Sign in to use this feature.

Years

Between: -

Subjects

remove_circle_outline
remove_circle_outline
remove_circle_outline
remove_circle_outline
remove_circle_outline
remove_circle_outline
remove_circle_outline
remove_circle_outline
remove_circle_outline

Journals

Article Types

Countries / Regions

Search Results (31)

Search Parameters:
Keywords = anode slime

Order results
Result details
Results per page
Select all
Export citation of selected articles as:
23 pages, 2522 KB  
Article
Alkali Fusion–Leaching Process for Non-Standard Copper Anode Slime (CAS)
by Jovana Djokić, Nataša Gajić, Dragana Radovanović, Marija Štulović, Stevan Dimitrijević, Nela Vujović and Željko Kamberović
Metals 2025, 15(12), 1308; https://doi.org/10.3390/met15121308 - 27 Nov 2025
Viewed by 767
Abstract
Copper anode slime (CAS), obtained from non-standard anodes by pyro-hydrometallurgical electronic waste (e-waste) processing, contains high concentrations of lead, tin (as metastannic acid), and base (Cu, Fe, Zn), precious (Au, Ag), and technological metals (In, Ga, Ge), which limit the efficiency of conventional [...] Read more.
Copper anode slime (CAS), obtained from non-standard anodes by pyro-hydrometallurgical electronic waste (e-waste) processing, contains high concentrations of lead, tin (as metastannic acid), and base (Cu, Fe, Zn), precious (Au, Ag), and technological metals (In, Ga, Ge), which limit the efficiency of conventional valorization methods. In this study, an integrated alkali fusion–leaching process was applied to non-standard CAS. Thermodynamic modeling defined the key parameters for selective phase transformations and efficient metal separation. These parameters were experimentally investigated, and the optimized fusion conditions (CAS:NaOH = 40:60, 600 °C, 60 min), followed by water leaching (200 g/dm3, 80 °C, 60 min, 250 rpm), resulted in >97% Sn removal efficiency. Simultaneously, Au and Ag losses were negligible, resulting in solid residue enrichment. Oxidant addition (NaNO3) did not improve Sn removal but increased Fe, Pb, and Ag solubility, reducing selectivity. The scaled-up test confirmed process reproducibility, achieving 97.75% Sn dissolution and retention of precious metals in the PbO-based residue (99.99% Au, 99.78% Ag). Application of an integrated thermodynamic modeling, laboratory optimization, and scaled-up validation approach to non-standard CAS provides a relevant framework for a selective, efficient, and scalable method addressing industrial needs driven by increased e-waste co-processing, contributing to sustainable metal recovery. Full article
(This article belongs to the Special Issue Hydrometallurgical Processes for the Recovery of Critical Metals)
Show Figures

Graphical abstract

14 pages, 3161 KB  
Article
Efficient Electrolytic Refining of Crude Solder Assisted by Additives in a Fluosilicic Acid System
by Yuantao Yang, Zhaoyi Wang, Xuanbing Wang, Wanli Xu, Haibin Yuan, Qingdong Liu, Ruidong Xu and Linjing Yang
Materials 2025, 18(17), 4122; https://doi.org/10.3390/ma18174122 - 2 Sep 2025
Viewed by 1204
Abstract
Current electrolytic refining processes for crude solder commonly employ fluosilicic acid (H2SiF6) as the electrolyte with bone glue and β-naphthol additives yet suffer from poor electrolyte stability, coarse cathode crystallization, low current efficiency, and high energy consumption, adversely affecting [...] Read more.
Current electrolytic refining processes for crude solder commonly employ fluosilicic acid (H2SiF6) as the electrolyte with bone glue and β-naphthol additives yet suffer from poor electrolyte stability, coarse cathode crystallization, low current efficiency, and high energy consumption, adversely affecting product quality and economic viability. In order to solve these limitations, electrochemical techniques, XRD, SEM, and ICP-OES were used to study the effects of gelatin and sodium lignosulfonate on the deposition overpotential and cathode morphology, as well as the effects of process parameters on current efficiency and energy consumption. A novel approach was developed using an H2SiF6 system enhanced by gelatin and sodium lignosulfonate for crude solder refining. After optimization, 120 h electrolysis achieved a current efficiency >97.8%, smooth/dense cathode surface, average cell voltage of 0.24 V, and energy consumption of 98.15 kWh/t. Efficient deposition of 81.2% Sn and 75.2% Pb on the cathode was realized, while >93.3% of Sb, Bi, Ag, Cu, and As were enriched in anode slime to facilitate valuable metal recovery, and >90.6% of In/Al concentrated in the electrolyte enabled effective Sn-Pb impurity separation. This study provides theoretical and technical foundations for advancing sustainable and economical electrolytic refining of crude solder. Full article
(This article belongs to the Section Electronic Materials)
Show Figures

Figure 1

17 pages, 1990 KB  
Article
Selective Separation of Antimony and Preparation of Sodium Antimonate by Sodium Salt Leaching-Synergistic Oxidation from High Arsenic Antimony Residue
by Yanliang Zeng, Jun Jin, Chunfa Liao and Fupeng Liu
Metals 2025, 15(9), 929; https://doi.org/10.3390/met15090929 - 22 Aug 2025
Viewed by 1363
Abstract
In this study, the catalytic air oxidation method was used to selectively form sodium antimonate from an antimony residue Na2S-NaOH leaching solution of a high arsenic copper anode slime. In the first stage, the leaching process with Na2S and [...] Read more.
In this study, the catalytic air oxidation method was used to selectively form sodium antimonate from an antimony residue Na2S-NaOH leaching solution of a high arsenic copper anode slime. In the first stage, the leaching process with Na2S and NaOH media resulted in more than 98% leaching of antimony. The synergistic oxidation method was used to selectively separate antimony in the second stage. In this study, the oxidation rate of antimony was greater than 98% at the NaOH concentration of 50 g·L−1 and a combined oxidation concentration of 0.75 g·L−1 catechol + 0.75 g·L−1 KMnO4, under the air flow rates of 1.415 m3·min−1 at 75 °C for 8 h. The pH of the crude sodium antimonate product was adjusted; subsequently, it was redissolved and precipitated to prepare refined sodium antimonate that meets the secondary product standard of China’s non-ferrous metal industry, which recommends an antimony recovery rate of >95.60%. After neutralisation, the liquid contains [As] < 0.10 g·L−1, [Sb] = 0.16–0.38 g·L−1, which can be reused in the composite leaching process. The apparent activation energy (Ea) of the catalytic oxidation reaction was 6.47 kJ·mol−1; the results suggested that the reaction process was diffusion controlled. dSbdt=8.86×105×e778.44T×Sb0.4906×[NaOH]1.190. Full article
Show Figures

Figure 1

26 pages, 948 KB  
Review
Antimony Recovery from Industrial Residues—Emphasis on Leaching: A Review
by Marinela Panayotova, Serhii Pysmennyi and Vladko Panayotov
Separations 2025, 12(6), 156; https://doi.org/10.3390/separations12060156 - 8 Jun 2025
Cited by 4 | Viewed by 4845
Abstract
Antimony (Sb) is a metalloid widely used in different areas—from the cutting-edge renewable energy technologies to “classical” lead acid batteries. Its availability in primary sources is limited, and these sources are geographically unevenly distributed worldwide. Antimony use will increase in the future. That [...] Read more.
Antimony (Sb) is a metalloid widely used in different areas—from the cutting-edge renewable energy technologies to “classical” lead acid batteries. Its availability in primary sources is limited, and these sources are geographically unevenly distributed worldwide. Antimony use will increase in the future. That is why Sb is included in the critical raw material lists of the European Union and the USA. In order to mitigate the future Sb shortage, Sb recovery from industrial residues is worth considering. This paper presents the availability of Sb in nonferrous metals extraction waste and the applicability of the hydrometallurgical route for Sb recovery from such sources. Leaching is emphasized. The use of acidic and alkaline leaching methods, their recent modifications, and the effect of different process parameters (reagents’ type, solid-to-liquid ratio, temperature, and the addition of oxidizing reagents) are highlighted. The use of new leaching systems, such as deep eutectic solvents and non-aqueous solutions, is presented. Initial attempts to apply bioleaching are described. Finally, some proposals for future investigations are given. Full article
(This article belongs to the Special Issue Solid Waste Recycling and Strategic Metal Extraction)
Show Figures

Figure 1

17 pages, 2914 KB  
Article
Investigation of the Possibilities for the Recycling of Mixed Heterogeneous Lead Refinery Waste
by Jasmina Dedić, Jelena Đokić, Gordana Milentijević, Irma Dervišević and Maja Petrović
Processes 2025, 13(5), 1380; https://doi.org/10.3390/pr13051380 - 30 Apr 2025
Viewed by 783
Abstract
The historical industrial waste deposit Gater was used to dispose of different metallurgy wastes from lead and zinc production. The metallurgical waste deposit was situated in the open space, between the tailing waste deposit Žitkovac and river Ibar flow. Large amounts of lead-containing [...] Read more.
The historical industrial waste deposit Gater was used to dispose of different metallurgy wastes from lead and zinc production. The metallurgical waste deposit was situated in the open space, between the tailing waste deposit Žitkovac and river Ibar flow. Large amounts of lead-containing wastes are produced in the non-ferrous metallurgical industry, such as lead ash and lead slag generated in Pb smelting, lead anode slime, and lead sludge produced in the raw lead refining process. In addition to the lead concentration, numerous valuable components are found in the lead refinery waste from the group of Critical Raw Materials, such as antimony, arsenic, bismuth, copper, nickel, magnesium, scandium, as well as Rare-Earth Elements. Samples with eight characteristic points were taken to obtain relevant data indicating a possible recycling method. The chemical composition analysis was conducted using ICP; the scanning was completed using SEM-EDS. The mineralogical composition was determined by using XRD. The chemical analysis showed a wide range of valuable metal concentrations, from Ag (in the range from 14.2 to 214.6, with an average 86.25 mg/kg) to heavy metals such as Cu (in the range from 282.7 to 28,298, with an average 10,683.7 mg/kg or 1.0683% that corresponds to some active mines), Ni and Zn (in the range from 1.259 to 69,853.4, with an average 14,304.81 mg/kg), Sc (in the range from 2.4 to 75.3, with an average 33.61 mg/kg), Pb (in the range from 862.6 to 154,027.5, with an average 45,046 mg/kg), Sb (in the range from 51.7 to 18,514.7, with an average 2267.8 mg/kg), Ca (in the range from 167.5 to 63,963, with an average 19,880 mg/kg), Mg (in the range from 668.3 to 76,824.5, with an average 31,670 mg/kg), and As (in the range from 62.9 to 24,328.1, with an average 5829.53 mg/kg). The mineralogy analysis shows that all metals are in the form of oxides, but in the case of As and Fe, SEM-EDS shows some portion of elemental lead, pyrite, and silica-magnesium-calcium oxides as slag and tailing waste residues. The proposed recovery process should start with leaching, and further investigation should decide on the type of leaching procedure and agents, considering the waste’s heterogeneous nature and acidity and toxicity. Full article
(This article belongs to the Special Issue Municipal Solid Waste for Energy Production and Resource Recovery)
Show Figures

Figure 1

17 pages, 5376 KB  
Article
Advancements in Anode Slime Treatment: Effects of pH, Temperature, and Concentration of ClO/OH on Selenium Dissolution from Decopperized Anode Slimes
by Evelyn Melo and Álvaro Jaldín
Minerals 2025, 15(5), 442; https://doi.org/10.3390/min15050442 - 25 Apr 2025
Viewed by 1598
Abstract
Selenium has been classified as a strategic element as it is required for the technology and energy industry. It is not found in abundance in the Earth’s crust, which is why about 90% of selenium is obtained from the treatment of anode slimes, [...] Read more.
Selenium has been classified as a strategic element as it is required for the technology and energy industry. It is not found in abundance in the Earth’s crust, which is why about 90% of selenium is obtained from the treatment of anode slimes, which are a by-product of copper mining. In recent years, several hydrometallurgical treatments have been investigated; as a result, this article presents an alternative proposal using an alkaline-oxidizing medium (ClO/OH). The Taguchi method was used to design an experiment to evaluate the changes in the conditions and interactions found in previous studies with regard to the ClO concentration, temperature, and pH. The best combination of conditions was a ClO concentration between 0.53 and 0.68 M, pH between 11.0 and 11.5, and temperature of 55 °C, with which selenium dissolution values between 91.8 and 94.2% were achieved. According to the SEM/EDS analysis, it is evident that an increase in temperature allowed an increase in the selenium reaction, and the selenium was not trapped in the AgCl layer formed by the same selenium dissolution reaction; the slowness of the selenium dissolution mainly depends on the low availability of sodium hypochlorite over time. Full article
(This article belongs to the Special Issue Hydrometallurgical Treatments of Copper Ores, By-Products and Waste)
Show Figures

Figure 1

15 pages, 4915 KB  
Article
Impurity Behavior in Cast Copper Anodes: Implications for Electrorefining in a Circular Economy
by Agustin Morales-Aragon, Daniel Sánchez-Rodas, Guillermo Ríos and Michael S. Moats
Metals 2025, 15(2), 113; https://doi.org/10.3390/met15020113 - 24 Jan 2025
Cited by 2 | Viewed by 3052
Abstract
The behavior of impurities in cast copper was investigated to simulate production with increased utilization of secondary sources within the framework of a circular economy. The incorporation of impurities, particularly Ni, Sn, and Sb, from recycled Cu may significantly impact the electrorefining process. [...] Read more.
The behavior of impurities in cast copper was investigated to simulate production with increased utilization of secondary sources within the framework of a circular economy. The incorporation of impurities, particularly Ni, Sn, and Sb, from recycled Cu may significantly impact the electrorefining process. In this study, commercial anodes were doped with Ni, Sn, and Sb concentrations of 2500–6500 g/t, 300–900 g/t, and 450–950 g/t, respectively. Anode concentrations of Pb and Bi were maintained at 1000 g/t and 350 g/t, respectively. As concentrations were examined at two levels, 860 or 1700 g/t, depending on the commercial anode used to create the doped samples. Electron microscopy with microprobe analysis revealed that the commercial anodes contained three predominant phases: Cu2O, (Cu,Ag)2(Se,Te), and a complex oxide phase of Cu, Pb, As, Sb, and/or Bi. Ni, the main impurity, primarily accumulated within the Cu grains, while Sn and Sb tended to form oxidized inclusions. The distribution of Ni in Cu grains was ca. 20% lower in the anodes doped at higher Ni concentrations due to the formation of nickel-bearing inclusions, such as Kupferglimmer and NiO. The doped anodes showed lower quantities of Cu2O inclusions than the commercial anodes due to the preferential formation of oxides with other impurities, including SnO2. These findings highlight potential challenges for Cu electrorefining in a circular economy, as Ni, Sb, and Sn may impact the deportment of these impurities to slimes or electrolyte and may cause copper depletion in the refining electrolyte. Full article
(This article belongs to the Section Metal Casting, Forming and Heat Treatment)
Show Figures

Figure 1

34 pages, 5942 KB  
Article
Gold Recovery from Smelting Copper Sulfide Concentrate
by Elmira Moosavi-Khoonsari and Nagendra Tripathi
Processes 2024, 12(12), 2795; https://doi.org/10.3390/pr12122795 - 7 Dec 2024
Cited by 8 | Viewed by 9599
Abstract
Gold is a significant revenue source for custom copper smelters facing profitability challenges due to low treatment and refining charges, stricter regulations, and rising costs. Gold is also often blended with copper concentrates, but precise recovery rates from smelting processes are poorly documented [...] Read more.
Gold is a significant revenue source for custom copper smelters facing profitability challenges due to low treatment and refining charges, stricter regulations, and rising costs. Gold is also often blended with copper concentrates, but precise recovery rates from smelting processes are poorly documented despite gold critical economic importance. This paper aims to provide the first comprehensive estimates of gold first-pass recovery across various operational units within the copper sulfide concentrate processing flowsheet. It evaluates the effectiveness of different copper smelting and converting technologies in recovering gold. Optimizing gold first-pass recovery is especially important to enhance immediate financial returns and responsiveness to market dynamics, allowing companies to capitalize on favorable gold prices without delays. Given the absence of direct measurements for gold recovery rates, this research develops an estimation method based on understanding gold loss mechanisms during smelting. This study identifies and analyzes key input and output parameters by examining data from various copper producers. By correlating these parameters with gold loss, the research estimates gold first-pass recovery rates within the copper smelting process. Among integrated smelting-converting routes, the flash smelting to Peirce–Smith converting route achieves the highest gold first-pass recovery (98.8–99.5%), followed by the Mitsubishi continuous smelting and converting process (94.3–99.8%), bottom-blowing smelting to bottom-blowing converting (95.8%), flash smelting to flash converting (95.5%), Teniente smelting to Peirce–Smith converting (95.2%), and the Noranda continuous smelting and converting process (94.8%). The final recovery rates are expected to be higher considering the by-products’ internal recirculation and post-processing within the copper flow sheet. Additionally, superior gold recoveries are attributed to advanced metallurgical practices and control systems, which vary even among companies with similar technologies. This research demonstrates that copper smelting can effectively recover over 99% of gold from sulfide concentrates. Gold accumulates up to 1000 times its original concentration in anode slime during electrolytic refining, generating 5–10 kg of slime per ton of copper, which is further processed to recover gold and other by-products. Major smelters operate precious metal plants where recovering gold from highly concentrated anode slime is both cost-effective and efficient. Full article
(This article belongs to the Special Issue Recent Trends in Extractive Metallurgy)
Show Figures

Figure 1

30 pages, 7687 KB  
Review
Copper Anode Slime Processing with a Focus on Gold Recovery: A Review of Traditional and Recent Technologies
by Elmira Moosavi-Khoonsari and Nagendra Tripathi
Processes 2024, 12(12), 2686; https://doi.org/10.3390/pr12122686 - 28 Nov 2024
Cited by 7 | Viewed by 9496
Abstract
Copper anode slime (CAS) contains high concentrations of precious metals, particularly gold, which can reach up to 11 wt%. During copper anode electrorefining, 5–10 kg of CAS is generated per ton of copper cathode. Processing CAS is crucial for economic reasons, as gold [...] Read more.
Copper anode slime (CAS) contains high concentrations of precious metals, particularly gold, which can reach up to 11 wt%. During copper anode electrorefining, 5–10 kg of CAS is generated per ton of copper cathode. Processing CAS is crucial for economic reasons, as gold significantly contributes to revenue for both miners and custom copper smelters. This paper provides a comprehensive review of industrial processes and technologies for CAS treatment, with a focus on gold recovery, covering studies from the early 1930s to the present. It documents traditional and recent trends and analyzes the advantages and disadvantages of existing methods. Key factors affecting revenue, such as gold production lead time, in-process inventory, and first-pass recovery rate, are discussed to mitigate losses in fluctuating gold markets. CAS processing routes are categorized into two main groups: traditional hybrid routes (involving hydrometallurgy, pyrometallurgy, and electrorefining/electrowinning) and rather recent purely hydrometallurgical routes. Traditional methods can take up to 45 days, with gold recovery occurring late in the process and losses arising in the anode, cathode, electrolyte, or slag. In contrast, purely hydrometallurgical routes have total processing times of 7–8 days, achieve early gold recovery, and can attain first-pass recovery rates as high as 99%. Additionally, the hydrometallurgical routes are more environmentally friendly, with lower pollution levels and reduced energy consumption compared to hybrid routes. These findings indicate that purely hydrometallurgical routes outperform traditional hybrid methods. This paper aims to serve as a guideline for industrial CAS processing, assisting custom copper smelters in navigating challenging market conditions marked by low treatment and refining charges, with an emphasis on enhancing gold recovery to promote sustainability. Full article
(This article belongs to the Special Issue Recent Trends in Extractive Metallurgy)
Show Figures

Figure 1

18 pages, 9191 KB  
Article
Impact of 5-Amino-1H Tetrazole on Reducing Silver in Copper Cathodes during Electrorefining with High Silver Content Anode Plates
by Chen Chen, Chu Cheng, Mengxin Wang, Haitao Liu, Xiaoheng Li and Kexing Song
Metals 2024, 14(7), 799; https://doi.org/10.3390/met14070799 - 8 Jul 2024
Cited by 2 | Viewed by 2039
Abstract
As the grade of the copper concentrate decreases and its composition becomes increasingly complex, the silver content in anode plates cast after fire refining increases, leading to a higher silver content in the copper cathode during electrorefining and a substantial loss of precious [...] Read more.
As the grade of the copper concentrate decreases and its composition becomes increasingly complex, the silver content in anode plates cast after fire refining increases, leading to a higher silver content in the copper cathode during electrorefining and a substantial loss of precious metals. This study investigates the impact of 5-amino-1H tetrazole (5-AT) on reducing silver in copper cathodes during electrorefining with high silver content anode plates. 5-AT forms an “adsorption layer” on the anode surface, reacting with Ag+ released by the anode to form a precipitate and prevent Ag+ from entering the electrolyte. This process agglomerates fine Ag-Se compounds and AgCl particles, creating larger anode slime particles that settle quickly, thus inhibiting fine silver-containing particles from adhering to the cathode. Furthermore, 5-AT adsorbs on the cathode, binding with Cu+ and promoting the Cu2+ electrodeposition process while inhibiting Ag+ electrodeposition. This facilitates uniform copper cathode grain growth and reduces inclusions in the copper cathode. The grain size of the copper cathode initially decreases and then increases as the concentration of 5-AT increases. At an optimal 5-AT concentration of 15 mg/L, the Ag content in the copper cathode decreased from 6.9 ppm to 4.7 ppm, indicating the potential efficacy of 5-AT in improving the quality of electrorefined copper. Full article
(This article belongs to the Special Issue Separation and Purification of Metals (Second Edition))
Show Figures

Figure 1

12 pages, 2647 KB  
Article
Separation and Enrichment of Au and Ag from Lead Anode Slime by a Selective Oxidation–Vacuum Volatilization–Carbon Reduction Process
by Jiafei Yi, Zhe Gao, Shaoxiong Li, Tongyu San, Xiangfeng Kong, Bin Yang, Dachun Liu, Baoqiang Xu and Wenlong Jiang
Metals 2024, 14(6), 693; https://doi.org/10.3390/met14060693 - 11 Jun 2024
Cited by 10 | Viewed by 2021
Abstract
Huge amounts of Au and Ag are recovered from the hazardous waste lead anode slime. The conventional extraction of precious metals from lead anode slime is based on pyrometallurgical and electrolytic processes, which are seriously conditioned by the separation of harmful elements As [...] Read more.
Huge amounts of Au and Ag are recovered from the hazardous waste lead anode slime. The conventional extraction of precious metals from lead anode slime is based on pyrometallurgical and electrolytic processes, which are seriously conditioned by the separation of harmful elements As and Sb. In this paper, an innovative and efficient oxidation–vacuum volatilization–carbon reduction process was proposed to separate and enrich Ag and Au from lead anode slime. Before vacuum volatilization, selective oxidation of the lead anode slime was performed. Then, vacuum volatilization and vacuum carbon reduction were used to obtain a gold- and silver-rich alloy. The feasibility of the process was verified experimentally and theoretically. The effects of temperature and time on vacuum volatilization separation and reduction enrichment were investigated. The experimental results showed that the Ag content in the resulting gold- and silver-rich alloy was as high as 67.58%, Au was as high as 4287 g/t, and the efficiencies for the recovery of Ag and Au from the lead anode slime were 99.25% and 99.91%, respectively. The gold- and silver-rich alloy can be directly used to produce Ag ingots. Moreover, no gas or wastewater was discharged in this process, so Ag and Au were recovered in a sustainable and cleaner manner. Full article
Show Figures

Figure 1

18 pages, 3845 KB  
Article
Activity Calculation and Vacuum Separation Theoretical Research concerning Ag–Cu, Ag–Sb and Cu–Sb Binary Alloys
by Qingsong Li, Yang Tian, Lingxin Kong, Bin Yang, Baoqiang Xu, Wenlong Jiang and Lipeng Wang
Metals 2024, 14(5), 603; https://doi.org/10.3390/met14050603 - 20 May 2024
Cited by 3 | Viewed by 2122
Abstract
The Ag–Cu–Sb system is a key component of lead anode slime and boasts an exceptionally high economic recovery value. In this work, six models, including the Molecular Interaction Volume Model (MIVM), Modified Molecular Interaction Volume Model (M-MIVM), Wilson equation, Miedema model, Regular Solution [...] Read more.
The Ag–Cu–Sb system is a key component of lead anode slime and boasts an exceptionally high economic recovery value. In this work, six models, including the Molecular Interaction Volume Model (MIVM), Modified Molecular Interaction Volume Model (M-MIVM), Wilson equation, Miedema model, Regular Solution Model (RSE) and Sub-Regular Solution Model (SRSE), are used to calculate the predicted values of the activity and its deviations with experimental data for binary alloys in the Ag–Cu–Sb system for the first time. The result reveals that the overall means of the average relative deviation and average standard deviation of the M-MIVM are 0.01501 and 3.97278%, respectively, which are about two to six times smaller than those of the other five models, indicating the stability and reliability of the M-MIVM. In the meantime, the predicted data of the Cu–Ag binary alloy at 1423 K, Sb–Ag binary alloy at 1250 K and Sb–Cu binary alloy at 1375 K calculated from the M-MIVM are more reliable and pass the Herington test. Then, the separation coefficient–composition (βx), temperature–composition (Txy) and pressure–composition (Pxy) of the Cu–Ag, Sb–Ag and Sb–Cu binary alloys are plotted based on the M-MIVM and vacuum theories, showing that the Cu–Ag binary alloy is relatively difficult to separate and that high temperatures or high copper contents are detrimental to obtaining high-purity silver. Meanwhile, theoretical data of the Txy diagram are consistent with the available experimental data. These results can guide vacuum separation experiments and industrial production concerning Ag–Cu, Ag–Sb and Cu–Sb binary alloys. Full article
(This article belongs to the Section Computation and Simulation on Metals)
Show Figures

Figure 1

19 pages, 10543 KB  
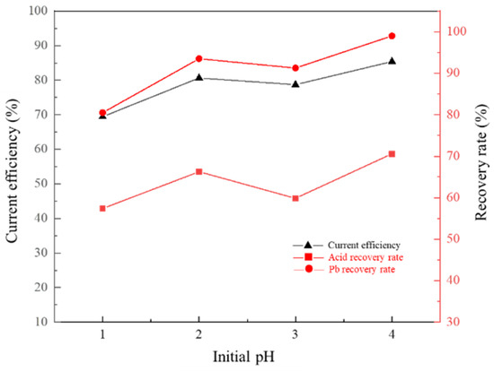
Article
Recovery and Utilization of Lead in Lead–Containing Waste Residue from Electrolytic Manganese Production
by Xiaosan Song, Jishuo Fan and Jie Zhou
Metals 2023, 13(10), 1643; https://doi.org/10.3390/met13101643 - 25 Sep 2023
Cited by 3 | Viewed by 1823
Abstract
As a metallurgical and chemical raw material, electrolytic manganese is an important strategic resource. However, with the rapid development of the electrolytic manganese industry, the correct disposal of anode slime has become a serious problem. The purpose of this experiment was to reduce [...] Read more.
As a metallurgical and chemical raw material, electrolytic manganese is an important strategic resource. However, with the rapid development of the electrolytic manganese industry, the correct disposal of anode slime has become a serious problem. The purpose of this experiment was to reduce the occupation of land resources by the lead–containing waste residue of electrolytic manganese, reduce the pollution caused by the lead–containing waste residue to the environment and provide a reference for the research on the treatment technology and resource utilization of lead–containing waste residue in China. In this experiment, a special process was studied for the composition characteristics of lead–containing waste residues produced by electrolytic manganese. The acid leaching–enrichment–membrane electrolysis process was used to recover the lead in the lead–containing waste residues of electrolytic manganese and to recover the acid, so as to maximize the utilization of resources. In this experiment, the pretreated lead–containing waste residue was leached, enriched and concentrated, and then the enriched Pb2+ solution was used as cathode solution and dilute nitric acid as anode solution to recover lead by membrane electrolysis. The membrane electrolysis experiment uses lead plate as cathode, selects the best anion exchange membrane and anodic electrolysis material, and then takes lead recovery, acid recovery, current efficiency, voltage and power consumption as investigation indexes to explore and analyze the influence of many factors such as Pb2+ concentration and current density on the experiment, so as to determine the best membrane electrolysis process parameters. The optimum process parameters of lead recovery by membrane electrolysis were determined as follows: Pb2+ concentration was 40 g/L, current density was 30 mA/cm2, reaction temperature was 60 °C, cathodic pH value was 4.0, anodic HNO3 concentration was 0.5 mol/L, and cathodic ammonium nitrate concentration was 50 g/L. Under the optimal conditions, the current efficiency was 85.6%, the acid recovery was 73.03%, the lead recovery was 99.2%, the voltage was 3.8 V, and the power consumption was 1148.4 kW·h·t−1. Through the three steps of acid leaching–enrichment–membrane electrolysis, 78.53% of the Pb2+ in the original lead–containing waste residue can be recovered in the form of metal lead element, and the HNO3 recovered in the anode chamber can also be used again in the acid leaching process, which can not only solve the problem of environmental pollution caused by lead–containing waste residue but also achieve the recovery and utilization of resources, with good social and economic benefits. Full article
Show Figures

Figure 1

15 pages, 6663 KB  
Article
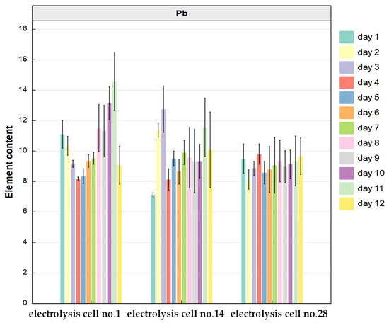
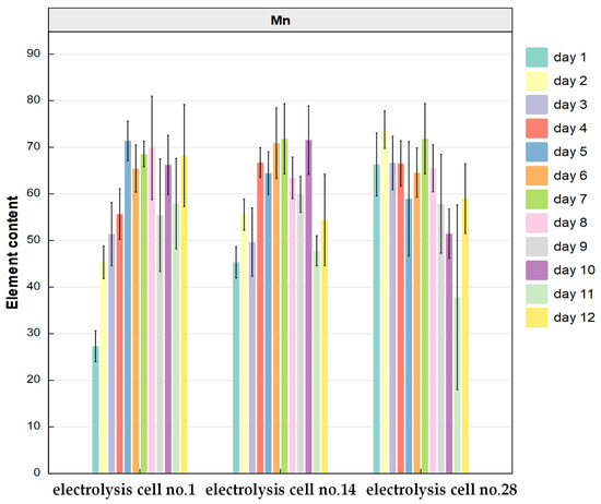
Research on Classified Treatment of Electrolytic Zn Anode Slime Based on μ-XRF and Cluster Heatmap
by Ruichao Xu, Linhua Jiang, Ning Duan, Guangbin Zhu, Yong Liu, Chao Zhou, Weidong Li and Zhiqiang Li
Processes 2023, 11(9), 2585; https://doi.org/10.3390/pr11092585 - 29 Aug 2023
Cited by 1 | Viewed by 2143
Abstract
The purpose of this research is to have a clearer understanding of the resource value of electrolytic Zn anode slime, explore its fine structure and treat it in a classified manner. In this paper, the composition, content and distribution of Pb, Mn and [...] Read more.
The purpose of this research is to have a clearer understanding of the resource value of electrolytic Zn anode slime, explore its fine structure and treat it in a classified manner. In this paper, the composition, content and distribution of Pb, Mn and Zn in electrolytic Zn anode slime during one production cycle were studied under typical working conditions of enterprises, by using the method of μ-XRF combined with mm-XRF. Based on heatmap and cluster analysis, the resource value of anode slime at different points in the electrolytic Zn silting area and the conventional area was evaluated. The research results were as follows: (1) There were two different areas of electrolytic Zn anode slime: the silting area and conventional area. Between these, the silting area accounted for approximately 15% of the total number of anode plates, and there were significant differences between these areas in terms of surface element content, surface morphology, slime thickness and water content. (2) In the silting area, 3.9 mm away from the Pb-based anode plate surface, there were lumps with fluorescence counting intensity that was close to that of pure Pb. (3) Anode slime at a thickness of 0.1 mm in the silting area could be classified as a type of resource. The resource attributes were categorized using a complete-linkage algorithm and the actual demand of Zn hydrometallurgy enterprises for recycling anode slime from the leaching process, for those with ≥45% Mn content and <20% Pb content. High-Pb resources include 0–1.5 mm (CAP), 0–1.4 mm (SAP) and 6.3–7.0 mm (SAP). A low-Pb, high-Mn and high-Zn resource was identified at 2.9–6.0 mm (SAP). Low-Pb, high-Mn and low-Zn resources include 1.6–6.0 (CAP), 1.5–2.8 mm (SAP) and 6.1–6.2 mm (SAP). Full article
Show Figures

Figure 1

10 pages, 1038 KB  
Article
Recovery of Tellurium from Waste Anode Slime Containing High Copper and High Tellurium of Copper Refineries
by Chinmaya Kumar Sarangi, Abdul Rauf Sheik, Barsha Marandi, Vijetha Ponnam, Malay Kumar Ghosh, Kali Sanjay, Manickam Minakshi and Tondepu Subbaiah
Sustainability 2023, 15(15), 11919; https://doi.org/10.3390/su151511919 - 3 Aug 2023
Cited by 8 | Viewed by 5081
Abstract
Tellurium is used in cadmium tellurium-based solar cells. Mercury cadmium telluride is used as a sensing material for thermal imaging devices. High-purity tellurium is used in alloys for electronic applications. It is one of the important raw materials for solar energy applications. It [...] Read more.
Tellurium is used in cadmium tellurium-based solar cells. Mercury cadmium telluride is used as a sensing material for thermal imaging devices. High-purity tellurium is used in alloys for electronic applications. It is one of the important raw materials for solar energy applications. It is used as an alloying element in the production of low-carbon steel and copper alloys. Tellurium catalysts are used chiefly for the oxidation of organic compounds and as vulcanizing/accelerating agents in the processing of rubber compounds. Even though several researchers tried to recover tellurium from different raw materials, there is no attempt to develop a process flow sheet to recover tellurium from waste anode slime having a high tellurium concentration. In this study, optimum conditions were developed to recover Te and Cu from anode slime with the composition Cu: 31.8%, Te: 24.7%, and As: 0.96%. The unit operations involved are leaching, purification, and electro winning. The optimum conditions for producing Te at a recovery of 90% are found to be roasting of anode slime at 450 °C without the addition of soda ash followed by leaching in 1 M NaOH at 10% pulp density for 2 h. The purity of Te metal achieved was up to 99.99%, which could provide a sustainable energy future. The major impurities of the tellurium are observed to be in the order: Se > Sb > As > Cu. Full article
(This article belongs to the Topic Mining Safety and Sustainability)
Show Figures

Figure 1

Back to TopTop