Dipropyleneglycol Dimethylether, New Green Solvent for Solid-Phase Peptide Synthesis: Further Challenges to Improve Sustainability in the Development of Therapeutic Peptides
Abstract
1. Introduction
2. Materials and Methods
2.1. Materials
Physical–Chemical Properties and Cost
2.2. Swelling Test
2.3. Solubility Test
2.4. Deprotection Kinetics Test
Evaluation of DBF and DBF-Base Adduct Formation
2.5. Coupling Test: Synthesis of NH2-Tyr-Ala-OH
2.6. Racemization Study
2.7. SPPS of Aib-Enkephalin and Aib-ACP
Characterization
2.8. Solvent Recycling
3. Results and Discussion
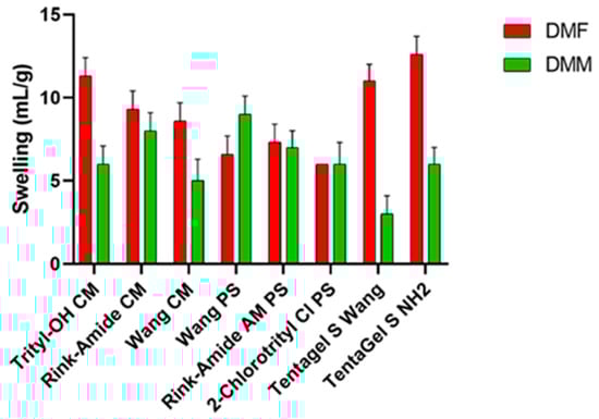
3.1. Resin Swelling Studies: Swelling Test
3.2. Solubility Test
3.3. Deprotection Kinetics Test
3.4. Coupling Test
3.5. Racemization Study
3.6. SPPS of Aib-Enkephalin and Aib-ACP
3.7. Solvent Recycling
4. Conclusions
Supplementary Materials
Author Contributions
Funding
Institutional Review Board Statement
Informed Consent Statement
Data Availability Statement
Acknowledgments
Conflicts of Interest
References
- Isidro-Llobet, A.; Kenworthy, M.N.; Mukherjee, S.; Kopach, M.E.; Wegner, K.; Gallou, F.; Smith, A.G.; Roschangar, F. Sustainability Challenges in Peptide Synthesis and Purification: From R&D to Production. J. Org. Chem. 2019, 84, 4615–4628. [Google Scholar] [CrossRef] [PubMed]
- Martin, V.; Egelund, P.H.G.; Johansson, H.; Le Quement, S.T.; Wojcik, F.; Sejer Pedersen, D. Greening the synthesis of peptide therapeutics: An industrial perspective. RSC Adv. 2020, 10, 42457–42492. [Google Scholar] [CrossRef] [PubMed]
- Al Musaimi, O.; de la Torre, B.G.; Albericio, F. Greening Fmoc/tBu solid-phase peptide synthesis. Green Chem. 2020, 22, 996–1018. [Google Scholar] [CrossRef]
- Jad, Y.E.; Kumar, A.; El-Faham, A.; de la Torre, B.G.; Albericio, F. Green Transformation of Solid-Phase Peptide Synthesis. ACS Sustain. Chem. Eng. 2019, 7, 3671–3683. [Google Scholar] [CrossRef]
- Jad, Y.E.; Acosta, G.A.; Govender, T.; Kruger, H.G.; El Faham, A.; de la Torre, B.G.; Albericio, F. Green Solid-Phase Peptide Synthesis 2. 2-Methyltetrahydrofuran and Ethyl Acetate for Solid-Phase Peptide Synthesis under Green Conditions. ACS Sustain. Chem. Eng. 2016, 4, 6809. [Google Scholar] [CrossRef]
- Jad, Y.E.; Acosta, G.A.; Khattab, S.N.; de la Torre, B.G.; Govender, T.; Kruger, H.G.; El-Faham, A.; Albericio, F. Peptide synthesis beyond DMF: THF and ACN as excellent and friendlier alternatives. Org. Biomol. Chem. 2015, 13, 2393–2398. [Google Scholar] [CrossRef]
- Jad, Y.E.; Acosta, G.A.; Khattab, S.N.; de la Torre, B.G.; Govender, T.; Kruger, H.G.; El-Faham, A.; Albericio, F. 2-Methyltetrahydrofuran and cyclopentyl methyl ether for green solid-phase peptide synthesis. Amino Acids 2016, 48, 419–426. [Google Scholar] [CrossRef]
- Kumar, A.; Jad, Y.E.; Collins, J.M.; Albericio, F.; de la Torre, B.G. Microwave-Assisted Green Solid-Phase Peptide Synthesis Using γ-Valerolactone (GVL) as Solvent. ACS Sustain. Chem. Eng. 2018, 6, 8034. [Google Scholar] [CrossRef]
- Kumar, A.; Jad, Y.E.; El-Faham, A.; de la Torre, B.G.; Albericio, F. Green solid-phase peptide synthesis 4. γ-Valerolactone and N-formylmorpholine as green solvents for solid phase peptide synthesis. Tetrahedron Lett. 2017, 58, 2986. [Google Scholar] [CrossRef]
- Lawrenson, S.B.; Arav, R.; North, M. The greening of peptide synthesis. Green Chem. 2017, 19, 1685–1691. [Google Scholar] [CrossRef]
- Byrne, F.P.; Jin, S.; Paggiola, G.; Petchey, T.H.M.; Clark, J.H.; Farmer, T.J.; Hunt, A.J.; McElroy, C.R.; Sherwood, J. Tools and techniques for solvent selection: Green solvent selection guides. Sustain. Chem. Process. 2016, 4, 7. [Google Scholar] [CrossRef]
- Lopez, J.; Pletscher, S.; Aemissegger, A.; Bucher, C.; Gallou, F. N-Butylpyrrolidinone as Alternative Solvent for Solid-Phase Peptide Synthesis. Org. Process Res. Dev. 2018, 22, 494. [Google Scholar] [CrossRef]
- Nienałtowski, T.; Krzesiński, P.; Baumert, M.E.; Skoczeń, A.; Suska-Kauf, E.; Pawłowska, J.; Kajetanowicz, A.; Grela, K. 4-Methyltetrahydropyran as a Convenient Alternative Solvent for Olefin Metathesis Reaction: Model Studies and Medicinal Chemistry Applications. ACS Sustain. Chem. Eng. 2020, 8, 18215–18223. [Google Scholar] [CrossRef] [PubMed]
- Schäffner, B.; Schäffner, F.; Verevkin, S.P.; Börner, A. Organic carbonates as solvents in synthesis and catalysis. Chem. Rev. 2010, 110, 4554–4581. [Google Scholar] [CrossRef] [PubMed]
- Liu, Y.; Chen, Z.; Wang, X.; Liang, Y.; Yang, X.; Wang, Z. Facile Synthesis of N,S-Codoped Hierarchically Porous Carbon with High Volumetric Pseudocapacitance. ACS Sustain. Chem. Eng. 2017, 5, 744–751. [Google Scholar] [CrossRef]
- Pawlas, J.; Rasmussen, J.H. ReGreen SPPS: Enabling circular chemistry in environmentally sensible solid-phase peptide synthesis. Green Chem. 2019, 21, 5990–5998. [Google Scholar] [CrossRef]
- Orlandin, A.; Guryanov, I.; Ferrazzano, L.; Biondi, B.; Biscaglia, F.; Storti, C.; Rancan, M.; Formaggio, F.; Ricci, A.; Cabri, W. Carbodiimide-Mediated Beckmann Rearrangement of Oxyma-B as a Side Reaction in Peptide Synthesis. Molecules 2022, 27, 4235. [Google Scholar] [CrossRef]
- Kaiser, E.; Colescott, R.; Bossinger, C.; Cook, P. Color test for detection of free terminal amino groups in the solid-phase synthe-sis of peptides. Anal. Biochem. 1970, 34, 595–598. [Google Scholar] [CrossRef]
- Sala, M.; Spensiero, A.; Esposito, F.; Scala, M.C.; Vernieri, E.; Bertamino, A.; Manfra, M.; Carotenuto, A.; Grieco, P.; Novellino, E.; et al. Development and Identification of a Novel Anti-HIV-1 Peptide Derived by Modification of the N-Terminal Domain of HIV-1 Integrase. Front. Microbiol. 2016, 7, 845. [Google Scholar] [CrossRef]
- Martelli, G.; Cantelmi, P.; Tolomelli, A.; Corbisiero, D.; Mattellone, A.; Ricci, A.; Fantoni, T.; Cabri, W.; Vacondio, F.; Ferlenghi, F.; et al. Steps towards sustainable solid phase peptide synthesis: Use and recovery of N-octyl pyrrolidone. Green Chem. 2021, 23, 4095–4106. [Google Scholar] [CrossRef]
- Ballester-Caudet, A.; Campins-Falcò, P.; Pèrez, B.; Sancho, R.; Lorente, M.; Sastre, G.; Gonzàlez, C. A new tool for evaluating and/or selecting analytical methods: Summarizing the information in a hexagon. Trends Anal. Chem. 2019, 118, 538–547. [Google Scholar] [CrossRef]
- Hudson, D. Matrix assisted synthetic transformations: A mosaic of diverse contributions. I. The pattern emerges. J. Comb. Chem. 1999, 1, 333–360. [Google Scholar] [CrossRef] [PubMed]
- Hudson, D. Matrix assisted synthetic transformations: A mosaic of diverse contributions. II. The pattern is completed. J. Comb. Chem. 1999, 1, 403–457. [Google Scholar] [CrossRef]
- Garcia-Martin, F.; Quintanar-Audelo, M.; Garcia-Ramos, Y.; Cruz, L.J.; Gravel, C.; Furic, R.; Cruz, S.; Tulla-Puche, J.; Albericio, F. ChemMatrix, a Poly(ethylene glycol)-Based Support for the Solid-Phase Synthesis of Complex Peptides. J. Comb. Chem. 2006, 8, 213–220. [Google Scholar] [CrossRef] [PubMed]
- El-Faham, A.; Subirós Funosas, R.; Prohens, R.; Albericio, F. COMU: A safer and more effective replacement for benzotriazole-based uronium coupling reagents. Chemistry 2009, 15, 9404–9416. [Google Scholar] [CrossRef] [PubMed]
- Luna, O.F.; Gomez, J.; Cárdenas, C.; Albericio, F.; Marshall, S.H.; Guzmán, F. Deprotection Reagents in Fmoc Solid Phase Peptide Synthesis: Moving Away from Piperidine? Molecules 2016, 21, 1542. [Google Scholar] [CrossRef]
- Carpino, L.A.; Han, G.Y. The 9-fluorenylmethoxycarbonyl amino-protecting group. J. Org. Chem. 1972, 37, 3404–3409. [Google Scholar] [CrossRef]
- Valeur, E.; Bradley, M. Amide bond formation: Beyond the myth of coupling reagents. Chem. Soc. Rev. 2009, 38, 606–631. [Google Scholar] [CrossRef]
- Subirós-Funosas, R.; Prohens, R.; Barbas, R.; El-Faham, A.; Albericio, F. Oxyma: An Efficient Additive for Peptide Synthesis to Replace the Benzotriazole-Based HOBt and HOAt with a Lower Risk of Explosion. Chem. Eur. J. 2009, 15, 9394–9403. [Google Scholar] [CrossRef]
- Liang, C.; Behnam, M.A.; Sundermann, T.R.; Klein, C.D. Phenylglycine racemization in Fmoc-based solid-phase peptide synthesis: Stereochemical stability is achieved by choice of reaction conditions. Tetrahedron Lett. 2017, 58, 2325–2329. [Google Scholar] [CrossRef]
- Fantoni, T.; Tolomelli, A.; Cabri, W. A translation of the twelve principles of green chemistry to guide the development of cross-coupling reactions. Catal. Today 2022, 397–399, 265–271. [Google Scholar] [CrossRef]
- Mattellone, A.; Corbisiero, D.; Ferrazzano, L.; Cantelmi, P.; Martelli, G.; Palladino, C.; Tolomelli, A.; Cabri, W. Speeding up sustainable solution-phase peptide synthesis using T3P® as a green coupling reagent: Methods and challenges. Green Chem. 2023, 25, 2563–2571. [Google Scholar] [CrossRef]


| Physical–Chemical Properties | Solvent | |
|---|---|---|
| DMF | DMM | |
| Boiling point | 153 °C | 175 °C |
| Density | 0.95 g/cm3 | 0.90 g/cm3 |
| Viscosity | 0.85 mm2/s | 1.12 mm2/s |
| Log P | −0.85 | 0.42 |
| Melting point | −31 °C | −80 °C |
| Flash point | 58 °C | 65 °C |
| Cost | 72.50 Eur/liter | 128.00 Eur/liter |
| Solvent | Fmoc-aa(PG)-OH | |||||||||||||||||||
|---|---|---|---|---|---|---|---|---|---|---|---|---|---|---|---|---|---|---|---|---|
| Gly | Ile | Leu | Val | Ala | Phe | Pro | Met | Tyr (tBu) | Thr (tBu) | Ser (tBu) | Asp (OtBu) | Glu (OtBu) | Cys (Trt) | Asn (Trt) | Gln (Trt) | His (Trt) | Lys (Boc) | Trp (Boc) | Arg (Pbf) | |
| DMF | ||||||||||||||||||||
| DMM | ||||||||||||||||||||
| Concentration (M) | NMP (%) | |||
|---|---|---|---|---|
| 0.1 | 10 | 20 | 30 | 40 |
| Coupling Reagents | Mixture Fmoc-Val-OH + Coupling Reagents (A–B) | Mixture Fmoc-His(Trt)-OH + Coupling Reagents (A–B) | ||||||||||
|---|---|---|---|---|---|---|---|---|---|---|---|---|
| Solvent | HOBt | CDI | Oxyma Pure | HATU | COMU | DIC | HOBt/DIC (A) | OxymaPure/DIC (B) | Val + A | Val + B | His (Trt) + A | His (Trt) + B |
| DMF | ||||||||||||
| DMM | 30% NMP | 30% NMP | ||||||||||
| Entry | Solvent | Coupling Agents | Eq. | Time | T (°C) | Purity (%) |
|---|---|---|---|---|---|---|
| 1 | DMF | HOBt/DIC (1:1) | 3 | 2h | rt | 79.68 |
| 2 | DMM | HOBt/DIC (1:1) | 3 | 2h | rt | 91.14 |
| 3 | DMF | OxymaPure/DIC (1:2) | 3 | 2h | rt | 33.65 |
| 4 | DMM | OxymaPure/DIC (1:2) | 3 | 2h | rt | 83.57 |
| 5 | DMM | OxymaPure/DIC (1:2) | 3 | 10 min | 75 (MW) | 78.90 |
| Entry | Solvent | Time | T (°C) | DL b (%) |
|---|---|---|---|---|
| 6 | DMF | 2 h | rt | 48.78 |
| 7 | DMM | 2 h | rt | 65.80 |
| 8 | DMF | 10 min | 75 (MW) | 89.02 |
| 9 | DMM | 10 min | 75 (MW) | 35.29 |
| Entry | Solvent | Resin | Pentapeptide (%) | Des-Aib (%) | Other (%) |
|---|---|---|---|---|---|
| 10 | DMF | Wang PS | 89.20 | 1.39 | 9.41 |
| 11 | DMM | Wang PS | 81.76 | 8.65 | 9.59 |
| 12 | DMF | Rink amide CM | 94.88 | - | 5.12 |
| 13 | DMM | Rink amide CM | 95.60 | - | 4.40 |
| Entry | Solvent | Decapeptide (%) | Des-Aib (%) | Other (%) |
|---|---|---|---|---|
| 14 | DMF | 53.73 | - | 46.27 |
| 15 | DMM | 53.69 | 9.24 | 37.07 |
| Entry | Solvent | PMI | Recovery (Yield %) | PMI after Recovery |
|---|---|---|---|---|
| 1 | DMF | 3896.28 | - | - |
| 2 | DMM | 3750.20 | 80 | 1370.68 |
Disclaimer/Publisher’s Note: The statements, opinions and data contained in all publications are solely those of the individual author(s) and contributor(s) and not of MDPI and/or the editor(s). MDPI and/or the editor(s) disclaim responsibility for any injury to people or property resulting from any ideas, methods, instructions or products referred to in the content. |
© 2023 by the authors. Licensee MDPI, Basel, Switzerland. This article is an open access article distributed under the terms and conditions of the Creative Commons Attribution (CC BY) license (https://creativecommons.org/licenses/by/4.0/).
Share and Cite
Vivenzio, G.; Scala, M.C.; Marino, P.; Manfra, M.; Campiglia, P.; Sala, M. Dipropyleneglycol Dimethylether, New Green Solvent for Solid-Phase Peptide Synthesis: Further Challenges to Improve Sustainability in the Development of Therapeutic Peptides. Pharmaceutics 2023, 15, 1773. https://doi.org/10.3390/pharmaceutics15061773
Vivenzio G, Scala MC, Marino P, Manfra M, Campiglia P, Sala M. Dipropyleneglycol Dimethylether, New Green Solvent for Solid-Phase Peptide Synthesis: Further Challenges to Improve Sustainability in the Development of Therapeutic Peptides. Pharmaceutics. 2023; 15(6):1773. https://doi.org/10.3390/pharmaceutics15061773
Chicago/Turabian StyleVivenzio, Giovanni, Maria Carmina Scala, Pasquale Marino, Michele Manfra, Pietro Campiglia, and Marina Sala. 2023. "Dipropyleneglycol Dimethylether, New Green Solvent for Solid-Phase Peptide Synthesis: Further Challenges to Improve Sustainability in the Development of Therapeutic Peptides" Pharmaceutics 15, no. 6: 1773. https://doi.org/10.3390/pharmaceutics15061773
APA StyleVivenzio, G., Scala, M. C., Marino, P., Manfra, M., Campiglia, P., & Sala, M. (2023). Dipropyleneglycol Dimethylether, New Green Solvent for Solid-Phase Peptide Synthesis: Further Challenges to Improve Sustainability in the Development of Therapeutic Peptides. Pharmaceutics, 15(6), 1773. https://doi.org/10.3390/pharmaceutics15061773

