Effects of High Temperature and Nitrogen Fertilizer on the Carbon and Nitrogen Metabolism Characteristics of Rice Varieties with Differing Taste Stability
Abstract
1. Introduction
2. Results
2.1. Effects of Temperature and Nitrogen Fertilizer on the Photosynthetic Characteristics of Rice
2.2. Effects of Temperature and Nitrogen Fertilizer on the Carbon Metabolic Enzyme Activities in Rice
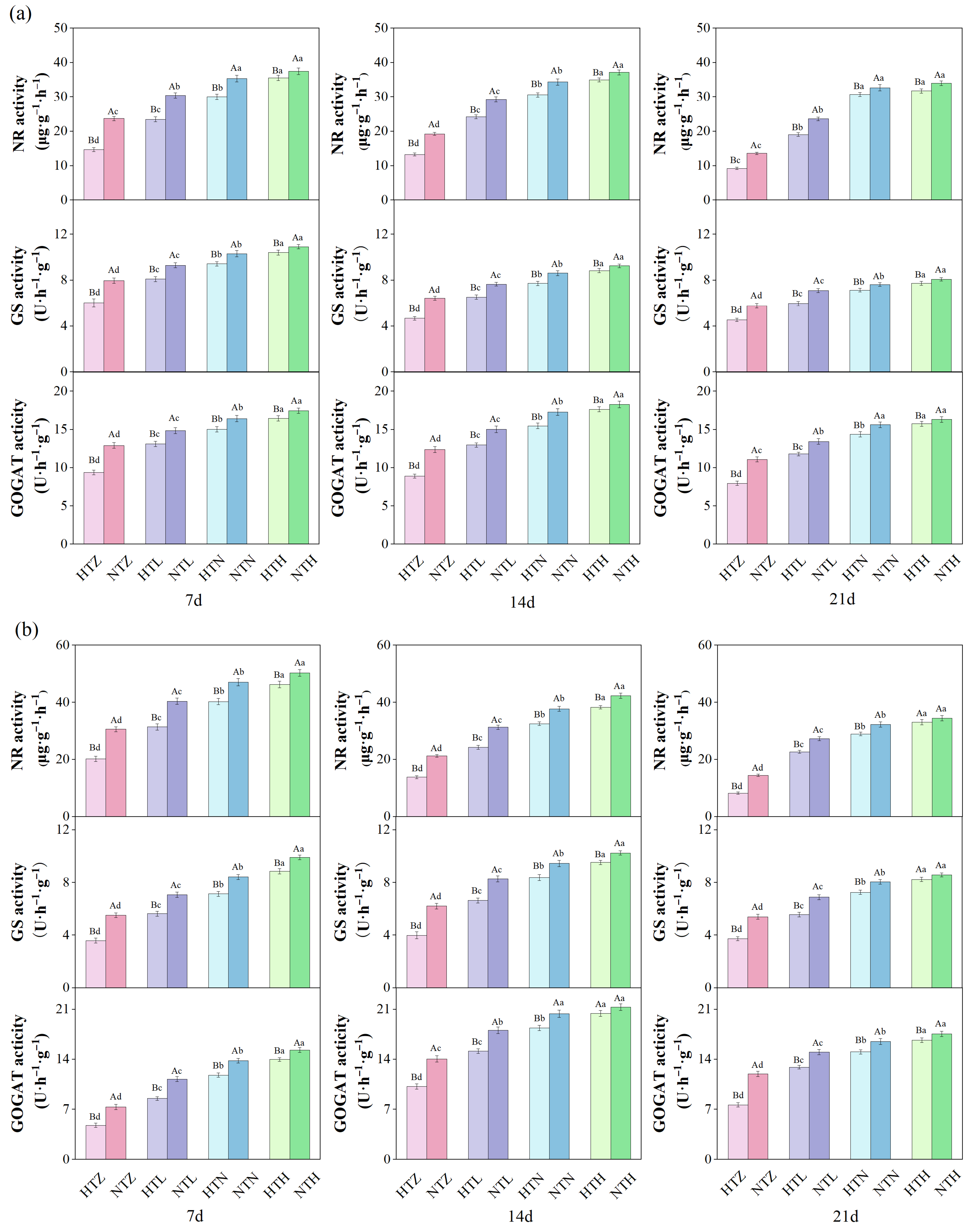
2.3. Effects of Temperature and Nitrogen Fertilizer on the Nitrogen Metabolism Enzyme Activities of Rice
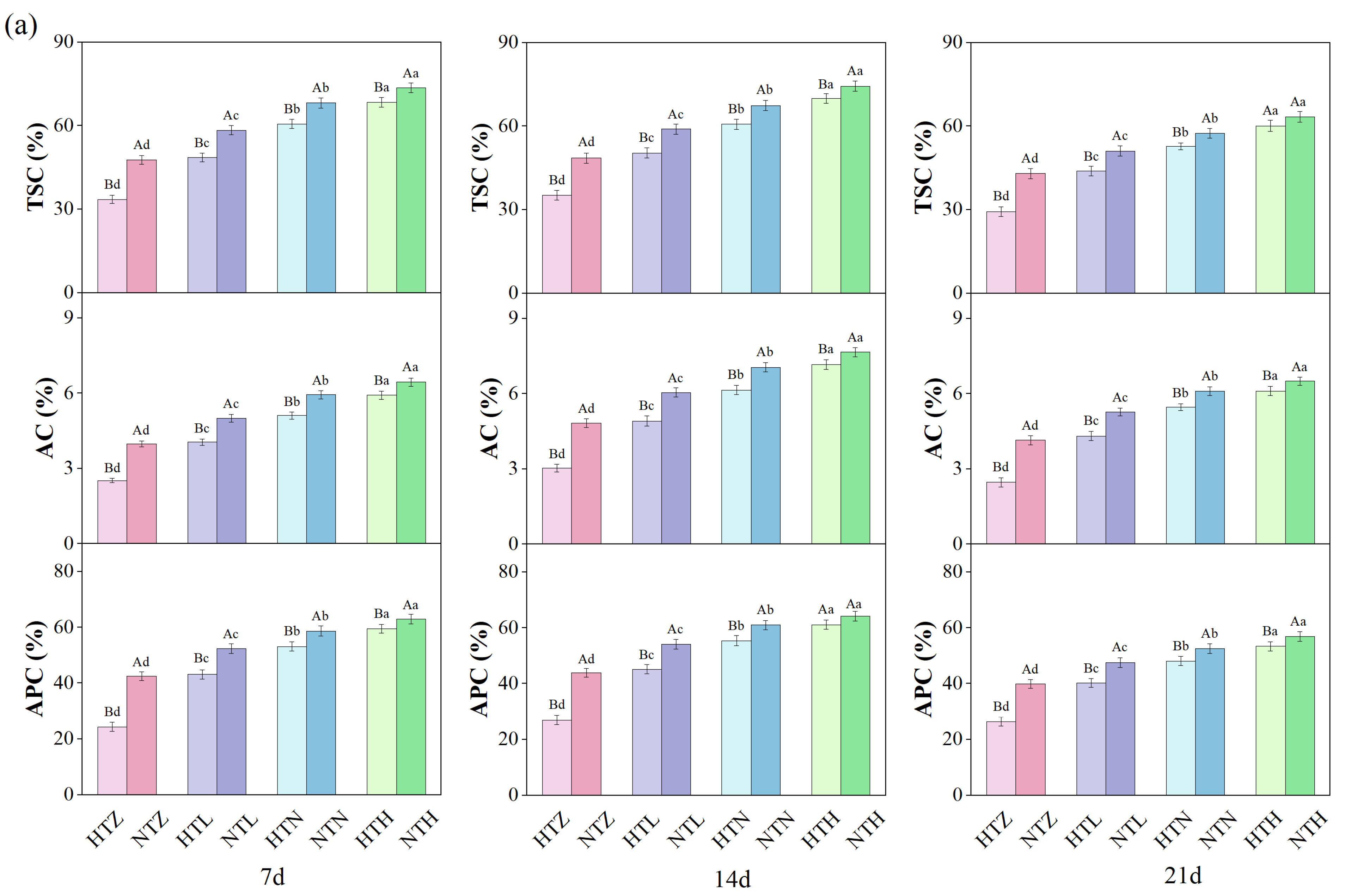
2.4. Effects of Temperature and Nitrogen Fertilizer on the Starch Content in Rice Grains
2.5. Effects of Temperature and Nitrogen Fertilizer on the Nitrogen Content in Rice Grains
2.6. Effects of Temperature and Nitrogen Fertilizer on the Rice Yield and Components
2.7. Effects of Temperature and Nitrogen Fertilizer on the Rice Taste Value
2.8. Effects of Temperature and Nitrogen Fertilizer on the Appearance Quality and Processing Quality of Rice
2.9. Correlation Analysis
2.10. Principal Component Analysis
3. Discussion
4. Materials and Methods
4.1. Test Materials
4.2. Experimental Design
4.3. Measurement Indicators and Methods
4.3.1. Measurement of Photosynthetic Characteristics and Soil–Plant Analysis Development (SPAD) Values (SPAD)
4.3.2. Determination of Carbon and Nitrogen Metabolic Enzyme Activities
4.3.3. Measurement of Starch and Nitrogen Content
4.3.4. Yield and Yield Components
4.3.5. Measurement of Taste Value
4.3.6. Measurement of Processing Quality and Appearance Quality
4.4. Statistical Analysis
5. Conclusions
Author Contributions
Funding
Data Availability Statement
Acknowledgments
Conflicts of Interest
References
- Guo, X.; Huang, B.; Zhang, H.; Cai, C.; Li, G.; Li, H.; Zhang, Y.; Struik, P.C.; Liu, Z.; Dong, M.; et al. T-FACE studies reveal that increased temperature exerts an effect opposite to that of elevated CO2 on nutrient concentration and bioavailability in rice and wheat grains. Food Energy Secur. 2022, 11, e336. [Google Scholar] [CrossRef]
- IPCC. Climate Change 2022: Impacts, Adaptation, and Vulnerability. In Contribution of Working Group II to the Sixth Assessment Report of the Intergovernmental Panel on Climate Change; Cambridge University Press: New York, NY, USA, 2022; p. 3056. [Google Scholar]
- Stocker, T.; Qin, D.; Plattner, G.; Tignor, M.; Allen, S.; Boschung, J.; Nauels, A.; Xia, Y.; Bex, V.; Midgley, P. Climate Change 2013: The Physical Science Basis; Cambridge University Press: New York, NY, USA, 2014. [Google Scholar]
- Wang, W.; Cai, C.; He, J.; Gu, J.; Zhu, G.; Zhang, W.; Zhu, J.; Liu, G. Yield, dry matter distribution and photosynthetic characteristics of rice under elevated CO2 and increased temperature conditions. Field Crops Res. 2020, 248, 107605. [Google Scholar] [CrossRef]
- Shi, W.; Yin, X.; Struik, P.C.; Solis, C.; Xie, F.; Schmidt, R.C.; Huang, M.; Zou, Y.; Ye, C.; Jagadish, S.K.J. High day- and night-time temperatures affect grain growth dynamics in contrasting rice genotypes. J. Exp. Bot. 2017, 68, 5233–5245. [Google Scholar] [CrossRef]
- Gaupp, F.; Hall, J.; Hochrainer-Stigler, S.; Dadson, S. Changing risks of simultaneous global breadbasket failure. Nat. Clim. Change 2020, 10, 54–57. [Google Scholar] [CrossRef]
- Hu, Q.; Wang, W.; Lu, Q.; Huang, J.; Peng, S.; Cui, K. Abnormal anther development leads to lower spikelet fertility in rice (Oryza sativa L.) under high temperature during the panicle initiation stage. BMC Plant Biol. 2021, 21, 428. [Google Scholar] [CrossRef] [PubMed]
- Schaarschmidt, S.; Lawas, L.M.F.; Kopka, J.; Jagadish, S.K.; Zuther, E. Physiological and molecular attributes contribute to high night temperature tolerance in cereals. Plant Cell Environ. 2021, 44, 2034–2048. [Google Scholar] [CrossRef]
- Gourdji, S.M.; Sibley, A.M.; Lobell, D.B. Global crop exposure to critical high temperatures in the reproductive period: Historical trends and future projections. Environ. Res. Lett. 2013, 8, 024041. [Google Scholar] [CrossRef]
- Lyman, N.B.; Jagadish, K.S.; Nalley, L.L.; Dixon, B.L.; Siebenmorgen, T. Neglecting rice milling yield and quality underestimates economic losses from high-temperature stress. PLoS ONE 2013, 8, e72157. [Google Scholar] [CrossRef]
- Ceccarelli, S.; Grando, S.; Maatougui, M.; Michael, M.; Slash, M.; Haghparast, R.; Rahmanian, M.; Taheri, A.; Al-Yassin, A.; Benbelkacem, A.; et al. Plant breeding and climate changes. J. Agric. Sci. 2010, 148, 627–637. [Google Scholar] [CrossRef]
- Mittler, R.; Blumwald, E. Genetic engineering for modern agriculture: Challenges and perspectives. Annu. Rev. Plant Biol. 2010, 61, 443–462. [Google Scholar] [CrossRef]
- Chen, Y.; Chen, H.; Xiang, J.; Zhang, Y.; Wang, Z.; Zhu, D.; Wang, J.; Zhang, Y.; Wang, Y. Rice spikelet formation inhibition caused by decreased sugar utilization under high temperature is associated with brassinolide decomposition. Environ. Exp. Bot. 2021, 190, 104585. [Google Scholar] [CrossRef]
- Wu, C.; Song, Y.; Qi, B.; Fahad, S. Effects of asymmetric heat on grain quality during the panicle initiation stage in contrasting rice genotypes. J. Plant Growth Regul. 2023, 42, 630–636. [Google Scholar] [CrossRef]
- Xu, Y.F.; Chu, C.C.; Yao, S.G. The impact of high-temperature stress on rice: Challenges and solutions. Crop J. 2021, 9, 963–976. [Google Scholar] [CrossRef]
- Hu, Y.J.; Xue, J.T.; Li, L.; Cong, S.M.; Yu, E.W.; Xu, K.; Zhang, H.C. Influence of dynamic high temperature during grain filling on starch fine structure and functional properties of semi-waxy japonica rice. J. Cereal Sci. 2021, 101, 103319. [Google Scholar] [CrossRef]
- Wang, Y.; Zhang, Y.; Shi, Q.; Chen, H.; Xiang, J.; Hu, G.; Chen, Y.; Wang, X.; Wang, J.; Yi, Z.; et al. Decrement of Sugar Consumption in Rice Young Panicle Under High Temperature Aggravates Spikelet Number Reduction. Rice Sci. 2020, 27, 44–55. [Google Scholar] [CrossRef]
- Zhen, F.; Zhou, J.; Mahmood, A.; Wang, W.; Chang, X.; Liu, B.; Liu, L.; Cao, W.; Zhu, Y.; Tang, L. Quantifying the effects of short-term heat stress at booting stage on nonstructural carbohydrates remobilization in rice. Crop J. 2020, 8, 194–212. [Google Scholar] [CrossRef]
- Tu, D.; Jiang, Y.; Salah, A.; Cai, M.; Peng, W.; Zhang, L.; Li, C.; Cao, C. Response of Source-Sink Characteristics and Rice Quality to High Natural Field Temperature During Reproductive Stage in Irrigated Rice System. Front. Plant Sci. 2022, 13, 911181. [Google Scholar] [CrossRef]
- Yu, X.; Wang, L.; Zhang, J.; Wang, Z.; Wang, K.; Duan, Y.; Xiao, Z.; Wang, P. Understanding effects of glutelin on physicochemical and structural properties of extruded starch and the underlying mechanism. Carbohydr. Polym. 2023, 304, 120513. [Google Scholar] [CrossRef] [PubMed]
- Shimoyanagi, R.; Abo, M.; Shiotsu, F. Higher temperatures during grain filling affect grain chalkiness and rice nutrient contents. Agronomy 2021, 11, 1360. [Google Scholar] [CrossRef]
- Arshad, M.S.; Farooq, M.; Asch, F.; Krishna, J.S.; Prasad, P.V.; Siddique, K.H. Thermal stress impacts reproductive development and grain yield in rice. Plant Physiol. Biochem. 2017, 115, 57–72. [Google Scholar] [CrossRef]
- Chen, J.; Tang, L.; Shi, P.; Yang, B.; Sun, T.; Cao, W.; Zhu, Y. Effects of short-term high temperature on grain quality and starch granules of rice (Oryza sativa L.) at post-anthesis stage. Protoplasma 2017, 254, 935–943. [Google Scholar] [CrossRef]
- Yao, D.; Wu, J.; Luo, Q.; Li, J.; Zhuang, W.; Xiao, G.; Deng, Q.; Lei, D.; Bai, B. Influence of high natural field temperature during grain filling stage on the morphological structure and physicochemical properties of rice (Oryza sativa L.) starch. Food Chem. 2020, 310, 125817. [Google Scholar] [CrossRef]
- Xiong, D.; Yu, T.; Ling, X.; Fahad, S.; Peng, S.; Li, Y.; Huang, J. Sufficient leaf transpiration and nonstructural carbohydrates are beneficial for high-temperature tolerance in three rice (Oryza sativa) cultivars and two nitrogen treatments. Funct. Plant Biol 2015, 42, 347–356. [Google Scholar] [CrossRef]
- Wang, H.X.; Xiong, R.Y.; Zhou, Y.Z.; Tan, X.M.; Pan, X.H.; Zeng, Y.J.; Huang, S.; Shang, Q.Y.; Xie, X.B.; Zhang, J.; et al. Grain yield improvement in high- quality rice varieties released in southern China from 2007 to 2017. Front. Sustain. Food Syst. 2022, 6, 986655. [Google Scholar] [CrossRef]
- Liu, K.; Deng, J.; Lu, J.; Wang, X.; Lu, B.; Tian, X.; Zhang, Y. High nitrogen levels alleviate yield loss of super hybrid rice caused by high temperatures during the flowering stage. Front. Plant Sci. 2019, 10, 357. [Google Scholar] [CrossRef]
- Yang, J.; Chen, X.; Zhu, C.; Peng, X.; He, X.; Fu, J.; Ouyang, L.; Bian, J.; Hu, L.; Sun, X. RNA-seq reveals differentially expressed genes of rice (Oryza sativa) spikelet in response to temperature interacting with nitrogen at meiosis stage. BMC Genom. 2015, 16, 959. [Google Scholar] [CrossRef]
- Tang, S.; Zhang, H.; Liu, W.; Dou, Z.; Zhou, Q.; Chen, W.; Wang, S.; Ding, Y. Nitrogen fertilizer at heading stage effectively compensates for the deterioration of rice quality by affecting the starch-related properties under elevated temperatures. Food Chem. 2019, 277, 455–462. [Google Scholar] [CrossRef] [PubMed]
- Kim, H.Y.; Lim, S.S.; Kwak, J.H.; Lee, D.S.; Lee, S.M.; Ro, H.M.; Choi, W.J. Dry matter and nitrogen accumulation and partitioning in rice (Oryza sativa L.) exposed to experimental warming with elevated CO2. Plant Soil 2011, 342, 59–71. [Google Scholar] [CrossRef]
- Tanaka, M.; Keira, M.; Yoon, D.K.; Mae, T.; Ishida, H.; Makino, A.; Ishiyama, K. Photosynthetic enhancement, lifespan extension, and leaf area enlargement in flag leaves increased the yield of transgenic rice plants overproducing Rubisco under sufficient N fertilization. Rice 2022, 15, 10. [Google Scholar] [CrossRef]
- Ling, Q.H.; Su, Z.F.; Chang, H.C.; Cai, J.Z.; Ho, J.S. The leaf-age model of development process in different varieties of rice. Sci. Agric. Sin. 1983, 16, 9–18. [Google Scholar]
- Nakano, H.; Makino, A.; Mae, T. The effect of elevated partial pressures of CO2 on the relationship between photosynthetic capacity and N content in rice leaves. Plant Physiol. 1997, 115, 191–198. [Google Scholar] [CrossRef] [PubMed]
- Marchiori, P.E.; Machado, E.C.; Ribeiro, R.V. Photosynthetic limitations imposed by self-shading in field-grown sugarcane varieties. Field Crops Res. 2014, 155, 30–37. [Google Scholar] [CrossRef]
- Li, J.; Feng, Y.; Wang, X.; Xu, G.; Luo, Z.; Peng, J.; Luo, Q.; Lu, W.; Han, Z. High nitrogen input increases the total spikelets but decreases the high-density grain content in hybrid indica rice. Field Crops Res. 2022, 288, 108679. [Google Scholar] [CrossRef]
- Wei, H.; Zhu, Y.; Qiu, S.; Han, C.; Hu, L.; Xu, D.; Zhou, N.; Xing, Z.; Hu, Y.; Cui, P.; et al. Combined effect of shading time and nitrogen level on grain filling and grain quality in japonica super rice. J. Integr. Agric. 2018, 17, 2405–2417. [Google Scholar] [CrossRef]
- Ambavaram, M.M.; Basu, S.; Krishnan, A.; Ramegowda, V.; Batlang, U.; Rahman, L.; Baisakh, N.; Pereira, A. Coordinated regulation of photosynthesis in rice increases yield and tolerance to environmental stress. Nat. Commun. 2014, 5, 5302. [Google Scholar] [CrossRef]
- Deng, F.; Wang, L.; Pu, S.L.; Mei, X.F.; Li, S.X.; Li, Q.P.; Ren, W.J. Shading stress increases chalkiness by postponing caryopsis development and disturbing starch characteristics of rice grains. Agric. For. Meteorol. 2018, 263, 49–58. [Google Scholar] [CrossRef]
- Li, Q.; Deng, F.; Zeng, Y.; Li, B.; He, C.; Zhu, Y.; Zhou, X.; Zhang, Z.; Wang, L.; Tao, Y. Low light stress increases chalkiness by disturbing starch synthesis and grain filling of rice. Int. J. Mol. Sci. 2022, 23, 9153. [Google Scholar] [CrossRef]
- Stitt, M.; Zeeman, S.C. Starch turnover: Pathways, regulation and role in growth. Curr. Opin. Plant Biol. 2012, 15, 282–292. [Google Scholar] [CrossRef]
- Stitt, M.; Huber, S.; Kerr, P. Control of photosynthetic sucrose formation. In Photosynthesis; Elsevier: Amsterdam, The Netherlands, 1987; pp. 327–409. [Google Scholar]
- Li, Y.; Liu, K.; Chen, F.; Cheng, Y. Comparative proteomics analysis reveals the effect of germination and selenium enrichment on the quality of brown rice during storage. Food Chem. 2018, 269, 220–227. [Google Scholar] [CrossRef]
- Ma, Z.; Cao, J.; Chen, X.; Yu, J.; Liu, G.; Xu, F.; Hu, Q.; Li, G.; Zhu, Y.; Zhang, H.; et al. Differences in carbon and nitrogen metabolism of soft japonica rice in southern China during grain filling stage under different light and nitrogen fertilizer conditions and their relationship with rice eating quality. Front. Plant Sci. 2025, 16, 1534625. [Google Scholar] [CrossRef]
- Chen, X.Y.; Zhu, Y.; Ma, Z.T.; Zhang, M.Y.; Wei, H.Y.; Zhang, H.C.; Liu, G.D.; Hu, Q.; Li, G.Y.; Xu, F.F. Effects of light intensity and nitrogen fertilizer interaction on carbon and nitrogen metabolism at grain-filling stage and its relationship with yield and quality of southern soft japonica rice. Acta Agron. Sin. 2023, 49, 3042–3062. [Google Scholar] [CrossRef]
- Forde, B.G.; Clarkson, D.T. Nitrate and ammonium nutrition of plants: Physiological and molecular perspectives. In Advances in Botanical Research; Elsevier: Amsterdam, The Netherlands, 1999; pp. 1–90. [Google Scholar]
- Krouk, G.; Crawford, N.M.; Coruzzi, G.M.; Tsay, Y.F. Nitrate signaling: Adaptation to fluctuating environments. Curr. Opin. Plant Biol. 2010, 13, 265–272. [Google Scholar] [CrossRef] [PubMed]
- Foyer, C.H.; Valadier, M.H.; Migge, A.; Becker, T.W. Drought-induced effects on nitrate reductase activity and mRNA and on the coordination of nitrogen and carbon metabolism in maize leaves. Plant Physiol. 1998, 117, 283–292. [Google Scholar] [CrossRef]
- Plaut, Z. Nitrate reductase activity of wheat seedlings during exposure to and recovery from water stress and salinity. Physiol. Plant 1974, 30, 212–217. [Google Scholar] [CrossRef]
- Lawlor, D.W. Limitation to photosynthesis in water-stressed leaves: Stomata vs. metabolism and the role of ATP. Ann. Bot. 2002, 89, 871–885. [Google Scholar] [CrossRef]
- Masclaux-Daubresse, C.; Reisdorf-Cren, M.; Pageau, K.; Lelandais, M.; Grandjean, O.; Kronenberger, J.; Valadier, M.H.; Feraud, M.; Jouglet, T.; Suzuki, A. Glutamine synthetase-glutamate synthase pathway and glutamate dehydrogenase play distinct roles in the sink-source nitrogen cycle in tobacco. Plant Physiol. 2006, 140, 444–456. [Google Scholar] [CrossRef]
- Sánchez-Rodríguez, E.; del Mar Rubio-Wilhelmi, M.; Ríos, J.J.; Blasco, B.; Rosales, M.Á.; Melgarejo, R.; Romero, L.; Ruiz, J.M. Ammonia production and assimilation: Its importance as a tolerance mechanism during moderate water deficit in tomato plants. J. Plant Physiol. 2011, 168, 816–823. [Google Scholar] [CrossRef]
- Konishi, N.; Ishiyama, K.; Matsuoka, K.; Maru, I.; Hayakawa, T.; Yamaya, T.; Kojima, S. NADH-dependent glutamate synthase plays a crucial role in assimilating ammonium in the Arabidopsis root. Physiol. Plant 2014, 152, 138–151. [Google Scholar] [CrossRef]
- Liang, C.; Chen, L.; Yan, W.; Jia, L.; Xu, G.; Tian, L. High temperature at grain-filling stage affects nitrogen metabolism enzyme activities in grains and grain nutritional quality in rice. Rice Sci. 2011, 18, 210–216. [Google Scholar] [CrossRef]
- Zhou, L.; Liang, S.; Ponce, K.; Marundon, S.; Ye, G.; Zhao, X. Factors affecting head rice yield and chalkiness in indica rice. Field Crops Res. 2015, 172, 1–10. [Google Scholar] [CrossRef]
- Zhang, J.; Zhang, Y.; Song, N.; Chen, Q.; Sun, H.; Peng, T.; Huang, S.; Zhao, Q. Response of grain-filling rate and grain quality of mid-season indica rice to nitrogen application. J. Integr. Agric. 2021, 20, 1465–1473. [Google Scholar] [CrossRef]
- Chen, T.; Wilson, L.T.; Liang, Q.; Xia, G.; Chen, W.; Chi, D. Influences of irrigation, nitrogen and zeolite management on the physicochemical properties of rice. Arch. Agron. Soil Sci. 2017, 63, 1210–1226. [Google Scholar] [CrossRef]
- Zhang, H.; Ke, X.; Hui, G. Effects of nitrogen level on yield and quality of japonica soft super rice. J. Integr. Agric. 2017, 16, 1018–1027. [Google Scholar] [CrossRef]
- Dhillon, A.K.; Sharma, N.; Dosanjh, N.K.; Goyal, M.; Mahajan, G. Variation in the nutritional quality of rice straw and grain in response to different nitrogen levels. J. Plant Nutr. 2018, 41, 1946–1956. [Google Scholar] [CrossRef]
- Wang, C.; Jing, W.; Fa, X.; Gu, J.; Wang, W.; Zhu, K.; Zhang, W.; Gu, J.; Liu, L.; Wang, Z.; et al. Effect of nitrogen levels on grain yield and quality in improving mid-season japonica rice varieties. J. Sci. Food Agric. 2025, 105, 3010–3023. [Google Scholar] [CrossRef] [PubMed]
- Guo, C.; Zhang, L.; Jiang, P.; Yang, Z.; Chen, Z.; Xu, F.; Guo, X.; Sun, Y.; Ma, J. Grain chalkiness is decreased by balancing the synthesis of protein and starch in hybrid indica rice grains under nitrogen fertilization. Foods 2024, 13, 855. [Google Scholar] [CrossRef]
- Dou, Z.; Zhou, Y.; Zhang, Y.; Guo, W.; Xu, Q.; Gao, H. Influence of nitrogen applications during grain-filling stage on rice (Oryza sativa L.) yield and grain quality under high temperature. Agronomy 2024, 14, 216. [Google Scholar] [CrossRef]
- Ye, C.; Ma, H.; Huang, X.; Xu, C.; Chen, S.; Chu, G.; Zhang, X.; Wang, D. Effects of increasing panicle-stage N on yield and N use efficiency of indica rice and its relationship with soil fertility. Crop J. 2022, 10, 1784–1797. [Google Scholar] [CrossRef]










| Variety | Treatment | Effective Panicle Number (/Pot) | Spikelets per Panicle | Seed Setting Rate (%) | 1000-Grain Weight (g) | Yield (g/Pot) |
|---|---|---|---|---|---|---|
| AK | HTZ | 17.00 ± 0.82 Aa | 108.40 ± 4.79 Ac | 97.20 ± 0.66 Aa | 21.50 ± 0.12 Aa | 62.16 ± 3.33 Ad |
| NTZ | 16.30 ± 0.47 Aa | 99.20 ± 7.79 Ac | 92.70 ± 2.58 Aa | 24.60 ± 0.40 Ba | 66.03 ± 2.30 Ac | |
| HTL | 17.70 ± 1.25 Aa | 121.40 ± 6.23 Ab | 93.40 ± 3.61 Aa | 20.00 ± 0.83 Aa | 77.87 ± 4.24 Ac | |
| NTL | 17.30 ± 1.25 Aa | 116.70 ± 7.76 Ab | 94.00 ± 1.75 Aa | 23.90 ± 0.14 Bab | 81.57 ± 3.61 Ab | |
| HTN | 19.00 ± 0.82 Aa | 129.10 ± 3.98 Aa | 92.40 ± 4.11 Aa | 20.00 ± 1.11 Aab | 87.15 ± 4.59 Ab | |
| NTN | 16.70 ± 0.94 Aa | 138.10 ± 5.96 Aa | 91.60 ± 0.68 Aa | 22.70 ± 1.52 Aab | 91.79 ± 3.82 Aa | |
| HTH | 20.30 ± 0.94 Aa | 144.30 ± 5.99 Aa | 92.20 ± 2.27 Aa | 18.30 ± 1.15 Ab | 96.05 ± 4.84 Aa | |
| NTH | 18.70 ± 1.25 Aa | 144.90 ± 6.06 Aa | 90.30 ± 3.19 Aa | 21.30 ± 0.62 Bb | 100.28 ± 4.55 Aa | |
| J 606 | HTZ | 16.30 ± 1.25 Aa | 116.10 ± 9.06 Ac | 95.40 ± 1.53 Aa | 23.80 ± 0.97 Aa | 65.87 ± 3.86 Ac |
| NTZ | 16.70 ± 0.47 Aa | 106.10 ± 5.52 Ab | 95.40 ± 0.62 Aa | 23.10 ± 0.45 Aa | 69.23 ± 4.45 Ac | |
| HTL | 17.00 ± 1.63 Aa | 119.80 ± 6.37 Ab | 95.10 ± 1.34 Aa | 23.60 ± 1.18 Aa | 86.15 ± 5.17 Ab | |
| NTL | 17.30 ± 1.70 Aa | 127.90 ± 2.58 Ab | 95.50 ± 0.24 Aa | 22.30 ± 0.51 Aa | 89.54 ± 5.26 Ab | |
| HTN | 18.70 ± 1.70 Aa | 128.30 ± 5.95 Aa | 93.10 ± 1.68 Aa | 22.10 ± 0.87 Aa | 93.85 ± 5.17 Aa | |
| NTN | 16.70 ± 1.25 Aa | 148.60 ± 8.98 Aab | 93.50 ± 0.57 Aa | 21.90 ± 0.99 Aa | 97.72 ± 5.06 Aa | |
| HTH | 19.00 ± 0.82 Aa | 137.70 ± 7.83 Aa | 93.00 ± 0.38 Aa | 21.60 ± 1.08 Aa | 101.35 ± 4.92 Aa | |
| NTH | 19.00 ± 2.16 Aa | 148.60 ± 4.40 Aa | 89.90 ± 5.42 Aa | 21.60 ± 0.50 Aa | 105.12 ± 5.34 Aa |
| Variety | Treatment | Milled Rice Rate (%) | Brown Rice Rate (%) | Head Milled Rice Rate (%) | Chalkiness Degree (%) | Chalky Grain Percentage (%) |
|---|---|---|---|---|---|---|
| AK | HTZ | 78.30 ± 0.55 Ac | 66.50 ± 0.49 Ac | 54.60 ± 0.63 Ad | 9.60 ± 0.23 Aa | 21.70 ± 0.61 Aa |
| NTZ | 79.20 ± 0.56 Ad | 67.00 ± 0.63 Ad | 55.70 ± 0.43 Ad | 8.40 ± 0.47 Ba | 20.90 ± 0.57 Aa | |
| HTL | 79.20 ± 0.69 Ac | 67.20 ± 0.44 Ac | 56.30 ± 0.39 Bc | 7.20 ± 0.64 Ab | 16.30 ± 0.25 Ac | |
| NTL | 80.70 ± 0.60 Ac | 68.00 ± 0.43 Ac | 58.10 ± 0.55 Ac | 6.40 ± 0.30 Ac | 16.00 ± 0.35 Ac | |
| HTN | 81.10 ± 0.36 Bb | 69.30 ± 0.40 Bb | 58.30 ± 0.25 Bb | 7.70 ± 0.55 Ab | 17.40 ± 0.27 Ab | |
| NTN | 82.40 ± 0.51 Ab | 70.50 ± 0.25 Ab | 60.60 ± 0.68 Ab | 7.00 ± 0.36 Abc | 16.90 ± 0.54 Abc | |
| HTH | 83.70 ± 0.64 Ba | 71.20 ± 0.33 Aa | 61.00 ± 0.36 Ba | 7.80 ± 0.40 Ab | 18.20 ± 0.48 Ab | |
| NTH | 85.50 ± 0.57 Aa | 72.20 ± 0.39 Aa | 63.30 ± 0.63 Aa | 7.40 ± 0.36 Ab | 17.60 ± 0.33 Ab | |
| J 606 | HTZ | 80.00 ± 0.36 Bd | 67.70 ± 0.25 Ad | 55.30 ± 0.25 Bd | 10.40 ± 0.36 Aa | 19.60 ± 0.40 Aa |
| NTZ | 81.60 ± 0.48 Ad | 68.00 ± 0.06 Ad | 56.70 ± 0.38 Ad | 9.40 ± 0.44 Aa | 18.60 ± 0.46 Aa | |
| HTL | 81.50 ± 0.55 Bc | 68.50 ± 0.39 Bc | 57.30 ± 0.39 Bc | 8.80 ± 0.28 Ab | 17.10 ± 0.41 Ab | |
| NTL | 83.90 ± 0.38 Ac | 69.70 ± 0.38 Ac | 59.60 ± 0.24 Ac | 8.10 ± 0.30 Ab | 16.60 ± 0.54 Ab | |
| HTN | 84.10 ± 0.47 Bb | 71.70 ± 0.06 Bb | 60.40 ± 0.27 Bb | 7.00 ± 0.38 Ac | 14.40 ± 0.42 Ab | |
| NTN | 86.30 ± 0.46 Ab | 72.80 ± 0.06 Ab | 63.30 ± 0.12 Ab | 6.70 ± 0.23 Ac | 14.10 ± 0.36 Ac | |
| HTH | 86.80 ± 0.54 Ba | 73.20 ± 0.06 Aa | 63.00 ± 0.44 Ba | 7.40 ± 0.49 Ac | 15.70 ± 0.54 Ac | |
| NTH | 89.00 ± 0.53 Aa | 74.40 ± 0.31 Aa | 65.60 ± 0.35 Aa | 7.20 ± 0.49 Ac | 15.50 ± 0.52 Ac |
| Temperature Treatment | N Application Rate for Panicle Fertilizer | Abbreviation |
|---|---|---|
| Normal temperature (day/night: 28 °C/18 °C) | Zero N (0 g pot−1) | NTZ |
| Low N (0.34 g pot−1) | NTL | |
| Normal N (0.48 g pot−1) | NTN | |
| High N (0.62 g pot−1) | NTH | |
| High temperature (day/night: 34 °C/24 °C) | Zero N (0 g pot−1) | HTZ |
| Low N (0.34 g pot−1) | HTL | |
| Normal N (0.48 g pot−1) | HTN | |
| High N (0.62 g pot−1) | HTH |
Disclaimer/Publisher’s Note: The statements, opinions and data contained in all publications are solely those of the individual author(s) and contributor(s) and not of MDPI and/or the editor(s). MDPI and/or the editor(s) disclaim responsibility for any injury to people or property resulting from any ideas, methods, instructions or products referred to in the content. |
© 2026 by the authors. Licensee MDPI, Basel, Switzerland. This article is an open access article distributed under the terms and conditions of the Creative Commons Attribution (CC BY) license.
Share and Cite
Ma, K.; Zhou, Y.; Ma, Y.; Qi, Z.; Xu, H. Effects of High Temperature and Nitrogen Fertilizer on the Carbon and Nitrogen Metabolism Characteristics of Rice Varieties with Differing Taste Stability. Plants 2026, 15, 1006. https://doi.org/10.3390/plants15071006
Ma K, Zhou Y, Ma Y, Qi Z, Xu H. Effects of High Temperature and Nitrogen Fertilizer on the Carbon and Nitrogen Metabolism Characteristics of Rice Varieties with Differing Taste Stability. Plants. 2026; 15(7):1006. https://doi.org/10.3390/plants15071006
Chicago/Turabian StyleMa, Ke, Yuanyuan Zhou, Yao Ma, Zexin Qi, and Heping Xu. 2026. "Effects of High Temperature and Nitrogen Fertilizer on the Carbon and Nitrogen Metabolism Characteristics of Rice Varieties with Differing Taste Stability" Plants 15, no. 7: 1006. https://doi.org/10.3390/plants15071006
APA StyleMa, K., Zhou, Y., Ma, Y., Qi, Z., & Xu, H. (2026). Effects of High Temperature and Nitrogen Fertilizer on the Carbon and Nitrogen Metabolism Characteristics of Rice Varieties with Differing Taste Stability. Plants, 15(7), 1006. https://doi.org/10.3390/plants15071006

