Sign in to use this feature.

Years

Between: -

Subjects

remove_circle_outline
remove_circle_outline
remove_circle_outline
remove_circle_outline
remove_circle_outline

Journals

Article Types

Countries / Regions

Search Results (22)

Search Parameters:
Keywords = annual aboveground biomass increment

Order results
Result details
Results per page
Select all
Export citation of selected articles as:
20 pages, 2714 KB  
Article
Growth, Productivity, and Biomass–Carbon Allometry in Teak (Tectona grandis) Plantations of Western Mexico
by Bayron Alexander Ruiz-Blandon, Efrén Hernández-Alvarez, Tomás Martínez-Trinidad, Luiz Paulo Amaringo-Cordova, Tatiana Mildred Ucañay-Ayllon, Rosario Marilu Bernaola-Paucar, Gerardo Hernández-Plascencia and Edith Orellana-Mendoza
Forests 2025, 16(10), 1521; https://doi.org/10.3390/f16101521 - 27 Sep 2025
Viewed by 994
Abstract
Teak (Tectona grandis L.f.) is a leading tropical plantation species valued for high-quality timber and carbon (C) storage. This study assessed stand growth across ages and sites, quantified biomass and C by tree component and stand, and developed DBH-based allometric equations for [...] Read more.
Teak (Tectona grandis L.f.) is a leading tropical plantation species valued for high-quality timber and carbon (C) storage. This study assessed stand growth across ages and sites, quantified biomass and C by tree component and stand, and developed DBH-based allometric equations for biomass and C estimation. Six stand ages (5, 6, 9, 11, 14, and 17 years) were assessed in three municipalities of Nayarit, Mexico. Dendrometric inventories in permanent plots and destructive sampling of 35 trees provided calibration data for leaves, branches, stem, and roots. C concentration was determined with an elemental analyzer, and nonlinear regression models were adjusted and validated. Stand biomass and C increased with age, peaking at ages 11–14 (>130 Mg ha−1; >60 Mg C ha−1), with lower values at age 17. San Blas and Rosamorada accumulated significantly more than Tuxpan, reflecting site quality. C concentration was stable across sites and ages, with stem and roots consistently ranging between 48% and 50%, and leaves and branches averaging 45%–46%. Allometric equations were most accurate for stem and total biomass/C (R2 = 0.73–0.79), while foliage showed higher variability. On average, 60%–70% of biomass was allocated to the stem and 15%–20% to roots. Indicators were stable, with an aboveground-to-belowground ratio (A:B) ≈ 4.9 and a biomass expansion factor (BEF) ≈ 1.5. The current annual increment (CAI) presented two main peaks: ~20 Mg ha−1 yr−1 at ages 5–6 and ~11 Mg ha−1 yr−1 at ages 9–11, followed by a decline after age 14. Teak in western Mexico reaches peak productivity at ages 6–11, with belowground biomass essential for accurate C accounting. Full article
(This article belongs to the Special Issue The Role of Forests in Carbon Cycles, Sequestration, and Storage)
Show Figures

Figure 1

19 pages, 2474 KB  
Article
Growth and Biomass Distribution Responses of Populus tomentosa to Long-Term Water–Nitrogen Coupling in the North China Plain
by Yafei Wang, Juntao Liu, Yuelin He, Wei Zhu, Liming Jia and Benye Xi
Plants 2025, 14(12), 1833; https://doi.org/10.3390/plants14121833 - 14 Jun 2025
Cited by 1 | Viewed by 977
Abstract
From 2016 to 2021, a field experiment was conducted in the North China Plain to study the long-term effects of drip irrigation and nitrogen coupling on the growth, biomass allocation, and irrigation water and fertilizer use efficiency of short-rotation triploid Populus tomentosa plantations. [...] Read more.
From 2016 to 2021, a field experiment was conducted in the North China Plain to study the long-term effects of drip irrigation and nitrogen coupling on the growth, biomass allocation, and irrigation water and fertilizer use efficiency of short-rotation triploid Populus tomentosa plantations. The experiment adopted a completely randomized block design, with one control (CK) and six water–nitrogen coupling treatments (IF, two irrigation levels × three nitrogen application levels). Data analysis was conducted using ANOVA, regression models, Spearman’s correlation analysis, and path analysis. The results showed that the effects of water and nitrogen treatments on the annual increment of diameter at breast height (ΔDBH), annual increment of tree height (ΔH), basal area of the stand (BAS), stand volume (VS), and annual forest productivity (AFP) in short-rotation forestry exhibited a significant stand age effect. The coupling of water and nitrogen significantly promoted the DBH growth of 2-year-old trees (p < 0.05), but after 3 years of age, the promoting effect of water and nitrogen coupling gradually diminished. In the 6th year, the above-ground biomass of Populus tomentosa was 5.16 to 6.62 times the under-ground biomass under different treatments. Compared to the I45 treatment (irrigation at soil water potential of −45 kPa), the irrigation water use efficiency of the I20 treatment (−20 kPa) decreased by 88.79%. PFP showed a downward trend with the increase in fertilization amount, dropping by 130.95% and 132.86% under the I20 and I45 irrigation levels. Path analysis indicated that irrigation had a significant effect on the BAS, VS, AFP, and TGB of 6-year-old Populus tomentosa (p < 0.05), with the universality of irrigation being higher than that of fertilization. It is recommended to implement phased water and fertilizer management for Populus tomentosa plantations in the North China Plain. During 1–3 years of tree age, adequate irrigation should be ensured and nitrogen fertilizer application increased. Between the ages of 4 and 6, irrigation and fertilization should be ceased to reduce resource wastage. This work provides scientific guidance for water and fertilizer management in short-rotation plantations. Full article
Show Figures

Figure 1

9 pages, 2413 KB  
Technical Note
TR-SNP v1.0: A Desktop Tool to Link Tree Ring Width with Annual Aboveground Biomass Increment
by Yizhao Chen, Zhongyi Lin, Zhixin Shi and Yang Li
Forests 2024, 15(12), 2148; https://doi.org/10.3390/f15122148 - 5 Dec 2024
Viewed by 1230
Abstract
The past couple of decades have witnessed an increasing application of tree ring observations to assess forest carbon (C) balance and its historical dynamics. To address the growing need for understanding long-term forest C sequestration dynamics through tree rings, we developed a new [...] Read more.
The past couple of decades have witnessed an increasing application of tree ring observations to assess forest carbon (C) balance and its historical dynamics. To address the growing need for understanding long-term forest C sequestration dynamics through tree rings, we developed a new desktop tool (TR-SNP v1.0) that estimates the annual aboveground biomass increment (AABI) of trees from tree ring width (TRW). Users can easily process and convert TRW into AABI using either the built-in dataset or by uploading local TRW data. TR-SNP offers methods for correcting potential bias from unmeasured initial core width, converting TRW to diameter at breast height (DBH), and estimating AABI using species-specific allometric relationships. We provide examples from specific sites to demonstrate how TR-SNP functions and its potential for identifying bias sources of AABI estimation. We anticipate that TR-SNP will streamline the analysis of tree ring data and advance our understanding of forest biomass increment dynamics. Full article
(This article belongs to the Special Issue Applications of Optical and Active Remote Sensing in Forestry)
Show Figures

Figure 1

15 pages, 21992 KB  
Article
Stand Age and Climate Change Effects on Carbon Increments and Stock Dynamics
by Elia Vangi, Daniela Dalmonech, Mauro Morichetti, Elisa Grieco, Francesca Giannetti, Giovanni D’Amico, Mahdi (Andre) Nakhavali, Gherardo Chirici and Alessio Collalti
Forests 2024, 15(7), 1120; https://doi.org/10.3390/f15071120 - 27 Jun 2024
Cited by 12 | Viewed by 3207
Abstract
Carbon assimilation and wood production are influenced by environmental conditions and endogenous factors, such as species auto-ecology, age, and hierarchical position within the forest structure. Disentangling the intricate relationships between those factors is more pressing than ever due to climate change’s pressure. We [...] Read more.
Carbon assimilation and wood production are influenced by environmental conditions and endogenous factors, such as species auto-ecology, age, and hierarchical position within the forest structure. Disentangling the intricate relationships between those factors is more pressing than ever due to climate change’s pressure. We employed the 3D-CMCC-FEM model to simulate undisturbed forests of different ages under four climate change (plus one no climate change) Representative Concentration Pathways (RCP) scenarios from five Earth system models. In this context, carbon stocks and increment were simulated via total carbon woody stocks and mean annual increment, which depends mainly on climate trends. We find greater differences among different age cohorts under the same scenario than among different climate scenarios under the same age class. Increasing temperature and changes in precipitation patterns led to a decline in above-ground biomass in spruce stands, especially in the older age classes. On the contrary, the results show that beech forests will maintain and even increase C-storage rates under most RCP scenarios. Scots pine forests show an intermediate behavior with a stable stock capacity over time and in different scenarios but with decreasing mean volume annual increment. These results confirm current observations worldwide that indicate a stronger climate-related decline in conifers forests than in broadleaves. Full article
(This article belongs to the Special Issue Modeling Forest Response to Climate Change)
Show Figures

Figure 1

17 pages, 7046 KB  
Article
The Estimation of Grassland Aboveground Biomass and Analysis of Its Response to Climatic Factors Using a Random Forest Algorithm in Xinjiang, China
by Ping Dong, Changqing Jing, Gongxin Wang, Yuqing Shao and Yingzhi Gao
Plants 2024, 13(4), 548; https://doi.org/10.3390/plants13040548 - 17 Feb 2024
Cited by 7 | Viewed by 2502
Abstract
Aboveground biomass (AGB) is a key indicator of the physiological status and productivity of grasslands, and its accurate estimation is essential for understanding regional carbon cycles. In this study, we developed a suitable AGB model for grasslands in Xinjiang based on the random [...] Read more.
Aboveground biomass (AGB) is a key indicator of the physiological status and productivity of grasslands, and its accurate estimation is essential for understanding regional carbon cycles. In this study, we developed a suitable AGB model for grasslands in Xinjiang based on the random forest algorithm, using AGB observation data, remote sensing vegetation indices, and meteorological data. We estimated the grassland AGB from 2000 to 2022, analyzed its spatiotemporal changes, and explored its response to climatic factors. The results showed that (1) the model was reliable (R2 = 0.55, RMSE = 64.33 g·m−2) and accurately estimated the AGB of grassland in Xinjiang; (2) the spatial distribution of grassland AGB in Xinjiang showed high levels in the northwest and low values in the southeast. AGB showed a growing trend in most areas, with a share of 61.19%. Among these areas, lowland meadows showed the fastest growth, with an average annual increment of 0.65 g·m−2·a−1; and (3) Xinjiang’s climate exhibited characteristics of warm humidification, and grassland AGB showed a higher correlation with precipitation than temperature. Developing remote sensing models based on random forest algorithms proves an effective approach for estimating AGB, providing fundamental data for maintaining the balance between grass and livestock and for the sustainable use and conservation of grassland resources in Xinjiang, China. Full article
(This article belongs to the Special Issue Responses of Vegetation to Global Climate Change)
Show Figures

Figure 1

25 pages, 8051 KB  
Article
Biological Rotation Age of Community Teak (Tectona grandis) Plantation Based on the Volume, Biomass, and Price Growth Curve Determined through the Analysis of Its Tree Ring Digitization
by Effendi Tri Bahtiar, Nam-Hun Kim and Apri Heri Iswanto
Forests 2023, 14(10), 1944; https://doi.org/10.3390/f14101944 - 25 Sep 2023
Cited by 4 | Viewed by 7328
Abstract
Teak (Tectona grandis) is a deciduous tree producing a popular, expensive, fancy timber with versatile utilization. The teak population and its habitats in the natural forest have been decreasing consistently; thus, the IUCN Red List classifies it as an endangered species. [...] Read more.
Teak (Tectona grandis) is a deciduous tree producing a popular, expensive, fancy timber with versatile utilization. The teak population and its habitats in the natural forest have been decreasing consistently; thus, the IUCN Red List classifies it as an endangered species. Teak tree logging from its native natural forest is banned, and commercial teak timber can only be harvested from the plantation. People plant teak on their private lands or in the community forest to meet the increasing demand. This study analyzed the annual tree rings of a teak disk taken from the community plantation and aimed to determine its biological rotation age. Tree ring interpretation provides the increment and growth that are mandatory fundamental components of knowledge in sustainable forest management. It may also decipher the tree’s biography, which contains information about past climate and future predictions responding to climate change. All of the disk’s annual tree rings were digitized, transformed, and then curve-fitted using an elliptical polar form of non-linear regression. The best-fitted curve estimation of every annual tree ring was employed to determine their age-related diameter and basal area, and then allometric equations estimated the above-ground biomass and clear-bole volume. The continuous and discrete formula fit the growth curve well, and this study determined that Chapman-Richards is the best fit among others. The growth curve, current annual increment (CAI), and mean annual increment (MAI) were graphed based on the clear-bole volume, above-ground biomass, and log timber price. The CAI and MAI intersections result in 28, 30, and 86 years of optimum harvesting periods when the growth calculation is based on volume, above-ground biomass, and log timber price, respectively. These results identified that the teak plantation is a sustainable and highly valuable asset to inherit with long-term positive benefits. The sociocultural provision of teak plants as an inheritance gift for the next generation has proven to be economically and ecologically beneficial. Full article
(This article belongs to the Section Forest Ecology and Management)
Show Figures

Figure 1

12 pages, 621 KB  
Article
Near-Term Effects of Perennial Grasses on Soil Carbon and Nitrogen in Eastern Nebraska
by Salvador Ramirez, Marty R. Schmer, Virginia L. Jin, Robert B. Mitchell and Kent M. Eskridge
Environments 2023, 10(5), 80; https://doi.org/10.3390/environments10050080 - 6 May 2023
Cited by 1 | Viewed by 3291
Abstract
Incorporating native perennial grasses adjacent to annual row crop systems managed on marginal lands can increase system resiliency by diversifying food and energy production. This study evaluated (1) soil organic C (SOC) and total N stocks (TN) under warm-season grass (WSG) monocultures and [...] Read more.
Incorporating native perennial grasses adjacent to annual row crop systems managed on marginal lands can increase system resiliency by diversifying food and energy production. This study evaluated (1) soil organic C (SOC) and total N stocks (TN) under warm-season grass (WSG) monocultures and a low diversity mixture compared to an adjacent no-till continuous-corn system, and (2) WSG total above-ground biomass (AGB) in response to two levels of N fertilization from 2012 to 2017 in eastern Nebraska, USA. The WSG treatments consisted of (1) switchgrass (SWG), (2) big bluestem (BGB), and (3) low-diversity grass mixture (LDM; big bluestem, Indiangrass, and sideoat grama). Soils were sampled at fixed depth increments (0–120 cm) in the WSG plots and in the adjacent corn experiment in 2012 and 2017. Soil stocks (Mg ha−1) of SOC and TN were calculated on an equivalent soil mass (ESM) basis and compared within the three WSG treatments as well as between experiments (corn compared to the mean of all WSGs). Soil organic C and TN stocks within soil layers and cumulative stocks responded to the main effect of WSG (PWSG < 0.05) but were no different when comparing the WSGs to corn (Pexpt = NS). Both SOC/TN stocks and cumulative stocks were generally greater in the LDM compared to the BGB. Neither SOC nor TN changed over time under either the WSGs or corn. Warm-season grass AGB responded to a three-way interaction of year, N rate, and WSG (p = 0.0007). Decreases in AGB over time were significant across WSGs and N levels except for SWG at 56 kg N ha−1 and LDM at 112 kg N ha−1. Above-ground biomass was generally greater in the LDM after the first harvest year (2013). Results suggest that incorporating WSGs into marginal cropland can maintain SOC and TN stocks while providing a significant source of biomass to be used in energy production or in integrated livestock systems. Full article
(This article belongs to the Special Issue Soil Organic Carbon Assessment)
Show Figures

Figure 1

20 pages, 3083 KB  
Article
Modelling the Development of Above-Ground Biomass Energy Reserves of Four Economically Important Coniferous Woody Species
by Rudolf Petráš, Julian Mecko, Ján Kukla, Margita Kuklová, František Hnilička, Helena Hniličková and Ivica Pivková
Forests 2023, 14(2), 388; https://doi.org/10.3390/f14020388 - 14 Feb 2023
Cited by 1 | Viewed by 2036
Abstract
The goal of renewable energy is to replace energy production from fossil fuels. In that sense, forest biomass is essential renewables. This article presents the results of the development of energy reserves in fractions, increments and the total above-ground biomass of coniferous stands [...] Read more.
The goal of renewable energy is to replace energy production from fossil fuels. In that sense, forest biomass is essential renewables. This article presents the results of the development of energy reserves in fractions, increments and the total above-ground biomass of coniferous stands (spruce, fir, pine, larch) during their economic cycle. The experimental material comes from 22 forest stands located mainly in Central Slovakia, to a lesser extent also in Western and Eastern Slovakia. Energy reserves of coniferous stands were calculated based on the volume production of above-ground biomass fractions taken from mathematical models of yield tables and average values of their basic density and calorific value were determined. The research showed that as the age of the stands increased, the share of energy in the wood fraction increased, while it decreased in the bark fraction, and especially the branch fraction. The curves constructed in relation to the age of the stand and site index have a very similar shape to the curves of the total current annual energy increment of coniferous stands. The energy reserves of stands grew faster at the age of 40 to 80 years than at the age of 80 to 140 years. Spruce had the highest total mean energy increment, followed by fir, larch and pine. As the age of the stands increases, the energy reserves of the increments slightly decrease and the efficiency of solar energy significantly decreases. It peaks practically at the age of reaching the maximum annual energy increment. Full article
(This article belongs to the Special Issue Modelling Forest Ecosystems)
Show Figures

Figure 1

15 pages, 4243 KB  
Article
Wall-to-Wall Mapping of Forest Biomass and Wood Volume Increment in Italy
by Francesca Giannetti, Gherardo Chirici, Elia Vangi, Piermaria Corona, Fabio Maselli, Marta Chiesi, Giovanni D’Amico and Nicola Puletti
Forests 2022, 13(12), 1989; https://doi.org/10.3390/f13121989 - 24 Nov 2022
Cited by 12 | Viewed by 4767
Abstract
Several political initiatives aim to achieve net-zero emissions by the middle of the twenty-first century. In this context, forests are crucial as a carbon sink to store unavoidable emissions. Assessing the carbon sequestration potential of forest ecosystems is pivotal to the availability of [...] Read more.
Several political initiatives aim to achieve net-zero emissions by the middle of the twenty-first century. In this context, forests are crucial as a carbon sink to store unavoidable emissions. Assessing the carbon sequestration potential of forest ecosystems is pivotal to the availability of accurate forest variable estimates for supporting international reporting and appropriate forest management strategies. Spatially explicit estimates are even more important for Mediterranean countries such as Italy, where the capacity of forests to act as sinks is decreasing due to climate change. This study aimed to develop a spatial approach to obtain high-resolution maps of Italian forest above-ground biomass (ITA-BIO) and current annual volume increment (ITA-CAI), based on remotely sensed and meteorological data. The ITA-BIO estimates were compared with those obtained with two available biomass maps developed in the framework of two international projects (i.e., the Joint Research Center and the European Space Agency biomass maps, namely, JRC-BIO and ESA-BIO). The estimates from ITA-BIO, JRC-BIO, ESA-BIO, and ITA-CAI were compared with the 2nd Italian NFI (INFC) official estimates at regional level (NUT2). The estimates from ITA-BIO are in good agreement with the INFC estimates (R2 = 0.95, mean difference = 3.8 t ha−1), while for JRC-BIO and ESA-BIO, the estimates show R2 of 0.90 and 0.70, respectively, and mean differences of 13.5 and of 21.8 t ha−1 with respect to the INFC estimates. ITA-CAI estimates are also in good agreement with the INFC estimates (R2 = 0.93), even if they tend to be slightly biased. The produced maps are hosted on a web-based forest resources management Decision Support System developed under the project AGRIDIGIT (ForestView) and represent a key element in supporting the new Green Deal in Italy, the European Forest Strategy 2030 and the Italian Forest Strategy. Full article
(This article belongs to the Section Forest Inventory, Modeling and Remote Sensing)
Show Figures

Figure 1

22 pages, 5484 KB  
Article
Development of a Climate-Sensitive Structural Stand Density Management Model for Red Pine
by Peter F. Newton
Forests 2022, 13(7), 1010; https://doi.org/10.3390/f13071010 - 27 Jun 2022
Cited by 4 | Viewed by 2855
Abstract
The primary objective of this study was to develop a climate-sensitive modular-based structural stand density management model (SSDMM) for red pine (Pinus resinosa Aiton) plantations situated within the western Great Lakes—St. Lawrence and south-central Boreal Forest Regions of Canada. For a given [...] Read more.
The primary objective of this study was to develop a climate-sensitive modular-based structural stand density management model (SSDMM) for red pine (Pinus resinosa Aiton) plantations situated within the western Great Lakes—St. Lawrence and south-central Boreal Forest Regions of Canada. For a given climate change scenario (e.g., representative concentration pathway (RCP)), geographic location (longitude and latitude), site quality (site index) and crop plan (e.g., initial espacement density and subsequent thinning treatments), the resultant hierarchical-based SSDMM consisting of six integrated modules, enabled the prediction of a multitude of management-relevant performance metrics over rotational lengths out to the year 2100. These metrics included productivity measures (e.g., mean annual volume, biomass and carbon increments), volumetric yield estimates (e.g., total and merchantable volumes), pole and log product distributions (e.g., number and size distribution of pulp and saw logs, and utility poles), biomass production and carbon sequestration outcomes (e.g., oven-dried masses of above-ground components and associated carbon mass equivalents), recoverable end-product volumes and associated monetary values (e.g., volumes and economic worth estimates of recovered chip and dimensional lumber products extractable via stud and randomized length mill processing protocols), and crop tree fibre attributes reflective of end-product potential (e.g., wood density, microfibril angle, and modulus of elasticity). The core modules responsible for quantifying stand dynamics and structural change were developed using 491 tree-list measurements and 146 stand-level summaries obtained from 98 remeasured permanent sample plots situated within 21 geographically separated plantation-based initial spacing and thinning experiments distributed throughout southern and north-central Ontario. Computationally, the red pine SSDMM and associated algorithmic analogue (1) produced mathematically compatible stem and end-product volume estimates, (2) accounted for density-dependent as well as density-independent mortality losses, response delay following thinning and genetic worth effects, (3) enabled end-users to specify merchantability standards (log and pole dimensions), product degrade factors and cost profiles, and (4) addressed climate change impacts on rotational yield outcomes by geo-referencing RCP-specific effects on stand dynamical processes via the deployment of a climate-driven biophysical site-based height-age model. In summary, the provision of the red pine SSDMM and its unique ability to account for locale-specific climate change effects on crop planning forecasts inclusive of utility pole production, should be of consequential utility as the complexities of silvicultural decision-making intensify during the Anthropocene. Full article
(This article belongs to the Section Forest Meteorology and Climate Change)
Show Figures

Figure 1

18 pages, 6007 KB  
Article
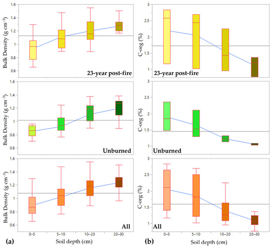
Recovery of Carbon and Vegetation Diversity 23 Years after Fire in a Tropical Dryland Forest of Indonesia
by Wahyu Catur Adinugroho, Lilik Budi Prasetyo, Cecep Kusmana, Haruni Krisnawati, Christopher J. Weston and Liubov Volkova
Sustainability 2022, 14(12), 6964; https://doi.org/10.3390/su14126964 - 7 Jun 2022
Cited by 13 | Viewed by 3793
Abstract
Understanding the recovery rate of forest carbon stocks and biodiversity after disturbance, including fire, is vital for developing effective climate-change-mitigation policies and actions. In this study, live and dead carbon stocks aboveground, belowground, and in the soil to a 30 cm depth, as [...] Read more.
Understanding the recovery rate of forest carbon stocks and biodiversity after disturbance, including fire, is vital for developing effective climate-change-mitigation policies and actions. In this study, live and dead carbon stocks aboveground, belowground, and in the soil to a 30 cm depth, as well as tree and shrub species diversity, were measured in a tropical lowland dry forest, 23 years after a fire in 1998, for comparison with adjacent unburned reference forests. The results showed that 23 years since the fire was insufficient, in this case, to recover live forest carbon and plant species diversity, to the level of the reference forests. The total carbon stock, in the recovering 23-year-old forest, was 199 Mg C ha−1 or about 90% of the unburned forest (220 Mg C ha−1), mainly due to the contribution of coarse woody debris and an increase in the 5–10 cm soil horizon’s organic carbon, in the burned forest. The carbon held in the live biomass of the recovering forest (79 Mg C ha−1) was just over half the 146 Mg C ha−1 of the reference forest. Based on a biomass mean annual increment of 6.24 ± 1.59 Mg ha−1 yr−1, about 46 ± 17 years would be required for the aboveground live biomass to recover to equivalence with the reference forest. In total, 176 plant species were recorded in the 23-year post-fire forest, compared with 216 in the unburned reference forest. The pioneer species Macaranga gigantea dominated in the 23-year post-fire forest, which was yet to regain the similar stand structural and compositional elements as those found in the adjacent unburned reference forest. Full article
(This article belongs to the Section Environmental Sustainability and Applications)
Show Figures

Figure 1

16 pages, 3188 KB  
Article
Water Availability Controls the Biomass Increment of Melia dubia in South India
by Alexander Röll, Mundre N. Ramesha, Roman M. Link, Dietrich Hertel, Bernhard Schuldt, Shekhargouda L. Patil and Dirk Hölscher
Forests 2021, 12(12), 1675; https://doi.org/10.3390/f12121675 - 30 Nov 2021
Cited by 2 | Viewed by 3803
Abstract
Farmland tree cultivation is considered an important option for enhancing wood production. In South India, the native leaf-deciduous tree species Melia dubia is popular for short-rotation plantations. Across a rainfall gradient from 420 to 2170 mm year–1, we studied 186 farmland [...] Read more.
Farmland tree cultivation is considered an important option for enhancing wood production. In South India, the native leaf-deciduous tree species Melia dubia is popular for short-rotation plantations. Across a rainfall gradient from 420 to 2170 mm year–1, we studied 186 farmland woodlots between one and nine years in age. The objectives were to identify the main factors controlling aboveground biomass (AGB) and growth rates. A power-law growth model predicts an average stand-level AGB of 93.8 Mg ha–1 for nine-year-old woodlots. The resulting average annual AGB increment over the length of the rotation cycle is 10.4 Mg ha–1 year–1, which falls within the range reported for other tropical tree plantations. When expressing the parameters of the growth model as functions of management, climate and soil variables, it explains 65% of the variance in AGB. The results indicate that water availability is the main driver of the growth of M. dubia. Compared to the effects of water availability, the effects of soil nutrients are 26% to 60% smaller. We conclude that because of its high biomass accumulation rates in farm forestry, M. dubia is a promising candidate for short-rotation plantations in South India and beyond. Full article
(This article belongs to the Section Forest Hydrology)
Show Figures

Figure 1

25 pages, 4306 KB  
Article
Effects of Leaf Loss by Artificial Defoliation on the Growth of Different Poplar and Willow Varieties
by Christiane E. Helbig, Michael G. Müller and Dirk Landgraf
Forests 2021, 12(9), 1224; https://doi.org/10.3390/f12091224 - 8 Sep 2021
Cited by 9 | Viewed by 3213
Abstract
The cultivation of fast-growing tree species in short rotation coppices has gained popularity in Germany in recent years. The resilience of these coppices to phyllophagous pest organisms is crucial for their profitable management, since the loss of a single annual increment can lead [...] Read more.
The cultivation of fast-growing tree species in short rotation coppices has gained popularity in Germany in recent years. The resilience of these coppices to phyllophagous pest organisms is crucial for their profitable management, since the loss of a single annual increment can lead to uncompensable economic losses. To study the effects of leaf loss on the growth of poplar and willow varieties that are frequently cultivated under local conditions, three sample short rotation coppices including five poplar (Populus spp.) and three willow (Salix spp.) varieties were established in a randomized block design with four artificial defoliation variants and, on one site, with three different variants regarding the number of defoliation treatments. After up to three defoliation treatments within two growing seasons, the results show negative effects of leaf loss on the height growth and the fresh weight of the aboveground biomass of plants. Our data also suggests a lasting effect of defoliation on plant growth and re-growth after the end of the treatment. In general, defoliation had a greater impact on the growth of poplars than on willows. We conclude that even minor leaf loss can have an impact on plant growth but that the actual effects of defoliation clearly depend on the site, tree species, and variety as well as the extent and number of defoliations, which determine the ability of plants for compensatory growth. Full article
Show Figures

Figure 1

21 pages, 2730 KB  
Article
Young Silver Birch Grows Faster and Allocates Higher Portion of Biomass into Stem Than Norway Spruce, a Case Study from a Post-Disturbance Forest
by Bohdan Konôpka, Jozef Pajtík, Vladimír Šebeň, Peter Surový and Katarína Merganičová
Forests 2021, 12(4), 433; https://doi.org/10.3390/f12040433 - 4 Apr 2021
Cited by 9 | Viewed by 3909
Abstract
The aim of the paper was to compare young silver birch (Betula pendula Roth.) and Norway spruce (Picea abies L. Karst) growing at the identical site, from the point of contribution of tree components to their aboveground biomass stock, their wood [...] Read more.
The aim of the paper was to compare young silver birch (Betula pendula Roth.) and Norway spruce (Picea abies L. Karst) growing at the identical site, from the point of contribution of tree components to their aboveground biomass stock, their wood density, radial increment and aboveground biomass production. Our research activities were performed in the High Tatra Mts., which belong to the Tatra National Park (TANAP), Northern Slovakia. Currently, the substantial part of the TANAP territory is covered by post-disturbance young forests which have been growing there since the large-scale windstorm episode in November 2004. Our study combined non-destructive repeated tree measurements performed at two transects in 2016–2020, with destructive tree sampling of twenty 14-year-old individuals for each species. From the gathered data, we derived models estimating standing stock and annual production of aboveground biomass in individual tree components (foliage, branches, stem bark and stem wood), using diameter at breast height (DBH) as a predictor. The results showed contrasting contributions of tree compartments to aboveground biomass stock between birch and spruce. While spruce trees had four times higher contribution of foliage than birches, the reverse situation (1.5-fold difference) was observed for stem over bark biomass. At the same time, birch trees had a 40% greater diameter increment and a 30% denser stem wood than spruce. As for aboveground biomass production, the contribution of the stem as an economically important component was greater in birch than spruce. The results suggest that, in the young growth stage, birch may be advantageous over spruce in both ecological and production properties. Therefore, we believe that strengthening research activities focused on birch ecology and production issues would bring practical recommendations for better utilization of this tree species in forestry and wood-processing industry sectors Full article
(This article belongs to the Section Forest Ecology and Management)
Show Figures

Figure 1

21 pages, 4240 KB  
Article
Integrating Landsat Time Series Observations and Corona Images to Characterize Forest Change Patterns in a Mining Region of Nanjing, Eastern China from 1967 to 2019
by Yali Zhang, Wenjuan Shen, Mingshi Li and Yingying Lv
Remote Sens. 2020, 12(19), 3191; https://doi.org/10.3390/rs12193191 - 29 Sep 2020
Cited by 22 | Viewed by 4270
Abstract
Long-term surface mining and subsequent vegetation recovery greatly alter land cover types, reshape landscape patterns and impose several impacts on local ecosystem services. However, studies on the history of forest changes in mining areas from the 1960s to the present have not been [...] Read more.
Long-term surface mining and subsequent vegetation recovery greatly alter land cover types, reshape landscape patterns and impose several impacts on local ecosystem services. However, studies on the history of forest changes in mining areas from the 1960s to the present have not been reported. This study developed a new idea to investigate the spatial and temporal dynamics of forest cover in a mining area of Mufu Mountain (Mt. Mufu) from 1967 to 2019 by integrating Landsat and Corona data, and to explore the relationships among the forest changes, landscape structures and ecosystem functions. Firstly, we applied the vegetation change tracker (VCT) algorithm and visual interpretation to create annual forest change datasets. Subsequently, the forest loss process was divided into subdivision, shrinkage, perforation and attrition components. An improved forest restoration model in this study extended the recovery process to bridge, branch, infilling and increment components. Finally, remote sensing variables and crown density were coupled to assess the forest aboveground biomass (AGB) to reflect the ecosystem function in the restoration area. Results showed that the combined use of Corona and the dense time series of Landsat can provide more detailed information on forest changes. Forest cover sharply decreased from 343.89 in 1967 to 298.44 ha in 1990, and after 2003, the forest area substantially increased and finally reached a maximum of 434.16 ha in 2019. Subdivision and bridge not only occupied the larger areas in the process of forest loss and restoration, but also they had strong correlations with forest changes and the Pearson correlation coefficients (r) were respectively 0.96 and 0.91. These all revealed that forest changes mainly affected landscape structure connectivity. The total forest AGB of Mt. Mufu increased from 20,173.35 in 2006 to 31,035.77 t in 2017, but the increases in AGB were only 30-40 t/ha in most recovery areas with high structure connectivity (bridge regions), indicating there is room for improving restoration projects in the future. The obtained findings can provide mining site restoration managers with clear, long-term forest change information and mine restoration assessment methods. Full article
Show Figures

Graphical abstract

Back to TopTop