Sign in to use this feature.

Years

Between: -

Subjects

remove_circle_outline
remove_circle_outline
remove_circle_outline
remove_circle_outline
remove_circle_outline

Journals

Article Types

Countries / Regions

Search Results (31)

Search Parameters:
Keywords = antimicrobial ADMET profiling

Order results
Result details
Results per page
Select all
Export citation of selected articles as:
17 pages, 1578 KB  
Article
Tranexamic Acid-Phenol Smart Scaffolds with Imine Linker: Unlocking Antimicrobial Potential Through In Vitro and In Silico Insights
by Jovana S. Dragojević, Žiko Milanović, Kristina Milisavljević, Nevena Petrović, Jelena Petronijević, Nenad Joksimović, Vera M. Divac, Marijana Kosanić and Marina D. Kostić
Organics 2025, 6(4), 54; https://doi.org/10.3390/org6040054 - 16 Dec 2025
Viewed by 26
Abstract
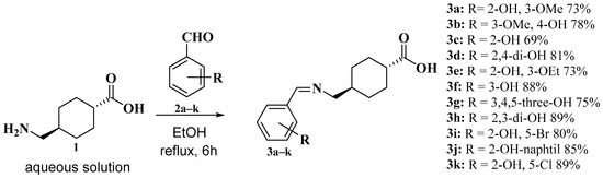
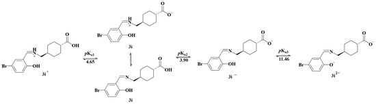
A novel series of Schiff bases (3a3k), incorporating tranexamic acid (TXA) and phenol-derived aldehydes via imine linkers, was synthesized and structurally characterized. The antimicrobial activity of the compounds was evaluated against a range of clinically and environmentally relevant bacterial [...] Read more.
A novel series of Schiff bases (3a3k), incorporating tranexamic acid (TXA) and phenol-derived aldehydes via imine linkers, was synthesized and structurally characterized. The antimicrobial activity of the compounds was evaluated against a range of clinically and environmentally relevant bacterial and fungal strains. Among them, derivatives 3i and 3k, bearing bromine and chlorine substituents on the phenol ring, exhibited the most potent antimicrobial effects, particularly against Penicillium italicum and Proteus mirabilis (MIC as low as 0.014 mg/mL). To elucidate the underlying mechanism of action, in silico molecular docking studies were conducted, revealing strong binding affinities of 3i and 3k toward fungal sterol 14α-demethylase (CYP51B), with predicted binding energies surpassing those of the reference antifungal ketoconazole. Additionally, UV-Vis and fluorescence spectroscopy assays demonstrated good stability of compound 3k in PBS and its effective binding to human serum albumin (HSA), respectively. ADMET and ProTox-II predictions further supported the drug-likeness, low toxicity (Class 4), and favorable pharmacokinetic profile of compound 3k. Collectively, these findings highlight TXA–phenol imine derivatives as promising scaffolds for the development of next-generation antimicrobial agents, particularly targeting resistant fungal pathogens. Full article
Show Figures

Graphical abstract

21 pages, 6537 KB  
Article
In Silico Lead Identification of Staphylococcus aureus LtaS Inhibitors: A High-Throughput Computational Pipeline Towards Prototype Development
by Abdulaziz H. Al Khzem, Tagyedeen H. Shoaib, Rua M. Mukhtar, Mansour S. Alturki, Mohamed S. Gomaa, Dania Hussein, Ahmed Mostafa, Layla A. Alrumaihi, Fatimah A. Alansari and Maisem Laabei
Int. J. Mol. Sci. 2025, 26(24), 12038; https://doi.org/10.3390/ijms262412038 - 14 Dec 2025
Viewed by 176
Abstract
The emergence of multidrug-resistant Staphylococcus aureus underscores the urgent need for novel therapeutic agents targeting essential bacterial pathways. The lipoteichoic acid synthase (LtaS) is crucial for the synthesis of lipoteichoic acid in the cell wall of Gram-positive bacteria and represents a promising and [...] Read more.
The emergence of multidrug-resistant Staphylococcus aureus underscores the urgent need for novel therapeutic agents targeting essential bacterial pathways. The lipoteichoic acid synthase (LtaS) is crucial for the synthesis of lipoteichoic acid in the cell wall of Gram-positive bacteria and represents a promising and vulnerable target for antimicrobial drug development. This study employed a comprehensive computational pipeline to identify potent inhibitors of the LtaS enzyme. A library of natural compounds was retrieved from the COCONUT database and screened against the crystal structure of the extracellular domain of LtaS (eLtaS) (PDB ID: 2W5R, obtained from the Protein Data Bank) through a multi-stage molecular docking strategy. This process started with High-Throughput Virtual Screening (HTVS), followed by Standard Precision (SP) docking, and culminated in Extra Precision (XP) docking to refine the selection of hits. The top-ranking compounds from XP docking were subsequently subjected to MM-GBSA binding free energy calculations for further filtration. The stability and dynamic behavior of the resulting candidate complexes were then evaluated using 100 ns molecular dynamics (MD) simulations, which confirmed the structural integrity and binding stability of the ligands. Density Functional Theory calculations revealed that screened ligands exhibit improved electronic stabilization and charge-transfer characteristics compared to a reference compound, suggesting enhanced reactivity and stability relevant for hit identification. Finally, ADMET (Absorption, Distribution, Metabolism, Excretion, and Toxicity) profiling was conducted to assess the drug-likeness and pharmacokinetic safety of the lead compounds. These findings support them as promising orally active leads for further optimization. Our integrated approach shortlisted eight initial hits (A–H) that showed interesting scaffold diversity and finally identified two compounds, herein referred to as Compound A and Compound B, which demonstrated stable binding, favorable free energy, and an acceptable Absorption, Distribution, Metabolism, and Excretion, and Toxicity (ADMET) profile. These candidates emerge as promising starting points for developing novel anti-staphylococcal agents targeting the LtaS enzyme that cand be further proved by experimental validation. Full article
Show Figures

Graphical abstract

48 pages, 5070 KB  
Article
Dual Inhibitory Potential of Conessine Against HIV and SARS-CoV-2: Structure-Guided Molecular Docking Analysis of Critical Viral Targets
by Ali Hazim Abdulkareem, Meena Thaar Alani, Sameer Ahmed Awad, Safaa Abed Latef Al-Meani, Mohammed Mukhles Ahmed, Elham Hazeim Abdulkareem and Zaid Mustafa Khaleel
Viruses 2025, 17(11), 1435; https://doi.org/10.3390/v17111435 - 29 Oct 2025
Viewed by 850
Abstract
Human immunodeficiency virus (HIV-1) and SARS-CoV-2 continue to co-burden global health, motivating discovery of broad-spectrum small molecules. Conessine, a steroidal alkaloid, has reported membrane-active and antimicrobial properties but remains underexplored as a dual antiviral chemotype. To interrogate conessine’s multi-target antiviral potential against key [...] Read more.
Human immunodeficiency virus (HIV-1) and SARS-CoV-2 continue to co-burden global health, motivating discovery of broad-spectrum small molecules. Conessine, a steroidal alkaloid, has reported membrane-active and antimicrobial properties but remains underexplored as a dual antiviral chemotype. To interrogate conessine’s multi-target antiviral potential against key enzymatic and entry determinants of HIV-1 and SARS-CoV-2 and to benchmark performance versus approved comparators. Eight targets were modeled: HIV-1 reverse transcriptase (RT, 3V81), protease (PR, 1HVR), integrase (IN, 3LPT), gp120–gp41 trimer (4NCO); and SARS-CoV-2 main protease (Mpro, 6LU7), papain-like protease (PLpro, 6W9C), RNA-dependent RNA polymerase (RdRp, 7BV2), spike RBD (6M0J). Ligands (conessine; positive controls: dolutegravir for HIV-1, nirmatrelvir for SARS-CoV-2) were prepared with standard protonation, minimized, and docked using AutoDock Vina v 1.2.0exhaustiveness 4; 20 poses). Binding modes were profiled in 2D/3D. Protocol robustness was verified by re-docking co-crystallized ligands (RMSD ≤ 2.0 Å). Atomistic MD (explicit TIP3P, OPLS4, 300 K/1 atm, NPT; 50–100 ns) assessed pose stability (RMSD/RMSF), pocket compaction (Rg, volume), and interaction persistence; MM/GBSA provided qualitative energy decomposition. ADMET was predicted in silico. Conessine showed coherent, hydrophobically anchored binding across both viral panels. Best docking scores (kcal·mol−1) were: HIV-1—PR −6.910, RT −6.672, IN −5.733; SARS-CoV-2—spike RBD −7.025, Mpro −5.745, RdRp −5.737, PLpro −5.024. Interaction maps were dominated by alkyl/π-alkyl packing to catalytic corridors (e.g., PR Ile50/Val82, RT Tyr181/Val106; Mpro His41/Met49; RBD L455/F486/Y489) with occasional carbon-/water-mediated H-bonds guiding orientation. MD sustained low ligand RMSD (typically ≤1.6–2.2 Å) and damped RMSF at catalytic loops, indicating pocket rigidification; MM/GBSA trends (≈ −30 to −40 kcal·mol−1, dispersion-driven) supported persistent nonpolar stabilization. Benchmarks behaved as expected: dolutegravir bound strongly to IN (−6.070) and PR (−7.319) with stable MD; nirmatrelvir was specific for Mpro and displayed weaker, discontinuous engagement at PLpro/RdRp/RBD under identical settings. ADMET suggested conessine has excellent permeability/BBB access (high logP), but liabilities include poor aqueous solubility, predicted hERG risk, and CYP2D6 substrate dependence.Conessine operates as a hydrophobic, multi-target wedge with the most favorable computed engagement at HIV-1 PR/RT and the SARS-CoV-2 spike RBD, while maintaining stable poses at Mpro and RdRp. The scaffold merits medicinal-chemistry optimization to improve solubility and de-risk cardiotoxicity/CYP interactions, followed by biochemical and cell-based validation against prioritized targets. Full article
Show Figures

Figure 1

30 pages, 5192 KB  
Article
Rational Design, Computational Analysis and Antibacterial Activities of Synthesized Peptide-Based Molecules Targeting Quorum Sensing-Dependent Biofilm Formation in Pseudomonas aeruginosa
by Shokhan Jamal Hamid, Twana Mohsin Salih and Tavga Ahmed Aziz
Pharmaceuticals 2025, 18(10), 1572; https://doi.org/10.3390/ph18101572 - 18 Oct 2025
Viewed by 686
Abstract
Background/Objective: The rise in bacterial resistance necessitates novel therapeutic strategies beyond conventional antibiotics. Antimicrobial peptides represent promising candidates but face challenges such as instability, enzymatic degradation, and host toxicity. To overcome these limitations, conjugation and structural modifications are being explored. This study focuses [...] Read more.
Background/Objective: The rise in bacterial resistance necessitates novel therapeutic strategies beyond conventional antibiotics. Antimicrobial peptides represent promising candidates but face challenges such as instability, enzymatic degradation, and host toxicity. To overcome these limitations, conjugation and structural modifications are being explored. This study focuses on designing peptide-based inhibitors of the quorum-sensing (QS) regulator LasR in Pseudomonas aeruginosa, a key mediator of biofilm formation and antibiotic resistance. Methods: Rationally designed tripeptides and dipeptides conjugated with coumarin-3-carboxylic acid and dihydro-3-amino-2-(3H)-furanone were evaluated using molecular docking. The most promising ligand–protein complexes were further analyzed using molecular dynamics (MD) simulations conducted with the CHARMM-GUI and AMBER tools to assess the stability of the ligand–protein complex systems, and the binding affinities were evaluated using Molecular Mechanics–Poisson Boltzmann Surface Area (MM-PBSA) calculations. Pharmacokinetic and toxicity profiles were predicted using ADMETLab 3.0. Selected compounds were synthesized via solid-phase peptide synthesis, structurally confirmed by 1H NMR and ESI-MS, and tested for antibacterial and antibiofilm activity against P. aeruginosa ATCC 27853. Results: Computational analyses identified several promising inhibitors with stronger binding affinities than the native autoinducer OdDHL. Coumarin conjugates C004 and C006 showed superior docking scores, while MM-PBSA indicated P004 and C004 had the most favorable binding energies. MD simulations confirmed stable ligand–protein complexes. ADMET predictions highlighted C004 and C006 as having excellent pharmacokinetic properties. Experimental assays showed moderate antibacterial activity (MIC 512–1024 µg/mL) and strong antibiofilm inhibition, particularly for C004 (83% inhibition at ½ MIC). Conclusions: The study demonstrates that peptide–coumarin conjugates, especially C004, are promising tools for disrupting QS and biofilm formation in P. aeruginosa. Further optimization and in vivo validation are needed to advance these compounds toward therapeutic application. Full article
(This article belongs to the Section Medicinal Chemistry)
Show Figures

Graphical abstract

21 pages, 802 KB  
Article
Study of the Lipophilicity of Tetracyclic Anticancer Azaphenothiazines
by Małgorzata Jeleń, Beata Morak-Młodawska, Małgorzata Dołowy and Adam Konefał
Biomolecules 2025, 15(8), 1194; https://doi.org/10.3390/biom15081194 - 19 Aug 2025
Viewed by 908
Abstract
Although chlorpromazine is primarily used in psychiatry, it has been shown since its introduction to influence the course of neoplastic diseases. According to the strategy of drug repurposing, chlorpromazine has been successfully tested for its potential antitumor effects on multiple cancer cell lines. [...] Read more.
Although chlorpromazine is primarily used in psychiatry, it has been shown since its introduction to influence the course of neoplastic diseases. According to the strategy of drug repurposing, chlorpromazine has been successfully tested for its potential antitumor effects on multiple cancer cell lines. This effect is consistent with the overlap of molecular pathways observed for years between schizophrenia and cancer. The main objective of this work was to evaluate the lipophilicity of 17 previously synthesized tetracyclic chlorpromazine analogues exhibiting diverse anticancer and antimicrobial activity using thin-layer chromatography and computational methods. For a compound to become an effective drug, it must have a favorable ADMET profile, which determines its pharmacokinetic properties as a drug candidate. Lipophilicity is one of the key parameters widely employed in designing new bioactive compounds as potential therapeutic agents. In this article, chromatographic plates precoated with silica gel 60 RP-18F254 and a mixture of acetone and TRIS buffer were used as the mobile phase. The chromatographic parameter of lipophilicity (RM0) of the investigated compounds determined by means of the Soczewinski–Wachtmeister formula was useful to obtain the values of the experimental lipophilicity parameter expressed as logPTLC. The results of logPTLC were compared with theoretical values of logP obtained using different algorithms (iLOGP, XLOGP3, WLOGP, MLOGP, SILCOS-IT, and ClogP). Furthermore, the online platforms, such as SwissADME and pkCSM, allowed the determination of the remaining ADME parameters of the quinoline derivatives of chlorpromazine. The study of lipophilicity and ADME factors enabled confirmation that the tested compounds demonstrated favorable properties. Therefore, they can be considered as promising starting structures for further studies. Full article
Show Figures

Figure 1

24 pages, 4082 KB  
Article
Epoxy-Functionalized Isatin Derivative: Synthesis, Computational Evaluation, and Antibacterial Analysis
by Deepanjali Shukla, Iqbal Azad, Mohd Arsh Khan, Ziaul Husain, Azhar Kamal, Sabahat Yasmeen Sheikh, Ibrahim Alotibi, Varish Ahmad and Firoj Hassan
Antibiotics 2025, 14(6), 595; https://doi.org/10.3390/antibiotics14060595 - 9 Jun 2025
Viewed by 3216
Abstract
Background/Objectives: The current need for new antibacterial compounds that target non-classical pathways is highlighted by the emergence of multidrug-resistant Klebsiella pneumoniae. In the development of antibiotics, DNA adenine methyltransferase (Dam), a key regulator of bacterial gene expression and pathogenicity, is still underutilized. [...] Read more.
Background/Objectives: The current need for new antibacterial compounds that target non-classical pathways is highlighted by the emergence of multidrug-resistant Klebsiella pneumoniae. In the development of antibiotics, DNA adenine methyltransferase (Dam), a key regulator of bacterial gene expression and pathogenicity, is still underutilized. Epoxy-functionalized analogues of isatin derivatives have not been adequately investigated for their antibacterial activity, particularly as Dam inhibitors. In the pursuit of antimicrobial agents, this study synthesized an epoxy-functionalized isatin derivative (L3) using a one-pot reaction. The compound was characterized using FT-IR, ¹H-NMR, 13C-NMR, HR-MS, and UV–Vis spectroscopy. Methods: In silico evaluation performed by using ADMETlab3 and SwissADME. While molecular docking studies were achieved by AutoDock and Vina to find L3’s interaction with potential antibacterial target (Dam protein in K. pneumoniae). In addition, the antibacterial potential of L3 was evaluated using minimum inhibitory concentration (MIC) assays against Bacillus cereus, Bacillus pumilus, Escherichia coli, and K. pneumoniae. Results: Among these, L3 exhibited potential inhibitory activity against K. pneumoniae, with a MIC value of 93.75 μg/mL. In silico evaluations confirmed L3’s favorable drug-like properties, including potential oral bioavailability, blood–brain barrier (BBB) permeability, and low plasma protein binding (PPB). The compound satisfied Lipinski’s and other drug-likeness rules as well as getting a quantitative estimate of drug-likeness (QED) score of 0.52. Here, a homology model of Dam protein in K. pneumoniae was generated using the SWISS-MODEL server and validated using computational tools. Targeted docking analysis revealed that L3 exhibited significant potential binding affinity against Dam protein, with binding energies of −6.4 kcal/mol and −4.85 kcal/mol, as determined by Vina and AutoDock, respectively. The associated inhibition constant was calculated as 280.35 µM. Further interaction analysis identified the formation of hydrogen bonds with TRP7 and PHE32, along with Van der Waals’ interactions involving GLY9, ASP51, and ASP179. Conclusions: These findings highlight L3 as a promising scaffold for antimicrobial drug development, particularly in targeting Dam protein in K. pneumoniae. Furthermore, the ADMET profiling and physicochemical properties of L3 support its potential as a drug-like candidate. Full article
Show Figures

Figure 1

27 pages, 3028 KB  
Article
Integrated Assessment of Antibacterial Activity, Polyphenol Composition, Molecular Docking, and ADME Properties of Romanian Oak and Fir Honeydew Honeys
by Calin Hulea, Diana Obistioiu, Anca Hulea, Mukhtar Adeiza Suleiman, Doris Floares (Oarga), Ersilia Alexa, Ilinca Merima Imbrea, Alina-Georgeta Neacșu, Marius Pentea, Cosmin Alin Popescu and Florin Imbrea
Antibiotics 2025, 14(6), 592; https://doi.org/10.3390/antibiotics14060592 - 8 Jun 2025
Cited by 1 | Viewed by 1618
Abstract
Background: This study evaluated the polyphenolic composition, antibacterial activity, molecular docking interactions, and pharmacokinetic properties of Romanian oak and fir honeydew honeys. Methods: Spectrophotometric methods quantified total phenolic, flavonoid contents and antioxidant activity, and individual polyphenols were identified via HPLC-MS. Antibacterial efficacy against [...] Read more.
Background: This study evaluated the polyphenolic composition, antibacterial activity, molecular docking interactions, and pharmacokinetic properties of Romanian oak and fir honeydew honeys. Methods: Spectrophotometric methods quantified total phenolic, flavonoid contents and antioxidant activity, and individual polyphenols were identified via HPLC-MS. Antibacterial efficacy against Gram-positive and Gram-negative bacteria was evaluated by determining the bacterial inhibition percentage and minimum inhibitory concentrations. The bioactive compounds identified via LC-MS analysis were used to further delineate the possible antibacterial activities in silico. Molecular docking was carried out to predict the binding interactions and complex formation of the identified compounds against protein crystal structures of the bacteria used in this study. Additionally, the pharmacokinetic profile of compounds with high inhibitory potential was assessed via ADMET (absorption, Distribution, Metabolism, Excretion, toxicity) predictors to ascertain their value. Results: Fir honeydew honey showed higher total phenolic (844.5 mg GAE/kg) and flavonoid contents (489.01 mg QUE/kg) compared to oak honeydew honey, correlating with more potent antioxidant activity (IC50 = 5.16 mg/mL). In vitro antimicrobial tests indicated a stronger inhibitory effect of fir honeydew honey, especially against Gram-positive strains like S. aureus, S. pyogenes, and L. monocytogenes, alongside certain Gram-negative strains such as E. coli and H. influenzae. Oak honeydew honey displayed selective antimicrobial action, particularly against P. aeruginosa and S. typhimurium. The docking outcomes showed rutin, rosmarinic acid, beta resorcylic acid, quercetin, ferulic acid, and p-coumaric acid have high inhibitory activities characterised by binding affinities and binding interactions against shiga toxin, riboflavin synthase, ATP-binding sugar transporter-like protein, undecaprenyl diphosphate synthase, putative lipoprotein, sortase A, and immunity protein, making them key contributors to the honey’s antimicrobial activity. Moreover, beta-resorcylic acid, quercetin, ferulic acid, and p-coumaric acid revealed interesting ADMET scores that qualify honey to serve as a good antimicrobial agent. Conclusions: These findings support their potential use as natural antibacterial agents and emphasise the value of integrating chemical, biological, and computational approaches for multidisciplinary characterisations. Full article
Show Figures

Figure 1

41 pages, 13934 KB  
Article
Unveiling Palmitoyl Thymidine Derivatives as Antimicrobial/Antiviral Inhibitors: Synthesis, Molecular Docking, Dynamic Simulations, ADMET, and Assessment of Protein–Ligand Interactions
by Sarkar M. A. Kawsar, Samiah Hamad Al-mijalli, Gassoumi Bouzid, Emad M. Abdallah, Noimul H. Siddiquee, Mohammed A. Hosen, Mabrouk Horchani, Houcine Ghalla, Hichem B. Jannet, Yuki Fujii and Yasuhiro Ozeki
Pharmaceuticals 2025, 18(6), 806; https://doi.org/10.3390/ph18060806 - 27 May 2025
Viewed by 2839
Abstract
Background/Objectives: Nucleoside precursors and derivatives play pivotal roles in the development of antimicrobial and antiviral therapeutics. The 2022 global outbreak of monkeypox (Mpox) across more than 100 nonendemic countries underscores the urgent need for novel antiviral agents. This study aimed to synthesize and [...] Read more.
Background/Objectives: Nucleoside precursors and derivatives play pivotal roles in the development of antimicrobial and antiviral therapeutics. The 2022 global outbreak of monkeypox (Mpox) across more than 100 nonendemic countries underscores the urgent need for novel antiviral agents. This study aimed to synthesize and evaluate a series of 5′-O-(palmitoyl) derivatives (compounds 26), incorporating various aliphatic and aromatic acyl groups, for their potential antimicrobial activities. Methods: The structures of the synthesized derivatives were confirmed through physicochemical, elemental, and spectroscopic techniques. In vitro antibacterial efficacy was assessed, including minimum inhibitory concentration (MIC) and minimum bactericidal concentration (MBC) determinations for the most active compounds (4 and 5). The antifungal activity was evaluated based on mycelial growth inhibition. Density functional theory (DFT) calculations were employed to investigate the electronic and structural properties, including the global reactivity, frontier molecular orbital (FMO), natural bond orbital (NBO), and molecular electrostatic potential (MEP). Molecular docking studies were conducted against the monkeypox virus and the Marburg virus. The top-performing compounds (3, 5, and 6) were further evaluated via 200 ns molecular dynamics (MD) simulations. ADMET predictions were performed to assess drug-likeness and pharmacokinetic properties. Results: Compounds 4 and 5 demonstrated remarkable antibacterial activity compared with the precursor molecule, while most derivatives inhibited fungal mycelial growth by up to 79%. Structure-activity relationship (SAR) analysis highlighted the enhanced antibacterial/antifungal efficacy with CH3(CH2)10CO– and CH3(CH2)12CO–acyl chains. In silico docking revealed that compounds 3, 5, and 6 had higher binding affinities than the other derivatives. MD simulations confirmed the stability of the protein-ligand complexes. ADMET analyses revealed favorable drug-like profiles for all the lead compounds. Conclusions: The synthesized compounds 3, 5, and 6 exhibit promising antimicrobial and antiviral activities. Supported by both in vitro assays and comprehensive in silico analyses, these derivatives have emerged as potential candidates for the development of novel therapeutics against bacterial, fungal, and viral infections, including monkeypox and Marburg viruses. Full article
Show Figures

Graphical abstract

44 pages, 11441 KB  
Article
Identification of Bacterial Oligopeptidase B Inhibitors from Microbial Natural Products: Molecular Insights, Docking Studies, MD Simulations, and ADMET Predictions
by Malik Suliman Mohamed, Tilal Elsaman, Magdi Awadalla Mohamed, Eyman Mohamed Eltayib, Abualgasim Elgaili Abdalla and Mona Timan Idriss
Pharmaceuticals 2025, 18(5), 709; https://doi.org/10.3390/ph18050709 - 11 May 2025
Viewed by 1421
Abstract
Background/Objectives: The increasing threat of antibiotic resistance and the declining efficiency of traditional drug discovery pipelines highlight the urgent need for novel drug targets and effective enzyme inhibitors against infectious diseases. Oligopeptidase B (OPB), a serine protease with trypsin-like specificity that processes low-molecular-weight [...] Read more.
Background/Objectives: The increasing threat of antibiotic resistance and the declining efficiency of traditional drug discovery pipelines highlight the urgent need for novel drug targets and effective enzyme inhibitors against infectious diseases. Oligopeptidase B (OPB), a serine protease with trypsin-like specificity that processes low-molecular-weight peptides and oligopeptides, is present in bacteria and certain parasites but absent in mammals. This unique distribution makes OPB an attractive and selective target for antimicrobial drug development. Methods: Three-dimensional models of OPB from Serratia marcescens and Stenotrophomonas maltophilia, previously identified by our research group, were constructed via homology modeling using the best available OPB template from the RCSB Protein Data Bank. The S. marcescens OPB model was subjected to high-throughput virtual screening (HTVS) against the Natural Products Atlas (npatlas) database. Top-ranking compounds were further evaluated using Glide standard precision (SP) and extra precision (XP) docking protocols. Binding affinities were refined using molecular mechanics with generalized born and surface area (MM–GBSA) calculations. Molecular dynamics (MD) simulations assessed binding stability, while absorption distribution metabolism excretion and toxicity (ADMET) profiling evaluated drug-likeness and pharmacokinetic properties. Results: Ten natural product compounds demonstrated stronger binding affinities than antipain, a well-known oligopeptide-based protease inhibitor, as indicated by their more favorable MM–GBSA scores of −60.90 kcal/mol (S. marcescens) and −27.07 kcal/mol (S. maltophilia). Among these, dichrysobactin and validamycin E consistently exhibited favorable binding profiles across both OPB models. MD simulations confirmed the stability of their interactions with OPB active sites, maintaining favorable binding conformations throughout the simulation period. ADMET analysis suggested that while both compounds show promise, lead optimization is required to enhance their drug-like characteristics. Conclusions: This study identifies dichrysobactin and validamycin E as promising OPB inhibitors with potential antimicrobial activity. These findings support their further development as selective and potent agents against bacterial pathogens, including resistant strains, and underscore the need for experimental validation to confirm their efficacy and safety. Full article
Show Figures

Graphical abstract

34 pages, 4844 KB  
Article
Pharmaco-Technological Characterization, Structural Analysis, and Toxicological Evaluation of the Novel Polyene Antibiotic Roseofungin for Drug Development
by Amankeldy Sadanov, Dmitriy Berillo, Assya Bagimbayeva, Gul Baimakhanova, Liliya N. Ibragimova, Iliyas Raikhanovich Kulmaganbetov, Farida Nurmaganbetova, Gulbany Sarsenbaeva, Saltanat Orazymbet, Baiken Baimakhanova, Olga Lakh, Diana Tleubekova, Gulnara T. Dzhakibaeva and Tulegen Mussaldinov
Pharmaceutics 2025, 17(4), 430; https://doi.org/10.3390/pharmaceutics17040430 - 27 Mar 2025
Viewed by 952
Abstract
Background/Objectives: pentane polyene antibiotic Roseofungin produced by actinomycetes possessing wide range of antimicrobial activity. Methods: The structure of novel polyene antibiotic Roseofungin was confirmed through FTIR, H1 nuclear magnetic resonance, and high-performance liquid chromatography analysis with a mass detector. The substance pharmaco-technological [...] Read more.
Background/Objectives: pentane polyene antibiotic Roseofungin produced by actinomycetes possessing wide range of antimicrobial activity. Methods: The structure of novel polyene antibiotic Roseofungin was confirmed through FTIR, H1 nuclear magnetic resonance, and high-performance liquid chromatography analysis with a mass detector. The substance pharmaco-technological parameters were evaluated. Additionally, the in silico modelling of various physicochemical parameters and biological activities was performed using validated open-access software tools such as ProTox3, SwissADME, and ADMET SAR1. The evaluation of its toxicological profile was also investigated in vivo. Results: The Roseofungin exhibits potential risks in certain categories, including immunotoxicity, respiratory toxicity, and nephrotoxicity, as predicted in silico. However, Roseofungin shows a relatively safe profile with regard to hepatotoxicity, neurotoxicity, and mutagenicity, along with lower risks of carcinogenicity and cytotoxicity in silico. The analysis of body weight dynamics after Roseofungin exposure in mice revealed no statistically significant differences among the experimental groups. Similarly, in the absolute or relative weights of internal organs across the experimental groups after Roseofungin treatment, no significant differences were observed in vivo. Roseofungin appears as a light-yellow hygroscopic powder with a specific odour, possessing the ability to settle and classified as a light powder. The particles are lamellar crystals ranging in size from 3 μm to 6 μm, and the molecules generate electrostatic tension between themselves. The pharmaco-technological parameters of Roseofungin were comprehensively studied. Conclusions: The experimental data obtained provide a foundation for further pharmaceutical development of new drugs containing the original Roseofungin. Full article
(This article belongs to the Section Pharmacokinetics and Pharmacodynamics)
Show Figures

Graphical abstract

36 pages, 13491 KB  
Article
Environmentally Friendly Synthesis of New Mono- and Bis-Pyrazole Derivatives; In Vitro Antimicrobial, Antifungal, and Antioxidant Activity; and In Silico Studies: DFT, ADMETox, and Molecular Docking
by Oussama Merzouki, Nadia Arrousse, Elhachmia Ech-chihbi, Ashwag S. Alanazi, El Houssine Mabrouk, Mohamed Hefnawy, Abdelfattah El Moussaoui, Hanane Touijer, Azeddin El Barnossi and Mustapha Taleb
Pharmaceuticals 2025, 18(2), 167; https://doi.org/10.3390/ph18020167 - 26 Jan 2025
Cited by 4 | Viewed by 2718
Abstract
Background/Objectives: Antimicrobial resistance and oxidative stress are major global health challenges, necessitating the development of novel therapeutic agents. Pyrazole derivatives, known for their diverse pharmacological properties, hold promise in addressing these issues. This study aimed to synthesize new mono- and bis-pyrazole derivatives using [...] Read more.
Background/Objectives: Antimicrobial resistance and oxidative stress are major global health challenges, necessitating the development of novel therapeutic agents. Pyrazole derivatives, known for their diverse pharmacological properties, hold promise in addressing these issues. This study aimed to synthesize new mono- and bis-pyrazole derivatives using an eco-friendly, catalyst-free approach and evaluate their antioxidant, antibacterial, and antifungal activities, supported by in silico ADMET profiling, molecular docking, and Density Functional Theory (DFT) analysis. Methods: The compounds were synthesized via a green condensation reaction and characterized using NMR and mass spectrometry, which was verified by DFT analysis. Biological activities were assessed through DPPH and FRAP antioxidant assays, as well as disk diffusion and MIC methods, against bacterial strains (Pseudomonas aeruginosa, Staphylococcus aureus, and Escherichia coli) and fungal strains (Candida albicans and Aspergillus niger). Computational ADMET profiling evaluated pharmacokinetics and toxicity, while molecular docking assessed interactions with target proteins, including catalase, topoisomerase IV, and CYP51. Results: Theoretical calculations using DFT were in agreement with the experimental results; regarding biological activities, O4 demonstrated the most significant antioxidant activity, with 80.14% DPPH radical scavenging and an IC50 value of 40.91 µg/mL. It exhibited potent antimicrobial activity, surpassing Streptomycin with a 30 mm inhibition zone against Pseudomonas aeruginosa and showing strong efficacy against Staphylococcus aureus and Candida albicans. Computational studies confirmed favorable pharmacokinetic properties, no AMES toxicity, and strong binding affinities. DFT analysis revealed O4’s stability and reactivity, further validating its potential as a therapeutic candidate. Conclusions: This study identified and characterized novel pyrazole derivatives with promising biological and pharmacological properties. O4 emerged as the most potent compound, demonstrating strong antioxidant and antimicrobial activities alongside favorable computational profiles. These findings highlight the potential of the synthetized compounds for therapeutic development and underscore the value of integrating green synthesis with computational techniques in drug discovery. Full article
(This article belongs to the Section Medicinal Chemistry)
Show Figures

Graphical abstract

52 pages, 10706 KB  
Article
Enhancement of Cognitive Benefits and Anti-Anxiety Effects of Phytolacca americana Fruits in a Zebrafish (Danio rerio) Model of Scopolamine-Induced Memory Impairment
by Lucia-Florina Popovici, Ion Brinza, Florentina Gatea, Georgiana Ileana Badea, Emanuel Vamanu, Simona Oancea and Lucian Hritcu
Antioxidants 2025, 14(1), 97; https://doi.org/10.3390/antiox14010097 - 15 Jan 2025
Cited by 8 | Viewed by 2822
Abstract
Phytolacca americana fruits exhibit a wide range of biological activities, including antimicrobial, anti-inflammatory, and anticancer properties. This study aims to investigate the phenolic profile of hydroethanolic extracts from both fresh (PEC) and dried (PEU) fruits of P. americana using high-performance liquid chromatography (HPLC) [...] Read more.
Phytolacca americana fruits exhibit a wide range of biological activities, including antimicrobial, anti-inflammatory, and anticancer properties. This study aims to investigate the phenolic profile of hydroethanolic extracts from both fresh (PEC) and dried (PEU) fruits of P. americana using high-performance liquid chromatography (HPLC) and to evaluate their impact on anxiety-like behavior, memory, oxidative stress, and cholinergic status in zebrafish (Danio rerio, Tübingen strain) treated with scopolamine (SCO, 100 μM). Acute administration of PEC and PEU (0.1, 0.5, and 1 mg/L) was conducted for one hour per day. In silico analyses were performed to evaluate the pharmacokinetic characteristics of the phenolic compounds discerned in the two extracts, using platforms such as SwissAdme, Molinspiration, ProToX-III, AdmetLab 3.0, PKCSM, and PASS. Anxiety-like behavior and memory performance were assessed through specific behavioral assays, including the novel tank test (NTT), light/dark test (LD), novel approach test (NAT), Y-maze, and novel object recognition (NOR). Subsequently, the activity of acetylcholinesterase (AChE) and the extent of oxidative stress in the zebrafish brain were investigated. Our findings suggest that both PEC and PEU possess anxiolytic effects, alleviating SCO-induced anxiety and enhancing cognitive performance in amnesic zebrafish. Furthermore, these extracts demonstrated the ability to mitigate cholinergic deficits by inhibiting AChE activity and supporting antioxidant defense mechanisms through increased activity of antioxidant enzymes and reduced lipid and protein peroxidation. These results highlight the potential use of P. americana fruit extracts in managing anxiety and cognitive impairments related to dementia conditions. Full article
Show Figures

Figure 1

24 pages, 9580 KB  
Article
Preliminary Data on Silybum marianum Metabolites: Comprehensive Characterization, Antioxidant, Antidiabetic, Antimicrobial Activities, LC-MS/MS Profiling, and Predicted ADMET Analysis
by Sabrina Lekmine, Ouided Benslama, Mohammad Shamsul Ola, Nabil Touzout, Hamza Moussa, Hichem Tahraoui, Haroun Hafsa, Jie Zhang and Abdeltif Amrane
Metabolites 2025, 15(1), 13; https://doi.org/10.3390/metabo15010013 - 3 Jan 2025
Cited by 6 | Viewed by 2753
Abstract
Background/Objectives: Silybum marianum extract, obtained via microwave-enhanced extraction, was evaluated for its antioxidant, antidiabetic, and antimicrobial activities to explore its therapeutic potential. Methods: The extraction was performed using microwave-enhanced techniques, and LC-MS/MS was employed to profile the metabolites in the extract. Total phenolic [...] Read more.
Background/Objectives: Silybum marianum extract, obtained via microwave-enhanced extraction, was evaluated for its antioxidant, antidiabetic, and antimicrobial activities to explore its therapeutic potential. Methods: The extraction was performed using microwave-enhanced techniques, and LC-MS/MS was employed to profile the metabolites in the extract. Total phenolic and flavonoid contents were quantified using spectrophotometric methods. Antioxidant activity was assessed using DPPH, ABTS, CUPRAC, Phenanthroline, and FRAP assays. Enzyme inhibition assays were conducted to evaluate antidiabetic activity against α-glucosidase and α-amylase. Antimicrobial activity was determined using the disc diffusion method, and in silico ADMET and drug-likeness analyses were performed for key metabolites. Results: The extract contained 251.2 ± 1.2 mg GAE/g of total phenolics and 125.1 ± 1.6 mg QE/g of total flavonoids, with 33 metabolites identified, including phenolic acids, tannins, flavonoids, and flavolignans. Strong antioxidant activity was observed, with IC50 values of 19.2 ± 2.3 μg/mL (DPPH), 7.2 ± 1.7 μg/mL (ABTS), 22.2 ± 1.2 μg/mL (CUPRAC), 35.2 ± 1.8 μg/mL (Phenanthroline), and 24.1 ± 1.2 μg/mL (FRAP). Antidiabetic effects were significant, with IC50 values of 18.1 ± 1.7 μg/mL (α-glucosidase) and 26.5 ± 1.3 μg/mL (α-amylase). Antimicrobial activity demonstrated inhibition zones of 8.9 ± 1.1 mm (Bacillus subtilis), 12.6 ± 1.6 mm (Escherichia coli), 8.2 ± 1.2 mm (Fusarium oxysporum), and 9.2 ± 1.1 mm (Aspergillus niger). In silico analyses showed high absorption, favorable metabolism and excretion, and minimal toxicity, with no hERG channel inhibition or hepatotoxicity. Conclusions: The comprehensive results highlight the significant antioxidant, antidiabetic, and antimicrobial activities of S. marianum extract, suggesting its potential for therapeutic and preventive applications. Full article
(This article belongs to the Special Issue Metabolism of Bioactives and Natural Products)
24 pages, 3514 KB  
Article
Design, Synthesis, Molecular Docking, and ADME-Tox Investigations of Imidazo[1,2-a]Pyrimidines Derivatives as Antimicrobial Agents
by Djamila Benzenine, Ismail Daoud, Nadia Aissaoui, Zahira Kibou, Julio A. Seijas, M. Pilar Vázquez-Tato, Chewki Ziani-Cherif, Lahcen Belarbi and Noureddine Choukchou-Braham
Molecules 2024, 29(21), 5058; https://doi.org/10.3390/molecules29215058 - 26 Oct 2024
Cited by 8 | Viewed by 2901
Abstract
A convenient and effective synthesis of imidazo[1,2-a]pyrimidine derivatives has been developed under microwave irradiations using Al2O3 as a catalyst in solvent-free conditions. The functionalized imidazo[1,2-a]pyrimidine derivatives are useful in biochemistry and medical science. In our investigation, [...] Read more.
A convenient and effective synthesis of imidazo[1,2-a]pyrimidine derivatives has been developed under microwave irradiations using Al2O3 as a catalyst in solvent-free conditions. The functionalized imidazo[1,2-a]pyrimidine derivatives are useful in biochemistry and medical science. In our investigation, the antimicrobial activity of the synthesized compounds was evaluated against 13 microorganisms, including 6 Gram-positive bacteria, 4 Gram-negative bacteria, and 3 pathogenic fungi. Bioactivity tests revealed that the majority of the compounds exhibited good antimicrobial activity. Finally, molecular docking simulations and ADME-T predictions were performed, showing that the most active compounds have good binding modes with microbial targets and promising pharmacokinetic safety profiles. Full article
(This article belongs to the Section Chemical Biology)
Show Figures

Figure 1

12 pages, 3111 KB  
Article
Antibacterial and Antibiofilm Potential of Chlorophyllin Against Streptococcus mutans In Vitro and In Silico
by Seemrose Khan, Ihtisham Ul Haq, Imran Ali, Abdul Rehman, Mazen Almehmadi, Meshari A. Alsuwat, Tariq Zaman and Muhammad Qasim
Antibiotics 2024, 13(9), 899; https://doi.org/10.3390/antibiotics13090899 - 20 Sep 2024
Cited by 6 | Viewed by 4072
Abstract
Background: Streptococcus mutans is a leading causative agent of dental caries and exerts pathogenicity by forming biofilms. Dental caries continues to be a significant public health issue worldwide, affecting an estimated 2.5 billion people, showing a 14.6% increase over the past decade. Herein, [...] Read more.
Background: Streptococcus mutans is a leading causative agent of dental caries and exerts pathogenicity by forming biofilms. Dental caries continues to be a significant public health issue worldwide, affecting an estimated 2.5 billion people, showing a 14.6% increase over the past decade. Herein, the antibacterial potential of Chlorophyllin extracted from Spinacia oleracea was evaluated against biofilm-forming S. mutans via in vitro and in silico studies. Methodology: The antimicrobial activity of chlorophyllin extract against S. mutans isolates was tested using the agar well diffusion method. Chlorophyllin extract was also tested against biofilm-forming isolates of S. mutans. Chlorophyllin was docked with the antigen I/II (AgI/II) protein of S. mutans to evaluate its antimicrobial mechanism. The chemical structure and canonical SMILES format of Chlorophyllin were obtained from PubChem. Additionally, adsorption, distribution, metabolism, excretion, and toxicity (ADMET) analyses of Chlorophyllin were performed using ADMETlab 2.0 to assess its pharmacokinetic properties. Results: An agar well diffusion assay revealed that all S. mutans isolates were susceptible to Chlorophyllin extract and showed a variety of inhibition zones ranging from 32 to 41 mm. Chlorophyllin reduces the biofilm strength of four isolates from strong to moderate and six from strong to weak. The antibiofilm potential of Chlorophyllin was measured by a reduction in the number of functional groups observed in the Fourier Transform Infrared Spectrometer (FTIR) spectra of the extracellular polymeric substance (EPS) samples. Chlorophyllin showed binding with AgI/II proteins of S. mutans, which are involved in adherence to the tooth surface and initiating biofilm formation. The ADMET analysis revealed that the safety of Chlorophyllin exhibited favorable pharmacokinetic properties. Conclusions: Chlorophyllin stands out as a promising antibacterial and antibiofilm agent against biofilm-forming S. mutans, and its safety profile highlights its potential suitability for further investigation as a therapeutic agent. Full article
(This article belongs to the Special Issue The Search for Antimicrobial Agents from Natural Products)
Show Figures

Figure 1

Back to TopTop