Sign in to use this feature.

Years

Between: -

Subjects

remove_circle_outline
remove_circle_outline
remove_circle_outline
remove_circle_outline
remove_circle_outline
remove_circle_outline
remove_circle_outline

Journals

Article Types

Countries / Regions

Search Results (21)

Search Parameters:
Keywords = anomalous compression behavior

Order results
Result details
Results per page
Select all
Export citation of selected articles as:
29 pages, 753 KB  
Article
A Coherent Electrodynamics Theory of Liquid Water
by Antonella De Ninno and Luca Gamberale
Liquids 2025, 5(4), 30; https://doi.org/10.3390/liquids5040030 - 5 Nov 2025
Viewed by 965
Abstract
This study presents a quantum electrodynamics (QED) framework that explains the anomalous behavior of liquid water. The theory posits that water consists of two coexisting phases: a coherent phase, in which molecules form phase-locked coherence domains (CDs), and an incoherent phase that behaves [...] Read more.
This study presents a quantum electrodynamics (QED) framework that explains the anomalous behavior of liquid water. The theory posits that water consists of two coexisting phases: a coherent phase, in which molecules form phase-locked coherence domains (CDs), and an incoherent phase that behaves like a dense van der Waals fluid. By solving polynomial-type equations, we derive key thermodynamic properties, including the minima in the isobaric heat capacity per particle (IHCP) and the isothermal compressibility, as well as the divergent behavior observed near 228 K. The theory also accounts for water’s high static dielectric constant. These results emerge from first-principles QED, integrating quantum coherence with macroscopic thermodynamics. The framework offers a unified explanation for water’s anomalies and has implications for biological systems, materials science, and fundamental physics. Future work will extend the theory to include phase transitions, solute interactions, and the freezing process. Full article
(This article belongs to the Special Issue Energy Transfer in Liquids)
Show Figures

Graphical abstract

19 pages, 888 KB  
Article
AI-Based Anomaly Detection and Optimization Framework for Blockchain Smart Contracts
by Hassen Louati, Ali Louati, Elham Kariri and Abdulla Almekhlafi
Adm. Sci. 2025, 15(5), 163; https://doi.org/10.3390/admsci15050163 - 27 Apr 2025
Cited by 1 | Viewed by 2921
Abstract
Blockchain technology has transformed modern digital ecosystems by enabling secure, transparent, and automated transactions through smart contracts. However, the increasing complexity of these contracts introduces significant challenges, including high computational costs, scalability limitations, and difficulties in detecting anomalous behavior. In this study, we [...] Read more.
Blockchain technology has transformed modern digital ecosystems by enabling secure, transparent, and automated transactions through smart contracts. However, the increasing complexity of these contracts introduces significant challenges, including high computational costs, scalability limitations, and difficulties in detecting anomalous behavior. In this study, we propose an AI-based optimization framework that enhances the efficiency and security of blockchain smart contracts. The framework integrates Neural Architecture Search (NAS) to automatically design optimal Convolutional Neural Network (CNN) architectures tailored to blockchain data, enabling effective anomaly detection. To address the challenge of limited labeled data, transfer learning is employed to adapt pre-trained CNN models to smart contract patterns, improving model generalization and reducing training time. Furthermore, Model Compression techniques, including filter pruning and quantization, are applied to minimize the computational load, making the framework suitable for deployment in resource-constrained blockchain environments. Experimental results on Ethereum transaction datasets demonstrate that the proposed method achieves significant improvements in anomaly detection accuracy and computational efficiency compared to conventional approaches, offering a practical and scalable solution for smart contract monitoring and optimization. Full article
(This article belongs to the Special Issue Research on Blockchain Technology and Business Process Design)
Show Figures

Figure 1

9 pages, 1394 KB  
Article
Sub-200 fs Polarization-Maintaining All-Fiber Thulium-Doped Dissipative Soliton Fiber Laser System at 1920 nm
by Timothy Lim, Shutao Xu, Lachlan Hooper, Maria Davey and Michelle Y. Sander
Photonics 2025, 12(4), 361; https://doi.org/10.3390/photonics12040361 - 10 Apr 2025
Cited by 1 | Viewed by 1216
Abstract
A polarization-maintaining all-fiber laser source based on a nonlinear amplifying loop mirror with broadband operation (64 nm) around 1920 nm is demonstrated. The oscillator can generate 66 pJ up-chirped dissipative soliton pulses at a repetition rate of 22.8 MHz with a high polarization [...] Read more.
A polarization-maintaining all-fiber laser source based on a nonlinear amplifying loop mirror with broadband operation (64 nm) around 1920 nm is demonstrated. The oscillator can generate 66 pJ up-chirped dissipative soliton pulses at a repetition rate of 22.8 MHz with a high polarization extinction ratio of 17 dB. By adding a polarization controller to the polarization-maintaining dispersion-compensating fiber, the filter behavior can be adjusted allowing for the tuning of the emission to a center wavelength of 1878 nm, 1907 nm, and 1926 nm. Using an all-polarization-maintaining single-mode fiber amplifier with anomalous dispersion, the pulses are amplified to 0.9 nJ and compressed to a near Fourier-limited pulse duration of 170 fs with a peak power of 4.3 kW. Such all-fiber-based sources are attractive due to their compact size, high beam quality, and good environment stability. Full article
(This article belongs to the Special Issue Optical Fiber Lasers and Laser Technology)
Show Figures

Figure 1

14 pages, 6296 KB  
Communication
Double Domes of Mesoscopic Localized Anisotropic Lattice Strain in HCP–Ag75Al25 Under Uniaxial Compression
by Zhexin Sun, Mingtao Li, Nana Li and Wenge Yang
Materials 2025, 18(7), 1650; https://doi.org/10.3390/ma18071650 - 3 Apr 2025
Viewed by 789
Abstract
The anisotropic strain development and releasing process in materials is largely related to their intrinsic mechanical properties and mesoscale grain interactions. Uniaxial compression can induce a large amount activation energy in a system, which builds up anisotropic elastic strain. This is especially common [...] Read more.
The anisotropic strain development and releasing process in materials is largely related to their intrinsic mechanical properties and mesoscale grain interactions. Uniaxial compression can induce a large amount activation energy in a system, which builds up anisotropic elastic strain. This is especially common in a hexagonal close-packed (HCP) system. Utilizing the X-ray diffraction technique, we investigated the double-dome shaped evolution of its anomalous anisotropic strain when compressing a polycrystalline HCP–silver–aluminum (Ag75Al25) alloy up to 40 GPa. Analysis of the pressure-dependent grain size showed that the anisotropic strain relaxation was accompanied with grain-size refinement. This was a strong indication of microscopic structural anisotropy impacting both the mesoscopic mechanical properties and the macroscopic fracture behavior under uniaxial compression. Our findings provide valuable novel insights for further studies on materials with anisotropic mechanical properties. Full article
Show Figures

Figure 1

10 pages, 2954 KB  
Communication
Polarization-Dependent Formation of Extremely Compressed Femtosecond Wave Packets and Supercontinuum Generation in Fused Silica
by Ilia Geints and Olga Kosareva
Photonics 2024, 11(7), 620; https://doi.org/10.3390/photonics11070620 - 28 Jun 2024
Cited by 1 | Viewed by 1267
Abstract
Previous studies of formation of extremely compressed wave packets during femtosecond filamentation in the region of anomalous group velocity dispersion in solid dielectrics mostly considered the case of linearly polarized laser pulses. However, recent results suggest potential applications of polarization state manipulation for [...] Read more.
Previous studies of formation of extremely compressed wave packets during femtosecond filamentation in the region of anomalous group velocity dispersion in solid dielectrics mostly considered the case of linearly polarized laser pulses. However, recent results suggest potential applications of polarization state manipulation for ultrafast laser writing of optical structures in bulk solid-state media. In the present work, evolution of radiation polarization parameters during formation of such extreme wave packets at the pump wavelength of 1900 nm in fused silica is studied numerically on the basis of the carrier-resolved unidirectional pulse propagation equation (UPPE). It was revealed that initial close-to-circular polarization leads to higher intensity of the anti-Stokes wing in the spectrum of the generated supercontinuum. Numerical simulations indicate a complex, space–time variant polarization state, and the resulting spatiotemporal electric field distribution exhibits a strong dependence on the initial polarization of the femtosecond pulse. At the same time, electric field polarization tends to linear one in the region with the highest field strength regardless of the initial parameters. The origin of this behavior is attributed to the properties of the supercontinuum components generation during filament-induced plasma formation. Full article
(This article belongs to the Special Issue Ultrafast Intense Laser Filamentation and Beyond)
Show Figures

Figure 1

17 pages, 3322 KB  
Article
Exploring the Interplay between Structure and Electronic Behavior across Pressure-Induced Isostructural and Structural Transitions in Weyl-Type Semimetal NbAs
by João E. F. S. Rodrigues, Emin Mijit, Angelika D. Rosa, Laura Silenzi, Nodoka Hara, Catalin Popescu, José A. Alonso, Tetsuo Irifune, Zhiwei Hu and Andrea Di Cicco
Crystals 2024, 14(7), 578; https://doi.org/10.3390/cryst14070578 - 21 Jun 2024
Viewed by 1848
Abstract
NbAs is a Weyl semimetal and belongs to the group of topological phases that exhibit distinct quantum and topological attributes. Topological phases have a fundamentally different response to external perturbations, such as magnetic fields. To obtain insights into the response of such phases [...] Read more.
NbAs is a Weyl semimetal and belongs to the group of topological phases that exhibit distinct quantum and topological attributes. Topological phases have a fundamentally different response to external perturbations, such as magnetic fields. To obtain insights into the response of such phases to pressure, we conducted a comprehensive study on the pressure-induced electronic and structural transitions in NbAs. We used micro-X-ray diffraction (XRD) and micro-X-ray spectroscopy (XAS) techniques to elucidate the changes at different atomic and electronic length scales (local, medium, and bulk) as combined with theoretical calculations. High-pressure XRD measurements revealed a rather common compression behavior up to ~12 GPa that could be fitted to an equation of state formalism with a bulk modulus of K0= 179.6 GPa. Complementary Nb K-edge XAS data unveiled anomalies at pressure intervals of ~12–15 and ~25–26 GPa in agreement with previous literature data from XRD studies. We attribute these anomalies to a previously reported topological Lifshitz transition and the tetragonal-to-hexagonal phase transition, respectively. Analysis of EXAFS results revealed slight changes in the mean next-nearest neighbor distance Nb–As(1) (~2.6 Å) at ~15 GPa, while the second nearest neighboring bond Nb–Nb(1) (~3.4 Å) shows a pronounced anomaly. This indicates that the electronic changes across the Lifshitz transition are accommodated first in the medium-range atomic structure and then at the local range and bulk. The variances of these bonds show anomalous but progressive evolutions close to the tetragonal-to-hexagonal transition at ~25 GPa, which allowed us to derive the evolution of vibration properties in this material. We suggest a prominent displacive character of the I41mdP6¯m2 transition facilitated by phonon modes. Full article
Show Figures

Figure 1

17 pages, 2401 KB  
Article
Assessment of Intramural Segment Compression in Anomalous Coronary Arteries through Patient-Specific Finite Element Modeling
by Antonio Rosato, Mauro Lo Rito, Serena Anglese, Valentina Ceserani, Ariel Fernando Pascaner, Francesco Secchi and Michele Conti
Appl. Sci. 2023, 13(20), 11185; https://doi.org/10.3390/app132011185 - 11 Oct 2023
Cited by 5 | Viewed by 2006
Abstract
Background: Anomalous Aortic Origin of a Coronary Artery (AAOCA) is a congenital condition that can lead to ischemia and sudden cardiac death. Current diagnostic tools are unable to fully quantify the pathological behavior that occurs mainly with physical effort. Methods: Patients’ computed tomography [...] Read more.
Background: Anomalous Aortic Origin of a Coronary Artery (AAOCA) is a congenital condition that can lead to ischemia and sudden cardiac death. Current diagnostic tools are unable to fully quantify the pathological behavior that occurs mainly with physical effort. Methods: Patients’ computed tomography scans and centerline-based geometric quantities were used to develop three-dimensional computer-aided design models of the main anatomical variants of AAOCA. Blood pressure ranging from rest to extreme effort was simulated through structural finite element analyses, and the pressurized geometries were analyzed to evaluate coronary lumen cross-sectional areas and variations at the different loading conditions. Results: We simulated 39 subjects, demonstrating the ability to reproduce accurately the patient-specific anatomy of different AAOCA variants and capture pathological behaviors. AAOCAs with intramural courses showed compression along the proximal segment with a caliber reduction ranging from 0.14% to 18.87% at different pressure levels. The percentage of proximal narrowing relative to the distal segment was greater than any other type of anomalous course and exceeded 50% with simulated exertion. Conclusions: The present study proposes a computational pipeline to investigate conditions not reproducible in clinical practice, providing information to support decision-making in the management of AAOCA patients. Full article
(This article belongs to the Special Issue Application of Biomechanics in Cardiovascular Diseases)
Show Figures

Figure 1

13 pages, 745 KB  
Article
How Dimensionality Affects the Structural Anomaly in a Core-Softened Colloid
by Leandro B. Krott and José Rafael Bordin
Colloids Interfaces 2023, 7(2), 33; https://doi.org/10.3390/colloids7020033 - 21 Apr 2023
Cited by 4 | Viewed by 3502
Abstract
The interaction between hard core–soft shell colloids are characterized by having two characteristic distances: one associated with the penetrable, soft corona and another one corresponding to the impenetrable core. Isotropic core-softened potentials with two characteristic length scales have long been applied to understand [...] Read more.
The interaction between hard core–soft shell colloids are characterized by having two characteristic distances: one associated with the penetrable, soft corona and another one corresponding to the impenetrable core. Isotropic core-softened potentials with two characteristic length scales have long been applied to understand the properties of such colloids. Those potentials usually show water-like anomalies, and recent findings have indicated the existence of multiple anomalous regions in the 2D limit under compression, while in 3D, only one anomalous region is observed. In this direction, we perform molecular dynamics simulations to unveil the details about the structural behavior in the quasi-2D limit of a core-softened colloid. The fluid was confined between highly repulsive solvophobic walls, and the behavior at distinct wall separations and colloid densities was analyzed. Our results indicated a straight relation between the 2D- or 3D-like behavior and layer separation. We can relate that if the system behaves as independent 2D-layers, it will have a 2D-like behavior. However, for some separations, the layers are connected, with colloids hopping from one layer to another, thus having a 3D-like structural behavior. These findings fill the gap in the depiction of the anomalous behavior from 2D to 3D. Full article
Show Figures

Figure 1

16 pages, 1573 KB  
Article
Yield Surfaces and Plastic Potentials for Metals, with Analysis of Plastic Dilatation and Strength Asymmetry in BCC Crystals
by Aleksander Zubelewicz and John D. Clayton
Metals 2023, 13(3), 523; https://doi.org/10.3390/met13030523 - 5 Mar 2023
Cited by 1 | Viewed by 2815
Abstract
Since the 1980s, constitutive modeling has steadily migrated from phenomenological descriptions toward approaches that are based on micromechanics considerations. Despite significant efforts, crystal plasticity remains an open field of research. Among the unresolved issues are the anomalous behavior of metals at low temperatures [...] Read more.
Since the 1980s, constitutive modeling has steadily migrated from phenomenological descriptions toward approaches that are based on micromechanics considerations. Despite significant efforts, crystal plasticity remains an open field of research. Among the unresolved issues are the anomalous behavior of metals at low temperatures and the stress upturn at extreme dynamics. This work is focused on the low-temperature responses of body-centered-cubic (bcc) metals, among them, molybdenum (Mo). At these conditions, the plastic flow strength is governed by the motion of screw dislocations. The resultant non-planarity of core structures and slip causes the following: the shear stress includes non-glide components, the Schmid law is violated, there is a tension-compression asymmetry, and the yield surface and plastic potential are clearly decoupled. We find that the behavioral complexities can be explained by atomistically resolved friction coefficients in macroscopic yield and flow. The plastic flow mechanisms establish the departure point into the follow-up analysis of yield surfaces. For example, we know that while the von Mises stress is explained based on energy considerations, we will also show that the stress has a clear geometric interpretation. Moreover, the von Mises stress is just one case within a much broader class of equivalent stresses. Possible correlations among non-Schmid effects (as represented macroscopically by friction coefficients), volume change (i.e., residual elastic dilatation) from dislocation lines, and elastic anisotropy are investigated. Extensions to the shock regime are also established. Full article
Show Figures

Figure 1

13 pages, 3699 KB  
Article
Structural Stability, Thermodynamic and Elastic Properties of Cubic Zr0.5Nb0.5 Alloy under High Pressure and High Temperature
by Xiuxiu Yang, Shihao Zhang, Hang Zhu, Peidong Tao, Lili Huang, Mu Li, Wei Zhang, Ying Li, Cangtao Zhou and Yongtao Zou
Crystals 2022, 12(5), 631; https://doi.org/10.3390/cryst12050631 - 28 Apr 2022
Cited by 8 | Viewed by 2871
Abstract
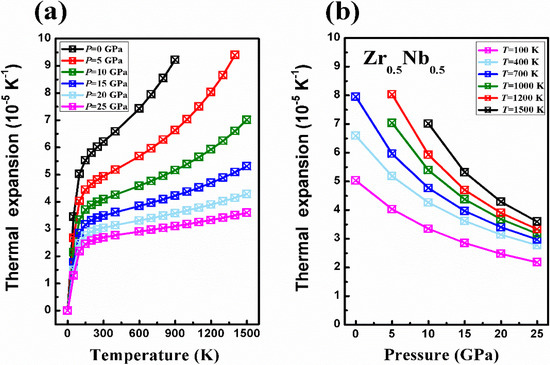
Structural stability, sound velocities, elasticity, and thermodynamic properties of cubic Zr0.5Nb0.5 alloy have been investigated at high pressure and high temperature by first-principles density functional calculations combined with the quasi-harmonic Debye model. A pronounced pressure-induced shear wave velocity stiffening in [...] Read more.
Structural stability, sound velocities, elasticity, and thermodynamic properties of cubic Zr0.5Nb0.5 alloy have been investigated at high pressure and high temperature by first-principles density functional calculations combined with the quasi-harmonic Debye model. A pronounced pressure-induced shear wave velocity stiffening in Zr0.5Nb0.5 alloy is observed at pressures above ~11 GPa, owing to its structural instability under high pressure, whose anomalous behavior is also observed in the end members of Zr-Nb alloys for Zr at ~13 GPa and for Nb at ~6 GPa upon compression, respectively. In addition, high-pressure elasticity and elastic-correlated properties of cubic Zr0.5Nb0.5 are reported, as compared with previous studies on Zr-Nb alloys with different compositions. A comprehensive study of the thermodynamic properties of cubic Zr0.5Nb0.5, such as heat capacity (Cv), thermal expansion coefficients (α), and Debye temperature (ΘD), are also predicted at pressures and temperatures up to 30 GPa and 1500 K using the quasi-harmonic Debye model. Full article
Show Figures

Figure 1

19 pages, 3013 KB  
Article
Evidence of Many-Body Interactions in the Virial Coefficients of Polyelectrolyte Gels
by Ferenc Horkay and Jack F. Douglas
Gels 2022, 8(2), 96; https://doi.org/10.3390/gels8020096 - 4 Feb 2022
Cited by 7 | Viewed by 2833
Abstract
Simulation studies of aqueous polymer solutions, and heuristic arguments by De Gennes for aqueous polyethylene oxide polymer solutions, have suggested that many-body interactions can give rise to the ‘anomalous’ situation in which the second osmotic virial coefficient is positive, while the third virial [...] Read more.
Simulation studies of aqueous polymer solutions, and heuristic arguments by De Gennes for aqueous polyethylene oxide polymer solutions, have suggested that many-body interactions can give rise to the ‘anomalous’ situation in which the second osmotic virial coefficient is positive, while the third virial coefficient is negative. This phenomenon was later confirmed in analytic calculations of the phase behavior and the osmotic pressure of complex fluids exhibiting cooperative self-assembly into extended dynamic polymeric structures by Dudowicz et al. In the present study, we experimentally confirm the occurrence of this osmotic virial sign inversion phenomenon for several highly charged model polyelectrolyte gels (poly(acrylic acid), poly(styrene sulfonate), DNA, hyaluronic acid), where the virial coefficients are deduced from osmotic pressure measurements. Our observations qualitatively accord with experimental and simulation studies indicating that polyelectrolyte materials exhibit supramolecular assembly in solution, another symptomatic property of fluids exhibiting many-body interactions. We also find that the inversion in the variation of the second (A2) and third (A2) virial coefficients upon approach to phase separation does not occur in uncharged poly(vinyl acetate) gels. Finally, we briefly discuss the estimation of the osmotic compressibility of swollen polyelectrolyte gels from neutron scattering measurements as an alternative to direct, time-consuming and meticulous osmotic pressure measurements. We conclude by summarizing some general trends and suggesting future research directions of natural and synthetic polyelectrolyte hydrogels. Full article
(This article belongs to the Collection Feature Papers in Gel Materials)
Show Figures

Figure 1

31 pages, 6393 KB  
Article
Rice-Husk Shredding as a Means of Increasing the Long-Term Mechanical Properties of Earthen Mixtures for 3D Printing
by Elena Ferretti, Massimo Moretti, Alberto Chiusoli, Lapo Naldoni, Francesco de Fabritiis and Massimo Visonà
Materials 2022, 15(3), 743; https://doi.org/10.3390/ma15030743 - 19 Jan 2022
Cited by 30 | Viewed by 6589
Abstract
This paper is part of a study on earthen mixtures for the 3D printing of buildings. To meet the ever increasing environmental needs, the focus of the paper is on a particular type of biocomposite for the stabilization of earthen mixtures—the rice-husk–lime biocomposite—and [...] Read more.
This paper is part of a study on earthen mixtures for the 3D printing of buildings. To meet the ever increasing environmental needs, the focus of the paper is on a particular type of biocomposite for the stabilization of earthen mixtures—the rice-husk–lime biocomposite—and on how to enhance its effect on the long-term mechanical properties of the hardened product. Assuming that the shredding of the vegetable fiber is precisely one of the possible ways to improve the mechanical properties, we compared the results of uniaxial compression tests performed on cubic specimens, made with both shredded and unaltered vegetable fiber, for three curing periods. The results show that the hardened earthen mixture is not a brittle material, in the strict sense, because it exhibits some peculiar behaviors that are anomalous for a brittle material. However, being a “designable” material, its properties can be varied with a certain flexibility in order to become as close as possible to the desired ones. One of the peculiar properties of the hardened earthen mixture deserves further investigation, rather than corrections. This is the vulcanization that occurs (in a completely natural way) over the long term, thanks to the mineralization of the vegetable fiber by the carbonation of the lime. Full article
(This article belongs to the Special Issue Advances in Micromechanical Behavior of Materials)
Show Figures

Figure 1

13 pages, 1950 KB  
Article
Indentation Response of Calcium Aluminoborosilicate Glasses Subjected to Humid Aging and Hot Compression
by Xiangting Ren, Pengfei Liu, Sylwester J. Rzoska, Boleslaw Lucznik, Michal Bockowski and Morten M. Smedskjaer
Materials 2021, 14(13), 3450; https://doi.org/10.3390/ma14133450 - 22 Jun 2021
Cited by 3 | Viewed by 2315
Abstract
Aluminoborosilicate glasses find a wide range of applications, which require good mechanical reliability such as surface damage resistance. Calcium aluminoborosilicate (CABS) glasses have recently been found to exhibit so-called intermediate behavior in terms of their response to sharp contact loading. That is, these [...] Read more.
Aluminoborosilicate glasses find a wide range of applications, which require good mechanical reliability such as surface damage resistance. Calcium aluminoborosilicate (CABS) glasses have recently been found to exhibit so-called intermediate behavior in terms of their response to sharp contact loading. That is, these glasses deform with less shear than normal glass and less densification than anomalous glasses. This deformation mechanism is believed to give rise to high crack initiation resistance of certain CABS glasses. In order to further improve and understand the micromechanical properties of this glass family, we studied the indentation response of different CABS glasses subjected to two types of post-treatment, namely hot compression and humid aging. Upon hot compression, density, elastic moduli, and hardness increased. Specifically, elastic modulus increased by as much as 20% relative to the as-made sample, while the largest change in hardness was 1.8 GPa compared to the as-made sample after hot compression. The pressure-induced increase in these properties can be ascribed to the increase in network connectivity and bond density. On the other hand, the crack initiation resistance decreased, as the hot compression increased the residual stress driving the indentation cracking. Humid aging had only a minor impact on density, modulus, and hardness, but an observed decrease in crack initiation resistance. We discuss the correlations between hardness, density, crack resistance, and deformation mechanism and our study thus provides guidelines for tailoring the mechanical properties of oxide glasses. Full article
(This article belongs to the Special Issue Feature Paper in Section Materials Chemistry)
Show Figures

Figure 1

15 pages, 2140 KB  
Article
Mechanism of Nano-Structuring Manipulation of the Crystallization Temperature of Superlattice-like [Ge8Sb92/Ge]3 Phase-Change Films
by Qingqian Qiu, Pengzhi Wu, Yifeng Hu, Jiwei Zhai and Tianshu Lai
Nanomaterials 2021, 11(1), 20; https://doi.org/10.3390/nano11010020 - 24 Dec 2020
Cited by 7 | Viewed by 2445
Abstract
Superlattice-like (SLL) phase-change film is considered to be a promising phase-change material because it provides more controllabilities for the optimization of multiple performances of phase-change films. However, the mechanism by which SLL structure affects the properties of phase-change films is not well-understood. Here, [...] Read more.
Superlattice-like (SLL) phase-change film is considered to be a promising phase-change material because it provides more controllabilities for the optimization of multiple performances of phase-change films. However, the mechanism by which SLL structure affects the properties of phase-change films is not well-understood. Here, four SLL phase-change films [Ge8Sb92(15 nm)/Ge (x nm)]3 with different x are fabricated. Their behaviors of crystallization are investigated by measuring sheet resistance and coherent phonon spectroscopy, which show that the crystallization temperature (TC) of these films increases anomalously with x, rather than decreases as the interfacial effects model predicted. A new stress effect is proposed to explain the anomalous increase in TC with x. Raman spectroscopy reveals that Raman shifts of all phonon modes in SLL films deviate from their respective standard Raman shifts in stress-free crystalline films, confirming the presence of stress in SLL films. It is also shown that tensile and compressive stresses exist in Ge and Ge8Sb92 layers, respectively, which agrees with the lattice mismatch between the Ge and Ge8Sb92 constituent layers. It is also found that the stress reduces with increasing x. Such a thickness dependence of stress can be used to explain the increase in crystallization temperature of four SLL films with x according to stress-enhanced crystallization. Our results reveal a new mechanism to affect the crystallization behaviors of SLL phase-change films besides interfacial effect. Stress and interfacial effects actually coexist and compete in SLL films, which can be used to explain the reported anomalous change in crystallization temperature with the film thickness and cycle number of periods in SLL phase-change films. Full article
Show Figures

Figure 1

14 pages, 9880 KB  
Article
Strain Rate and Porosity Effect on Mechanical Characteristics and Depolarization of Porous Poled PZT95/5 Ceramics
by Zhaoxiu Jiang, Guangfa Gao, Xiaofeng Wang and Yonggang Wang
Materials 2020, 13(21), 4730; https://doi.org/10.3390/ma13214730 - 23 Oct 2020
Cited by 5 | Viewed by 2595
Abstract
Shock wave compression of poled PZT95/5 ceramics results in rapid depoling and a release of bound charge. Porous PZT95/5 ceramics are superior to dense ceramics in high-voltage breakdown resistance under shock-wave loading. In this article, the mechanical and electrical responses of porous poled [...] Read more.
Shock wave compression of poled PZT95/5 ceramics results in rapid depoling and a release of bound charge. Porous PZT95/5 ceramics are superior to dense ceramics in high-voltage breakdown resistance under shock-wave loading. In this article, the mechanical and electrical responses of porous poled PZT95/5 ceramics under uniaxial stresses at different strain rates were investigated using the servo-hydraulic MTS810 universal test machine and the improved split Hopkinson pressure bar system. The engineering stress vs. axial and radial engineering strain curves of porous poled PZT95/5 ceramics under different strain rates exhibit anomalous nonlinear behavior. The nonlinear behavior and depolarization mechanism of porous poled PZT95/5 were attributed to the domain switching and phase transformation. By comparing the stress–strain curves of the porosity porous poled PZT95/5 ceramics at different strain rates, an obvious strain rate sensitivity of mechanical behavior can be found, and the strain rate sensitivity decreases with the increase of porosity. The critical stress of domain switching and phase transformation and the strength increased with increasing strain rate. In addition, their normalized values showed a logarithmic relationship with the strain rate. Finally, we suggest that the maximum polarization released is nearly independent of stress state and strain rate, and it only depends on the porosity. Full article
Show Figures

Figure 1

Back to TopTop