Sign in to use this feature.

Years

Between: -

Subjects

remove_circle_outline
remove_circle_outline
remove_circle_outline
remove_circle_outline
remove_circle_outline
remove_circle_outline
remove_circle_outline
remove_circle_outline
remove_circle_outline

Journals

remove_circle_outline
remove_circle_outline
remove_circle_outline
remove_circle_outline
remove_circle_outline
remove_circle_outline
remove_circle_outline
remove_circle_outline
remove_circle_outline
remove_circle_outline

Article Types

Countries / Regions

remove_circle_outline
remove_circle_outline
remove_circle_outline
remove_circle_outline
remove_circle_outline

Search Results (606)

Search Parameters:
Keywords = analytic function classes

Order results
Result details
Results per page
Select all
Export citation of selected articles as:
33 pages, 4837 KB  
Article
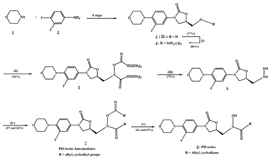
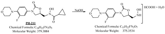
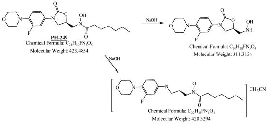
Stability-Indicating Assay of Novel 5-(Hydroxamic acid)methyl Oxazolidinones with 5-Lipooxygenase Inhibitory Activity
by Hessa M. Al-Mutairi, Oludotun A. Phillips and Naser F. Al-Tannak
Pharmaceuticals 2026, 19(1), 69; https://doi.org/10.3390/ph19010069 - 29 Dec 2025
Viewed by 145
Abstract
Background: Oxazolidinone derivatives are a novel class of synthetic antibacterial agents, characterized by a five-membered heterocyclic ring containing oxygen and nitrogen and a carbonyl functionality at position 2. This pharmacophore is responsible not only for antibacterial activity but also for a variety [...] Read more.
Background: Oxazolidinone derivatives are a novel class of synthetic antibacterial agents, characterized by a five-membered heterocyclic ring containing oxygen and nitrogen and a carbonyl functionality at position 2. This pharmacophore is responsible not only for antibacterial activity but also for a variety of other biological activities, including anticancer activity, anticoagulant activity, and several others. A series of novel oxazolidinone derivatives containing a hydroxamic acid moiety were synthesized in our laboratories and identified as potent inhibitors of the enzyme 5-lipoxygenase (5-LO), a key enzyme involved in the biosynthesis of leukotrienes (LTs). LTs are proinflammatory mediators implicated in allergic and inflammatory diseases. Currently, zileuton is the only FDA-approved 5-LO inhibitor, emphasizing the need to develop new agents for the treatment of such diseases. This project aims to develop validated stability-indicating analytical methods for the four most potent novel 5-(hydroxamic acid)methyl oxazolidinone derivatives (PH-211, PH-247, PH-249, and PH-251). Methods: The compounds were analyzed using Waters Acquity Ultra-High-Performance Liquid Chromatography (UHPLC-UV) with an ultraviolet detector to determine their stability in human plasma and under various forced degradation conditions, including acidic, basic, oxidative, and thermal conditions. Liquid chromatography–quadrupole time-of-flight mass spectrometry (LC-QToF-MS) was used to identify possible degradation products. Results: The compounds were found to be stable in human plasma and under thermal degradation conditions with high extraction recoveries (82–90%) but unstable in acidic, basic, and oxidative conditions. Conclusions: The findings show that the compounds are stable in biological conditions; they hold promise for the treatment of inflammatory and allergic diseases. Full article
(This article belongs to the Section Medicinal Chemistry)
Show Figures

Graphical abstract

15 pages, 409 KB  
Article
New Findings of Gronwall–Bellman–Bihari Type Integral Inequalities with Applications to Fractional and Composite Nonlinear Systems
by Liqiang Chen and Norazrizal Aswad Abdul Rahman
Mathematics 2026, 14(1), 136; https://doi.org/10.3390/math14010136 - 29 Dec 2025
Viewed by 55
Abstract
This paper is dedicated to the investigation of new generalizations of the classical Gronwall–Bellman–Bihari integral inequalities, which are fundamental tools in the qualitative and quantitative analysis of differential, integral, and integro-differential equations. We establish two primary, novel theorems. The first theorem presents a [...] Read more.
This paper is dedicated to the investigation of new generalizations of the classical Gronwall–Bellman–Bihari integral inequalities, which are fundamental tools in the qualitative and quantitative analysis of differential, integral, and integro-differential equations. We establish two primary, novel theorems. The first theorem presents a significant generalization for inequalities involving composite nonlinear functions and iterated integrals. This result provides an explicit bound for an unknown function u(t) satisfying an inequality of the form Φ(u(t))a(t)+t0tf(s)Ψ(u(s))ds+t0tg(s)Ω(t0sh(τ)K(u(τ))dτ)ds. The proof is achieved by defining a novel auxiliary function and applying a rigorous comparison principle. The second main theorem establishes a new bound for a class of fractional integral inequalities involving the Riemann–Liouville fractional integral operator Iα and a non-constant coefficient function b(t) in the form u(t)a(t)+b(t)Iα[ω(u(s))]. This result extends several recent findings in the field of fractional calculus. The mathematical derivations are detailed, and the assumptions on the involved functions are made explicit. To illustrate the utility and potency of our main results, we present two applications. The first application demonstrates how our first theorem can be used to establish uniqueness and boundedness for solutions to a complex class of nonlinear integro-differential equations. The second application utilizes our fractional inequality theorem to analyze the qualitative behavior (specifically, the boundedness of solutions) for a generalized class of fractional integral equations. These new inequalities provide a powerful analytical framework for studying complex dynamical systems that were not adequately covered by existing results. Full article
19 pages, 469 KB  
Article
Estimating 2,3-Fold Hankel Determinants, Zalcman Functionals and Logarithmic Coefficients of Certain Subclasses of Holomorphic Functions with Bounded Rotations
by Farouq Alshormani, Bushra Kanwal, Faiza Attiq, Amr M. Y. Abdelaty, Alina Alb Lupas and Ibrahim S. Elshazly
Symmetry 2026, 18(1), 51; https://doi.org/10.3390/sym18010051 - 26 Dec 2025
Viewed by 103
Abstract
The study explores analytic, geometric and algebaraic properties of two subclasses of analytic functions: the class of Bounded Radius Rotation denoted by Rs,ϱ(A,B,z), and the class of Bounded Boundary Rotation denoted by [...] Read more.
The study explores analytic, geometric and algebaraic properties of two subclasses of analytic functions: the class of Bounded Radius Rotation denoted by Rs,ϱ(A,B,z), and the class of Bounded Boundary Rotation denoted by Vs,ϱ(A,B,z), both associated with strongly Janowski type functions. In particular, we obtain upper bounds for the third-order Hankel determinant |H3,1f(z)| and concentrate on functions displaying 2- and 3-fold symmetry. We also provide estimates for the initial logarithmic coefficients η1,η2,η3 and the Zalcman functional |t32t5| for each class. These findings provide fresh insights into the behavior of generalized subclasses of univalent function. Full article
(This article belongs to the Section Mathematics)
Show Figures

Figure 1

25 pages, 1421 KB  
Article
The Geometry of Modal Closure—Symmetry, Invariants, and Transform Boundaries
by Robert Castro
Symmetry 2026, 18(1), 48; https://doi.org/10.3390/sym18010048 - 26 Dec 2025
Viewed by 107
Abstract
Modal decomposition, introduced by Fourier, expresses complex functions, such as sums of symmetric basis modes. However, convergence alone does not ensure structural fidelity. Discontinuities, sharp gradients, and localized features often lie outside the chosen basis’s symmetry class, producing artifacts such as the Gibbs [...] Read more.
Modal decomposition, introduced by Fourier, expresses complex functions, such as sums of symmetric basis modes. However, convergence alone does not ensure structural fidelity. Discontinuities, sharp gradients, and localized features often lie outside the chosen basis’s symmetry class, producing artifacts such as the Gibbs overshoot. This study introduces a unified geometric framework for assessing when modal representations remain faithful by defining three symbolic invariants—curvature (κ), strain (τ), and compressibility (σ)—and their diagnostic ratio Γ = κ/τ. Together, these quantities measure how closely the geometry of a function aligns with the symmetry of its modal basis. The condition Γ < σ identifies the domain of structural closure: this is the region in which expansion preserves both accuracy and symmetry. Analytical demonstrations for Fourier, polynomial, and wavelet systems show that overshoot and ringing arise precisely where this inequality fails. Numerical illustrations confirm the predictive value of the invariants across discontinuous and continuous test functions. The framework reframes modal analysis as a problem of geometric compatibility rather than convergence alone, establishing quantitative criteria for closure-preserving transforms in mathematics, physics, and applied computation. It provides a general diagnostic for detecting when symmetry, curvature, and representation fall out of alignment, offering a new foundation for adaptive and structure-aware transform design. In practical terms, the invariants (κ, τ, σ) offer a diagnostic for identifying where modal systems preserve geometric structure and where they fail. Their link to symmetry arises because curvature measures structural deviation, strain measures representational effort within a given symmetry class, and compressibility quantifies efficiency. This geometric viewpoint complements classical convergence theory and clarifies why adaptive spectral methods, edge-aware transforms, multiscale PDE solvers, and learned operators benefit from locally increasing strain to restore the closure condition Γ < σ. These applications highlight the broader analytical and computational relevance of the closure framework. Full article
(This article belongs to the Section Mathematics)
Show Figures

Figure 1

22 pages, 1748 KB  
Review
Artificial Intelligence-Driven Food Safety: Decoding Gut Microbiota-Mediated Health Effects of Non-Microbial Contaminants
by Ruizhe Xue, Xinyue Zong, Xiaoyu Jiang, Guanghui You, Yongping Wei and Bingbing Guo
Foods 2026, 15(1), 22; https://doi.org/10.3390/foods15010022 - 22 Dec 2025
Viewed by 345
Abstract
A wide range of non-microbial contaminants—such as heavy metals, pesticide residues, antibiotics, as well emerging foodborne contaminants like micro- and nanoplastics and persistent organic pollutants—can enter the human body through daily diet and exert subtle yet chronic effects that are increasingly recognized to [...] Read more.
A wide range of non-microbial contaminants—such as heavy metals, pesticide residues, antibiotics, as well emerging foodborne contaminants like micro- and nanoplastics and persistent organic pollutants—can enter the human body through daily diet and exert subtle yet chronic effects that are increasingly recognized to be gut microbiota-dependent. However, the relationships among multi-contaminant exposure profiles, dynamic microbial community structures, microbial metabolites, and diverse clinical or subclinical phenotypes are highly non-linear and multidimensional, posing major challenges to traditional analytical approaches. Artificial intelligence (AI) is emerging as a powerful tool to untangle the complex interactions between foodborne non-microbial contaminants, the gut microbiota, and host health. This review synthesizes current knowledge on how key classes of non-microbial food contaminants modulate gut microbial composition and function, and how these alterations, in turn, influence intestinal barrier integrity, immune homeostasis, metabolic regulation, and systemic disease risk. We then highlight recent advances in the application of AI techniques, including machine learning (ML), deep learning (DL), and network-based methods, to integrate multi-omics and exposure data, identify microbiota and metabolite signatures of specific contaminants, and infer potential causal pathways within “contaminant–microbiota–host” axes. Finally, we discuss current limitations, such as data heterogeneity, small-sample bias, and interpretability gaps, and propose future directions for building standardized datasets, explainable AI frameworks, and human-relevant experimental validation pipelines. Overall, AI-enabled analysis offers a promising avenue to refine food safety risk assessment, support precision nutrition strategies, and develop microbiota-targeted interventions against non-microbial food contaminants. Full article
Show Figures

Figure 1

26 pages, 7216 KB  
Article
A GIS-Based Multicriteria Approach to Identifying Suitable Forest Depot Sites: A Case Study from Northern Türkiye
by Cigdem Ozer Genc
Appl. Sci. 2026, 16(1), 2; https://doi.org/10.3390/app16010002 - 19 Dec 2025
Viewed by 192
Abstract
Natural disasters, particularly floods and landslides, can cause severe losses; however, their impacts can be significantly mitigated through proactive planning. In August 2021, a devastating flood in northern Türkiye resulted in major damage, including the displacement of logs from the Ayancık Forest Management [...] Read more.
Natural disasters, particularly floods and landslides, can cause severe losses; however, their impacts can be significantly mitigated through proactive planning. In August 2021, a devastating flood in northern Türkiye resulted in major damage, including the displacement of logs from the Ayancık Forest Management Directorate’s depot, which exacerbated the disaster’s effects. This study aims to identify the most suitable location for a new forest depot in Ayancık, considering disaster risk, logistical needs, and environmental factors. A hybrid geospatial approach was employed by integrating Logistic Regression (LR)-based landslide susceptibility modeling and the Analytic Hierarchy Process (AHP). Key conditioning factors such as altitude, slope, aspect, lithology, land cover, plan and profile curvature, topographic wetness index (TWI), distance to drainage networks, roads, and faults were used to produce the LSM. The AHP weights of the factors used in selecting a suitable depot location were determined based on expert opinions. The integration of physical, logistical, and risk-based parameters allowed for a spatial prioritization of suitable areas. Results indicate that approximately 10.69% of the study area is classified as class 1 (very high suitability), 16.59% as class 2 (high), 20.71% as class 3 (moderate), 23.34% as class 4 (low), and 28.67% as class 5 (very low), corresponding to 27.28% of the area in classes 1–2 and 52.01% in classes 4–5. These results indicate that the study area is predominantly characterized by medium-low suitability conditions. Notably, these areas show significantly lower flood and landslide susceptibility compared to the current depot sites. By aligning forest infrastructure planning with disaster resilience principles, this study offers a replicable model for sustainable forest depot site selection. The findings provide valuable guidance for forest managers and policymakers to enhance the safety, functionality, and long-term viability of forestry operations in hazard-prone regions. Full article
Show Figures

Figure 1

18 pages, 339 KB  
Article
On a New Extension of the t-Transformation of Probability Measures
by Abdulmajeed Albarrak, Raouf Fakhfakh and Ghadah Alomani
Symmetry 2025, 17(12), 2177; https://doi.org/10.3390/sym17122177 - 17 Dec 2025
Viewed by 300
Abstract
This paper establishes a comprehensive analytical framework for a new transformation of probability measures, denoted by T(a,t), which unifies the classical t- and Ta-transformations in free probability. We derive the functional equation characterizing [...] Read more.
This paper establishes a comprehensive analytical framework for a new transformation of probability measures, denoted by T(a,t), which unifies the classical t- and Ta-transformations in free probability. We derive the functional equation characterizing T(a,t) through the Cauchy–Stieltjes transform and explicitly show how it specializes to known deformations when a=0 or t=1. Within the setting of Cauchy-Stieltjes kernel families, we prove structural symmetry and invariance properties of the transformation, demonstrating in particular that both the free Meixner family and the free analog of the Letac-Mora class remain invariant under T(a,t). Furthermore, we obtain several new limiting theorems that uncover symmetric relationships among fundamental free distributions, including the semicircular, Marchenko–Pastur, and free binomial laws. Full article
(This article belongs to the Section Mathematics)
21 pages, 342 KB  
Article
Strongly F-Convex Functions with Structural Characterizations and Applications in Entropies
by Hasan Barsam, Slavica Ivelić Bradanović, Matea Jelić and Yamin Sayyari
Axioms 2025, 14(12), 926; https://doi.org/10.3390/axioms14120926 - 16 Dec 2025
Viewed by 223
Abstract
Strongly convex functions form a central subclass of convex functions and have gained considerable attention due to their structural advantages and broad applicability, particularly in optimization and information theory. In this paper, we investigate the class of strongly F-convex functions, which generalizes [...] Read more.
Strongly convex functions form a central subclass of convex functions and have gained considerable attention due to their structural advantages and broad applicability, particularly in optimization and information theory. In this paper, we investigate the class of strongly F-convex functions, which generalizes the classical notion of strong convexity by introducing an auxiliary convex control function F. We establish several fundamental structural characterizations of this class and provide a variety of nontrivial examples such as power, logarithmic, and exponential functions. In addition, we derive refined Jensen-type and Hermite–Hadamard-type inequalities adapted to the strongly F-convex concept, thereby extending and sharpening their classical forms. As applications, we obtain new analytical inequalities and improved error bounds for entropy-related quantities, including Shannon, Tsallis, and Rényi entropies, demonstrating that the concept of strong F-convexity naturally yields strengthened divergence and uncertainty estimates. Full article
(This article belongs to the Special Issue Advances in Functional Analysis and Banach Space)
28 pages, 908 KB  
Article
Stability Study for an Age-Structured Epidemic Model with Latent Phase, Relapse and Nonlinear Infection Rate
by Abdeljabbar Ghanmi and Abderrazak Nabti
Mathematics 2025, 13(24), 3994; https://doi.org/10.3390/math13243994 - 15 Dec 2025
Viewed by 176
Abstract
This paper is dedicated to the analytical investigation of the global dynamics of an SEIR epidemiological model that incorporates latency age (the time spent by an individual in the exposed class before becoming infectious) and a general nonlinear incidence rate. In this model, [...] Read more.
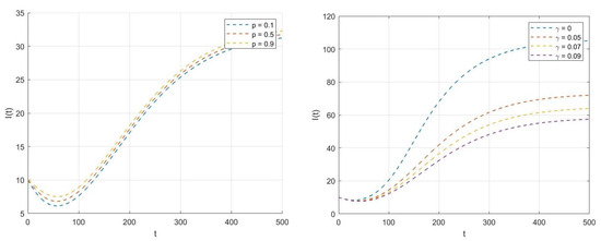
This paper is dedicated to the analytical investigation of the global dynamics of an SEIR epidemiological model that incorporates latency age (the time spent by an individual in the exposed class before becoming infectious) and a general nonlinear incidence rate. In this model, to reflect the dependence of disease progress on the latency age, the exposed class is structured by the latency age, and the rate at which the latent individual becomes infected, and the removal rate are assumed to depend on the latency age. By analyzing the characteristic equations associated with each equilibrium, we study the local stability of both the disease-free and endemic steady states of the model. Moreover, it is proven that the semiflow generated by this system is asymptotically smooth, and if the basic reproduction number is greater than unity, the system is uniformly persistent. Furthermore, based on Lyapunov functional and LaSalle’s invariance principle, the global dynamics of the model are established. It is obtained that if the basic reproduction number is less than unity, the disease-free steady state is globally asymptotically stable and hence the disease dies out; however, if the basic reproduction number is greater than unity, the endemic steady state is globally asymptotically stable, and the disease persists. Numerical simulations are carried out to illustrate the main analytic results. Full article
(This article belongs to the Section E3: Mathematical Biology)
Show Figures

Figure 1

27 pages, 391 KB  
Article
Analysis of λ-Hölder Stability of Economic Equilibria and Dynamical Systems with Nonsmooth Structures
by Anna V. Aleshina, Andrey L. Bulgakov, Yanliang Xin and Igor Y. Panarin
Mathematics 2025, 13(24), 3993; https://doi.org/10.3390/math13243993 - 15 Dec 2025
Viewed by 293
Abstract
This paper develops a mathematical approach to the analysis of the stability of economic equilibria in nonsmooth models. The λ-Hölder apparatus of subdifferentials is used, which extends the class of systems under study beyond traditional smooth optimization and linear approximations. Stability conditions [...] Read more.
This paper develops a mathematical approach to the analysis of the stability of economic equilibria in nonsmooth models. The λ-Hölder apparatus of subdifferentials is used, which extends the class of systems under study beyond traditional smooth optimization and linear approximations. Stability conditions are obtained for solutions to intertemporal choice problems and capital accumulation models in the presence of nonsmooth dependencies, threshold effects, and discontinuities in elasticities. For λ-Hölder production and utility functions, estimates of the sensitivity of equilibria to parameters are obtained, and indicators of the convergence rate of trajectories to the stationary state are derived for λ>1. The methodology is tested on a multisectoral model of economic growth with technological shocks and stochastic disturbances in capital dynamics. Numerical experiments confirm the theoretical results: a power-law dependence of equilibrium sensitivity on the magnitude of parametric disturbances is revealed, as well as consistency between the analytical λ-Hölder convergence rate and the results of numerical integration. Stochastic disturbances of small variance do not violate stability. The results obtained provide a rigorous mathematical foundation for the analysis of complex economic systems with nonsmooth structures, which are increasingly used in macroeconomics, decision theory, and regulation models. Full article
(This article belongs to the Section E5: Financial Mathematics)
55 pages, 3943 KB  
Review
Latest Advancements and Mechanistic Insights into High-Entropy Alloys: Design, Properties and Applications
by Anthoula Poulia and Alexander E. Karantzalis
Materials 2025, 18(24), 5616; https://doi.org/10.3390/ma18245616 - 14 Dec 2025
Viewed by 688
Abstract
High-entropy alloys (HEAs) are a class of multi-principal element materials composed of five or more elements in near-equimolar ratios. This unique compositional design generates high configurational entropy, which stabilizes simple solid solution phases and reduces the tendency for intermetallic compound formation. Unlike conventional [...] Read more.
High-entropy alloys (HEAs) are a class of multi-principal element materials composed of five or more elements in near-equimolar ratios. This unique compositional design generates high configurational entropy, which stabilizes simple solid solution phases and reduces the tendency for intermetallic compound formation. Unlike conventional alloys, HEAs exhibit a combination of properties that are often mutually exclusive, such as high strength and ductility, excellent thermal stability, superior corrosion and oxidation resistance. The exceptional mechanical performance of HEAs is attributed to mechanisms including lattice distortion strengthening, sluggish diffusion, and multiple active deformation pathways such as dislocation slip, twinning, and phase transformation. Advanced characterization techniques such as transmission electron microscopy (TEM), atom probe tomography (APT), and in situ mechanical testing have revealed the complex interplay between microstructure and properties. Computational approaches, including CALPHAD modeling, density functional theory (DFT), and machine learning, have significantly accelerated HEA design, allowing prediction of phase stability, mechanical behavior, and environmental resistance. Representative examples include the FCC-structured CoCrFeMnNi alloy, known for its exceptional cryogenic toughness, Al-containing dual-phase HEAs, such as AlCoCrFeNi, which exhibit high hardness and moderate ductility and refractory HEAs, such as NbMoTaW, which maintain ultra-high strength at temperatures above 1200 °C. Despite these advances, challenges remain in controlling microstructural homogeneity, understanding long-term environmental stability, and developing cost-effective manufacturing routes. This review provides a comprehensive and analytical study of recent progress in HEA research (focusing on literature from 2022–2025), covering thermodynamic fundamentals, design strategies, processing techniques, mechanical and chemical properties, and emerging applications, through highlighting opportunities and directions for future research. In summary, the review’s unique contribution lies in offering an up-to-date, mechanistically grounded, and computationally informed study on the HEAs research-linking composition, processing, structure, and properties to guide the next phase of alloy design and application. Full article
(This article belongs to the Special Issue New Advances in High Entropy Alloys)
Show Figures

Graphical abstract

30 pages, 3482 KB  
Article
Stability Analysis of a Nonautonomous Diffusive Predator–Prey Model with Disease in the Prey and Beddington–DeAngelis Functional Response
by Yujie Zhang, Tao Jiang, Changyou Wang and Qi Shang
Biology 2025, 14(12), 1779; https://doi.org/10.3390/biology14121779 - 12 Dec 2025
Viewed by 323
Abstract
Based on existing models, this paper incorporates some key ecological factors, thereby obtaining a class of eco-epidemiological models that can more objectively reflect natural phenomena. This model simultaneously integrates disease dynamics within the prey population and the Beddington–DeAngelis functional response, thus achieving an [...] Read more.
Based on existing models, this paper incorporates some key ecological factors, thereby obtaining a class of eco-epidemiological models that can more objectively reflect natural phenomena. This model simultaneously integrates disease dynamics within the prey population and the Beddington–DeAngelis functional response, thus achieving an organic combination of ecological dynamics, epidemic transmission, and spatial movement under time-varying environmental conditions. The proposed framework significantly enhances ecological realism by simultaneously accounting for spatial dispersal, predator–prey interactions, disease transmission within prey species, and seasonal or temporal variations, providing a comprehensive mathematical tool for analyzing complex eco-epidemiological systems. The theoretical results obtained from this study can be summarized as follows: Firstly, the existence and uniqueness of globally positive solutions for any positive initial data are rigorously established, ensuring the well-posedness and biological feasibility of the model over extended temporal scales. Secondly, analytically tractable sufficient conditions for uniform population persistence are derived, which elucidate the mechanisms of species coexistence and biodiversity preservation even under sustained epidemiological pressure. Thirdly, by employing innovative applications of differential inequalities and fixed point theory, the existence and uniqueness of a positive spatially homogeneous periodic solution in the presence of time-periodic coefficients are conclusively demonstrated, capturing essential rhythmicities inherent in natural systems. Fourthly, through a sophisticated combination of the upper and lower solution method for parabolic partial differential equations and Lyapunov stability theory, the global asymptotic stability of this periodic solution is rigorously established, offering a powerful analytical guarantee for long-term predictive modeling. Beyond theoretical contributions, these research findings provide actionable insights and quantitative analytical tools to tackle pressing ecological and public health challenges. They facilitate the prediction of thresholds for maintaining ecosystem stability using real-world data, enable the analysis and assessment of disease persistence in spatially structured environments, and offer robust theoretical support for the planning and design of wildlife management and conservation strategies. The derived criteria support evidence-based decision-making in areas such as controlling zoonotic disease outbreaks, maintaining ecosystem stability, and mitigating anthropogenic impacts on ecological communities. A representative numerical case study has been integrated into the analysis to verify all of the theoretical findings. In doing so, it effectively highlights the model’s substantial theoretical value in informing policy-making and advancing sustainable ecosystem management practices. Full article
Show Figures

Figure 1

20 pages, 920 KB  
Article
Analytical Assessment of Pedestrian Crashes on Low-Speed Corridors
by Therezia Matongo and Deo Chimba
Safety 2025, 11(4), 123; https://doi.org/10.3390/safety11040123 - 9 Dec 2025
Viewed by 306
Abstract
This study presents a comprehensive statewide analysis of pedestrian-involved crashes recorded in Tennessee between 2002 and 2025. We evaluated the influence of roadway, traffic, environmental, and socioeconomic factors on pedestrian crash frequency and severity with substantial components focused on lighting impacts including dark [...] Read more.
This study presents a comprehensive statewide analysis of pedestrian-involved crashes recorded in Tennessee between 2002 and 2025. We evaluated the influence of roadway, traffic, environmental, and socioeconomic factors on pedestrian crash frequency and severity with substantial components focused on lighting impacts including dark and nighttime. A multi-method analytical framework was implemented, combining descriptive statistics, non-parametric tests, regression analysis, and advanced machine learning techniques including the Adaptive Neuro-Fuzzy Inference System (ANFIS) and the gradient boosting model (XGBoost). Results indicated that dark and nighttime conditions accounted for a disproportionate share of severe crashes—fatal and serious injuries under dark conditions reached over 40%, compared to less than 20% during daylight. The statistical tests revealed statistically significant differences in both total injuries and fatalities between low-speed (≤35 mph) and higher-speed (40–45 mph) corridors. The regression result identified AADT and the number of lanes as the strongest predictors of crash frequency, showing that greater traffic exposure and wider cross-sections substantially elevate pedestrian risk, while terrain and peak-hour traffic exhibited negative associations with severe injuries. The XGBoost model, consisting of 300 trees, achieved R2 = 0.857, in which the SHAP analysis revealed that AADT, the roadway functional class, and the number of lanes are the most influential variables. The ANFIS model demonstrated that areas with higher population density and greater proportions of households without vehicles experience more pedestrian crashes. These findings collectively establish how pedestrian crash risks are correlated with traffic exposure, roadway geometry, lighting, and socioeconomic conditions, providing a strong analytical foundation for data-driven safety interventions and policy development. Full article
(This article belongs to the Special Issue Safety of Vulnerable Road Users at Night)
Show Figures

Figure 1

20 pages, 752 KB  
Article
Dynamics and Stability of Soliton Structures for the Generalized Nonlinear Fractional (3 + 1)-Dimensional Wave Model in Computational Physics
by Abdulaziz Khalid Alsharidi and Maysoon Qousini
Fractal Fract. 2025, 9(12), 806; https://doi.org/10.3390/fractalfract9120806 - 9 Dec 2025
Viewed by 262
Abstract
This study employs the modified extended direct algebraic method (MEDAM) to investigate the generalized nonlinear fractional (3+1)-dimensional wave equation with gas bubbles. This advanced analytical framework is used to construct a comprehensive class of exact wave solutions and [...] Read more.
This study employs the modified extended direct algebraic method (MEDAM) to investigate the generalized nonlinear fractional (3+1)-dimensional wave equation with gas bubbles. This advanced analytical framework is used to construct a comprehensive class of exact wave solutions and explore the associated dynamical characteristics of diverse wave structures. The analysis yields several categories of soliton solutions, including rational, hyperbolic (sech, tanh), and trigonometric (sec, tan) function forms. To the best of our knowledge, these soliton solutions have not been previously documented in the existing literature. By selecting appropriate standards for the permitted constraints, the qualitative behaviors of the derived solutions are illustrated using polar, contour, and two- and three-dimensional surface graphs. Furthermore, a stability analysis is performed on the obtained soliton solutions to ascertain their robustness and dynamical stability. The suggested analytical approach not only deepens the theoretical understanding of nonlinear wave phenomena but also demonstrates substantial applicability in various fields of applied sciences, particularly in engineering systems, mathematical physics, and fluid mechanics, including complex gas–liquid interactions. Full article
(This article belongs to the Special Issue Recent Trends in Computational Physics with Fractional Applications)
Show Figures

Figure 1

21 pages, 351 KB  
Article
Existence and Uniqueness Results for (k, ψ)-Caputo Fractional Boundary Value Problems Involving Multi-Point Closed Boundary Conditions
by Furkan Erkan, Nuket Aykut Hamal, Sotiris K. Ntouyas and Bashir Ahmad
Foundations 2025, 5(4), 37; https://doi.org/10.3390/foundations5040037 - 8 Dec 2025
Viewed by 290
Abstract
In this paper, we investigate a new class of nonlinear fractional boundary value problems (BVPs) involving (k,ψ)-Caputo fractional derivative operators subject to multipoint closed boundary conditions. Such a formulation of boundary data generalizes classical closure constraints in terms [...] Read more.
In this paper, we investigate a new class of nonlinear fractional boundary value problems (BVPs) involving (k,ψ)-Caputo fractional derivative operators subject to multipoint closed boundary conditions. Such a formulation of boundary data generalizes classical closure constraints in terms of nonlocal dependence of the unknown function at several interior points, giving rise to a flexible mechanism for describing physical and engineering phenomena governed by nonlocal and memory effects. The proposed problem is first transformed into an equivalent fixed-point formulation, enabling the application of standard analytical tools. Results concerning the existence and uniqueness of solutions to the problem are obtained through the application of fixed-point principles, specifically those of Banach, Krasnosel’skiĭ, and the Leray–Schauder nonlinear alternative. The obtained results extend and generalize several known findings. Illustrative examples are presented to demonstrate the applicability of the theoretical findings. Moreover, the introduction incorporates a succinct review of boundary value problems associated with fractional differential equations and inclusions subject to closed boundary conditions. Full article
(This article belongs to the Section Mathematical Sciences)
Back to TopTop