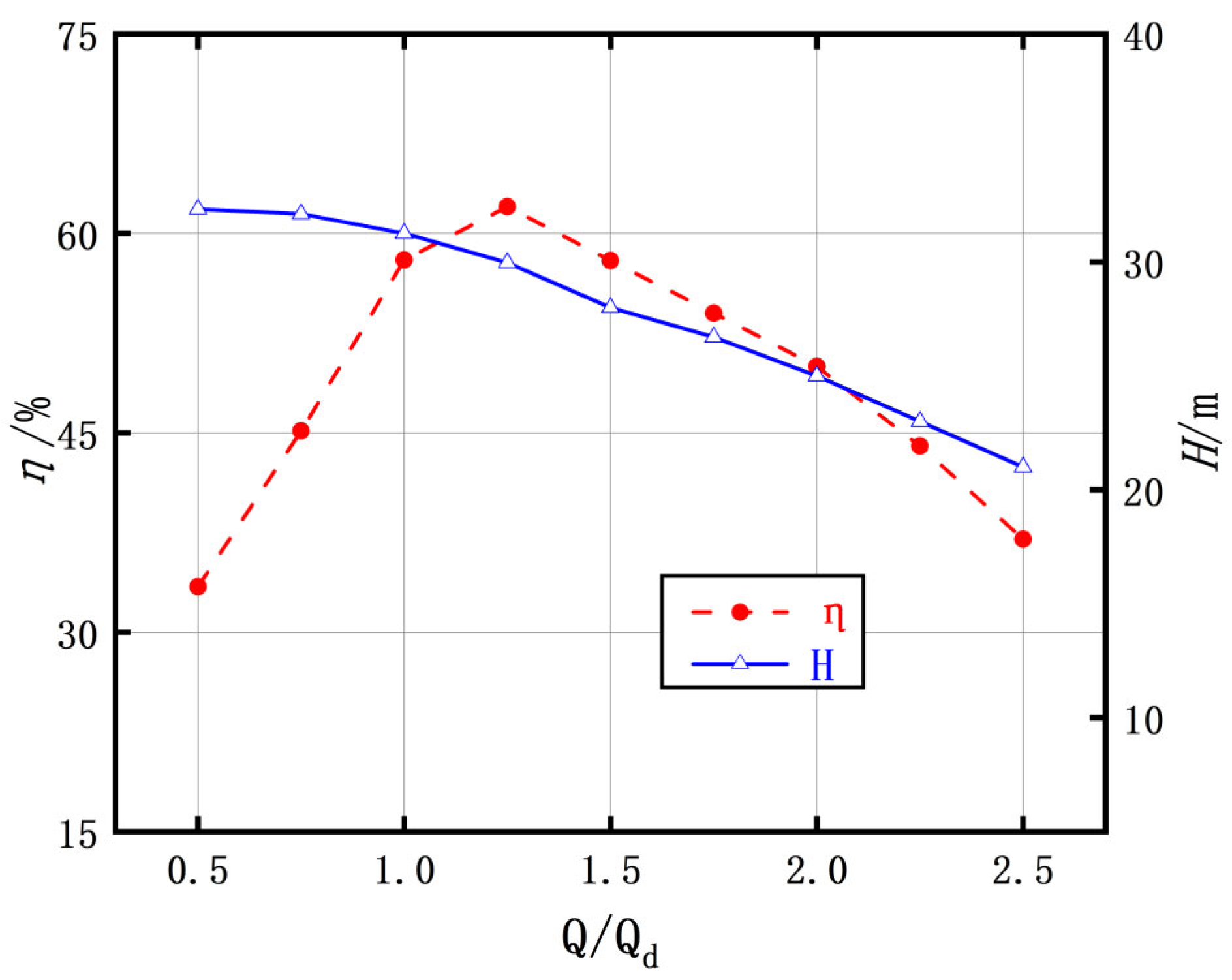
4.2. Performance Characteristics of Model Pump After Blade Profile Optimization
4.3. Internal Flow Characteristics of Model Pump After Blade Profile Optimization
4.3.1. Flow Characteristics Within Impeller Passages
4.3.2. Hydraulic Loss Within Impeller Passages
4.3.3. Vortical Flow Characteristics Within Impeller Passages
5. Conclusions
Author Contributions
Funding
Data Availability Statement
Conflicts of Interest
References
- Elkafas, A.G.; Shouman, M.R. A study of the performance of ship diesel-electric propulsion systems from an environmental, energy efficiency, and economic perspective. Mar. Technol. Soc. J. 2022, 56, 52–58. [Google Scholar] [CrossRef]
- Kalaiseivan, A.S.V.; Subramaniam, U.; Shanmugam, P.; Hanigovszki, N. A comprehensive review on energy efficiency enhancement initiatives in centrifugal pumping system. Appl. Energy 2016, 181, 495–513. [Google Scholar] [CrossRef]
- Yuan, Y.; Fang, Y.; Tang, L. Effects of non-uniform elbow inflow on the unsteady flow and energy development characteristics of a centrifugal pump. Phys. Fluids 2023, 35, 015152. [Google Scholar] [CrossRef]
- Wang, C.; Yao, Y.; Yang, Y.; Chen, X.; Wang, H.; Ge, J.; Cao, W.; Zhang, Q. Automatic optimization of centrifugal pump for energy conservation and efficiency enhancement based on response surface methodology and computational fluid dynamics. Eng. Appl. Comput. Fluid Mech. 2023, 17, 2227686. [Google Scholar] [CrossRef]
- Kan, K.; Li, Y.; Chen, H.; Gao, S.; Chen, J. A method for parameterized design and rapid optimization of axial flow pumps. Eng. Appl. Comput. Fluid Mech. 2025, 19, 2506814. [Google Scholar] [CrossRef]
- Li, Z.; Ding, H.; Shen, X.; Jiang, Y. Performance optimization of high specific speed centrifugal pump based on orthogonal experiment design method. Processes 2019, 7, 728. [Google Scholar] [CrossRef]
- Kaya, M.; Ayder, E. Prediction of cavitation performance of radial flow pumps. J. Appl. Fluid Mech. 2017, 10, 1397–1408. [Google Scholar] [CrossRef]
- Dehnavi, E.; Danlos, A.; Solis, M.; Kebdani, M.; Bakir, F. Cavitation performance of a pump with independently rotating inducer and impeller in co-rotation and counter-rotation modes by varying rotor speeds. J. Fluids Eng.-Transctions ASME 2025, 147, 061203. [Google Scholar] [CrossRef]
- Murovec, J.; Curovic, L.; Novakovic, T.; Prezelj, J. Psychoacoustic approach for cavitation detection in centrifugal pumps. Appl. Acoust. 2020, 165, 107323. [Google Scholar] [CrossRef]
- Kamino, Y.; Kanemaru, M.; Shinozuka, R.; Iwawaki, T.; Hirakida, K.; Irikiin, K.; Miyauchi, T. Cavitation detection method for pumps based on motor current signature analysis. Electr. Eng. Jpn. 2025, 145, 46–52. [Google Scholar]
- Yang, J.H.; Li, X.Y.; Cheng, D.H.; Ji, J.T.; Zhao, M.W.; Guo, W.; He, L.L. Numerical simulation for impeller structure optimization for vortex pump based on orthogonal design method. Appl. Sci. 2025, 15, 2265. [Google Scholar] [CrossRef]
- Ghamkhar, K.; Ebrahimi, A.; Shariloo, K. Wavelet analysis of the flow field around an oscillating airfoil undergoing pure pitching motion at low Reynolds number. Phys. Fluids 2023, 35, 063607. [Google Scholar] [CrossRef]
- Dönmez, A.H.; Yumurtaci, Z.; Kavurmacioglu, L. Cavitation performance enhancement of a centrifugal pump impeller based on taguchi’s orthogonal optimization. Arab. J. Sci. Eng. 2025, 50, 13869–13885. [Google Scholar] [CrossRef]
- Yang, G.; Zhang, D.S.; Shen, X.; Pan, Q.; Pang, Q.Z. Investigation on flow instability in the hump region of the large vertical centrifugal pump under cavitation conditions based on proper orthogonal decomposition. Phys. Fluids 2024, 36, 115134. [Google Scholar] [CrossRef]
- De Donno, R.; Fracassi, A.; Ghidoni, A.; Morelli, A.; Noventa, G. Surrogate-based optimization of a centrifugal pump with volute casing for an automotive engine cooling system. Appl. Sci. 2021, 11, 11470. [Google Scholar] [CrossRef]
- Guo, T.; Pan, J.; Tao, R.; Xiao, R. Optimal design of a micro reversible pump turbine for balancing generation mode and storage mode. Energy Sci. Eng. 2025, 13, 1995–2010. [Google Scholar] [CrossRef]
- Bashiri, M.; Derakhshan, S.; Shahrabi, J. Design optimization of a centrifugal pump using particle swarm optimization algorithm. Int. J. Fluid Mach. Syst. 2019, 12, 322–331. [Google Scholar] [CrossRef]
- Li, S.; Chen, H.; Wang, M.; Heidari, A.A.; Mirjalili, S. Slime Mold algorithm: A new method for stochastic optimization. Future Gener. Comput. Syst. 2020, 111, 300–323. [Google Scholar] [CrossRef]
- Layeb, A. Tangent search algorithm for solving optimization problems. Neural Comput. Appl. 2022, 34, 8853–8884. [Google Scholar] [CrossRef]
- Tu, Y.; Zhao, X.; Lu, L.; Zhou, W.; Li, S.; Dai, J.; Wang, Z.; Zheng, Y.; Yang, C. Flow characteristics and pressure pulsation analysis of cavitation induced in a double-volute centrifugal pump. Water 2025, 17, 445. [Google Scholar] [CrossRef]
- Wang, K.; Luo, G.; Li, Y.; Xia, R.; Liu, H. Multi-condition optimization and experimental verification of impeller for a marine centrifugal pump. Int. J. Nav. Archit. Ocean Eng. 2020, 12, 71–84. [Google Scholar] [CrossRef]
- McEwan, C.; Hart, E. On clonal selection. Theor. Comput. Sci. 2011, 412, 502–516. [Google Scholar] [CrossRef]
- Meng, Q.; Shen, X.; Zhao, X.; Yang, G.; Zhang, D. Numerical Investigation on Cavitation Vortex Dynamics of a Centrifugal Pump Based on Vorticity Transport Method. J. Mar. Sci. Eng. 2023, 11, 1424. [Google Scholar] [CrossRef]
- Oro, J.M.F.; Perotti, R.B.; Vega, M.G.; González, J. Effect of the radial gap size on the deterministic flow in a centrifugal pump due to impeller-tongue interactions. Energy 2023, 278, 127820. [Google Scholar] [CrossRef]
- Li, H.; Chen, Y.; Yang, Y.; Wang, S.; Bai, L.; Zhou, L. CFD simulation of centrifugal pump with different impeller blade trailing edges. J. Mar. Sci. Eng. 2023, 11, 402. [Google Scholar] [CrossRef]
- Clerc, M.; Kennedy, J. The particle swarm-explosion, stability, and convergence in a multidimensional complex space. IEEE Trans. Evol. Comput. 2002, 6, 58–73. [Google Scholar] [CrossRef]
- Zhan, Z.H.; Zhang, J.; Li, Y.; Chung, H.S. Adaptive particle swarm optimization. IEEE Trans. Syst. Man Cybern. Part B (Cybern.) 2009, 39, 1362–1381. [Google Scholar] [CrossRef] [PubMed]
- Liu, Z.; Ji, L.; Pu, W.; Li, W.; Shi, W.; Zhou, L. Research on efficiency improvement technology of wide range centrifugal pump based on genetic algorithm and internal flow loss diagnosis. Water 2024, 16, 3402. [Google Scholar] [CrossRef]
- Kock, F.; Herwig, H. Local entropy production in turbulent shear flows: A high-Reynolds number model with wall functions. Int. J. Heat Mass Transf. 2004, 47, 2205–2215. [Google Scholar] [CrossRef]
- Chong, M.S.; Perry, A.E.; Cantwell, B.J. A general classification of three-dimensional flow fields. Phys. Fluids A Fluid Dyn. 1990, 2, 765–777. [Google Scholar] [CrossRef]
- Liu, C.; Wang, Y.; Yang, Y.; Duan, Z. New omega vortex identification method. Sci. China Phys. Mech. Astron. 2019, 59, 684711. [Google Scholar] [CrossRef]
- Jiang, L.; Wang, W.; Shi, Y.; Chen, J.; Bai, L.; Zhou, L. Vortex dynamics analysis of an energy loss mechanism in a centrifugal pump impeller. Phys. Fluids 2025, 37, 025164. [Google Scholar] [CrossRef]



















| Design Parameter (s) | Value |
|---|---|
| Impeller inlet diameter Dj/m | 0.044 |
| Impeller outlet diameter D2/m | 0.159 |
| Blade outlet width b2/m | 0.0052 |
| Number of impeller blades Zim | 5 |
| Blade inlet angle (°) | 22 |
| Blade outlet angle (°) | 27.5 |
| Volute inlet width b5/m | 0.017 |
| Label | Test Function | Dimension | Theoretical z Optimum | Algorithm | Optimal Solution | SD |
|---|---|---|---|---|---|---|
| 1 | = | 10 | [0,0,…,0] | GA | 2.25 × 10−4 | 2.32 × 10−3 |
| PSO | 0 | 0 | ||||
| SMA | 0 | 0 | ||||
| CSA | 2.4 × 10−8 | 4.2 × 10−8 | ||||
| STCSA | 0 | 0 | ||||
| 2 | = | 10 | [0,0,…,0] | GA | 21.44 | 14.42 |
| PSO | 3.74 | 1.86 | ||||
| SMA | 0 | 0 | ||||
| CSA | 11.98 | 1.92 | ||||
| STCSA | 0 | 0 | ||||
| 3 | = | 10 | [0,0,…,0] | GA | 6.58 × 10−1 | 0.2 |
| PSO | 7.15 × 10−2 | 3.29 × 10−2 | ||||
| SMA | 0 | 0 | ||||
| CSA | 4.01 × 10−2 | 8.7 × 10−4 | ||||
| STCSA | 0 | 0 |
| Label | Algorithm | Convergence Success Rate | Minimum Duration of a Single Run | Maximum Duration of a Single Run | Average Duration of a Single Run |
|---|---|---|---|---|---|
| 1 | GA | 0 | 0.6786 | 0.7335 | 0.6915 |
| PSO | 100% | 0.1837 | 0.2293 | 0.192 | |
| SMA | 100% | 2.1982 | 2.2614 | 2.2096 | |
| CSA | 0 | 1.011 | 1.1255 | 1.1038 | |
| STCSA | 100% | 0.1765 | 0.2297 | 0.2014 | |
| 2 | GA | 0 | 0.6985 | 0.7605 | 0.7283 |
| PSO | 0 | 0.3818 | 0.4208 | 0.3951 | |
| SMA | 100% | 2.208 | 2.3468 | 2.2674 | |
| CSA | 0 | 1.0901 | 1.1717 | 1.1312 | |
| STCSA | 100% | 0.5864 | 0.7512 | 0.6761 | |
| 3 | GA | 0 | 0.4615 | 0.5106 | 0.4756 |
| PSO | 0 | 0.3941 | 0.5725 | 0.4875 | |
| SMA | 100% | 2.2926 | 2.9375 | 2.3364 | |
| CSA | 0 | 1.2496 | 1.3467 | 1.2641 | |
| STCSA | 100% | 0.4012 | 0.5213 | 0.4831 |
| Design Variable | Upper Bound | Lower Bound | Design Variable | Upper Bound | Lower Bound |
|---|---|---|---|---|---|
| x1 | −30 | 30 | x6 | 1 | 10 |
| x2 | −30 | 50 | x7 | 1 | 10 |
| x3 | 0 | 85 | x8 | 1 | 10 |
| x4 | 0 | 85 | x9 | 1 | 10 |
| x5 | 0 | 140 | x10 | 1 | 10 |
| 3D Model | M-Premie (1) | M-Premie (2) | M-Premie (3) | M-Premie (4) | M-Premie (5) | M (1) | M (2) | M (3) | M (4) | M (5) |
|---|---|---|---|---|---|---|---|---|---|---|
| Initial | 0 | 14.204 | 47.020 | 45.551 | 98.938 | 4.5 | 3.4 | 2.1 | 5.2 | 1.5 |
| Optimal | 8.221 | −25.569 | 7.857 | 80.714 | 118.542 | 4.7 | 3.1 | 2.4 | 2.3 | 2.0 |
Disclaimer/Publisher’s Note: The statements, opinions and data contained in all publications are solely those of the individual author(s) and contributor(s) and not of MDPI and/or the editor(s). MDPI and/or the editor(s) disclaim responsibility for any injury to people or property resulting from any ideas, methods, instructions or products referred to in the content. |
© 2026 by the authors. Licensee MDPI, Basel, Switzerland. This article is an open access article distributed under the terms and conditions of the Creative Commons Attribution (CC BY) license.
Share and Cite
Yuan, Y.; Chen, Q.; Wang, S. Optimization Design of Marine Centrifugal Pump Blade Profile Based on Hybrid Clonal Selection Algorithm Integrating Slime Mold Algorithm and Tangent Flight Mechanism. J. Mar. Sci. Eng. 2026, 14, 488. https://doi.org/10.3390/jmse14050488
Yuan Y, Chen Q, Wang S. Optimization Design of Marine Centrifugal Pump Blade Profile Based on Hybrid Clonal Selection Algorithm Integrating Slime Mold Algorithm and Tangent Flight Mechanism. Journal of Marine Science and Engineering. 2026; 14(5):488. https://doi.org/10.3390/jmse14050488
Chicago/Turabian StyleYuan, Ye, Qirui Chen, and Shifeng Wang. 2026. "Optimization Design of Marine Centrifugal Pump Blade Profile Based on Hybrid Clonal Selection Algorithm Integrating Slime Mold Algorithm and Tangent Flight Mechanism" Journal of Marine Science and Engineering 14, no. 5: 488. https://doi.org/10.3390/jmse14050488
APA StyleYuan, Y., Chen, Q., & Wang, S. (2026). Optimization Design of Marine Centrifugal Pump Blade Profile Based on Hybrid Clonal Selection Algorithm Integrating Slime Mold Algorithm and Tangent Flight Mechanism. Journal of Marine Science and Engineering, 14(5), 488. https://doi.org/10.3390/jmse14050488
