Sign in to use this feature.

Years

Between: -

Subjects

remove_circle_outline
remove_circle_outline
remove_circle_outline
remove_circle_outline
remove_circle_outline
remove_circle_outline
remove_circle_outline
remove_circle_outline
remove_circle_outline

Journals

remove_circle_outline
remove_circle_outline
remove_circle_outline
remove_circle_outline
remove_circle_outline

Article Types

Countries / Regions

remove_circle_outline
remove_circle_outline
remove_circle_outline
remove_circle_outline
remove_circle_outline
remove_circle_outline

Search Results (1,777)

Search Parameters:
Keywords = aridity index A

Order results
Result details
Results per page
Select all
Export citation of selected articles as:
24 pages, 995 KB  
Article
Climate and Competition Effects on Basal Area Growth Vary with Beech–Fir Mixture and Stand Structure
by Soraya Versace, Michele Innangi, Marco Ottaviano, Bruno Lasserre, Mirko Di Febbraro, Francesco Parisi, Marco Marchetti, Gherardo Chirici, Giovanni D’Amico, Walter Mattioli, Giancarlo Papitto and Roberto Tognetti
Forests 2026, 17(1), 11; https://doi.org/10.3390/f17010011 (registering DOI) - 21 Dec 2025
Abstract
Mixed stands enhance climate resilience and ecosystem service provision through functional diversity, but their productivity depends on intra- and interspecific competition, forest structure, stand density, and site conditions. In this study, we analyzed the effects of competition and aridity on the growth of [...] Read more.
Mixed stands enhance climate resilience and ecosystem service provision through functional diversity, but their productivity depends on intra- and interspecific competition, forest structure, stand density, and site conditions. In this study, we analyzed the effects of competition and aridity on the growth of European beech (Fagus sylvatica L.) in mixed and pure stands, using data from 38 plots of the Italian National Forest Inventory (NFI, 2015). To understand the variables influencing European beech growth, tree-level basal area increment models were applied, incorporating different competition structures (intraspecific, interspecific, size-symmetric, and size-asymmetric) and aridity index (De Martonne). Results showed that size-asymmetric intraspecific competition negatively affected European beech growth, highlighting low self-tolerance, especially in pure stands where growth was lower than in mixed stands. In mixed stands, European beech growth was shaped by size-dependent competition and the relative dominance of coexisting species, benefiting from size-asymmetric and hindered by size-symmetric interactions. Additionally, European beech growth was shaped by aridity and stand structure (Gini coefficient and density), with drought sensitivity mitigated in mixed stands and enhanced growth in structurally diverse, low-density stands. This study highlights how species interactions, aridity, and stand structure jointly shape tree growth, underscoring their importance for climate-adaptive forest management. Full article
(This article belongs to the Section Forest Ecology and Management)
37 pages, 1290 KB  
Systematic Review
Sustainability Assessment of Decentralized Hybrid Rainwater–Graywater Systems for Water Management in Arid and Semi-Arid Regions: A Systematic Review
by Fatemah Dashti, Soroosh Sharifi and Dexter V. L. Hunt
Sustainability 2026, 18(1), 89; https://doi.org/10.3390/su18010089 (registering DOI) - 21 Dec 2025
Abstract
Water management in Arid and Semi-Arid Regions (ASAR) relied on large-scale, centralized systems that expanded potable water access. However, high energy requirements, rising operational costs, and limited adaptability to climate variability now put their sustainability under question. According to this study, hybrid rainwater–graywater [...] Read more.
Water management in Arid and Semi-Arid Regions (ASAR) relied on large-scale, centralized systems that expanded potable water access. However, high energy requirements, rising operational costs, and limited adaptability to climate variability now put their sustainability under question. According to this study, hybrid rainwater–graywater systems (HRGSs) are emerging as decentralized approaches that can reduce the stress on centralized water systems, increase water supply during dry season, and lower the risk of flooding during rainy seasons. Identifying and evaluating a comprehensive sustainability framework of HRGSs for ASARs remains underexplored. To address this gap, a systematic review of literature indexed in two databases, Scopus and Engineering Village, was performed. Forty studies met the inclusion criteria and were critically appraised to delineate their scope, recurring patterns, and frameworks. Moreover, this study developed a comprehensive sustainability framework specific to the ASAR context, proposing key indicators for HRGS evaluation across environmental, economic, and social aspects with their indicators. Proposing a new sustainability framework provides a basis for guiding future research, technology design, and policy development aimed at implementing HRGS in ASAR contexts. Full article
(This article belongs to the Section Sustainable Water Management)
18 pages, 1376 KB  
Article
Analysis of the Distribution of Epiphytic Corticolous Lichens in the Forests Along an Altitudinal Gradient in Barluk Mountain National Nature Reserve in Xinjiang, China
by Nasima Ablimit, Reyhangul Mamatali, Dolathan Toksun, Muhammad Shahid Iqbal and Anwar Tumur
Diversity 2026, 18(1), 2; https://doi.org/10.3390/d18010002 - 19 Dec 2025
Abstract
Epiphytic corticolous lichens are vital components of forest ecosystems, yet their species composition and distribution patterns along altitudinal gradients in the Populus tremula forests of Barluk Mountain National Nature Reserve, Xinjiang, China, remain understudied. This study analyzes the diversity and distribution of epiphytic [...] Read more.
Epiphytic corticolous lichens are vital components of forest ecosystems, yet their species composition and distribution patterns along altitudinal gradients in the Populus tremula forests of Barluk Mountain National Nature Reserve, Xinjiang, China, remain understudied. This study analyzes the diversity and distribution of epiphytic corticolous lichens in these forests along an altitudinal gradient. Field research was conducted at six sites (940–1450 m) from June to July 2023–2024, with samples collected from 576 quadrats on 48 Populus tremula trees. Lichen identification involved morphological, anatomical, and chemical analyses. Data on cover and frequency were analyzed to calculate importance values (IV), diversity indices, and floristic similarity (Sørensen’s index). NMDS and TWINSPAN were used to explore distribution patterns along the altitude gradient. In total, 28 epiphytic lichen species were identified, with diversity indices peaking at 1040 m. Dominant species exhibited significant variations in IV across altitudes (P < 0.05), and NMDS/TWINSPAN revealed distinct community clustering associated with elevation. Sørensen’s index indicated a low similarity (<30%) between the highest and lowest altitude sites. This study provides a baseline for biodiversity conservation and forest management in arid and semi-arid land mountain ecosystems. Full article
(This article belongs to the Section Microbial Diversity and Culture Collections)
Show Figures

Graphical abstract

25 pages, 1813 KB  
Article
Identifying Biodiversity-Based Indicators for Regulating Ecosystem Services in Constructed Wetlands
by Marvin John Uy, Miguel Enrico Robles, Yugyeong Oh and Lee-Hyung Kim
Appl. Sci. 2026, 16(1), 7; https://doi.org/10.3390/app16010007 - 19 Dec 2025
Viewed by 16
Abstract
Constructed wetlands (CWs) are nature-based solutions that integrate ecological processes for water purification, climate regulation, and biodiversity enhancement. However, biodiversity monitoring in CWs has often been underprioritized, limiting its recognition as a functional driver of ecosystem service performance. This study first developed the [...] Read more.
Constructed wetlands (CWs) are nature-based solutions that integrate ecological processes for water purification, climate regulation, and biodiversity enhancement. However, biodiversity monitoring in CWs has often been underprioritized, limiting its recognition as a functional driver of ecosystem service performance. This study first developed the Biodiversity-based Ecosystem Service Index (BBESI), a hierarchical framework for evaluating biodiversity contributions to regulating services, and then systematically identified representative indicators from the literature to operationalize this framework. Following PRISMA 2020 guidelines, 39 studies spanning tropical, temperate, and arid climatic regions were reviewed across six ecosystem functions: pollutant removal, nutrient retention, biological uptake, carbon storage, greenhouse gas regulation, and microclimate control. Indicators were considered representative when they demonstrated clear functional relevance to CW ecosystem processes and were repeatedly supported across the reviewed studies. These included microbial diversity metrics, nutrient-cycling functional genes, plant–microbe functional complementarity, and vegetation structural attributes. Each indicator was mapped to the Essential Biodiversity Variables (EBV) framework, spanning Genetic Composition, Species Traits, Community Composition, Ecosystem Structure, and Ecosystem Function to provide a standardized basis for biodiversity assessment, using a rule-based assignment that prioritized the biological signal of each indicator rather than its functional category. Although all EBV classes were represented, this pattern reflects the available literature and is influenced by uneven reporting across microbial and plant indicators and across climatic regions, which limits broad generalization of indicator strength. The BBESI offers a transferable framework because its EBV-aligned structure and commonly measured indicators allow application across diverse CW designs and environmental contexts provided that multiple EBV co-signals are present rather than reliance on single-indicator measurements, with flexibility for future integration of various quantitative weighting approaches. Full article
(This article belongs to the Special Issue Advanced Research and Analysis of Environmental Microbiomes)
Show Figures

Figure 1

22 pages, 4884 KB  
Article
Integrating Microtopographic Engineering with Native Plant Functional Diversity to Support Restoration of Degraded Arid Ecosystems
by Yassine Fendane, Mohamed Djamel Miara, Hassan Boukcim, Sami D. Almalki, Shauna K. Rees, Abdalsamad Aldabaa, Ayman Abdulkareem and Ahmed H. Mohamed
Land 2025, 14(12), 2445; https://doi.org/10.3390/land14122445 - 18 Dec 2025
Viewed by 44
Abstract
Active restoration structures such as microtopographic water-harvesting designs are widely implemented in dryland ecosystems to improve soil moisture, reduce erosion, and promote vegetation recovery. We assessed the combined effects of planted species identity, planting diversity (mono-, bi- and multi-species mixtures), and micro-catchment (half-moon) [...] Read more.
Active restoration structures such as microtopographic water-harvesting designs are widely implemented in dryland ecosystems to improve soil moisture, reduce erosion, and promote vegetation recovery. We assessed the combined effects of planted species identity, planting diversity (mono-, bi- and multi-species mixtures), and micro-catchment (half-moon) structures on seedling performance and spontaneous natural regeneration in a hyper-arid restoration pilot site in Sharaan National Park, northwest Saudi Arabia. Thirteen native plant species, of which four—Ochradenus baccatus, Haloxylon persicum, Haloxylon salicornicum, and Acacia gerrardii—formed the dominant planted treatments, were established in 18 half-moons and monitored for survival, growth, and natural recruitment. Seedling survival after 20 months differed significantly among planting treatments, increasing from 58% in mono-plantings to 69% in bi-plantings and 82% in multi-plantings (binomial GLMM, p < 0.001), indicating a positive effect of planting diversity on establishment. Growth traits (height, collar diameter, and crown dimensions) were synthesized into an Overall Growth Index (OGI) and an entropy-weighted OGI (EW-OGI). Mixed-effects models revealed strong species effects on both indices (F12,369 ≈ 7.2, p < 0.001), with O. baccatus and H. persicum outperforming other taxa and cluster analysis separating “fast expanders”, “moderate growers”, and “decliners”. Trait-based modeling showed that lateral crown expansion was the main driver of overall performance, whereas stem thickening and fruit production contributed little. Between 2022 and 2024, half-moon soils exhibited reduced electrical conductivity and exchangeable Na, higher organic carbon, and doubled available P, consistent with emerging positive soil–plant feedbacks. Spontaneous recruits were dominated by perennials (≈67% of richness), with perennial dominance increasing from mono- to multi-plantings, although Shannon diversity differences among treatments were small and non-significant. The correlation between OGI and spontaneous richness was positive but weak (r = 0.29, p = 0.25), yet plots dominated by O. baccatus hosted nearly two additional spontaneous species relative to other plantings, highlighting its strong facilitative role. Overall, our results show that half-moon micro-catchments, especially when combined with functionally diverse native plantings, can simultaneously improve soil properties and promote biotic facilitation, fostering a transition from active intervention to passive, self-sustaining restoration in hyper-arid environments. Full article
Show Figures

Figure 1

32 pages, 6040 KB  
Article
Exploring Phenological and Agronomic Parameters of Greek Lentil Landraces for Developing Climate-Resilient Cultivars Adapted to Mediterranean Conditions
by Iakovina Bakoulopoulou, Ioannis Roussis, Ioanna Kakabouki, Evangelia Tigka, Panteleimon Stavropoulos, Antonios Mavroeidis, Stella Karydogianni, Dimitrios Bilalis and Panayiota Papastylianou
Crops 2025, 5(6), 91; https://doi.org/10.3390/crops5060091 - 17 Dec 2025
Viewed by 71
Abstract
Lentil (Lens culinaris Medik. subsp. culinaris) is a Mediterranean legume crop of high value due to nutritional quality and adaptability; however, its cultivation is increasingly threatened due to climate uncertainty and reduction in genetic diversity in modern cultivars. The present research [...] Read more.
Lentil (Lens culinaris Medik. subsp. culinaris) is a Mediterranean legume crop of high value due to nutritional quality and adaptability; however, its cultivation is increasingly threatened due to climate uncertainty and reduction in genetic diversity in modern cultivars. The present research study evaluated 31 Greek lentil accessions (twenty-two landraces and nine commercial cultivars of both small and large seed types) in a semi-arid environment of Central Greece, over two cropping seasons, focusing on phenological, morphological, yield, and quality traits. The great diversity observed at the morpho-phenological and qualitative levels implies the high genotypic diversity of these genetic resources. Small-seeded landraces performed better in seed and biological yield, harvest index, and protein content, having greater phenological stability and tolerance to the Mediterranean environments. In particular, the highest seed yield was observed in LAX small-seeded landrace (1930 kg ha−1), followed by TSO (1559 kg ha−1), DIG (1449 kg ha−1), and EGL (1437 kg ha−1) small-seeded landraces. As for the regression analysis, seed yield was positively correlated with days to flowering (TF: r = 0.076, p < 0.01), plant height (PH: r = 0.143, p < 0.05), number of pods per plant (NPP: r = 0.941, p < 0.001), number of seeds per pod (NPP: r = 0.432, p < 0.001), number of branches (NPB: r = 0.234, p < 0.01), biological yield (BY: r = 0.683, p < 0.001), and harvest index (HI: r = 0.650, p < 0.001). Principal component analysis (PCA) distinguished small-seeded landraces associated with adaptive and yield traits from large-seeded cultivars associated with seed size. Greek lentil landraces, especially the small-seeded genotypes (e.g., LAX and DIG), have great potential for use in the development of climate-tolerant and high-yielding lentil varieties adapted for sustainable Mediterranean production. Breeding programs can target the crossing of landraces with large-seeded cultivars (e.g., IKAm and THEm) to develop varieties that combine stress tolerance, adaptation, and high productivity with adaptation to different seed sizes. Subsequent studies on drought tolerance and heat resistance are still important for continued improvement in lentil productivity in a changing climate. Full article
Show Figures

Figure 1

15 pages, 1758 KB  
Article
Competitive Interactions Among Populus euphratica Seedlings Intensify Under Drought and Salt Stresses
by Xiao-Hui Li, Xue-Ni Zhang, Shuang-Fu Zhou, Hui-Xia Li and Yu-Fei Chen
Plants 2025, 14(24), 3842; https://doi.org/10.3390/plants14243842 - 17 Dec 2025
Viewed by 106
Abstract
Plant interactions and their responses to stress environments are important ecological processes for ecosystem stability and biodiversity formation, but how plant intraspecific relationships respond to environmental stresses remains to be studied in depth. In this study, annual Populus euphratica seedlings were planted in [...] Read more.
Plant interactions and their responses to stress environments are important ecological processes for ecosystem stability and biodiversity formation, but how plant intraspecific relationships respond to environmental stresses remains to be studied in depth. In this study, annual Populus euphratica seedlings were planted in singles or doubles, and two stress treatments were set up: two drought levels (0.7 and 0.4 L) and two salinity levels (200 and 400 mmol L−1). P. euphratica seedlings’ total and part biomass, root/shoot ratio, net photosynthetic rate, stomatal conductance, nonstructural carbohydrate concentration, and proline content were measured. Relative interaction indices were calculated to clarify their intraspecific relationships. The results of the study showed that compared to the single-planted P. euphratica, the double-planted P. euphratica was more significantly inhibited by drought and salt stress, the total biomass decreased, photosynthesis declined, proline content increased, and non-structural carbohydrates changed, which reflected a competitive intraspecific relationship. Secondly, as drought and salt stress intensified, the relative interaction index indicated that the intraspecific relationship of P. euphratica seedlings gradually shifted from neutrality to competition, which indicated that the intraspecific competitive relationship of P. euphratica seedlings was exacerbated by environmental stresses. These findings highlight the need to account for stress-mediated competition in P. euphratica seedlings during ecological restoration in arid environments. Full article
(This article belongs to the Section Plant Response to Abiotic Stress and Climate Change)
Show Figures

Figure 1

19 pages, 11058 KB  
Article
Extreme Climate Drivers and Their Interactions in Lightning-Ignited Fires: Insights from Machine Learning Models
by Yu Wang, Yingda Wu, Huanjia Cui, Yilin Liu, Maolin Li, Xinyu Yang, Jikai Zhao and Qiang Yu
Forests 2025, 16(12), 1861; https://doi.org/10.3390/f16121861 - 16 Dec 2025
Viewed by 117
Abstract
Lightning is the primary natural cause of wildfires in mid- to high-latitude forests, and it is increasing in frequency under climate change. Traditional fire danger forecasts, reliant on standard meteorological data, often fail to capture extreme events and future risk. To address this [...] Read more.
Lightning is the primary natural cause of wildfires in mid- to high-latitude forests, and it is increasing in frequency under climate change. Traditional fire danger forecasts, reliant on standard meteorological data, often fail to capture extreme events and future risk. To address this issue, we integrate extreme climate indices with meteorological, vegetation, soil, and topographic data, and apply four machine learning methods to build probabilistic models for lightning fire occurrence. The results show that incorporating extreme climate indices significantly improves model performance. Among the models, XGBoost achieved the highest accuracy (87.4%) and AUC (0.903), clearly outperforming traditional fire weather indices (accuracy 60%–71%). Model interpretation with SHapley Additive exPlanations (SHAP) further revealed the driving mechanisms and interaction effects of extreme factors. Extreme temperature and precipitation indices contributed nearly 60% to fire occurrence, with growing season length (GSL), minimum of daily maximum temperature (TXn), diurnal temperature range (DTR), and warm spell duration index (WSDI) identified as key drivers. In contrast, heavy precipitation indices exerted a suppressing effect. Compound hot and dry conditions amplified fuel aridity and markedly increased ignition probability. This interpretable framework improves short-term lightning fire prediction and offers quantitative support for risk warning and resource allocation in a warming climate. Full article
(This article belongs to the Special Issue Forest Fire Detection, Prevention and Management)
Show Figures

Figure 1

18 pages, 2611 KB  
Article
Nitrogen Matters: Assessing the Effects of Nitrogen Fertilization on Maize Growth and Grain Productivity
by Nasratullah Habibi, Zarir Sharaf, Mohammad Yousuf Fakoor, Shafiqullah Aryan, Abdul Basir Mahmoodzada, Amruddin Fakhri and Shah Mahmoud Faqiri
Nitrogen 2025, 6(4), 115; https://doi.org/10.3390/nitrogen6040115 - 16 Dec 2025
Viewed by 253
Abstract
Nitrogen deficiency is a major constraint on maize (Zea mays L.) productivity in Afghanistan, where poor soil fertility limits yields. This study investigated the effect of urea fertilizer on maize growth, physiology, and yield under semi-arid conditions in Balkh Province with a [...] Read more.
Nitrogen deficiency is a major constraint on maize (Zea mays L.) productivity in Afghanistan, where poor soil fertility limits yields. This study investigated the effect of urea fertilizer on maize growth, physiology, and yield under semi-arid conditions in Balkh Province with a Calcisols soil type, focusing on maize cultivated for grain production. A field experiment was conducted in 2019 using a randomized complete block design with three replications and four nitrogen levels: 0 (control), 38.4, 76.8, and 115.2 kg ha−1. The region consists of fertile alluvial plains suitable for crop cultivation, though maize productivity is constrained by soil nutrient limitations, especially nitrogen deficiency. The soil at the experimental site is silty loam in texture, moderately fertile with alkaline pH (8.1), low organic matter (0.5%), and limited available nitrogen (15 mg kg−1). Growth traits (plant height, leaf number, leaf area, SPAD value), physiological parameters (leaf area index, crop growth rate, biomass), and yield components (cob length, cob diameter, seed number, 100-seed weight, biological yield, and Brix content) were recorded. Results showed that nitrogen application significantly improved all traits compared to the control. The highest values for plant height (260.2 cm), cob length (31.67 cm), biological yield (216.6 t ha−1), and Brix content (8.6%) were observed at 115.2 kg ha−1, although 76.8 kg ha−1 produced nearly similar results. Correlation analysis revealed strong positive associations between SPAD values, vegetative traits, and yield. The findings indicate that 115.2 kg ha−1 urea is an efficient and practical nitrogen rate for enhancing maize productivity under Afghan conditions. Full article
(This article belongs to the Special Issue Nitrogen Management in Plant Cultivation)
Show Figures

Figure 1

14 pages, 2123 KB  
Article
Groundwater Nitrate Contamination and Age-Specific Health Risks in Semi-Urban Northeastern Areas of Saudi Arabia
by Al Mamun, Amira Salman Alazmi, Maha Alruwaili, Sagar Bhandari and Hatim O. Sharif
Urban Sci. 2025, 9(12), 538; https://doi.org/10.3390/urbansci9120538 - 13 Dec 2025
Viewed by 138
Abstract
Nitrate in groundwater (GW) poses a public-health concern in semi-urban northeastern Saudi Arabia, where households rely on untreated wells. We measured nitrate in 45 wells spanning treated/untreated commercial stations, private domestic wells, and agricultural wells, and linked contamination severity to age-specific risks using [...] Read more.
Nitrate in groundwater (GW) poses a public-health concern in semi-urban northeastern Saudi Arabia, where households rely on untreated wells. We measured nitrate in 45 wells spanning treated/untreated commercial stations, private domestic wells, and agricultural wells, and linked contamination severity to age-specific risks using the Nitrate Pollution Index (NPI), Chronic Daily Intake (CDI), and Hazard Quotient (HQ). Nitrate ranged from 12 to 380 mg·L−1 (35% > 50 mg·L−1 World Health Organization (WHO) guideline), with untreated private and agricultural wells most affected. Based on NPI, 65% of wells were “clean”, while 18% showed significant to very significant pollution. Infants and children had the highest exposure: CDI frequently exceeded the oral reference dose (1.6 mg·kg−1·d−1), and HQ > 1 occurred in 56% (infants) and 51% (children) of samples from untreated sources. Treated stations consistently achieved lower nitrate and HQ < 1. Sensitivity analysis identified nitrate concentration as the dominant risk driver, followed by ingestion rate, with body weight mitigating the dose. The findings suggest that monitoring based solely on compliance may underestimate risks in sensitive age groups, thereby advocating for immediate actions such as fertilizer management, septic system upgrades, extension of treatment to vulnerable households, and community monitoring. The integrated NPI–CDI–HQ framework provides a replicable methodology for associating groundwater contamination with demographic-specific health risks in arid, water-stressed regions. Full article
Show Figures

Graphical abstract

18 pages, 2075 KB  
Article
A Spatial Framework for Assessing Irrigation Water Use in Overexploited Mediterranean Aquifers
by Esther López-Pérez, Juan Manzano-Juarez, Miguel Angel Jiménez-Bello, Alberto García-Prats, Carles Sanchis-Ibor, Adrià Rubio-Martín, Fatima Zahrae Boubekri, Abdellah Kajji, Paolo Tufoni, Luís Miguel Nunes and Manuel Pulido-Velazquez
Remote Sens. 2025, 17(24), 4019; https://doi.org/10.3390/rs17244019 - 12 Dec 2025
Viewed by 235
Abstract
Irrigated agriculture in Mediterranean semi-arid regions is increasingly constrained by aquifer depletion and climate change. Enhancing water use efficiency in the irrigation of perennial crops is essential for long-term agricultural sustainability. This study introduces a Spatial Irrigation Adequacy Index (SIAI), a normalized index [...] Read more.
Irrigated agriculture in Mediterranean semi-arid regions is increasingly constrained by aquifer depletion and climate change. Enhancing water use efficiency in the irrigation of perennial crops is essential for long-term agricultural sustainability. This study introduces a Spatial Irrigation Adequacy Index (SIAI), a normalized index expressing the deviation between actual evapotranspiration (ETa) and Crop Water Requirements (CWR). The framework was applied to assess irrigation performance in grapevine (Vitis vinifera), apple orchards (Malus domestica) and citrus tress (Citrus sinensis) across three groundwater-dependent systems: Requena-Utiel (Spain), Ain Timguenai (Morocco), and Campina de Faro (Portugal). ETa was estimated using Landsat 8 and 9 imageries processed with the SSEBop model, while crop water demand was calculated with the FAO-56 dual crop coefficient method incorporating site-specific agroclimatic data. Results revealed distinct crop-specific irrigation patterns: grapevines achieved near-optimal water use, apple orchards were generally over-irrigated, and citrus groves experienced persistent deficits. The framework enables scalable, transferable assessments of irrigation performance, supporting sustainable water management and adaptive irrigation under climate variability, with potential applications in digital farm management systems, water authority decision-making, and corporate ESG reporting frameworks. Full article
Show Figures

Figure 1

24 pages, 29134 KB  
Article
Climate-Driven Futures of Olive (Olea europaea L.): Machine Learning-Based Ensemble Species Distribution Modelling of Northward Shifts Under Aridity Stress
by Muhammed Mustafa Özdel, Beyza Ustaoğlu and İsa Cürebal
Plants 2025, 14(24), 3774; https://doi.org/10.3390/plants14243774 - 11 Dec 2025
Viewed by 456
Abstract
With its millennia-long agricultural history, Olive (Olea europaea L.) is one of the most strategic crops of the Mediterranean basin and a key component of the Turkish economy. This study assessed the effects of climate change on the potential distribution of olive [...] Read more.
With its millennia-long agricultural history, Olive (Olea europaea L.) is one of the most strategic crops of the Mediterranean basin and a key component of the Turkish economy. This study assessed the effects of climate change on the potential distribution of olive in Türkiye using machine learning-based species distribution models (SDMs). Analyses were conducted using the 1970–2000 reference period and future projections for 2041–2060 and 2081–2100 under the SSP2-–4.5 and SSP5–8.5 scenarios, incorporating bioclimatic variables as well as topographic factors such as elevation, slope, and aspect. The model showed strong predictive performance (AUC = 0.93; TSS = 0.77) and identified elevation, winter precipitation (Bio19), and mean temperature of driest quarter (Bio9) as the primary variables influencing the distribution of olive trees. Model results predict a significant shift in suitable areas for olive cultivation, both northward—from the traditional Aegean and Mediterranean coastal belt toward the Marmara and Black Sea regions—and upward in elevation into higher-altitude inland areas. High-suitability areas, which accounted for 4.4% of Türkiye’s land area during the reference period, are projected to decline to 0.2% by the end of the century under the SSP5–8.5 scenario. UNEP Aridity Index analyses indicate increasing aridity pressure on olive habitats. While 87.2% of suitable habitats were classified as sub-humid in the reference period, projections for 2081–2100 under SSP5–8.5 suggest that 40.1% of these areas will shift to dry sub-humid and 26.4% to semi-arid conditions. Full article
Show Figures

Graphical abstract

22 pages, 2167 KB  
Article
Assessment of Boron Phytotoxicity Risk and Its Relationship with Sodicity and Major Cations in Irrigation Groundwater from the La Yarada Los Palos Coastal Agroecosystem, Caplina Basin, Tacna, Peru
by Luis Johnson Paúl Mori Sosa, Dante Ulises Morales Cabrera and Walter Dimas Florez Ponce De León
Sustainability 2025, 17(24), 11104; https://doi.org/10.3390/su172411104 - 11 Dec 2025
Viewed by 141
Abstract
Across ten months of monitoring (1 October 2024–1 July 2025) at three drilled irrigation wells in the La Yarada Los Palos coastal aquifer, this study evaluates boron phytotoxicity risk and its interaction with salinity and sodicity in a hyper-arid coastal agroecosystem. Groundwater samples [...] Read more.
Across ten months of monitoring (1 October 2024–1 July 2025) at three drilled irrigation wells in the La Yarada Los Palos coastal aquifer, this study evaluates boron phytotoxicity risk and its interaction with salinity and sodicity in a hyper-arid coastal agroecosystem. Groundwater samples (n = 10 per well; n = 30) were analyzed for boron, major cations (Ca2+, Mg2+, Na+, K+) and EC. Salinity–sodicity indices (EC-based classes, SAR, Kelly Index, %Na, Mg/Ca ratio) were computed, and relationships among boron, cations, and EC/TDS were examined using correlation analysis and principal components. Boron concentrations ranged from 1.18 to 2.47 mg/L; all samples exceeded the FAO guideline for sensitive crops (0.7 mg/L), and 56.7% were ≥1.5 mg/L. Southern Border exhibited the highest boron (mean ≈ 2.10 mg/L), Ashlands intermediate (≈1.65 mg/L), and Bio Garden Los Palos the lowest (≈1.35 mg/L). EC remained ≈1–1.5 dS/m at Southern Border and Bio Garden Los Palos but reached ≈3–4 dS/m at Ashlands; all SAR values were <9, indicating low sodicity risk. Spearman correlations revealed weak associations between boron and EC/TDS, but moderate positive correlations with Ca2+ and Mg2+, highlighting partly decoupled controls on boron and salinity. For tolerant crops such as olive and orange, and more sensitive ones such as oregano and quinoa, these conditions imply risks that require combined management of salinity, boron, and cation balance. A risk-based monitoring scheme centered on EC, SAR, boron, and Ca–Mg–Na ratios is proposed to support irrigation decisions in La Yarada Los Palos and similar hyper-arid coastal agroecosystems. Full article
Show Figures

Figure 1

19 pages, 6099 KB  
Article
Multi-Scale Assessment and Prediction of Drought: A Case Study in the Arid Area of Northwest China
by Tingting Pan, Yang Wang, Yaning Chen, Jiayou Wang and Meiqing Feng
Remote Sens. 2025, 17(24), 3985; https://doi.org/10.3390/rs17243985 - 10 Dec 2025
Viewed by 257
Abstract
Accurate prediction of meteorological drought is essential for climate adaptation and sustainable water management in arid regions. Using the Standardized Precipitation Evapotranspiration Index (SPEI) derived from 1962–2021 meteorological observations, this study analyzed multi-scale drought evolution in the Arid Area of Northwest China (AANC) [...] Read more.
Accurate prediction of meteorological drought is essential for climate adaptation and sustainable water management in arid regions. Using the Standardized Precipitation Evapotranspiration Index (SPEI) derived from 1962–2021 meteorological observations, this study analyzed multi-scale drought evolution in the Arid Area of Northwest China (AANC) and revealed a distinct shift from wetting to drying after the 1997 abrupt warming. Correlation analysis indicated that the rapid temperature rise significantly enhanced evapotranspiration, offsetting the humidification effect of precipitation. To improve predictive performance, a Stacking ensemble framework was developed by integrating Elastic Network, Random Forest, and Prophet + XGBoost models, with the outputs of the base learners serving as inputs to a meta-regression layer. Compared with single models (NSE ≤ 0.742), the integrated model achieved superior accuracy (NSE = 0.886, MAE = 0.236, RMSE = 0.214), and its residuals followed a near-normal distribution, indicating high robustness. Future projections for 2022–2035 show consistent declines in SPEI1, SPEI3, SPEI6, SPEI12, and SPEI24, suggesting that the AANC will experience increasingly frequent and severe droughts as warming-induced evaporation continues to outweigh the humidification effect of precipitation. This integrated framework enhances drought predictability and provides theoretical support for climate risk assessment and adaptive water management in arid environments. Full article
Show Figures

Figure 1

18 pages, 4800 KB  
Article
From Soil to Wine: Influence of Vegetative Covers on Microbial Communities and Fermentative Dynamics in Cabernet Sauvignon
by Gerardo Leal, Joan Miquel Canals, Gemma Beltran, Álvaro Peña-Neira, Carla Jara, Jaime Romero, Carolina Ramírez and René Sanz
Microorganisms 2025, 13(12), 2804; https://doi.org/10.3390/microorganisms13122804 - 9 Dec 2025
Viewed by 161
Abstract
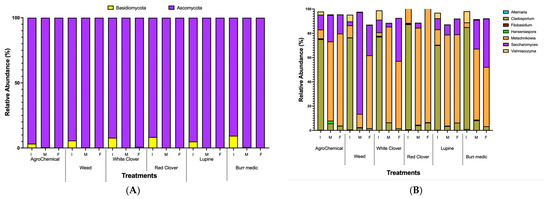
The implementation of vegetative cover crops in vineyards is a sustainable alternative to chemical weed control, potentially influencing both soil fertility and grape-associated microbiota. This study evaluated the impact of six groundcover management strategies under vines—white clover (Trifolium repens), red clover [...] Read more.
The implementation of vegetative cover crops in vineyards is a sustainable alternative to chemical weed control, potentially influencing both soil fertility and grape-associated microbiota. This study evaluated the impact of six groundcover management strategies under vines—white clover (Trifolium repens), red clover (Trifolium pratense), burr medic (Medicago polymorpha), lupine (Lupinus albus), spontaneous weeds, and an herbicide-treated control—on the microbial dynamics and physicochemical properties of Cabernet Sauvignon must and wine from the Maipo Valley, Chile. Amplicon sequencing of bacterial (16S rRNA) and fungal (ITS) communities was combined with spontaneous fermentation trials and chemical analyses of must and wine. Fungal and bacterial communities on grape surfaces were dominated by Ascomycota and Proteobacteria, respectively, with no significant compositional differences among treatments. During fermentation, Metschnikowia and Tatumella were the most abundant non-Saccharomyces and bacterial genera, respectively, showing dynamic shifts across fermentation stages. Legume-based covers, particularly red clover, increased wine total acidity and polyphenol index while reducing pH. Correlation analyses revealed associations between specific microbial taxa (Metschnikowia, Cohnella, Saliterribacillus) and key enological parameters. Overall, these findings demonstrate that leguminous cover crops subtly modulate vineyard microbial ecology and fermentation outcomes, offering an environmentally sustainable pathway to enhance enological differentiation in semi-arid viticultural regions. Full article
(This article belongs to the Special Issue Wine Fermentation Microorganisms)
Show Figures

Figure 1

Back to TopTop