Sign in to use this feature.

Years

Between: -

Subjects

remove_circle_outline
remove_circle_outline
remove_circle_outline
remove_circle_outline
remove_circle_outline
remove_circle_outline
remove_circle_outline
remove_circle_outline
remove_circle_outline

Journals

remove_circle_outline
remove_circle_outline
remove_circle_outline

Article Types

Countries / Regions

remove_circle_outline
remove_circle_outline
remove_circle_outline
remove_circle_outline
remove_circle_outline

Search Results (303)

Search Parameters:
Keywords = archaeological record

Order results
Result details
Results per page
Select all
Export citation of selected articles as:
29 pages, 37031 KB  
Article
Digital Replicas and 3D Virtual Reconstructions for Large Excavations in Urban Archaeology: Methods, Tools, and Techniques Drawn from the “Metro C” Case Study in Rome
by Emanuel Demetrescu, Daniele Ferdani, Bruno Fanini, Enzo D’Annibale, Simone Berto, Simona Morretta and Rossella Rea
Remote Sens. 2026, 18(2), 203; https://doi.org/10.3390/rs18020203 - 8 Jan 2026
Viewed by 329
Abstract
This contribution presents an integrated methodological pipeline for digital documentation and virtual reconstruction of large-scale urban archaeological excavations, developed through the Amba Aradam case study (Metro C line, Rome). The excavation revealed a 2nd-century A.D. military complex extending over 4770 m2 at [...] Read more.
This contribution presents an integrated methodological pipeline for digital documentation and virtual reconstruction of large-scale urban archaeological excavations, developed through the Amba Aradam case study (Metro C line, Rome). The excavation revealed a 2nd-century A.D. military complex extending over 4770 m2 at depths reaching 20 m, documented through multiple photogrammetric campaigns (2016–2018) as structures were progressively excavated and removed. We established an empirically validated texture density standard (1.26 mm2/texel) for photorealistic digital replicas suitable for immersive HMD and desktop exploration, with an explicit texture density calculation formula ensuring reproducibility. The temporal integration workflow merged 3D snapshots acquired across three excavation campaigns while maintaining geometric and chromatic consistency. Semantic documentation, through the extended matrix framework, recorded Virtual Stratigraphic Units linking archaeological evidence, comparative sources, and interpretative reasoning (paradata) for transparent virtual reconstruction. The complete pipeline, implemented through open-source 3DSC 1.4 and EMtools add-ons for Blender and Metashape v0.9 (available on GitHub), addresses specific challenges of documenting complex stratigraphic contexts within active construction environments where in situ preservation is not feasible. The spatial integration of the digital replica with previous archaeological data illuminated the urban evolution of Rome’s military topography during the 2nd–3rd centuries A.D., demonstrating the essential role of advanced digital documentation in contemporary urban archaeology. Full article
Show Figures

Figure 1

28 pages, 73215 KB  
Article
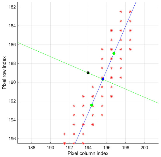
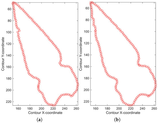
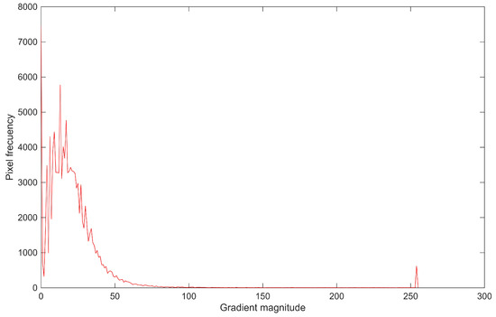
Linear-Region-Based Contour Tracking for Edge Images
by Erick Huitrón-Ramírez, Leonel G. Corona-Ramírez and Diego Jiménez-Badillo
Appl. Sci. 2026, 16(1), 509; https://doi.org/10.3390/app16010509 - 4 Jan 2026
Viewed by 406
Abstract
This work presents the Linear-Region-Based Contour Tracking (LRCT) method for extracting external contours in images, designed to achieve an accurate and efficient description of shapes, particularly useful for archaeological materials with irregular geometries. The approach treats the contour as a discrete signal and [...] Read more.
This work presents the Linear-Region-Based Contour Tracking (LRCT) method for extracting external contours in images, designed to achieve an accurate and efficient description of shapes, particularly useful for archaeological materials with irregular geometries. The approach treats the contour as a discrete signal and analyzes image regions containing edge segments. From these regions, a local linear model is estimated to guide the selection and chaining of representative pixels, yielding a continuous perimeter trajectory. This strategy reduces the amount of data required to describe the contour without compromising shape fidelity. As a case study, the method was applied to images of replicas of archaeological materials exhibiting substantial variations in color and morphology. The results show that the obtained trajectories are comparable in quality to those obtained using classical pipelines based on Canny edge detection followed by Moore tracing, while providing more compact representations well suited for subsequent analyses. Consequently, the method offers an efficient and reproducible alternative for documentation, recording, and morphological comparison, strengthening data-driven approaches in archaeological research. Full article
(This article belongs to the Special Issue Applications in Computer Vision and Image Processing)
Show Figures

Figure 1

16 pages, 3934 KB  
Article
Monstrous Figurines, of BMAC, and the Dragon Myth: From a Meteoritic Headband to Rig Veda Mythology
by Albert Jambon
Heritage 2025, 8(12), 539; https://doi.org/10.3390/heritage8120539 - 17 Dec 2025
Viewed by 435
Abstract
Oxus “Scarface”, a small statuette from the Bactria–Margiana Archaeological Complex culture (Middle Bronze Age of Central Asia) preserved at the Metropolitan Museum (New York), wears a meteoritic iron headband like a comparable specimen preserved in Le Louvre Museum (Paris), as shown by XRF [...] Read more.
Oxus “Scarface”, a small statuette from the Bactria–Margiana Archaeological Complex culture (Middle Bronze Age of Central Asia) preserved at the Metropolitan Museum (New York), wears a meteoritic iron headband like a comparable specimen preserved in Le Louvre Museum (Paris), as shown by XRF analyses of the headband. This implement could be crucial for the interpretation of these elusive figures. It could be the symbolic material for the retention of water by these monstrous creatures of the underworld, retainers of spring water, as is recorded in the Rig Veda, a myth in agreement with the problematics of agriculture in a semi-arid context. Accordingly, the scars across their faces are the deadly “split across the head” through which the water was released. The convergence of this culture of elamitic affinity with an Indo-Aryan myth suggests some hybridization between the two cultures. Full article
Show Figures

Figure 1

16 pages, 3051 KB  
Article
Tracing the Onset of Agriculture Through Phytolith Analysis at the Abora I Neolithic Settlement, Eastern Latvia
by Normunds Stivrins, Gunita Zariņa, Vanda Haferberga and Elina Reire
Heritage 2025, 8(12), 524; https://doi.org/10.3390/heritage8120524 - 11 Dec 2025
Viewed by 572
Abstract
Phytolith analysis was applied for the first time in Latvian archaeology to investigate plant use at the Abora I settlement, one of the key Late Neolithic sites in the Lubāns Wetland, eastern Latvia. Phytoliths were extracted from sediments, pottery sherds, grinding stones, and [...] Read more.
Phytolith analysis was applied for the first time in Latvian archaeology to investigate plant use at the Abora I settlement, one of the key Late Neolithic sites in the Lubāns Wetland, eastern Latvia. Phytoliths were extracted from sediments, pottery sherds, grinding stones, and human teeth in order to assess evidence for cereal-type grasses and plant processing. A diverse range of phytolith morphotypes was identified, including rondel and bilobate forms commonly associated with grasses of the Triticeae. These morphotypes were most frequently recorded in association with grinding stones and food-related pottery. While previous isotopic and archaeological studies at Abora I indicate a subsistence strategy largely based on fishing, hunting, and gathering, the phytolith evidence points to localised small-scale processing of cereal-type grasses. Taken together, these results indicate that plant exploitation formed part of a mixed, multi-resource economy during the Late Neolithic at Abora I, although differentiation between wild and domesticated grasses remains limited due to taxonomic constraints of phytolith analysis. Full article
(This article belongs to the Section Archaeological Heritage)
Show Figures

Figure 1

17 pages, 6104 KB  
Article
The Pagodas of the Mireuksa Temple Site: Interpretations and Presentations of Three Memories of Cultural Heritage in a Single Site
by Hyun Chul Youn
Sustainability 2025, 17(24), 11098; https://doi.org/10.3390/su172411098 - 11 Dec 2025
Viewed by 351
Abstract
This study examines the three pagodas of the Mireuksa Temple Site—the West, East, and Wooden Pagodas—to analyze how material evidence, cultural memory, and representation shape authenticity in architectural heritage. The research aims to clarify how different conservation strategies, including authentic restoration, speculative reconstruction, [...] Read more.
This study examines the three pagodas of the Mireuksa Temple Site—the West, East, and Wooden Pagodas—to analyze how material evidence, cultural memory, and representation shape authenticity in architectural heritage. The research aims to clarify how different conservation strategies, including authentic restoration, speculative reconstruction, and digital mediation, influence the construction and communication of cultural memory. Methodologically, the study employs a comparative case analysis grounded in archival research, archaeological records, field observations, and interpretive analysis of digital media practices. The findings indicate three distinct patterns: (1) the West Pagoda demonstrates that evidence-based restoration can maintain both material and historical authenticity; (2) the East Pagoda shows that reconstructions based on limited evidence tend to generate visually convincing yet historically uncertain representations; and (3) the Wooden Pagoda illustrates that digital mediation can effectively communicate lost heritage, but only when its speculative nature is made transparent to the public. The most significant result is that authenticity cannot be defined solely by material survival but must be evaluated through the ethical and transparent communication of historical uncertainty. Based on these insights, the study proposes a conceptual framework of “memory authenticity,” offering heritage practitioners a tool for assessing restoration choices in contexts where architectural evidence is fragmentary or lost. The findings also provide practical implications for heritage management, including evidence-based decision-making, ethically informed digital interpretation, and responsible presentation of reconstructed or hypothetical forms. Full article
Show Figures

Figure 1

37 pages, 46493 KB  
Article
Documenting Change on the SS Thistlegorm, Red Sea, Egypt: Using Underwater Photogrammetry to Record Natural Deterioration and Human Impacts on a World War II Shipwreck
by Simon Brown and Jon C. Henderson
Heritage 2025, 8(12), 504; https://doi.org/10.3390/heritage8120504 - 28 Nov 2025
Viewed by 2860
Abstract
The SS Thistlegorm, a British World War II cargo vessel sunk in 1941 in the Red Sea, is one of the world’s most visited wreck dives, attracting thousands of divers annually. This popularity has accelerated structural deterioration and artefact loss through unsustainable [...] Read more.
The SS Thistlegorm, a British World War II cargo vessel sunk in 1941 in the Red Sea, is one of the world’s most visited wreck dives, attracting thousands of divers annually. This popularity has accelerated structural deterioration and artefact loss through unsustainable mooring practices, looting, and unintentional diver impacts. The Thistlegorm Project—a collaboration between Alexandria University and the University of Edinburgh—conducted high-resolution underwater photogrammetric surveys in 2017 and 2022 to create the first comprehensive baseline for monitoring change. Comparative analysis revealed both subtle and significant alterations to the wreck and its debris field, including displacement of heavy structures, artefact removal, and expanded mapping of the debris field to 21.9 ha. The study demonstrates how repeat photogrammetry enables precise documentation of deterioration, informs conservation strategies, and supports heritage management in high-traffic dive sites. The Thistlegorm serves as a model for integrating digital recording, site monitoring, and collaborative stewardship of underwater cultural heritage. Full article
(This article belongs to the Topic 3D Documentation of Natural and Cultural Heritage)
Show Figures

Figure 1

25 pages, 1864 KB  
Article
CIDOC CRM-Based Knowledge Graph Construction for Cultural Heritage Using Large Language Models
by Yue Wang and Man Zhang
Appl. Sci. 2025, 15(22), 12063; https://doi.org/10.3390/app152212063 - 13 Nov 2025
Viewed by 1686
Abstract
The cultural heritage of the Liao dynasty in Chifeng encompasses significant historical and cultural information that requires systematic digital preservation and management. However, heterogeneous data sources across museums, archives, and research institutions lack semantic interoperability, creating barriers for cross-system integration and knowledge discovery. [...] Read more.
The cultural heritage of the Liao dynasty in Chifeng encompasses significant historical and cultural information that requires systematic digital preservation and management. However, heterogeneous data sources across museums, archives, and research institutions lack semantic interoperability, creating barriers for cross-system integration and knowledge discovery. This study proposes a standardized knowledge graph construction method by integrating the CIDOC Conceptual Reference Model version 7.2 with large language models. A unified ontology framework enables semantic consistency across diverse heritage data, while Generative Pre-trained Transformer-based models automatically extract structured triples from unstructured texts through prompt engineering and entity disambiguation, with the resulting knowledge graph implemented in Neo4j graph database. The constructed knowledge graph integrates 106 immovable cultural heritage records from Chifeng City with approximately 20 types of semantic relationships, forming a comprehensive semantic network covering people, places, events, time, and materials. K-means clustering reveals five cultural value themes, including “Nomadic Imperial Power System” and “Multi-Capital Governance Network”, while geospatial mapping identifies a “dual-core and ring-belt” distribution pattern for heritage protection zoning. This research demonstrates how international semantic standards can be integrated with artificial intelligence technologies to enable interoperable cultural heritage knowledge systems, providing practical implications for cross-institutional heritage management and archaeological survey planning. Full article
Show Figures

Figure 1

20 pages, 17743 KB  
Article
Integrated Surveying for Architectural Heritage Documentation in Iraq: From LiDAR Scanner to GIS Applications
by Gehan Selim, Nabil Bachagha, Dhirgham Alobaydi, Sabeeh Lafta Farhan and Aussama Tarabeih
Remote Sens. 2025, 17(21), 3632; https://doi.org/10.3390/rs17213632 - 3 Nov 2025
Viewed by 1471
Abstract
In recent years, remote sensing technologies have become indispensable for the documentation, analysis, and virtual preservation of historical, architectural, and archaeological heritage. Advances in 3D scanning have enabled the precise digital recording of complex structures as large-scale point clouds, facilitating highly detailed virtual [...] Read more.
In recent years, remote sensing technologies have become indispensable for the documentation, analysis, and virtual preservation of historical, architectural, and archaeological heritage. Advances in 3D scanning have enabled the precise digital recording of complex structures as large-scale point clouds, facilitating highly detailed virtual reconstructions. This study evaluates the capability of LiDAR-based Terrestrial Laser Scanning (TLS) for documenting historical monument façades within a 3D environment and generating accurate visualisation models from registered, colourised point clouds. The integration of high-resolution RGB imagery, processed through Reality Capture 1.5 software, enables the automatic production of realistic 3D models that combine geometric accuracy with visual fidelity. Simultaneously, Geographic Information Systems (GIS), particularly cloud-based platforms like ArcGIS Pro Online, enhance spatial data management, mapping, and analysis. When combined with TLS, GIS is part of a broader remote sensing framework that improves heritage documentation regarding precision, speed, and interpretability. The digital survey of the Shanasheel house in Al-Basrah, Iraq, demonstrates the effectiveness of this interdisciplinary approach. These architecturally and culturally significant buildings, renowned for their intricately decorated wooden façades, were digitally recorded using CAD-based methods to support preservation and mitigation against urban and environmental threats. This interdisciplinary workflow demonstrates how remote sensing technologies can play a vital role in heritage conservation, enabling risk assessment, monitoring of urban encroachment, and the protection of endangered cultural landmarks for future generations. Full article
Show Figures

Figure 1

21 pages, 1554 KB  
Article
The Plant Diversity of Cultural Habitat Islands: Aspects of the Flora of the Mystras UNESCO World Heritage Site (Greece)
by Maria Panitsa, Maria Tsakiri, Ioannis Constantinou and Ioannis Nikoloudis
Diversity 2025, 17(11), 749; https://doi.org/10.3390/d17110749 - 26 Oct 2025
Viewed by 1016
Abstract
The Mystras UNESCO World Heritage Site (MUWHS) is a medieval historical area located on a small hill facing Sparta in the Mediterranean hotspot of the Peloponnese and receives a high number of visitors annually. The main aim of this study is the inventory [...] Read more.
The Mystras UNESCO World Heritage Site (MUWHS) is a medieval historical area located on a small hill facing Sparta in the Mediterranean hotspot of the Peloponnese and receives a high number of visitors annually. The main aim of this study is the inventory and analysis of plant species composition and diversity of the Mystras archaeological area, with emphasis on different aspects of its flora, on the specialist endemic plants, and on the generalist ruderal and alien taxa. A high plant species richness was observed, and 321 vascular plant taxa were registered. Most of the taxa are Mediterranean or have a more widespread distribution, and half of them are ruderals. Concerning endemism, 14 Greek and 7 Balkan endemic taxa were registered. As anticipated, the most species-rich plant families recorded in the study area are Asteraceae, Fabaceae, and Poaceae. The total flora is predominantly composed of therophytes, reflecting the site’s Mediterranean climate and disturbance-adapted ecological conditions while the endemic flora is mostly composed of hemicryptophytes. Comparisons of MUWHS plant diversity with four other archaeological sites of the same floristic region of Greece, the Peloponnese, highlighted its high α-diversity on all aspects of its flora and its floristic dissimilarity from the other areas and, additionally, the high plant species richness that is comprised in all five of them. Comparisons of the flora of MUWHS with other Greek and Mediterranean archaeological areas showed significant similarities in the floristic elements considered as deteriogenic for the protected walls and monuments. The findings of our study underscore the urgent need to prioritise the sustainable conservation of archaeological sites such as Mystras. These landscapes are not only cultural monuments but also reservoirs of biodiversity and ecological value. Effective management must, therefore, adopt an integrated approach that balances the preservation of historical structures with the protection of native flora and ecological processes. Full article
(This article belongs to the Special Issue Plant Diversity on Islands—2nd Edition)
Show Figures

Figure 1

13 pages, 5474 KB  
Article
Curating Archaeological Provenience Data Across Excavation Recording Formats
by Sarah A. Buchanan, Tiana R. Stephenson, Diletta Nesti and Marcello Mogetta
Humanities 2025, 14(11), 210; https://doi.org/10.3390/h14110210 - 23 Oct 2025
Viewed by 622
Abstract
Archaeological excavations today generate extensive datasets across survey, excavation, and analysis activities, especially when they are conducted in collaborative structures such as field schools. Working across such activities, data archivists contribute to the goals and research outcomes of the dig by establishing data [...] Read more.
Archaeological excavations today generate extensive datasets across survey, excavation, and analysis activities, especially when they are conducted in collaborative structures such as field schools. Working across such activities, data archivists contribute to the goals and research outcomes of the dig by establishing data practices that are participatory and educational (two pillars of data literacy) as they permanently record information about the archaeological results. At the Venus Pompeiana Project (VPP), a collaborative archaeological investigation of the Sanctuary of Venus in Pompeii, both provenance and provenience data are recorded into a database at the trenches’ edge, which optimises the accuracy of the data by allowing direct input and review by the data creators and archaeological site experts. When legacy data about work conducted decades or even centuries earlier are brought into the data picture, scholars stand to gain a deeper understanding of the geographic locations of key interest over time. Yet, the integration of analogue legacy and digital archival datasets is collaborative and longitudinal work. In this paper, we bring together experiential reflections on data archiving conducted at both the excavation site and in the physical archives of the Pompeii Archaeological Park. We then provide an integrative analysis of the outcomes of such data curation, highlighting what each data archiving contributor “discovered” about the site as a whole or a specific artefact, feature, or data category. Our findings contribute deeper insights into what data archiving and format-specific curation activities are most effective for learning experiences, archaeological scholarship, and professional practices. Full article
Show Figures

Figure 1

20 pages, 2321 KB  
Article
Holocene Paleoenvironmental Reconstruction at 47° S (Patagonia, Argentina) from Sedimentary Sequences (Fens and Lagoon) and Archaeological Sites: A Regional Synthesis
by Maria A. Marcos, Florencia P. Bamonte and Marcos E. Echeverria
Foss. Stud. 2025, 3(4), 15; https://doi.org/10.3390/fossils3040015 - 19 Oct 2025
Viewed by 847
Abstract
At 47° S in Argentine Patagonia, the interaction between the Southern Westerly Winds (SWW) and the Andean barrier generates a steep climatic gradient, providing an ideal setting to evaluate Holocene vegetation responses. This study focuses on the extra-Andean sector, where new pollen records [...] Read more.
At 47° S in Argentine Patagonia, the interaction between the Southern Westerly Winds (SWW) and the Andean barrier generates a steep climatic gradient, providing an ideal setting to evaluate Holocene vegetation responses. This study focuses on the extra-Andean sector, where new pollen records from La Tapera (LTap) and Cisne 7 provide insights into steppe vegetation dynamics under dry conditions. These sequences are contrasted with previously studied records further west (LF, ZB, CMN1, CMN2, and COCU) to assess west–east gradients in vegetation change and moisture availability throughout the Holocene. Western records indicate that the Early Holocene was dominated by grass–dwarf-shrub steppe under arid conditions, followed by increased humidity around 7600 cal yr BP that promoted the development of forest–steppe ecotonal environments. The Middle Holocene was characterised by aridity, reflected in shrub dominance and reduced forest signals, whereas the Late Holocene included a humid pulse between ~1750 and 1000 cal yr BP, followed by renewed aridity over the last millennium. In contrast, eastern records show persistent shrub–dwarf-shrub steppes since ~4700 cal yr BP, with vegetation changes expressed mainly as shifts in the relative dominance of shrubs and dwarf–shrubs rather than floristic replacements. Archaeological sites corroborated and complemented the continuous records, strengthening the reconstruction of environmental variability across different temporal windows. Overall, this west–east comparison highlights the differential sensitivity of ecosystems to SWW fluctuations, reinforcing their role as an important forcing of hydrological balance and vegetation dynamics in mid-latitude Patagonia. Full article
Show Figures

Figure 1

29 pages, 1325 KB  
Article
Digital Stratigraphy—A Pattern Analysis Framework Integrating Computer Forensics, Criminology, and Forensic Archaeology for Crime Scene Investigation
by Romil Rawat, Hitesh Rawat, Mandakini Ingle, Anjali Rawat, Anand Rajavat and Ashish Dibouliya
Forensic Sci. 2025, 5(4), 48; https://doi.org/10.3390/forensicsci5040048 - 17 Oct 2025
Viewed by 1281
Abstract
Background/Objectives—Traditional forensic investigations often analyze digital, physical, and criminological evidence separately, leading to fragmented timelines and reduced accuracy in reconstructing complex events. To address these gaps, this study proposes the Digital Stratigraphy Framework (DSF), inspired by archaeological stratigraphy, to integrate heterogeneous evidence [...] Read more.
Background/Objectives—Traditional forensic investigations often analyze digital, physical, and criminological evidence separately, leading to fragmented timelines and reduced accuracy in reconstructing complex events. To address these gaps, this study proposes the Digital Stratigraphy Framework (DSF), inspired by archaeological stratigraphy, to integrate heterogeneous evidence into structured, temporally ordered layers. DSF aims to reduce asynchronous inconsistencies, minimize false associations, and enhance interpretability across digital, behavioral, geospatial, and excavation evidence. Methods—DSF employs Hierarchical Pattern Mining (HPM) to detect recurring behavioral patterns and Forensic Sequence Alignment (FSA) to synchronize evidence layers temporally and contextually. The framework was tested on the CSI-DS2025 dataset containing 25,000 multimodal, stratified records, including digital logs, geospatial data, criminological reports, and excavation notes. Evaluation used 10-fold cross-validation, Bayesian hyperparameter tuning, and structured train-validation-test splits. Metrics included accuracy, precision, recall, F1-score, and Stratigraphic Reconstruction Consistency (SRC), alongside ablation and runtime assessments. Results—DSF achieved 92.6% accuracy, 93.1% precision, 90.5% recall, 91.3% F1-score, and an SRC of 0.89, outperforming baseline models. False associations were reduced by 18%, confirming effective cross-layer alignment and computational efficiency. Conclusions—By applying stratigraphic principles to forensic analytics, DSF enables accurate, interpretable, and legally robust evidence reconstruction. The framework establishes a scalable foundation for real-time investigative applications and multi-modal evidence integration, offering significant improvements over traditional fragmented approaches. Full article
(This article belongs to the Special Issue Feature Papers in Forensic Sciences)
Show Figures

Figure 1

22 pages, 5342 KB  
Article
Bridging Archaeology and Marine Ecology: Coral Archives of Hellenistic Coastal Change
by Tali Mass, Jeana Drake, Stephane Martinez, Jarosław Stolarski and Jacob Sharvit
Sustainability 2025, 17(19), 8893; https://doi.org/10.3390/su17198893 - 7 Oct 2025
Viewed by 1143
Abstract
Stony corals are long-lived, calcifying cnidarians that can be preserved within archaeological strata, offering insights into past seawater conditions, anthropogenic influences, and harbor dynamics. This study analyzes sub-fossil Cladocora sp. colonies from ancient Akko, Israel, dated to the Hellenistic period (~335–94 BCE), alongside [...] Read more.
Stony corals are long-lived, calcifying cnidarians that can be preserved within archaeological strata, offering insights into past seawater conditions, anthropogenic influences, and harbor dynamics. This study analyzes sub-fossil Cladocora sp. colonies from ancient Akko, Israel, dated to the Hellenistic period (~335–94 BCE), alongside modern Cladocora caespitosa from Haifa Bay, Israel. We employed micromorphology, stable isotope analysis, and DNA sequencing to assess species identity, colony growth form, and environmental conditions experienced by the corals. Comparisons suggest that Hellenistic Akko corals grew in high-light, cooler-water, high-energy environments, potentially with exposure to terrestrial waste. The exceptional preservation of these colonies indicates rapid burial, possibly linked to ancient harbor activities or extreme sedimentation. Our results demonstrate the utility of scleractinian corals as valuable paleoenvironmental archives, capable of integrating both biological and geochemical proxies to reconstruct past marine conditions. By linking archaeological and ecological records, this multidisciplinary approach provides a comprehensive understanding of historical coastal dynamics, including ancient harbor use, climate variability, and anthropogenic impacts. Full article
Show Figures

Figure 1

21 pages, 2239 KB  
Review
Unequal Horizons: Global North–South Disparities in Archaeological Earth Observation (2000–2025)
by Athos Agapiou
Remote Sens. 2025, 17(19), 3371; https://doi.org/10.3390/rs17193371 - 6 Oct 2025
Viewed by 1417
Abstract
This systematic review analyzes 4359 archaeologically relevant publications spanning 25 years to examine global disparities in archaeological remote sensing research between Global North and Global South participation. This study reveals deep inequalities among these regions, with 72.1% of research output originating from Global [...] Read more.
This systematic review analyzes 4359 archaeologically relevant publications spanning 25 years to examine global disparities in archaeological remote sensing research between Global North and Global South participation. This study reveals deep inequalities among these regions, with 72.1% of research output originating from Global North-only institutions, despite these regions hosting less than half of UNESCO World Heritage Sites. The temporal analysis demonstrates exponential growth, with 47.2% of all research published in the last five years, indicating rapid technological advancement concentrated in well-resourced institutions. Sub-Saharan Africa produces only 0.6% of research output while hosting 9.4% of World Heritage Sites, highlighting a technology gap in heritage protection. The findings suggest an urgent need for coordinated interventions to address structural inequalities and promote technological fairness in global heritage preservation. The research employed bibliometric analysis of Scopus database records from four complementary search strategies, revealing that just three countries—Italy (20.3%), the United States (16.7%), and the United Kingdom (10.0%)—account for nearly half of all archaeological remote sensing research and applications worldwide. This study documents patterns that have profound implications for cultural heritage preservation and sustainable development in an increasingly digital world where advanced Earth observation technologies have become essential for effective heritage protection and archaeological research. Full article
Show Figures

Figure 1

19 pages, 1435 KB  
Article
Reconstruction of Historical Arable Land Area and Spatial Distribution Patterns in Southeastern Tibet
by Juan Zhou, Fenggui Liu, Qiong Chen, Hongxia Pan, Yiyun He and Qiang Zhou
Land 2025, 14(10), 1989; https://doi.org/10.3390/land14101989 - 3 Oct 2025
Viewed by 900
Abstract
The southeastern Tibet region is characterized by rugged terrain and relative isolation, which has significantly constrained the development of agriculture. However, due to the extremely limited archaeological and historical records available, its important role in the history of agricultural development in Tibet has [...] Read more.
The southeastern Tibet region is characterized by rugged terrain and relative isolation, which has significantly constrained the development of agriculture. However, due to the extremely limited archaeological and historical records available, its important role in the history of agricultural development in Tibet has been overlooked. This study focuses on the Linzhi and Changdu regions of southeastern Tibet, integrating limited archival, historical, and documentary data. By reconstructing historical settlement patterns and population data, this study estimates the arable land area during the Tubo, Yuan, Ming, and Qing dynasties. Using a grid-based model, it reconstructs the distribution patterns of arable land during these periods, aiming to provide a reference for the development of agriculture in Tibet. The research findings indicate the following: (1) During historical periods, settlements in southeastern Tibet were primarily distributed in flat, resource-rich alluvial plains at medium to high altitudes. Settlement types exhibited spatial differentiation: Post stations were primarily situated along major transportation routes that connected river valleys, as well as at high mountain passes. Temples tended to occupy moderately steep slopes, while manors were concentrated in low-lying valleys. (2) During the Tubo, Yuan, Ming, and Qing periods, the total arable land area and cultivation rate in southeastern Tibet were generally low, with total arable land areas of 28,085 hm2, 29,449 hm2, 25,319 hm2, and 24,371 hm2, respectively, and cultivation rates of 0.12%, 0.13%, 0.11%, and 0.11%, respectively. (3) Farmland was predominantly distributed along the Yarlung Zangbo, Jinsha, Lancang, and Nu Rivers and their broader tributary valleys. Natural constraints resulted in a highly fragmented farmland distribution. Full article
Show Figures

Figure 1

Back to TopTop