Sign in to use this feature.

Years

Between: -

Subjects

remove_circle_outline
remove_circle_outline
remove_circle_outline
remove_circle_outline

Journals

Article Types

Countries / Regions

Search Results (11)

Search Parameters:
Keywords = anionic σ-complexes

Order results
Result details
Results per page
Select all
Export citation of selected articles as:
67 pages, 16344 KB  
Review
Enantiomerically Pure ansa-η5-Complexes of Transition Metals as an Effective Tool for Chirality Transfer
by Pavel V. Kovyazin, Leonard M. Khalilov and Lyudmila V. Parfenova
Molecules 2025, 30(12), 2511; https://doi.org/10.3390/molecules30122511 - 8 Jun 2025
Cited by 2 | Viewed by 1730
Abstract
Chiral ansa-η5-complexes of transition metals have shown remarkable efficacy in organometallic synthesis and catalysis. Additionally, enantiomerically pure ansa-complexes hold promise for the development of novel chiral materials and pharmaceuticals. The discovery and synthesis of a diverse range of [...] Read more.
Chiral ansa-η5-complexes of transition metals have shown remarkable efficacy in organometallic synthesis and catalysis. Additionally, enantiomerically pure ansa-complexes hold promise for the development of novel chiral materials and pharmaceuticals. The discovery and synthesis of a diverse range of group IVB and IIIB metal complexes represents a significant milestone in the advancement of stereoselective catalytic methods for constructing metal-C, C-C, C-H, and C-heteroatom bonds. The synthesis of enantiomerically pure metallocenes can be accomplished through several strategies: utilizing optically active precursors of η5-ligands, separation of diastereomers of complexes with enantiomerically pure agents, and synthesis via the stereocontrolled reactions of enantiomerically pure σ-complexes with prochiral anions of η5-ligands. This review focuses on the analysis of various nuances of the synthesis of enantiomerically pure ansa-η5-complexes of titanium and lanthanum families. Their applicability as effective catalysts in asymmetric carbomagnesiation, carbo- and cycloalumination, oligo- and polymerization, Diels–Alder cycloaddition, reactions of zirconaaziridines, cyclization, hydrosilylation, hydrogenation, hydroamination, and other processes are highlighted as well. Full article
(This article belongs to the Special Issue Advances in Metallocene Chemistry)
Show Figures

Scheme 1

28 pages, 4138 KB  
Article
Methylammonium Tetrel Halide Perovskite Ion Pairs and Their Dimers: The Interplay between the Hydrogen-, Pnictogen- and Tetrel-Bonding Interactions
by Pradeep R. Varadwaj, Arpita Varadwaj, Helder M. Marques and Koichi Yamashita
Int. J. Mol. Sci. 2023, 24(13), 10554; https://doi.org/10.3390/ijms241310554 - 23 Jun 2023
Cited by 4 | Viewed by 2815
Abstract
The structural stability of the extensively studied organic–inorganic hybrid methylammonium tetrel halide perovskite semiconductors, MATtX3 (MA = CH3NH3+; Tt = Ge, Sn, Pb; X = Cl, Br, I), arises as a result of non-covalent interactions between an [...] Read more.
The structural stability of the extensively studied organic–inorganic hybrid methylammonium tetrel halide perovskite semiconductors, MATtX3 (MA = CH3NH3+; Tt = Ge, Sn, Pb; X = Cl, Br, I), arises as a result of non-covalent interactions between an organic cation (CH3NH3+) and an inorganic anion (TtX3). However, the basic understanding of the underlying chemical bonding interactions in these systems that link the ionic moieties together in complex configurations is still limited. In this study, ion pair models constituting the organic and inorganic ions were regarded as the repeating units of periodic crystal systems and density functional theory simulations were performed to elucidate the nature of the non-covalent interactions between them. It is demonstrated that not only the charge-assisted N–H···X and C–H···X hydrogen bonds but also the C–N···X pnictogen bonds interact to stabilize the ion pairs and to define their geometries in the gas phase. Similar interactions are also responsible for the formation of crystalline MATtX3 in the low-temperature phase, some of which have been delineated in previous studies. In contrast, the Tt···X tetrel bonding interactions, which are hidden as coordinate bonds in the crystals, play a vital role in holding the inorganic anionic moieties (TtX3) together. We have demonstrated that each Tt in each [CH3NH3+•TtX3] ion pair has the capacity to donate three tetrel (σ-hole) bonds to the halides of three nearest neighbor TtX3 units, thus causing the emergence of an infinite array of 3D TtX64− octahedra in the crystalline phase. The TtX44− octahedra are corner-shared to form cage-like inorganic frameworks that host the organic cation, leading to the formation of functional tetrel halide perovskite materials that have outstanding optoelectronic properties in the solid state. We harnessed the results using the quantum theory of atoms in molecules, natural bond orbital, molecular electrostatic surface potential and independent gradient models to validate these conclusions. Full article
(This article belongs to the Topic Theoretical, Quantum and Computational Chemistry)
Show Figures

Figure 1

13 pages, 21586 KB  
Article
On the Origin of the Blue Color in The Iodine/Iodide/Starch Supramolecular Complex
by Szilárd Pesek, Maria Lehene, Adrian M. V. Brânzanic and Radu Silaghi-Dumitrescu
Molecules 2022, 27(24), 8974; https://doi.org/10.3390/molecules27248974 - 16 Dec 2022
Cited by 23 | Viewed by 20560
Abstract
The nature of the blue color in the iodine-starch reaction is still a matter of debate. Some textbooks still invoke charge-transfer bands within a chain of neutral I2 molecules inside the hydrophobic channel defined by the interior of the amylose helical structure. [...] Read more.
The nature of the blue color in the iodine-starch reaction is still a matter of debate. Some textbooks still invoke charge-transfer bands within a chain of neutral I2 molecules inside the hydrophobic channel defined by the interior of the amylose helical structure. However, the consensus is that the interior of the helix is not altogether hydrophobic—and that a mixture of I2 molecules and iodide anions reside there and are responsible for the intense charge-transfer bands that yield the blue color of the “iodine-starch complex”. Indeed, iodide is a prerequisite of the reaction. However, some debate still exists regarding the nature of the iodine-iodine units inside the amylose helix. Species such as I3-, I5-, I7- etc. have been invoked. Here, we report UV-vis titration data and computational simulations using density functional theory (DFT) for the iodine/iodide chains as well as semiempirical (AM1, PM3) calculations of the amylose-iodine/iodide complexes, that (1) confirm that iodide is a pre-requisite for blue color formation in the iodine-starch system, (2) propose the nature of the complex to involve alternating sets of I2 and Ix- units, and (3) identify the nature of the charge-transfer bands as involving transfer from the Ix- σ* orbitals (HOMO) to I2 σ* LUMO orbitals. The best candidate for the “blue complex”, based on DFT geometry optimizations and TD-DFT spectral simulations, is an I2-I5-I2 unit, which is expected to occur in a repetitive manner inside the amylose helix. Full article
Show Figures

Figure 1

16 pages, 6706 KB  
Article
Anti-Electrostatic Pi-Hole Bonding: How Covalency Conquers Coulombics
by Frank Weinhold
Molecules 2022, 27(2), 377; https://doi.org/10.3390/molecules27020377 - 7 Jan 2022
Cited by 12 | Viewed by 3454
Abstract
Intermolecular bonding attraction at π-bonded centers is often described as “electrostatically driven” and given quasi-classical rationalization in terms of a “pi hole” depletion region in the electrostatic potential. However, we demonstrate here that such bonding attraction also occurs between closed-shell ions of like [...] Read more.
Intermolecular bonding attraction at π-bonded centers is often described as “electrostatically driven” and given quasi-classical rationalization in terms of a “pi hole” depletion region in the electrostatic potential. However, we demonstrate here that such bonding attraction also occurs between closed-shell ions of like charge, thereby yielding locally stable complexes that sharply violate classical electrostatic expectations. Standard DFT and MP2 computational methods are employed to investigate complexation of simple pi-bonded diatomic anions (BO, CN) with simple atomic anions (H, F) or with one another. Such “anti-electrostatic” anion–anion attractions are shown to lead to robust metastable binding wells (ranging up to 20–30 kcal/mol at DFT level, or still deeper at dynamically correlated MP2 level) that are shielded by broad predissociation barriers (ranging up to 1.5 Å width) from long-range ionic dissociation. Like-charge attraction at pi-centers thereby provides additional evidence for the dominance of 3-center/4-electron (3c/4e) nD-π*AX interactions that are fully analogous to the nD-σ*AH interactions of H-bonding. Using standard keyword options of natural bond orbital (NBO) analysis, we demonstrate that both n-σ* (sigma hole) and n-π* (pi hole) interactions represent simple variants of the essential resonance-type donor-acceptor (Bürgi–Dunitz-type) attraction that apparently underlies all intermolecular association phenomena of chemical interest. We further demonstrate that “deletion” of such π*-based donor-acceptor interaction obliterates the characteristic Bürgi–Dunitz signatures of pi-hole interactions, thereby establishing the unique cause/effect relationship to short-range covalency (“charge transfer”) rather than envisioned Coulombic properties of unperturbed monomers. Full article
Show Figures

Graphical abstract

12 pages, 2252 KB  
Article
Rapid Extraction Chemistry Using a Single Column for 230Th/U Dating of Quaternary Hydrothermal Sulfides
by Li-Sheng Wang, Ye-Jian Wang, Jun Ye, Xue-Feng Wang, Ju-Le Xiao and Zhi-Bang Ma
Minerals 2021, 11(9), 983; https://doi.org/10.3390/min11090983 - 9 Sep 2021
Cited by 3 | Viewed by 2622
Abstract
230Th/U dating can provide high-precision age constraints on Quaternary hydrothermal sulfides. However, low content of U and Th often involves extraction chemistry for the separation and enrichment of U and Th, but these chemical processes are very complex. We developed a simplified [...] Read more.
230Th/U dating can provide high-precision age constraints on Quaternary hydrothermal sulfides. However, low content of U and Th often involves extraction chemistry for the separation and enrichment of U and Th, but these chemical processes are very complex. We developed a simplified procedure consisting of total sample dissolution and single-column extraction chemistry, which can reduce the time and improve the accuracy of the dating. Concentrated HCl-HF followed by HNO3 was added to ensure complete dissolution. A single column filled with 0.4 mL of AG 1-X8 anion resin was used, then 8 M HNO3, 8 M HCl and 0.1 M HNO3 were used to elute most of the matrix metals, Th and U. This process provided more than 95% recoveries for U and Th, and negligible blanks. Meanwhile, Pb and Bi interferences were tested and showed no effect on the U and Th isotope ratio. The 230Th/238U activity of the Geological Survey of Japan geochemical reference material JZn-1 in secular equilibrium was determined and showed a radioactive equilibrium (1.00 ± 0.01, n = 5, all errors 2σ) and an in-house standard QS-1 was consistent to 0.0078 ± 0.0001 (n = 8, ±2σ) with an average age of 705 ± 10 yrs BP (n = 8, ±2σ). The technique greatly shortens the sample preparation time and allows more concise and effective analysis of U-Th isotopes. It is ideally suited for the high-precision 230Th/U dating of Quaternary submarine hydrothermal sulfides and sulfides from other settings. Full article
(This article belongs to the Topic Advances in Separation and Purification Techniques)
Show Figures

Figure 1

4 pages, 226 KB  
Proceeding Paper
Stable Anionic σ-Complexes of Highly Electrophilic Aromatics and C-Nucleophiles: Synthesis and Oxidation
by Alexey Starosotnikov, Maxim Bastrakov and Vladimir Kokorekin
Chem. Proc. 2021, 3(1), 35; https://doi.org/10.3390/ecsoc-24-08437 - 15 Nov 2020
Viewed by 1927
Abstract
Reactions of dinitrobenzoannulated heterocycles (furazan, thiadiazole, selenadiazole, pyridine) with anionic C-nucleophiles (mono- and diketones, nitroalkanes and related compounds) provided stable anionic adducts in high yields. Consecutive oxidation with ammonium cerium (IV) nitrate resulted in re-aromatization with the formation of the corresponding substitution products, [...] Read more.
Reactions of dinitrobenzoannulated heterocycles (furazan, thiadiazole, selenadiazole, pyridine) with anionic C-nucleophiles (mono- and diketones, nitroalkanes and related compounds) provided stable anionic adducts in high yields. Consecutive oxidation with ammonium cerium (IV) nitrate resulted in re-aromatization with the formation of the corresponding substitution products, formally representing C-H-functionalized benzoheterocycles. Full article
Show Figures

Figure 1

13 pages, 2715 KB  
Article
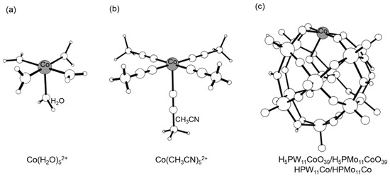
Oxygen Adsorption and Activation on Cobalt Center in Modified Keggin Anion-DFT Calculations
by Renata Tokarz-Sobieraj and Piotr Niemiec
Catalysts 2020, 10(2), 144; https://doi.org/10.3390/catal10020144 - 21 Jan 2020
Cited by 2 | Viewed by 3392
Abstract
The influence of the cobalt cation geometric environment on catalytic activity, namely, oxygen adsorption and its activation, was investigated by exploring two groups of systems. The first group was formed by cobalt cation complexes, in which the Co2+ was surrounded by water-H [...] Read more.
The influence of the cobalt cation geometric environment on catalytic activity, namely, oxygen adsorption and its activation, was investigated by exploring two groups of systems. The first group was formed by cobalt cation complexes, in which the Co2+ was surrounded by water-H2O or acetonitrile-CH3CN solvent molecules. This represents heteropolyacids salts (ConH3-nPW(Mo)12O40), where the Co2+ acts as a cation that compensates for the negative charge of the Keggin anion and is typically surrounded by solvent molecules in that system. The second group consisted of tungsten or molybdenum Keggin anions (H5PW11CoO39 and H5PMo11CoO39), having the Co2+ cation incorporated into the anion framework, in the position of one addenda atom. Detailed NOCV (Natural Orbitals for Chemical Valence) analysis showed that, for all studied systems, the σ-donation and σ-backdonation active channels of the electron transfer were responsible for the creation of a single Co-OO bond. Depending on the chemical/geometrical environment of the Co2+ cation, the different quantities of electrons were flown from the Co2+ 3d orbital to the π* antibonding molecular orbitals of the oxygen ligand, as well as in the opposite direction. In molybdenum and tungsten heteropolyacids, modified by Co2+ in the position of the addenda atom, activation of O2 was supported by a π-polarization process. Calculated data show that the oxygen molecule activation changed in the following order: H5PMo11CoO39 = H5PW11CoO39 > Co(CH3CN)52+ > Co(H2O)52+. Full article
(This article belongs to the Section Biocatalysis)
Show Figures

Graphical abstract

9 pages, 2627 KB  
Article
The Interplay between Various σ- and π-Hole Interactions of Trigonal Boron and Trigonal Pyramidal Arsenic Triiodides
by Jindřich Fanfrlík, Petr Švec, Zdeňka Růžičková, Drahomír Hnyk, Aleš Růžička and Pavel Hobza
Crystals 2017, 7(7), 225; https://doi.org/10.3390/cryst7070225 - 19 Jul 2017
Cited by 6 | Viewed by 5604
Abstract
Boron and arsenic triiodides (BI3 and AsI3, respectively) are similar molecules that differ mainly in their geometries. BI3 is a planar trigonal molecule with D3h symmetry, while AsI3 exhibits a trigonal pyramidal shape with C3v symmetry. [...] Read more.
Boron and arsenic triiodides (BI3 and AsI3, respectively) are similar molecules that differ mainly in their geometries. BI3 is a planar trigonal molecule with D3h symmetry, while AsI3 exhibits a trigonal pyramidal shape with C3v symmetry. Consequently, the As atom of the AsI3 molecule has three σ-holes, whereas the B atom of the BI3 molecule has two symmetrical π-holes. Additionally, there are σ-holes on the iodine atoms in the molecules studied. In the first step, we have studied σ-hole and π-hole interactions in the known monocrystals of BI3 and AsI3. Quantum mechanical calculations have revealed that the crystal packing of BI3 is dominated by π-hole interactions. In the case of AsI3, the overall contribution of dihalogen bonding is comparable to that of pnictogen bonding. Additionally, we have prepared the [Na(THF)6]+[I(AsI3)6](AsI3)2 complex, which can be described as the inverse coordination compound where the iodine anion is the center of the aggregate surrounded by six AsI3 molecules in the close octahedral environment and adjacent two molecules in remote distances. This complex is, besides expected dihalogen and pnictogen bonds, also stabilized by systematically attractive dispersion interactions. Full article
(This article belongs to the Special Issue Analysis of Halogen and Other σ-Hole Bonds in Crystals)
Show Figures

Figure 1

16 pages, 7661 KB  
Article
Synthesis, Crystal Structure, and Magnetic Properties of Amidate and Carboxylate Dimers of Ruthenium
by Patricia Delgado-Martínez, Carlos Freire, Rodrigo González-Prieto, Reyes Jiménez-Aparicio, José L. Priego and M. Rosario Torres
Crystals 2017, 7(7), 192; https://doi.org/10.3390/cryst7070192 - 27 Jun 2017
Cited by 7 | Viewed by 4224
Abstract
Solvothermal and microwave-assisted methods have been used to prepare several amidate and carboxylate complexes of the type [Ru2X(µ-NHOCC6H3-3,5-(OMe)2)4]n [X = Cl (1), Br (2), I (3)] [...] Read more.
Solvothermal and microwave-assisted methods have been used to prepare several amidate and carboxylate complexes of the type [Ru2X(µ-NHOCC6H3-3,5-(OMe)2)4]n [X = Cl (1), Br (2), I (3)] and [Ru2X(µ-O2CC6H3-3,5-(OMe)2)4]n [X = Cl (4), Br (5), I (6)]. Complexes 46 have also been obtained by conventional synthesis which is ineffective to prepare the amidate compounds. However, single crystals of complexes 15 were obtained using the solvothermal method. The single crystal X-ray structure determination of compounds 15 have been carried out. All complexes display a paddlewheel-type structure with the metal atoms connected by four bridging amidate or carboxylate ligands. Chloride, bromide, or iodide anions connect the dimetallic units, producing one-dimensional zigzag chains. The magnetic properties of all compounds were studied. The magnetic moment at room temperature are in accordance with an electronic configuration with three unpaired electrons σ2π4δ2(π*δ*)3 per dimer unit. The fit of the magnetic data suggests the existence, in these complexes, of a weak antiferromagnetic intermolecular interaction between the diruthenium units mediated by the halide ligand and an appreciable zero-field splitting in the diruthenium moieties. Full article
Show Figures

Graphical abstract

28 pages, 3461 KB  
Article
Anion Recognition by Pyrylium Cations and Thio-, Seleno- and Telluro- Analogues: A Combined Theoretical and Cambridge Structural Database Study
by David Quiñonero
Molecules 2015, 20(7), 11632-11659; https://doi.org/10.3390/molecules200711632 - 24 Jun 2015
Cited by 11 | Viewed by 7206
Abstract
Pyrylium salts are a very important class of organic molecules containing a trivalent oxygen atom in a six-membered aromatic ring. In this manuscript, we report a theoretical study of pyrylium salts and their thio-, seleno- and telluro- analogues by means of DFT calculations. [...] Read more.
Pyrylium salts are a very important class of organic molecules containing a trivalent oxygen atom in a six-membered aromatic ring. In this manuscript, we report a theoretical study of pyrylium salts and their thio-, seleno- and telluro- analogues by means of DFT calculations. For this purpose, unsubstituted 2,4,6-trimethyl and 2,4,6-triphenyl cations and anions with different morphologies were chosen (Cl, NO3 and BF4). The complexes were characterized by means of natural bond orbital and “atoms-in-molecules” theories, and the physical nature of the interactions has been analyzed by means of symmetry-adapted perturbation theory calculations. Our results indicate the presence of anion-π interactions and chalcogen bonds based on both σ- and π-hole interactions and the existence of very favorable σ-complexes, especially for unsubstituted cations. The electrostatic component is dominant in the interactions, although the induction contributions are important, particularly for chloride complexes. The geometrical features of the complexes have been compared with experimental data retrieved from the Cambridge Structural Database. Full article
(This article belongs to the Special Issue Noncovalent pi-Interactions)
Show Figures

Graphical abstract

20 pages, 655 KB  
Article
σ-Hole Interactions of Covalently-Bonded Nitrogen, Phosphorus and Arsenic: A Survey of Crystal Structures
by Peter Politzer, Jane S. Murray, Goran V. Janjić and Snežana D. Zarić
Crystals 2014, 4(1), 12-31; https://doi.org/10.3390/cryst4010012 - 26 Feb 2014
Cited by 149 | Viewed by 12624
Abstract
Covalently-bonded atoms of Groups IV–VII tend to have anisotropic charge distributions, the electronic densities being less on the extensions of the bonds (σ-holes) than in the intervening regions. These σ-holes often give rise to positive electrostatic potentials through which the atom can interact [...] Read more.
Covalently-bonded atoms of Groups IV–VII tend to have anisotropic charge distributions, the electronic densities being less on the extensions of the bonds (σ-holes) than in the intervening regions. These σ-holes often give rise to positive electrostatic potentials through which the atom can interact attractively and highly directionally with negative sites (e.g., lone pairs, π electrons and anions), forming noncovalent complexes. For Group VII this is called “halogen bonding” and has been widely studied both computationally and experimentally. For Groups IV–VI, it is only since 2007 that positive σ-holes have been recognized as explaining many noncovalent interactions that have in some instances long been known experimentally. There is considerable experimental evidence for such interactions involving groups IV and VI, particularly in the form of surveys of crystal structures. However we have found less extensive evidence for Group V. Accordingly we have now conducted a survey of the Cambridge Structural Database for crystalline close contacts of trivalent nitrogen, phosphorus and arsenic with six different types of electronegative atoms in neighboring molecules. We have found numerous close contacts that fit the criteria for σ-hole interactions. Some of these are discussed in detail; in two instances, computed molecular electrostatic potentials are presented. Full article
(This article belongs to the Special Issue Crystal Engineering Involving Weak Bonds)
Show Figures

Graphical abstract

Back to TopTop