Sign in to use this feature.

Years

Between: -

Subjects

remove_circle_outline
remove_circle_outline
remove_circle_outline
remove_circle_outline
remove_circle_outline
remove_circle_outline

Journals

Article Types

Countries / Regions

Search Results (50)

Search Parameters:
Keywords = ambient modal identification

Order results
Result details
Results per page
Select all
Export citation of selected articles as:
16 pages, 26757 KB  
Article
Time–Frequency Analysis of Railway Bridges Forced and Free Vibrations Identified by Wavelet Transform
by Pedro Galvín, Antonio Romero, Mario Solís, Emma Moliner and María Dolores Martínez-Rodrigo
Vibration 2025, 8(4), 71; https://doi.org/10.3390/vibration8040071 - 6 Nov 2025
Viewed by 654
Abstract
In this work, a time–frequency analysis of two railway bridges included in the InBridge4EU project database is presented. The study focuses on the identification of modal parameters from free responses after train passages and their comparison with estimations obtained from ambient vibration data. [...] Read more.
In this work, a time–frequency analysis of two railway bridges included in the InBridge4EU project database is presented. The study focuses on the identification of modal parameters from free responses after train passages and their comparison with estimations obtained from ambient vibration data. The wavelet transform is introduced as a valuable tool for detecting both free and forced bridge responses due to different train passages, as well as for conducting time–frequency analysis. This approach is particularly relevant for the identification of structural damping, given its dependence on vibration amplitude, as it enables the estimation of realistic values representative of bridge behavior under operational conditions. Additionally, the paper examines the complementary use of free vibrations for identifying natural frequencies and comparing them with results from ambient vibration tests. Wavelet analysis further reveals the predominant frequencies in the structural response before, during, and after train crossings, thereby capturing the influence of the moving vehicle on bridge dynamics. Full article
(This article belongs to the Special Issue Railway Dynamics and Ground-Borne Vibrations)
Show Figures

Figure 1

27 pages, 5759 KB  
Article
A Comprehensive Experimental Study on the Dynamic Identification of Historical Three-Arch Masonry Bridges Using Operational Modal Analysis
by Cristiano Giuseppe Coviello and Maria Francesca Sabbà
Appl. Sci. 2025, 15(19), 10577; https://doi.org/10.3390/app151910577 - 30 Sep 2025
Viewed by 837
Abstract
This article presents an extensive experimental investigation of the dynamic characteristics of three-arch historical masonry bridges, using Operational Modal Analysis (OMA). The research thoroughly characterizes the dynamic behavior of four representative masonry bridges from the Apulia Region in Southern Italy through detailed experimental [...] Read more.
This article presents an extensive experimental investigation of the dynamic characteristics of three-arch historical masonry bridges, using Operational Modal Analysis (OMA). The research thoroughly characterizes the dynamic behavior of four representative masonry bridges from the Apulia Region in Southern Italy through detailed experimental campaigns. These campaigns employed calibrated and optimally implemented accelerometric monitoring systems to acquire high-quality dynamic data under controlled excitation and environmental conditions. The selected bridges include the Santa Teresa Bridge in Bitonto, the Roman Bridge in Bovino, the Roman Bridge in Ascoli Satriano and a moderner road bridge on the Provincial Road SP123 in Troia; they span almost two millennia of construction history. The experimental framework incorporated several non-invasive excitation methods, including controlled vehicle passes, instrumented hammer impacts and ambient vibration tests, strategically chosen for optimal signal quality and heritage preservation. This investigation demonstrates the feasibility of capturing the dynamic behavior of these complex and specific historic structures through customized sensor configurations and various excitation methods. The resulting natural frequencies and mode shapes are accurate, robust, and reliable considering the extended data set used, and have allowed a rigorous seismic assessment. Eventually, this comprehensive data set establishes a fundamental basis for understanding and predicting the seismic response of several three-span masonry bridges to accurately identify their long-term resilience and effective conservation planning of these valuable and vulnerable heritage structures. In conclusion, the data comparison enabled the formulation of a predictive equation for the identification of the first natural frequency of bridges from geometric characteristics. Full article
Show Figures

Figure 1

25 pages, 5169 KB  
Article
DYMOS: A New Software for the Dynamic Identification of Structures
by Fabrizio Gara, Simone Quarchioni and Vanni Nicoletti
Buildings 2025, 15(13), 2194; https://doi.org/10.3390/buildings15132194 - 23 Jun 2025
Viewed by 808
Abstract
Operational modal analysis (OMA) is widely used for its simplicity and reliance on ambient noise. While commercial OMA software exists, they often limit user control. Some researchers develop their own tools, but independent software tools remain scarce. The number of such independent software [...] Read more.
Operational modal analysis (OMA) is widely used for its simplicity and reliance on ambient noise. While commercial OMA software exists, they often limit user control. Some researchers develop their own tools, but independent software tools remain scarce. The number of such independent software is limited, and the development of new ones with enhanced features, better performance, and varied user interfaces would be beneficial to spread the informed use of dynamic identification techniques, leading to more reliable and valuable results for structural engineering applications. This work introduces the new DYMOS software for OMA from ambient vibration test recordings. DYMOS includes various state-of-art algorithms and tools for vibration-based modal identification and for optimal sensor placement (OSP), allowing for customization of analysis parameters and procedures with the aim of reducing the gap between the needs of professional practice and research. Additionally, a new graphical tool is introduced for visualizing results in both buildings and bridges. By using CAD drawings as input, it streamlines model construction, making the process faster, more intuitive, and efficient. The article aims to describe DYMOS and to demonstrate its potential for OMA and OSP in civil engineering through the application on two real case studies dynamically tested. Full article
Show Figures

Figure 1

21 pages, 831 KB  
Article
Characterization of Power System Oscillation Modes Using Synchrophasor Data and a Modified Variational Decomposition Mode Algorithm
by José Oscullo Lala, Nathaly Orozco Garzón, Henry Carvajal Mora, Diego Echeverria, José Vega-Sánchez and Takaaki Ohishi
Energies 2025, 18(11), 2693; https://doi.org/10.3390/en18112693 - 22 May 2025
Cited by 5 | Viewed by 1383
Abstract
The growing complexity and uncertainty in modern power systems—driven by increased integration of renewable energy sources and variable loads—underscore the need for robust tools to assess dynamic stability. This paper presents an enhanced methodology for modal analysis that combines Adaptive Variational Mode Decomposition [...] Read more.
The growing complexity and uncertainty in modern power systems—driven by increased integration of renewable energy sources and variable loads—underscore the need for robust tools to assess dynamic stability. This paper presents an enhanced methodology for modal analysis that combines Adaptive Variational Mode Decomposition (A-VMD) with Prony’s method. A novel energy-based selection mechanism is introduced to determine the optimal number of intrinsic mode functions (IMFs), improving the decomposition’s adaptability and precision. The resulting modes are analyzed to estimate modal frequencies and damping ratios. Validation is conducted using both synthetic datasets and real synchrophasor measurements from Ecuador’s national power grid under ambient and disturbed operating conditions. The proposed approach is benchmarked against established techniques, including a matrix pencil, conventional VMD-Prony, and commercial tools such as WAProtector and DIgSILENT PowerFactory. The results demonstrate that A-VMD consistently delivers more accurate and robust performance, especially for low signal-to-noise ratios and low-energy ambient conditions. These findings highlight the method’s potential for real-time oscillation mode identification and small-signal stability monitoring in wide-area power systems. Full article
(This article belongs to the Section F1: Electrical Power System)
Show Figures

Figure 1

22 pages, 5973 KB  
Article
Environmental Factors in Structural Health Monitoring—Analysis and Removal of Effects from Resonance Frequencies
by Rims Janeliukstis, Lasma Ratnika, Liga Gaile and Sandris Rucevskis
J. Sens. Actuator Netw. 2025, 14(2), 33; https://doi.org/10.3390/jsan14020033 - 20 Mar 2025
Viewed by 2600
Abstract
Strategically important objects, such as dams, tunnels, bridges, and others, require long-term structural health monitoring programs in order to preserve their structural integrity with minimal downtime, financial expenses, and increased safety for civilians. The current study focuses on developing a damage detection methodology [...] Read more.
Strategically important objects, such as dams, tunnels, bridges, and others, require long-term structural health monitoring programs in order to preserve their structural integrity with minimal downtime, financial expenses, and increased safety for civilians. The current study focuses on developing a damage detection methodology that is applicable to the long-term monitoring of such structures. It is based on the identification of resonant frequencies from operational modal analysis, removing the effect of environmental factors on the resonant frequencies through support vector regression with optimized hyperparameters and, finally, classifying the global structural state as either healthy or damaged, utilizing the Mahalanobis distance. The novelty lies in two additional steps that supplement this procedure, namely, the nonlinear estimation of the relative effects of various environmental factors, such as temperature, humidity, and ambient loads on the resonant frequencies, and the selection of the most informative resonant frequency features using a non-parametric neighborhood component analysis algorithm. This methodology is validated on a wooden two-story truss structure with different artificial structural modifications that simulate damage in a non-destructive manner. It is found that, firstly, out of all environmental factors, temperature has a dominating decreasing effect on resonance frequencies, followed by humidity, wind speed, and precipitation. Secondly, the selection of only a handful of the most informative resonance frequency features not only reduces the feature space, but also increases the classification performance, albeit with a trade-off between false alarms and missed damage detection. The proposed approach effectively minimizes false alarms and ensures consistent damage detection under varying environmental conditions, offering tangible benefits for long-term SHM applications. Full article
(This article belongs to the Special Issue Fault Diagnosis in the Internet of Things Applications)
Show Figures

Figure 1

18 pages, 7613 KB  
Article
Investigation of the Effect of Coating Light Steel Container Houses with Nano-TiO2 on Dynamic Parameters Using OMA
by Furkan Günday
Buildings 2025, 15(6), 909; https://doi.org/10.3390/buildings15060909 - 13 Mar 2025
Cited by 1 | Viewed by 741
Abstract
In recent years, the integration of nano titanium dioxide (TiO2) into building materials has become a popular research topic due to its superior mechanical, photocatalytic and self-cleaning properties. In this study, the dynamic behavior of a light steel container house model [...] Read more.
In recent years, the integration of nano titanium dioxide (TiO2) into building materials has become a popular research topic due to its superior mechanical, photocatalytic and self-cleaning properties. In this study, the dynamic behavior of a light steel container house model coated with nano-TiO2 is investigated using Operational Modal Analysis (OMA). The effects of TiO2 on the natural frequencies, damping ratios and mode shapes of the light steel container house model are investigated. The Stochastic Subspace Identification-Unweighted Principal Component (SSI-UPC) method is used to extract the modal parameters from the ambient vibration data. The results show that the TiO2 coating significantly increases the stiffness and improves the damping properties by increasing the natural frequencies of the light steel container house model. The findings indicate that nano-TiO2 coatings can increase the structural integrity and durability of light steel container houses. This study provides a foundation for future research on nano-reinforced coatings in light steel structural systems. Full article
(This article belongs to the Section Building Materials, and Repair & Renovation)
Show Figures

Figure 1

29 pages, 11104 KB  
Article
Structural Health Assessment of a Reinforced Concrete Building in Valparaíso Under Seismic and Environmental Shaking: A Foundation for IoT-Driven Digital Twin Systems
by Sebastián Lozano-Allimant, Alvaro Lopez, Miguel Gomez, Edison Atencio, José Antonio Lozano-Galant and Sebastian Fingerhuth
Appl. Sci. 2025, 15(3), 1202; https://doi.org/10.3390/app15031202 - 24 Jan 2025
Cited by 2 | Viewed by 1586
Abstract
Structural health monitoring is vital for the safety and longevity of infrastructure, particularly in seismic zones. This study focuses on identifying the dynamic properties of a reinforced concrete building in Chile’s Valparaíso region. Using an experimental approach, the study compares ambient vibration records, [...] Read more.
Structural health monitoring is vital for the safety and longevity of infrastructure, particularly in seismic zones. This study focuses on identifying the dynamic properties of a reinforced concrete building in Chile’s Valparaíso region. Using an experimental approach, the study compares ambient vibration records, seismic events (moment magnitude > 4), and data collected during adjacent construction activities. Force-balanced accelerometers were used for vibration measurements. The analysis employs the Stochastic Subspace Identification with Covariances (SSI-COV) method within an operational modal analysis framework to extract the building’s modal parameters without requiring artificial excitations. This technique effectively identifies modal characteristics under different vibration sources, making it suitable for evaluating the structural condition under diverse loading conditions. The findings reveal the building’s modes and frequencies, offering critical insights for maintenance and management of infrastructure. Little to no variations were observed in the identified frequencies of the building when working with different types of input data. These data support the integration of real-time IoT systems for continuous monitoring, providing a foundation for future digital twin applications. These advancements facilitate early deterioration detection, enhancing resilience in seismic environments. Full article
Show Figures

Figure 1

17 pages, 3696 KB  
Article
Operational Modal Analysis of Civil Engineering Structures with Closely Spaced Modes Based on Improved Hilbert–Huang Transform
by Xu-Qiang Shang, Tian-Li Huang, Yi-Bin He and Hua-Peng Chen
Sensors 2024, 24(23), 7600; https://doi.org/10.3390/s24237600 - 28 Nov 2024
Cited by 4 | Viewed by 2729
Abstract
In long-span bridges and high-rise buildings, closely spaced modes are commonly observed, which greatly increases the challenge of identifying modal parameters. Hilbert–Huang transform (HHT), a widely used method for modal parameter identification, first applies empirical mode decomposition (EMD) to decompose the acquired response [...] Read more.
In long-span bridges and high-rise buildings, closely spaced modes are commonly observed, which greatly increases the challenge of identifying modal parameters. Hilbert–Huang transform (HHT), a widely used method for modal parameter identification, first applies empirical mode decomposition (EMD) to decompose the acquired response and then uses the Hilbert transform (HT) to identify the modal parameters. However, the problem is that the deficiency of mode separation of EMD in HHT limits its application for structures with closely spaced modes. In this study, an improved HHT based on analytical mode decomposition (AMD) is proposed and is used to identify the modal parameters of structures with closely spaced modes. In the improved HHT, AMD is first employed to replace EMD for decomposing the measured response into several mono-component modes. Then, the random decrement technique is applied to the decomposed mono-component modes to obtain the free decay responses. Furthermore, the resulting free decay responses are analyzed by HT to estimate the modal parameters of structures with closely spaced modes. Examples of a simple three-degree-of-freedom system with closely spaced modes, a high-rise building under ambient excitation, and the Ting Kau bridge under typhoon excitations are adopted to validate the accuracy, effectiveness, and applicability of the proposed method. The results demonstrate that the proposed method can efficiently and accurately identify the natural frequencies and damping ratios of structures with closely spaced modes. Moreover, its identification results are more precise compared to those obtained using existing methods. Full article
(This article belongs to the Section Sensing and Imaging)
Show Figures

Figure 1

21 pages, 13819 KB  
Article
Operational Modal Analysis and Safety Assessment of a Historical Masonry Bell Tower
by Corrado Chisari, Mattia Zizi, Angelo Lavino, Salvatore Freda and Gianfranco De Matteis
Appl. Sci. 2024, 14(22), 10604; https://doi.org/10.3390/app142210604 - 17 Nov 2024
Cited by 2 | Viewed by 1877
Abstract
The seismic assessment of historical masonry bell towers is of significant interest, particularly in Italy, due to their widespread presence and inherent vulnerability given by their slenderness. According to technical codes and standard practice, the seismic evaluation of masonry bell towers can be [...] Read more.
The seismic assessment of historical masonry bell towers is of significant interest, particularly in Italy, due to their widespread presence and inherent vulnerability given by their slenderness. According to technical codes and standard practice, the seismic evaluation of masonry bell towers can be conducted using a range of methodologies that vary in their level of detail. This paper presents a case study of a historical masonry bell tower located in the Caserta Province (Italy). Extensive investigative efforts were undertaken to determine the tower’s key geometric and structural characteristics, as well as to document ongoing damage phenomena. The dynamic behavior of the tower was assessed through ambient vibration testing, which enabled the identification of the principal modal shapes and corresponding frequencies, also highlighting peculiar dynamical characteristics caused by the damage conditions. Subsequently, the seismic assessment was carried out using both Level 1 (simplified mechanical) and Level 2 (kinematic limit analysis) methodologies. This assessment helped identify the most probable collapse mechanisms and laid the foundation for employing more advanced methodologies to design necessary retrofitting interventions. The study emphasizes the importance of Level 2 analyses for structures where out-of-plane failure mechanisms are likely due to pre-existing cracking. Both approaches provide less-than-unity acceleration factors, ranging from 0.45 for Level 1 (assuming non-ductile behavior) to 0.59 for Level 2, in this case specifically using the information available about existing cracking pattern. Full article
(This article belongs to the Special Issue Advanced Technologies in Seismic Design, Assessment and Retrofitting)
Show Figures

Figure 1

22 pages, 8245 KB  
Article
An Adaptive Chirp Mode Decomposition-Based Method for Modal Identification of Time-Varying Structures
by Xiao-Jun Yao, Yu-Chun Lv, Xiao-Mei Yang, Feng-Yang Wang and Yong-Xiang Zheng
Mathematics 2024, 12(19), 3157; https://doi.org/10.3390/math12193157 - 9 Oct 2024
Cited by 2 | Viewed by 1635
Abstract
Modal parameters are inherent characteristics of civil structures. Due to the effect of environmental factors and ambient loads, the physical and modal characteristics of a structure tend to change over time. Therefore, the effective identification of time-varying modal parameters has become an essential [...] Read more.
Modal parameters are inherent characteristics of civil structures. Due to the effect of environmental factors and ambient loads, the physical and modal characteristics of a structure tend to change over time. Therefore, the effective identification of time-varying modal parameters has become an essential topic. In this study, an instantaneous modal identification method based on an adaptive chirp mode decomposition (ACMD) technique was proposed. The ACMD technique is highly adaptable and can accurately estimate the instantaneous frequencies of a structure. However, it is important to highlight that an initial frequency value must be selected beforehand in ACMD. If the initial frequency is set incorrectly, the resulting instantaneous frequencies may lack accuracy. To address the aforementioned problem, the Welch power spectrum was initially developed to extract a high-resolution time–frequency distribution from the measured signals. Subsequently, the time–frequency ridge was identified based on the maximum energy position in the time–frequency distribution plot, with the frequencies associated with the time–frequency ridge serving as the initial frequencies. Based on the initial frequencies, the measured signals with multiple degrees of freedom could be decomposed into individual time-varying components with a single degree of freedom. Following that, the instantaneous frequencies of each time-varying component could be calculated directly. Subsequently, a sliding window principal component analysis (PCA) method was introduced to derive instantaneous mode shapes. Finally, vibration data collected under various operational scenarios were used to validate the proposed method. The results demonstrated the effective identification of time-varying modal parameters in real-world civil structures, without missing modes. Full article
(This article belongs to the Section C2: Dynamical Systems)
Show Figures

Figure 1

21 pages, 22124 KB  
Article
ACDF-YOLO: Attentive and Cross-Differential Fusion Network for Multimodal Remote Sensing Object Detection
by Xuan Fei, Mengyao Guo, Yan Li, Renping Yu and Le Sun
Remote Sens. 2024, 16(18), 3532; https://doi.org/10.3390/rs16183532 - 23 Sep 2024
Cited by 18 | Viewed by 4639
Abstract
Object detection in remote sensing images has received significant attention for a wide range of applications. However, traditional unimodal remote sensing images, whether based on visible light or infrared, have limitations that cannot be ignored. Visible light images are susceptible to ambient lighting [...] Read more.
Object detection in remote sensing images has received significant attention for a wide range of applications. However, traditional unimodal remote sensing images, whether based on visible light or infrared, have limitations that cannot be ignored. Visible light images are susceptible to ambient lighting conditions, and their detection accuracy can be greatly reduced. Infrared images often lack rich texture information, resulting in a high false-detection rate during target identification and classification. To address these challenges, we propose a novel multimodal fusion network detection model, named ACDF-YOLO, basedon the lightweight and efficient YOLOv5 structure, which aims to amalgamate synergistic data from both visible and infrared imagery, thereby enhancing the efficiency of target identification in remote sensing imagery. Firstly, a novel efficient shuffle attention module is designed to assist in extracting the features of various modalities. Secondly, deeper multimodal information fusion is achieved by introducing a new cross-modal difference module to fuse the features that have been acquired. Finally, we combine the two modules mentioned above in an effective manner to achieve ACDF. The ACDF not only enhances the characterization ability for the fused features but also further refines the capture and reinforcement of important channel features. Experimental validation was performed using several publicly available multimodal real-world and remote sensing datasets. Compared with other advanced unimodal and multimodal methods, ACDF-YOLO separately achieved a 95.87% and 78.10% mAP0.5 on the LLVIP and VEDAI datasets, demonstrating that the deep fusion of different modal information can effectively improve the accuracy of object detection. Full article
Show Figures

Figure 1

19 pages, 8046 KB  
Article
Sensitivity Analysis of Modal Parameters of an RC Joint Subject to Progressive Damage under Cyclic Loads
by Amedeo Gregori, Lorenzo Bizzarri, Caterina D’Agostino, Angelo Aloisio, Riccardo Cirella and Rocco Alaggio
Buildings 2024, 14(5), 1345; https://doi.org/10.3390/buildings14051345 - 9 May 2024
Cited by 3 | Viewed by 1646
Abstract
This paper presents the results of an experimental study that focused on the gradual modification of the modal parameters of reinforced concrete beam–column frames subjected to progressive damage under cyclic loading. As is commonly found in structures of the 1970s, the specimen was [...] Read more.
This paper presents the results of an experimental study that focused on the gradual modification of the modal parameters of reinforced concrete beam–column frames subjected to progressive damage under cyclic loading. As is commonly found in structures of the 1970s, the specimen was characterized by the absence of specific shear reinforcement in the nodal panel. The frame modal parameters were investigated using the ambient vibrations test (AVT) as a modal identification technique. In particular, quasi-static cyclic tests with increasing amplitudes were performed on the reinforced concrete frame specimen and the modal parameters were assessed at various stages of frame degradation. By establishing a correlation between the changes in the modal parameters and the mechanical indicators of the structural damage in the frame, this study aimed to determine whether the ambient vibration tests could offer meaningful insights for evaluating the structural health of this type of structural component. As a result of the damage that occurred in the tested RC frame, the residual experimental value of the first natural frequency of the specimen was found to reduce at 52.7% of the original reference value (undamaged stage). Similarly, the residual value of the frame stiffness was found to be as low as 43.82% of the initial one. Both these results confirmed that changes when monitoring the modal frequencies may provide quantitative indexes to describe the structural health of RC frames. In combination with static tests for a direct measure of the structural stiffness variations, the AVT technique was shown to have interesting potential in detecting the type, level, and distribution of the progressive damage in civil structures. In particular, exponential and polynomial regression curves were defined to describe the decay of the first natural frequency as the structural damage increased in various parts of the frame, and it was shown that the variation in the first natural frequency was determined more by the damage on the beam than by the damage on the joint. Full article
Show Figures

Figure 1

21 pages, 7939 KB  
Article
Tracking Modal Parameters of Structures Online Using Recursive Stochastic Subspace Identification under Ambient Excitations
by Shieh-Kung Huang, Jin-Quan Chen, Yuan-Tao Weng and Jae-Do Kang
Buildings 2024, 14(4), 964; https://doi.org/10.3390/buildings14040964 - 1 Apr 2024
Cited by 2 | Viewed by 1716
Abstract
Continuous and autonomous system identification is an alternative to regular inspection during operations, which is essential for structural integrity management (SIM) as well as structural health monitoring (SHM). In this regard, online (or real-time) system identification techniques that have recently received considerable attention [...] Read more.
Continuous and autonomous system identification is an alternative to regular inspection during operations, which is essential for structural integrity management (SIM) as well as structural health monitoring (SHM). In this regard, online (or real-time) system identification techniques that have recently received considerable attention can be used to assess the current condition and performance during operations and, in the meantime, can be utilized to detect any damage or deterioration. For example, stochastic subspace identification (SSI), based on recursive formulation, has proven its capability in tracking modal parameters as well as time-variant dynamic behaviors. This study proposes the implementation of recursive SSI (RSSI) using the matrix inversion lemma to track slow time-varying parameter changes under ambient excitations. Subsequently, some investigations for practical implementation are examined and discussed. For verifying the reliability of SHM applications based on the proposed methods, two datasets measured from different experiments are exploited to identify the modal parameters reclusively. The results from both numerical simulations and experimental investigations demonstrated the effectiveness of tracking the modal parameters exhibiting time-varying dynamic characteristics under white noise excitations (or ambient excitations). Full article
Show Figures

Figure 1

18 pages, 12949 KB  
Article
Modal and Structural Identification of Historic Bell Tower in Čuntić, Croatia Using Ambient Vibration Testing
by Marina Sunara, Ivan Banović, Ante Buzov and Nikola Grgić
Appl. Sci. 2023, 13(20), 11494; https://doi.org/10.3390/app132011494 - 20 Oct 2023
Cited by 2 | Viewed by 2035
Abstract
In this study, modal and structural identification of a historic masonry bell tower in Čuntići, Croatia, damaged during the recent Petrinja earthquake, was performed. The results of the ambient vibration tests (AVT) and operational modal analysis (OMA) were used to update the finite [...] Read more.
In this study, modal and structural identification of a historic masonry bell tower in Čuntići, Croatia, damaged during the recent Petrinja earthquake, was performed. The results of the ambient vibration tests (AVT) and operational modal analysis (OMA) were used to update the finite element numerical model of the bell tower. Three modes were experimentally determined: the first two were bending modes (f1 = 4.395 Hz and f2 = 4.639 Hz), and the third was a torsional mode (f3 = 10.303 Hz). The experimentally determined and the originally calculated (preliminary NM) modal shapes agreed well, but in terms of modal frequencies, the correlation was poor. After model updating, some structural parameters were identified, and a reliable finite element numerical model was established. The proposed method can provide a reliable evaluation of the structural parameters of historic masonry buildings. Full article
(This article belongs to the Section Acoustics and Vibrations)
Show Figures

Figure 1

21 pages, 9034 KB  
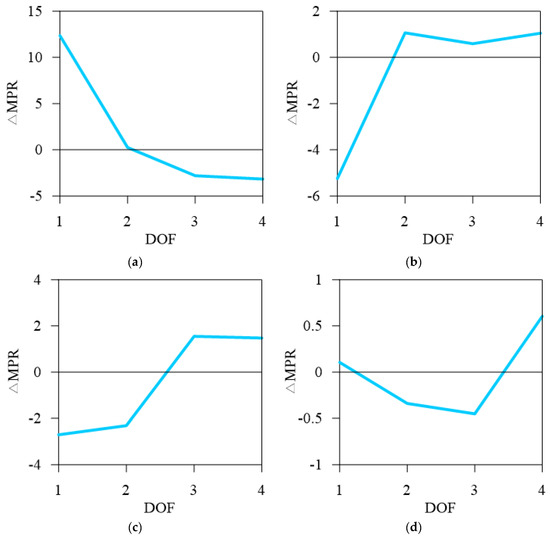
Article
Enhanced Modal Participation Ratio-Based Structural Damage Identification: A New Filtering Approach Using Modal Assurance Criteria
by Zafer Yilmaz, Fatih Yesevi Okur, Murat Günaydin and Ahmet Can Altunişik
Buildings 2023, 13(10), 2467; https://doi.org/10.3390/buildings13102467 - 28 Sep 2023
Cited by 5 | Viewed by 2490
Abstract
The interest in damage identification methods has increased significantly in recent years due to the rising demand for structural health monitoring of structures. This study presents an enhanced version and validation of a recently introduced method for damage detection, localization and quantifying damage [...] Read more.
The interest in damage identification methods has increased significantly in recent years due to the rising demand for structural health monitoring of structures. This study presents an enhanced version and validation of a recently introduced method for damage detection, localization and quantifying damage using vibration data. The method is validated through a building application, a scaled steel frame model built in the laboratory. The validation is carried out using eight different damage scenarios in numerical and experimental studies. These studies are based on finite element analysis and ambient vibration tests. A newly introduced filtering approach that utilizes MAC rejection levels in Modal Participation Ratio derivation is provided to replace the user-controlled bandpass filter to obtain more reliable vibration data in experimental investigations. The results showed that the proposed procedure is more capable of correctly detecting, localizing and quantifying damage to a building, considering the real-life conditions. Full article
(This article belongs to the Section Building Structures)
Show Figures

Figure 1

Back to TopTop