Sign in to use this feature.

Years

Between: -

Subjects

remove_circle_outline
remove_circle_outline
remove_circle_outline
remove_circle_outline
remove_circle_outline
remove_circle_outline
remove_circle_outline

Journals

Article Types

Countries / Regions

Search Results (29)

Search Parameters:
Keywords = amino acid deprotection

Order results
Result details
Results per page
Select all
Export citation of selected articles as:
17 pages, 2983 KB  
Article
Base-Labile Safety-Catch Linker: Synthesis and Applications in Solid-Phase Peptide Synthesis
by Sikabwe Noki, Hossain Saneii, Beatriz G. de la Torre and Fernando Albericio
Int. J. Mol. Sci. 2025, 26(5), 2210; https://doi.org/10.3390/ijms26052210 - 28 Feb 2025
Viewed by 3151
Abstract
The safety-catch concept involves a protecting group that remains stable under a range of chemical conditions and subsequently becomes labile under one of those conditions upon a chemical modification of the protecting group. The safety-catch approach introduces flexibility into the scheme, enabling the [...] Read more.
The safety-catch concept involves a protecting group that remains stable under a range of chemical conditions and subsequently becomes labile under one of those conditions upon a chemical modification of the protecting group. The safety-catch approach introduces flexibility into the scheme, enabling the use of the same reagent in two distinct steps of the chemical process. For example, it facilitates α-amino deprotection and final cleavage in a solid-phase peptide synthesis scheme. Herein, we developed a safety-catch linker based on sulfinyl designed to enable peptide elongation via fluorenylmethoxycarbonyl (Fmoc) chemistry. Subsequently, upon chemical modification (oxidation of the sulfinyl group into the corresponding sulfone), the peptide is released using a secondary amine via a β-elimination reaction, which also serves to remove the Fmoc group in each step. The optimization of both key reactions, oxidation of the linker, and peptide release were achieved using a multi-detachable system, which allows specific control of both reactions. The use of this linker opens the possibility of cleaving peptides from the solid support without trifluoroacetic acid. Full article
(This article belongs to the Special Issue Solid-Phase Peptides: Syntheses and Applications)
Show Figures

Graphical abstract

23 pages, 19598 KB  
Review
Safety-Catch Linkers for Solid-Phase Peptide Synthesis
by Sikabwe Noki, Beatriz G. de la Torre and Fernando Albericio
Molecules 2024, 29(7), 1429; https://doi.org/10.3390/molecules29071429 - 22 Mar 2024
Cited by 14 | Viewed by 10658
Abstract
Solid-phase peptide synthesis (SPPS) is the preferred strategy for synthesizing most peptides for research purposes and on a multi-kilogram scale. One key to the success of SPPS is the continual evolution and improvement of the original method proposed by Merrifield. Over the years, [...] Read more.
Solid-phase peptide synthesis (SPPS) is the preferred strategy for synthesizing most peptides for research purposes and on a multi-kilogram scale. One key to the success of SPPS is the continual evolution and improvement of the original method proposed by Merrifield. Over the years, this approach has been enhanced with the introduction of new solid supports, protecting groups for amino acids, coupling reagents, and other tools. One of these improvements is the use of the so-called “safety-catch” linkers/resins. The linker is understood as the moiety that links the peptide to the solid support and protects the C-terminal carboxylic group. The “safety-catch” concept relies on linkers that are totally stable under the conditions needed for both α-amino and side-chain deprotection that, at the end of synthesis, can be made labile to one of those conditions by a simple chemical reaction (e.g., an alkylation). This unique characteristic enables the simultaneous use of two primary protecting strategies: tert-butoxycarbonyl (Boc) and fluorenylmethoxycarbonyl (Fmoc). Ultimately, at the end of synthesis, either acids (which are incompatible with Boc) or bases (which are incompatible with Fmoc) can be employed to cleave the peptide from the resin. This review focuses on the most significant “safety-catch” linkers. Full article
(This article belongs to the Section Organic Chemistry)
Show Figures

Graphical abstract

32 pages, 10331 KB  
Article
From the RNA-Peptide World: Prebiotic Reaction Conditions Compatible with Lipid Membranes for the Formation of Lipophilic Random Peptides in the Presence of Short Oligonucleotides, and More
by Augustin Lopez, Antoine Vauchez, Ghinwa Ajram, Anastasiia Shvetsova, Gabrielle Leveau, Michele Fiore and Peter Strazewski
Life 2024, 14(1), 108; https://doi.org/10.3390/life14010108 - 9 Jan 2024
Cited by 3 | Viewed by 4587
Abstract
Deciphering the origins of life on a molecular level includes unravelling the numerous interactions that could occur between the most important biomolecules being the lipids, peptides and nucleotides. They were likely all present on the early Earth and all necessary for the emergence [...] Read more.
Deciphering the origins of life on a molecular level includes unravelling the numerous interactions that could occur between the most important biomolecules being the lipids, peptides and nucleotides. They were likely all present on the early Earth and all necessary for the emergence of cellular life. In this study, we intended to explore conditions that were at the same time conducive to chemical reactions critical for the origins of life (peptide–oligonucleotide couplings and templated ligation of oligonucleotides) and compatible with the presence of prebiotic lipid vesicles. For that, random peptides were generated from activated amino acids and analysed using NMR and MS, whereas short oligonucleotides were produced through solid-support synthesis, manually deprotected and purified using HPLC. After chemical activation in prebiotic conditions, the resulting mixtures were analysed using LC-MS. Vesicles could be produced through gentle hydration in similar conditions and observed using epifluorescence microscopy. Despite the absence of coupling or ligation, our results help to pave the way for future investigations on the origins of life that may gather all three types of biomolecules rather than studying them separately, as it is still too often the case. Full article
(This article belongs to the Special Issue Feature Papers in Origins of Life)
Show Figures

Graphical abstract

12 pages, 965 KB  
Article
Dipropyleneglycol Dimethylether, New Green Solvent for Solid-Phase Peptide Synthesis: Further Challenges to Improve Sustainability in the Development of Therapeutic Peptides
by Giovanni Vivenzio, Maria Carmina Scala, Pasquale Marino, Michele Manfra, Pietro Campiglia and Marina Sala
Pharmaceutics 2023, 15(6), 1773; https://doi.org/10.3390/pharmaceutics15061773 - 20 Jun 2023
Cited by 12 | Viewed by 3633
Abstract
In recent years, peptides have gained more success as therapeutic compounds. Nowadays, the preferred method to obtain peptides is solid-phase peptide synthesis (SPPS), which does not respect the principles of green chemistry due to the large number of toxic reagents and solvents used. [...] Read more.
In recent years, peptides have gained more success as therapeutic compounds. Nowadays, the preferred method to obtain peptides is solid-phase peptide synthesis (SPPS), which does not respect the principles of green chemistry due to the large number of toxic reagents and solvents used. The aim of this work was to research and study an environmentally sustainable solvent able to replace dimethylformamide (DMF) in fluorenyl methoxycarbonyl (Fmoc) solid-phase peptide synthesis. Herein, we report the use of dipropyleneglycol dimethylether (DMM), a well-known green solvent with low human toxicity following oral, inhalant, and dermal exposure and that is easily biodegradable. Some tests were needed to evaluate its applicability to all the steps of SPPS, such as amino acid solubility, resin swelling, deprotection kinetics, and coupling tests. Once the best green protocol was established, it was applied to the synthesis of different length peptides to study some of the fundamental parameters of green chemistry, such as PMI (process mass intensity) and the recycling of solvent. It was revealed that DMM is a valuable alternative to DMF in all steps of solid-phase peptide synthesis. Full article
(This article belongs to the Section Gene and Cell Therapy)
Show Figures

Graphical abstract

17 pages, 6915 KB  
Article
Regioselective Cyclic Iminium Formation of Ugi Advanced Intermediates: Rapid Access to 3,4-Dihydropyrazin-2(1H)-ones and Other Diverse Nitrogen-Containing Heterocycles
by Naděžda Cankařová and Viktor Krchňák
Molecules 2023, 28(7), 3062; https://doi.org/10.3390/molecules28073062 - 29 Mar 2023
Cited by 2 | Viewed by 2525
Abstract
Herein, advanced intermediates were synthesized through Ugi four-component reactions of isocyanides, aldehydes, masked amino aldehyde, and carboxylic acids, including N-protected amino acids. The presence of a masked aldehyde enabled acid-mediated deprotection and subsequent cyclization via the carbonyl carbon and the amide nitrogen. [...] Read more.
Herein, advanced intermediates were synthesized through Ugi four-component reactions of isocyanides, aldehydes, masked amino aldehyde, and carboxylic acids, including N-protected amino acids. The presence of a masked aldehyde enabled acid-mediated deprotection and subsequent cyclization via the carbonyl carbon and the amide nitrogen. Utilizing N-protected amino acid as a carboxylic acid component, Ugi intermediates could be cyclized from two possible directions to target 3,4-dihydropyrazin-2(1H)-ones. Cyclization to the amino terminus (westbound) and to the carboxyl terminus (eastbound) was demonstrated. Deliberate selection of building blocks drove the reaction regioselectively and yielded diverse heterocycles containing a 3,4-dihydropyrazin-2(1H)-one core, pyrazin-2(1H)-one, and piperazin-2-one, as well as a tricyclic framework with a 3D architecture, 2,3-dihydro-2,6-methanobenzo[h][1,3,6]triazonine-4,7(1H,5H)-dione, from Ugi adducts under mild reaction conditions. The latter bridged heterocycle was achieved diastereoselectively. The reported chemistry represents diversity-oriented synthesis. One common Ugi advanced intermediate was, without isolation, rapidly transformed into various nitrogen-containing heterocycles. Full article
(This article belongs to the Special Issue Heterocyclic Chemistry with Applications)
Show Figures

Graphical abstract

16 pages, 24519 KB  
Article
A Brønsted Acidic Deep Eutectic Solvent for N-Boc Deprotection
by Debora Procopio, Carlo Siciliano, Roberta De Rose, Sonia Trombino, Roberta Cassano and Maria Luisa Di Gioia
Catalysts 2022, 12(11), 1480; https://doi.org/10.3390/catal12111480 - 19 Nov 2022
Cited by 12 | Viewed by 11556
Abstract
The tert-butyloxycarbonyl (Boc) group is one of the most widely used amine-protecting groups in multistep reactions in synthetic organic chemistry as well as in peptide synthesis. Traditional methods to remove the Boc group have disadvantages in terms of high acidity, the use of [...] Read more.
The tert-butyloxycarbonyl (Boc) group is one of the most widely used amine-protecting groups in multistep reactions in synthetic organic chemistry as well as in peptide synthesis. Traditional methods to remove the Boc group have disadvantages in terms of high acidity, the use of expensive reagents, excessive amounts of catalysts and harmful solvents as well as high temperatures, making them environmentally unsustainable. Therefore, more efforts must be stepwise tightened to make Boc removal practical, clean, and minimize any potential impact. We describe an efficient and sustainable method for N-Boc deprotection by means of a choline chloride/p-toluenesulfonic acid deep eutectic solvent (DES), which is used as a reaction medium plus catalyst. The adopted conditions allow the deprotection of a wide variety of N-Boc derivatives in excellent yields. The strategy has found advantages in greening, simplicity, and short reaction times, resulting in a useful alternative to standard methods. Full article
Show Figures

Figure 1

15 pages, 3076 KB  
Article
Efficient Fmoc-Protected Amino Ester Hydrolysis Using Green Calcium(II) Iodide as a Protective Agent
by Renaud Binette, Michael Desgagné, Camille Theaud and Pierre-Luc Boudreault
Molecules 2022, 27(9), 2788; https://doi.org/10.3390/molecules27092788 - 27 Apr 2022
Cited by 5 | Viewed by 11861
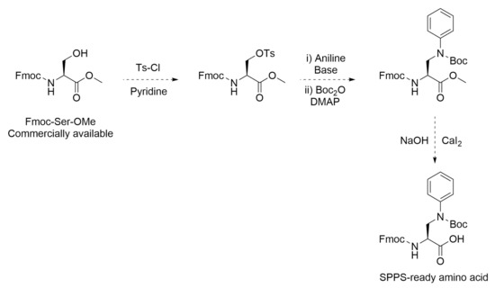
Abstract
In order to modify amino acids, the C-terminus carboxylic acid usually needs to be protected, typically as a methyl ester. However, standard cleavage of methyl esters requires either highly basic or acidic conditions, which are not compatible with Fmoc or acid-labile protecting groups. [...] Read more.
In order to modify amino acids, the C-terminus carboxylic acid usually needs to be protected, typically as a methyl ester. However, standard cleavage of methyl esters requires either highly basic or acidic conditions, which are not compatible with Fmoc or acid-labile protecting groups. This highlights the need for orthogonal conditions that permit selective deprotection of esters to create SPPS-ready amino acids. Herein, mild orthogonal ester hydrolysis conditions are systematically explored using calcium(II) iodide as a protective agent for the Fmoc protecting group and optimized for a broad scope of amino esters. Our optimized reaction improved on the already known trimethyltin hydroxide, as it produced better yields with greener, inexpensive chemicals and a less extensive energy expenditure. Full article
(This article belongs to the Section Organic Chemistry)
Show Figures

Graphical abstract

19 pages, 2791 KB  
Article
Tea Bags for Fmoc Solid-Phase Peptide Synthesis: An Example of Circular Economy
by Fanny Guzmán, Adriana Gauna, Tanya Roman, Omar Luna, Claudio Álvarez, Claudia Pareja-Barrueto, Luis Mercado, Fernando Albericio and Constanza Cárdenas
Molecules 2021, 26(16), 5035; https://doi.org/10.3390/molecules26165035 - 19 Aug 2021
Cited by 33 | Viewed by 8793
Abstract
Peptide synthesis is an area with a wide field of application, from biomedicine to nanotechnology, that offers the option of simultaneously synthesizing a large number of sequences for the purpose of preliminary screening, which is a powerful tool. Nevertheless, standard protocols generate large [...] Read more.
Peptide synthesis is an area with a wide field of application, from biomedicine to nanotechnology, that offers the option of simultaneously synthesizing a large number of sequences for the purpose of preliminary screening, which is a powerful tool. Nevertheless, standard protocols generate large volumes of solvent waste. Here, we present a protocol for the multiple Fmoc solid-phase peptide synthesis in tea bags, where reagent recycling steps are included. Fifty-two peptides with wide amino acid composition and seven to twenty amino acid residues in length were synthesized in less than three weeks. A clustering analysis was performed, grouping the peptides by physicochemical features. Although a relationship between the overall yield and the physicochemical features of the sequences was not established, the process showed good performance despite sequence diversity. The recycling system allowed to reduce N, N-dimethylformamide usage by 25–30% and reduce the deprotection reagent usage by 50%. This protocol has been optimized for the simultaneous synthesis of a large number of peptide sequences. Additionally, a reagent recycling system was included in the procedure, which turns the process into a framework of circular economy, without affecting the quality of the products obtained. Full article
(This article belongs to the Special Issue Peptide Therapeutics 2.0)
Show Figures

Figure 1

17 pages, 3471 KB  
Article
Discovery of a New Analgesic Peptide, Leptucin, from the Iranian Scorpion, Hemiscorpius lepturus
by Sedigheh Bagheri-Ziari, Delavar Shahbazzadeh, Soroush Sardari, Jean-Marc Sabatier and Kamran Pooshang Bagheri
Molecules 2021, 26(9), 2580; https://doi.org/10.3390/molecules26092580 - 28 Apr 2021
Cited by 24 | Viewed by 4495
Abstract
Hemiscorpius lepturus scorpion stings do not induce considerable pain based on epidemiological surveys conducted in the southwest part of Iran. Accordingly, this study was aimed to identify the analgesic molecule in H. lepturus venom by analyzing a cDNA library of the scorpion venom [...] Read more.
Hemiscorpius lepturus scorpion stings do not induce considerable pain based on epidemiological surveys conducted in the southwest part of Iran. Accordingly, this study was aimed to identify the analgesic molecule in H. lepturus venom by analyzing a cDNA library of the scorpion venom gland looking for sequences having homology with known animal venom analgesic peptides. The analgesic molecule is a cysteine rich peptide of 55 amino acids. the synthetic peptide was deprotected and refolded. RP-HPLC, Ellman’s, and DLS assays confirmed the refolding accuracy. Circular dichroism (CD) showed helix and beta sheet contents. This peptide, called leptucin, demonstrated 95% analgesic activity at the dose of 0.48 mg/kg in hot plate assay. Leptucin at the doses of 0.32, 0.48, and 0.64 mg/kg showed 100% activity in thermal tail flick test. No hemolysis or cytotoxicity was observed at 8 and 16 μg. Histopathology evaluations indicated no hepatotoxicity, nephrotoxicity, and cardiotoxicity. We thus report that leptucin is the analgesic agent of H. lepturus venom. Regarding the high in vivo efficacy of leptucin and the fact it shows no observable toxicity, it could be suggested as a drug lead in a preclinical study of acute pain as well as the study of its mechanism of action. Full article
Show Figures

Graphical abstract

8 pages, 1992 KB  
Article
A Reliable Enantioselective Route to Mono-Protected N1-Cbz Piperazic Acid Building Block
by Evanthia Papadaki, Dimitris Georgiadis and Michail Tsakos
Molecules 2020, 25(24), 5939; https://doi.org/10.3390/molecules25245939 - 15 Dec 2020
Cited by 1 | Viewed by 4854
Abstract
The chiral N1-Cbz, N2-H derivative of the piperazic acid monomer is a valuable building block in the total synthesis of natural products, comprising this nonproteinogenic amino acid. In that context, we wish to report an improved synthetic protocol for the synthesis of [...] Read more.
The chiral N1-Cbz, N2-H derivative of the piperazic acid monomer is a valuable building block in the total synthesis of natural products, comprising this nonproteinogenic amino acid. In that context, we wish to report an improved synthetic protocol for the synthesis of both (3R)- and (3S)-piperazic acids bearing the carboxybenzyl protecting group (Cbz) selectively at the N1 position. Our method builds on previously reported protocols, circumventing their potential shortcomings, and optimizing the ultimate selective deprotection at the N2 position, thus, offering an efficient and reproducible pathway to suitably modified piperazates in high optical purity. Full article
(This article belongs to the Special Issue Cyclic Peptide Analogues and Non-peptide Mimetics)
Show Figures

Graphical abstract

14 pages, 3699 KB  
Article
Automated Synthesis of Fluorine-18 Labeled CXCR4 Ligand via the Conjugation with Nicotinic Acid N-Hydroxysuccinimide Ester (6-[18F]SFPy)
by Falguni Basuli, Xiang Zhang, Tim E. Phelps, Elaine M. Jagoda, Peter L. Choyke and Rolf E. Swenson
Molecules 2020, 25(17), 3924; https://doi.org/10.3390/molecules25173924 - 27 Aug 2020
Cited by 8 | Viewed by 3903
Abstract
The C-X-C motif chemokine receptor 4 (CXCR4) is a seven-transmembrane G protein-coupled receptor that is overexpressed in numerous diseases, particularly in various cancers and is a powerful chemokine, attracting cells to the bone marrow niche. Therefore, CXCR4 is an attractive target for imaging [...] Read more.
The C-X-C motif chemokine receptor 4 (CXCR4) is a seven-transmembrane G protein-coupled receptor that is overexpressed in numerous diseases, particularly in various cancers and is a powerful chemokine, attracting cells to the bone marrow niche. Therefore, CXCR4 is an attractive target for imaging and therapeutic purposes. The goal of this study is to develop an efficient, reproducible, and straightforward method to prepare a fluorine-18 labeled CXCR4 ligand. 6-[18F]Fluoronicotinic acid-2,3,5,6-tetrafluorophenyl ester (6-[18F]FPy-TFP) and nicotinic acid N-hydroxysuccinimide ester (6-[18F]SFPy) have been prepared using ‘fluorination on the Sep-Pak’ method. Conjugation of 6-[18F]SFPy or 6-[18F]FPy-TFP with the alpha-amino group at the N terminus of the protected T140 precursor followed by deprotection, yielded the final product 6-[18F]FPy-T140. The overall radiochemical yields were 6–17% (n = 15, decay-corrected) in a 90-min radiolabeling time with a radiochemical purity >99%. 6-[18F]FPy-T140 exhibited high specific binding and nanomolar affinity for CXCR4 in vitro, indicating that the biological activity of the peptide was preserved. For the first time, [18F]SFPy has been prepared using ‘fluorination on the Sep-Pak’ method that allows rapid automated synthesis of 6-[18F]FPy-T140. In addition to increased synthetic efficiency, this construct binds with CXCR4 in high affinity and may have potential as an in vivo positron emission tomography (PET) imaging agent. This radiosynthesis method should encourage wider use of this PET agent to quantify CXCR4 in both research and clinical settings. Full article
Show Figures

Figure 1

14 pages, 2441 KB  
Article
A Simplified Method of Synthesis to Obtain Zwitterionic Cellulose under Mild Conditions with Active Ionic Moieties
by Nadia B. Haro-Mares, Juan C. Meza-Contreras, Fernando A. López-Dellamary Toral, Ricardo González-Cruz, José A. Silva-Guzmán and Ricardo Manríquez-González
Molecules 2020, 25(13), 3065; https://doi.org/10.3390/molecules25133065 - 5 Jul 2020
Cited by 10 | Viewed by 4109
Abstract
A simplified procedure to synthesize zwitterionic cellulose by means of N-protected aspartic anhydride under mild conditions was developed. The preparation of modified cellulose samples was carried out under heterogeneous, aqueous conditions by reacting NH4OH-activated cellulose with aspartic anhydrides N-protected with trifluoroacetyl [...] Read more.
A simplified procedure to synthesize zwitterionic cellulose by means of N-protected aspartic anhydride under mild conditions was developed. The preparation of modified cellulose samples was carried out under heterogeneous, aqueous conditions by reacting NH4OH-activated cellulose with aspartic anhydrides N-protected with trifluoroacetyl (TFAc) and carbobenzyloxy (Cbz). Modified cellulose samples Cel-Asp-N-TFAc and Cel-Asp-N-Cbz were characterized by Fourier Transform Infrared (FTIR) and 13C solid state Nuclear Magnetic Resonance (NMR) spectroscopy. The functionalization degree of each cellulose sample was determined by the 13C NMR signal integration values corresponding to the cellulose C1 vs. the Cα of the aspartate residue and corroborated by elemental analysis. In agreement, both analytical methods averaged a grafting degree of 20% for Cel-Asp-N-TFAc and 16% for Cel-Asp-N-Cbz. Conveniently, Cel-Asp-N-TFAc was concomitantly partially N-deprotected (65%) as determined by the ninhydrin method. The zwitterion character of this sample was confirmed by a potentiometric titration curve and the availability of these amino acid residues on the cellulose was inspected by adsorption kinetics method with a 100 mg L−1 cotton blue dye solution. In addition, the synthesis reported in the present work involves environmentally related advantages over previous methodologies developed in our group concerning to zwitterionic cellulose preparation. Full article
Show Figures

Graphical abstract

17 pages, 3625 KB  
Article
Construction of NIR Light Controlled Micelles with Photothermal Conversion Property: Poly(poly(ethylene glycol)methyl ether methacrylate) (PPEGMA) as Hydrophilic Block and Ketocyanine Dye as NIR Photothermal Conversion Agent
by Lan Yao, Haihui Li, Kai Tu, Lifen Zhang, Zhenping Cheng and Xiulin Zhu
Polymers 2020, 12(5), 1181; https://doi.org/10.3390/polym12051181 - 21 May 2020
Cited by 5 | Viewed by 4074
Abstract
Polymeric nanomaterials made from amphiphilic block copolymers are increasingly used in the treatment of tumor tissues. In this work, we firstly synthesized the amphiphilic block copolymer PBnMA-b-P(BAPMA-co-PEGMA) via reversible addition-fragmentation chain transfer (RAFT) polymerization using benzyl methacrylate (BnMA), poly [...] Read more.
Polymeric nanomaterials made from amphiphilic block copolymers are increasingly used in the treatment of tumor tissues. In this work, we firstly synthesized the amphiphilic block copolymer PBnMA-b-P(BAPMA-co-PEGMA) via reversible addition-fragmentation chain transfer (RAFT) polymerization using benzyl methacrylate (BnMA), poly (ethylene glycol) methyl ether methacrylate (PEGMA), and 3-((tert-butoxycarbonyl)amino)propyl methacrylate (BAPMA) as the monomers. Subsequently, PBnMA-b-P(APMA-co-PEGMA)@NIR 800 with photothermal conversion property was obtained by deprotection of the tert-butoxycarbonyl (BOC) groups of PBAPMA chains with trifluoroacetic acid (TFA) and post-modification with carboxyl functionalized ketocyanine dye (NIR 800), and it could self-assemble into micelles in CH3OH/water mixed solvent. The NIR photothermal conversion property of the post-modified micelles were investigated. Under irradiation with NIR light (λmax = 810 nm, 0.028 W/cm2) for 1 h, the temperature of the modified micelles aqueous solution increased to 53 °C from 20 °C, which showed the excellent NIR photothermal conversion property. Full article
(This article belongs to the Section Polymer Chemistry)
Show Figures

Graphical abstract

8 pages, 1140 KB  
Article
Novel Purification Process for Amyloid Beta Peptide(1-40)
by Kenji Usui, Shin-ichiro Yokota, Kazuya Iwata and Yoshio Hamada
Processes 2020, 8(4), 464; https://doi.org/10.3390/pr8040464 - 15 Apr 2020
Cited by 3 | Viewed by 6124
Abstract
Amyloid beta peptide (Aβ)-related studies require an adequate supply of purified Aβ peptide. However, Aβ peptides are “difficult sequences” to synthesize chemically, and low yields are common due to aggregation during purification. Here, we demonstrate an easier synthesis, deprotection, reduction, cleavage, and purification [...] Read more.
Amyloid beta peptide (Aβ)-related studies require an adequate supply of purified Aβ peptide. However, Aβ peptides are “difficult sequences” to synthesize chemically, and low yields are common due to aggregation during purification. Here, we demonstrate an easier synthesis, deprotection, reduction, cleavage, and purification process for Aβ(1-40) using standard 9-fluorenylmethyloxycarbonyl (Fmoc)-protected amino acids and solid-phase peptide synthesis (SPPS) resin [HMBA (4-hydroxymethyl benzamide) resin] that provides higher yields of Aβ(1-40) than previous standard protocols. Furthermore, purification requires a similar amount of time as conventional purification processes, although the peptide must be cleaved from the resin immediately prior to purification. The method described herein is not limited to the production of Aβ(1-40), and can be used to synthesize other easily-oxidized and aggregating sequences. Our proposed methodology will contribute to various fields using “difficult sequence” peptides, such as pharmaceutical and materials science, as well as research for the diagnosis and treatment of protein/peptide misfolding diseases. Full article
(This article belongs to the Special Issue Advances of Peptide Engineering)
Show Figures

Graphical abstract

18 pages, 4963 KB  
Article
Synthesis of New Series of 2-C-(β-D-glucopyranosyl)-Pyrimidines and Their Evaluation as Inhibitors of Some Glycoenzymes
by Eszter Szennyes, Gyöngyi Gyémánt, László Somsák and Éva Bokor
Molecules 2020, 25(3), 701; https://doi.org/10.3390/molecules25030701 - 6 Feb 2020
Cited by 6 | Viewed by 3429
Abstract
Despite the substantial interest in C-glycosyl heterocycles as mimetics of biologically active native glycans, the appearance of C-glycopyranosyl derivatives of six-membered heterocycles, both in synthetic and biological contexts, is rather scarce. As part of our ongoing research program aimed at preparing [...] Read more.
Despite the substantial interest in C-glycosyl heterocycles as mimetics of biologically active native glycans, the appearance of C-glycopyranosyl derivatives of six-membered heterocycles, both in synthetic and biological contexts, is rather scarce. As part of our ongoing research program aimed at preparing hitherto barely known 2-C-glycopyranosyl pyrimidines, the goal of the present study was to synthesize new 5-mono- and multiply substituted derivatives of this compound class. Thus, 2-C-(β-D-glucopyranosyl)-5,6-disubstituted-pyrimidin-4(3H)-ones and 4-amino-2-C-(β-D-glucopyranosyl)-5,6-disubstituted-pyrimidines were prepared by base-mediated cyclocondensations of O-perbenzylated and O-unprotected C-(β-D-glucopyranosyl) formamidine hydrochlorides with methylenemalonic acid derivatives. The 2-C-(β-D-glucopyranosyl)-5-substituted-pyrimidines were obtained from the same amidine precursors upon treatment with vinamidinium salts. The deprotected derivatives of these pyrimidines were tested as inhibitors of some glycoenzymes. None of them showed inhibitory activity towards glycogen phosphorylase and α- and β-glucosidase enzymes, but some members of the sets exhibited moderate inhibition against bovine liver β-galactosidase. Full article
(This article belongs to the Special Issue Design, Synthesis, and Biological Evaluation of Enzyme Inhibitors)
Show Figures

Figure 1

Back to TopTop